Temporal and Spatial Dynamics of Carbon, Nitrogen, and Phosphorus in a Subtropical Urban River (Tamanduateí River, São Paulo, Brazil)
Abstract
1. Introduction
2. Materials and Methods
2.1. Study Area
2.2. Data Collection and Analysis Methodology by CETESB
2.3. Statistical Analysis
3. Results
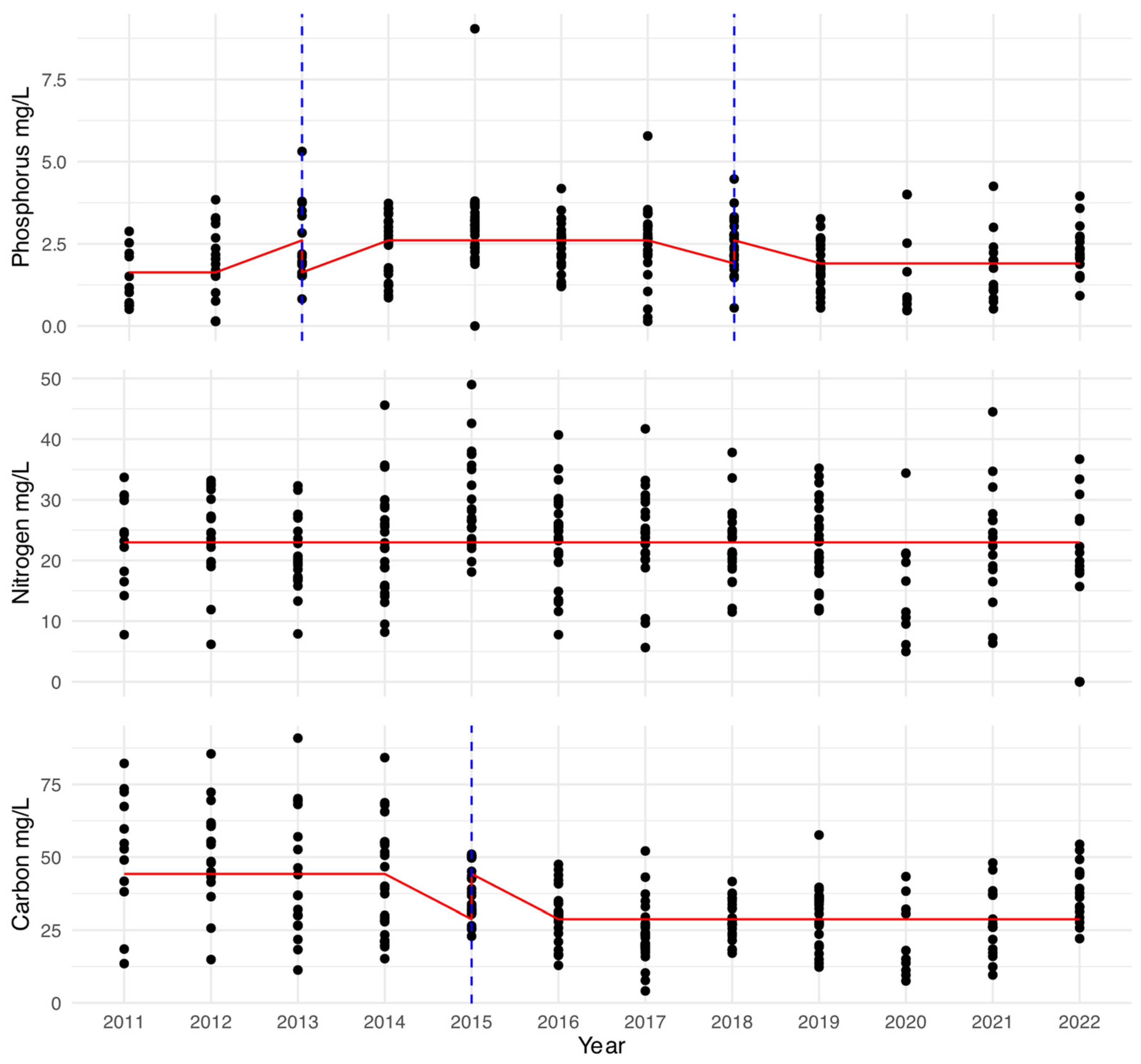
3.1. Temporal Variation of Carbon, Nitrogen, and Phosphorus Concentrations in the Tamanduateí River
3.2. Spatial Variation of Carbon, Nitrogen, and Phosphorus Concentrations in the Tamanduateí River
4. Discussion
4.1. Potential Effects of Climate Change on Nutrient Concentrations of Tamanduateí River
4.2. Study Limitations
5. Conclusions
Author Contributions
Funding
Data Availability Statement
Acknowledgments
Conflicts of Interest
References
- Brauman, K.A.; Daily, G.C.; Duarte, T.K.; Mooney, H.A. The Nature and Value of Ecosystem Services: An Overview Highlighting Hydrologic Services. Annu. Rev. Environ. Resour. 2007, 32, 67–98. [Google Scholar] [CrossRef]
- Yeakley, J.A.; Ervin, D.; Chang, H.; Granek, E.F.; Dujon, V.; Shandas, V.; Brown, D. Ecosystem Services of Streams and Rivers. In River Science: Research and Management for the 21st Century; John Wiley & Sons: Hoboken, NJ, USA, 2016; ISBN 9781118643525. [Google Scholar]
- Paul, M.J.; Meyer, J.L. Streams in the Urban Landscape. Annu. Rev. Ecol. Syst. 2001, 32, 333–365. [Google Scholar] [CrossRef]
- Pickett, S.T.A.; Cadenasso, M.L.; Grove, J.M.; Boone, C.G.; Groffman, P.M.; Irwin, E.; Kaushal, S.S.; Marshall, V.; McGrath, B.P.; Nilon, C.H.; et al. Urban Ecological Systems: Scientific Foundations and a Decade of Progress. J. Environ. Manag. 2011, 92, 331–362. [Google Scholar] [CrossRef] [PubMed]
- Griggs, D.; Stafford-Smith, M.; Gaffney, O.; Rockström, J.; Öhman, M.C.; Shyamsundar, P.; Steffen, W.; Glaser, G.; Kanie, N.; Noble, I. Policy: Sustainable Development Goals for People and Planet. Nature 2013, 495, 305–307. [Google Scholar] [CrossRef]
- MacKenzie, K.M.; Singh, K.; Binns, A.D.; Whiteley, H.R.; Gharabaghi, B. Effects of Urbanization on Stream Flow, Sediment, and Phosphorous Regime. J. Hydrol. 2022, 612, 128283. [Google Scholar] [CrossRef]
- de Mello, K.; Taniwaki, R.H.; Macedo, D.R.; Leal, C.G.; Randhir, T.O. Biomonitoring for Watershed Protection from a Multiscale Land-Use Perspective. Diversity 2023, 15, 636. [Google Scholar] [CrossRef]
- de Mello, K.; Taniwaki, R.H.; de Paula, F.R.; Valente, R.A.; Randhir, T.O.; Macedo, D.R.; Leal, C.G.; Rodrigues, C.B.; Hughes, R.M. Multiscale Land Use Impacts on Water Quality: Assessment, Planning, and Future Perspectives in Brazil. J. Environ. Manag. 2020, 270, 110879. [Google Scholar] [CrossRef]
- Marques, P.; Cunico, A. Integrating the Influence of Untreated Sewage into Our Understanding of the Urban Stream Syndrome. Freshw. Sci. 2023, 42, 195–203. [Google Scholar] [CrossRef]
- Marques, P.S.; Manna, L.R.; Mazzoni, R.; El-Sabaawi, R. Intraspecific Trait Variation in Urban Stream Ecosystems: Toward Understanding the Mechanisms Shaping Urban Stream Communities. Freshw. Sci. 2019, 38, 1–11. [Google Scholar] [CrossRef]
- Capps, K.A.; Bentsen, C.N.; Ramírez, A. Poverty, Urbanization, and Environmental Degradation: Urban Streams in the Developing World. Freshw. Sci. 2016, 35, 429–435. [Google Scholar] [CrossRef]
- Tromboni, F.; Dodds, W. Relationships Between Land Use and Stream Nutrient Concentrations in a Highly Urbanized Tropical Region of Brazil: Thresholds and Riparian Zones. Environ. Manag. 2017, 60, 30–40. [Google Scholar] [CrossRef] [PubMed]
- Cerqueira, T.C.; Mendonça, R.L.; Gomes, R.L.; de Jesus, R.M.; da Silva, D.M.L. Effects of Urbanization on Water Quality in a Watershed in Northeastern Brazil. Environ. Monit. Assess. 2020, 192, 65. [Google Scholar] [CrossRef]
- Ramalho, D. Rio Tamanduateí—Nascente à Foz: Percepções Da Paisagem e Processos Participativos. Paisag. Ambiente 2007, 24, 99–114. [Google Scholar] [CrossRef]
- Freire, A.R.; Meyer, R.M.P. As Várzeas Urbanas de São Paulo: Estudo Do Processo de Ocupação e Transformação Das Várzeas Dos Rios Tietê, Pinheiros e Tamanduateí; Universitat Politècnica de Catalunya: Barcelona, Spain, 2021. [Google Scholar]
- Moroz-Caccia Gouveia, I.C.; Rodrigues, C. Mudanças Morfológicas e Efeitos Hidrodinâmicos Do Processo de Urbanização Na Bacia Hidrográfica Do Rio Tamanduateí—RMSP. GEOUSP Espaço Tempo 2017, 21, 257–283. [Google Scholar] [CrossRef][Green Version]
- Daga, V.S.; Gubiani, É.A.; Cunico, A.M.; Baumgartner, G. Effects of Abiotic Variables on the Distribution of Fish Assemblages in Streams with Different Anthropogenic Activities in Southern Brazil. Neotrop. Ichthyol. 2012, 10, 643–652. [Google Scholar] [CrossRef]
- Dodds, W.K.; Smith, V.H. Nitrogen, Phosphorus, and Eutrophication in Streams. Inland Waters 2016, 6, 155–164. [Google Scholar] [CrossRef]
- Cadoná, E.A.; Lourenzi, C.R.; De Souza, E.L.; Carvalho Rampinelli, E.; Dos Santos, M.L.; Sete, P.B.; Fonseca Sousa Soares, C.R. Contaminação Por Nitrogênio e Fósforo de Águas Destinadas Ao Consumo Humano Em Região Com Intensa Atividade Suinícola. Geociencias 2018, 37, 883–891. [Google Scholar] [CrossRef]
- Masoudinejad, M.; Ghaderpoori, M.; Zarei, A.; Nasehifar, J.; Malekzadeh, A.; Nasiri, J.; Ghaderpoury, A. Data on Phosphorous Concentration of Rivers Feeding into Taham Dam in Zanjan, Iran. Data Brief 2018, 17, 564–569. [Google Scholar] [CrossRef]
- Costa, B.; Sperling, E.; Libanio, M.; Libanio, P. Avaliação da relevância do carbono orgânico total como parâmetro de caracterização de águas de abastecimento. Rev. Bras. Recur. Hídricos 2000, 5, 41–55. [Google Scholar] [CrossRef]
- de Souza Rolim, G.; Lucas, L.E. Camargo, Köppen and Thornthwaite Climate Classification Systems in Defining Climatical Regions of the State of São Paulo, Brazil. Int. J. Climatol. 2016, 36, 636–643. [Google Scholar] [CrossRef]
- CETESB. Relatório de Qualidade Das Águas Interiores No Estado de São Paulo; CETESB: São Paulo, Brazil, 2023.
- APHA. Standard Methods for the Examination of Water and Wastewater, 21st ed.; American Public Health Association: Washington, DC, USA, 2005. [Google Scholar]
- ISO. Water Quality-Determination of Kjeldahl Nitrogen-Method After Mineralization with Selenium; International Organization for Standardization: Geneva, Switzerland, 1984; Volume 1984. [Google Scholar]
- Zeileis, A.; Leisch, F.; Hornik, K.; Kleiber, C. Strucchange: An R Package for Testing for Structural Change in Linear Regression Models. J. Stat. Softw. 2002, 7, 1–38. [Google Scholar] [CrossRef]
- R Core Team. R: A Language and Environment for Statistical Computing; R Foundation for Statistical Computing: Vienna, Austria, 2019. [Google Scholar]
- Denaldi, R.; Moretti, R.; Paiva, C.; Nogueira, F.; Petrarolli, J. Urbanização de Favelas Na Região Do ABC No Âmbito Do Programa de Aceleração Do Crescimento-Urbanização de Assentamentos Precários. Cad. Metrópole 2016, 18, 101–118. [Google Scholar] [CrossRef]
- Luciano, M.M.; Espeçoto, R.M.T.; Benassi, R.F.; Schiesari, L.C.; Smith, W.S.; Fushita, Â.T.; Taniwaki, R.H. Spatiotemporal Dynamics of Carbon and Nitrogen in Subtropical Urban Streams (Santo André, SP, Brazil). Nitrogen 2024, 5, 572–583. [Google Scholar] [CrossRef]
- CONAMA Resolução CONAMA No. 357. 53 2005. Available online: https://www.icmbio.gov.br/cepsul/images/stories/legislacao/Resolucao/2005/res_conama_357_2005_classificacao_corpos_agua_rtfcda_altrd_res_393_2007_397_2008_410_2009_430_2011.pdf (accessed on 1 February 2024).
- Ortega, D.; Carvalho, S. Avaliação Dos Efeitos Das Atividades Antropóficas Nos Recursos Hídricos Na Sub-Bacia Hidrográfica Do Córrego Do Ipê. Rev. Bras. Recur. Hídricos 2013, 18, 97–108. [Google Scholar] [CrossRef]
- Bega, J.M.M.; de Oliveira, J.N.; Albertin, L.L. Temporal Dynamics of Water Quality in an Urban Stream. Eng. Sanit. Ambient. 2021, 26, 903–913. [Google Scholar] [CrossRef]
- Dong, B.; Qin, T.; Wang, Y.; Zhao, Y.; Liu, S.; Feng, J.; Li, C.; Zhang, X. Spatiotemporal Variation of Nitrogen and Phosphorus and Its Main Influencing Factors in Huangshui River Basin. Environ. Monit. Assess. 2021, 193, 292. [Google Scholar] [CrossRef]
- Peralta-Maraver, I.; Stubbington, R.; Arnon, S.; Kratina, P.; Krause, S.; de Mello Cionek, V.; Leite, N.K.; da Silva, A.L.L.; Thomaz, S.M.; Posselt, M.; et al. The Riverine Bioreactor: An Integrative Perspective on Biological Decomposition of Organic Matter across Riverine Habitats. Sci. Total Environ. 2021, 772, 145494. [Google Scholar] [CrossRef]
- Taniwaki, R.H.; Bueno, R.F.; Bispo, G.B.S.; Augusto, M.R.; Souza, G.S.; Chyoshi, B.; Benassi, R.F.; Gouveia, N.; Camilo, L.M.B.; Duran, A.F.A.; et al. Incomplete Sanitation in the Metropolitan Region of São Paulo Results in Detection of SARS-CoV-2 in Headwater Streams. Sci. Total Environ. 2024, 908, 168006. [Google Scholar] [CrossRef]
- Travassos, L.; Momm, S. Urban River Interventions in São Paulo Municipality (Brazil): The Challenge of Ensuring Justice in Sociotechnical Transitions. Front. Sustain. Cities 2022, 3, 684109. [Google Scholar] [CrossRef]
- Alves, E.M.; da Paz, M.G.A.; Fracalanza, A.P. Green Gentrification and Environmental Injustice: A Discussion Based on the New Pinheiros River Program, São Paulo, Brazil. Front. Sustain. Cities 2021, 3, 683660. [Google Scholar] [CrossRef]
- Cunha, D.G.F.; Grull, D.; Damato, M.; Blum, J.R.C.; Eiger, S.; Lutti, J.E.I.; Mancuso, P.C.S. Contiguous Urban Rivers Should Not Be Necessarily Submitted to the Same Management Plan: The Case of Tietê and Pinheiros Rivers (São Paulo-Brazil). An. Acad. Bras. Ciências 2011, 83, 1465–1479. [Google Scholar] [CrossRef] [PubMed]
- Pereira, M.C.S.; Martins, J.R.S.; Nogueira, F.F.; Magalhães, A.A.B.; da Silva, F.P. Improvement of Water Quality in Urban Rivers: New Paradigms to Explore—Pinheiros River Basin, São Paulo, Brazil. Eng. Sanit. Ambient. 2021, 26, 577–590. [Google Scholar] [CrossRef]
- Kim, H.; Jang, C.-h. A Review on Ancient Urban Stream Management for Flood Mitigation in the Capital of the Joseon Dynasty, Korea. J. Hydro-Environ. Res. 2019, 22, 14–18. [Google Scholar] [CrossRef]
- Temperton, V.M.; Higgs, E.; Choi, Y.D.; Allen, E.; Lamb, D.; Lee, C.S.; Harris, J.; Hobbs, R.J.; Zedler, J.B. Flexible and Adaptable Restoration: An Example from South Korea. Restor. Ecol. 2014, 22, 271–278. [Google Scholar] [CrossRef]
- Johnson, J.P.; Hunt, W.F. A Retrospective Comparison of Water Quality Treatment in a Bioretention Cell 16 Years Following Initial Analysis. Sustainability 2019, 11, 1945. [Google Scholar] [CrossRef]
- Taniwaki, R.H.; Piggott, J.J.; Ferraz, S.F.B.; Matthaei, C.D. Climate Change and Multiple Stressors in Small Tropical Streams. Hydrobiologia 2017, 793, 41–53. [Google Scholar] [CrossRef]
- Brasil, J.; Attayde, J.L.; Vasconcelos, F.R.; Dantas, D.D.F.; Huszar, V.L.M. Drought-Induced Water-Level Reduction Favors Cyanobacteria Blooms in Tropical Shallow Lakes. Hydrobiologia 2016, 770, 145–164. [Google Scholar] [CrossRef]



Disclaimer/Publisher’s Note: The statements, opinions and data contained in all publications are solely those of the individual author(s) and contributor(s) and not of MDPI and/or the editor(s). MDPI and/or the editor(s) disclaim responsibility for any injury to people or property resulting from any ideas, methods, instructions or products referred to in the content. |
© 2024 by the authors. Licensee MDPI, Basel, Switzerland. This article is an open access article distributed under the terms and conditions of the Creative Commons Attribution (CC BY) license (https://creativecommons.org/licenses/by/4.0/).
Share and Cite
Souza, F.H.B.; Morilla, M.; Guedes-Pereira, B.; Lemes, K.; Taniwaki, R.H. Temporal and Spatial Dynamics of Carbon, Nitrogen, and Phosphorus in a Subtropical Urban River (Tamanduateí River, São Paulo, Brazil). Limnol. Rev. 2024, 24, 557-567. https://doi.org/10.3390/limnolrev24040032
Souza FHB, Morilla M, Guedes-Pereira B, Lemes K, Taniwaki RH. Temporal and Spatial Dynamics of Carbon, Nitrogen, and Phosphorus in a Subtropical Urban River (Tamanduateí River, São Paulo, Brazil). Limnological Review. 2024; 24(4):557-567. https://doi.org/10.3390/limnolrev24040032
Chicago/Turabian StyleSouza, Flávio H. B., Mariana Morilla, Beatriz Guedes-Pereira, Kauê Lemes, and Ricardo H. Taniwaki. 2024. "Temporal and Spatial Dynamics of Carbon, Nitrogen, and Phosphorus in a Subtropical Urban River (Tamanduateí River, São Paulo, Brazil)" Limnological Review 24, no. 4: 557-567. https://doi.org/10.3390/limnolrev24040032
APA StyleSouza, F. H. B., Morilla, M., Guedes-Pereira, B., Lemes, K., & Taniwaki, R. H. (2024). Temporal and Spatial Dynamics of Carbon, Nitrogen, and Phosphorus in a Subtropical Urban River (Tamanduateí River, São Paulo, Brazil). Limnological Review, 24(4), 557-567. https://doi.org/10.3390/limnolrev24040032

