Next Article in Journal
Modeling of Nonlinear Systems: Method of Optimal Injections
Next Article in Special Issue
Detection of Abnormal Pedestrian Flows with Automatic Contextualization Using Pre-Trained YOLO11n
Previous Article in Journal
Multiclass Evaluation of Vision Transformers for Industrial Welding Defect Detection
 
 
Font Type:
Arial Georgia Verdana
Font Size:
Aa Aa Aa
Line Spacing:
Column Width:
Background:
Article

Imaging Estimation for Liver Damage Using Automated Approach Based on Genetic Programming

by
David Herrera-Sánchez
1,
Héctor-Gabriel Acosta-Mesa
1,*,
Efrén Mezura-Montes
1,
Socorro Herrera-Meza
2,
Eduardo Rivadeneyra-Domínguez
3,
Isaac Zamora-Bello
3 and
María Fernanda Almanza-Domínguez
3
1
Artificial Intelligence Research Institute, Universidad Veracruzana, Xalapa 91097, Mexico
2
Psychological Research Institute, Universidad Veracruzana, Xalapa 91097, Mexico
3
Faculty of Biological Pharmaceutical Chemistry, Universidad Veracruzana, Xalapa 91097, Mexico
*
Author to whom correspondence should be addressed.
Math. Comput. Appl. 2025, 30(2), 25; https://doi.org/10.3390/mca30020025
Submission received: 16 January 2025 / Revised: 14 February 2025 / Accepted: 25 February 2025 / Published: 28 February 2025
(This article belongs to the Special Issue New Trends in Computational Intelligence and Applications 2024)

Abstract

Computer vision and image processing have become relevant in recent years due to their capabilities to support different tasks in several areas. Image classification, segmentation, and estimation are relevant issues addressed using various techniques. Imaging estimation is very important and helpful in biological applications. This work proposes a new approach for estimating the damages in the livers of the Wistar rats, using high-resolution RGB images. Instead of using invasive methods to determine the level of damage, the proposal allows us to measure the damage in the livers. The proposal is based on Genetic Programming (GP), the paradigm of evolutionary computing, which has become relevant in recent years for image-processing tasks. It provides flexibility, which allows the use of image processing functions to extract meaningful information from raw images. Furthermore, it allows the configuration of the regression model by performing a hyperparameter tuning to improve estimation performance. The approach includes a new set of functions through which the regression model is configured. Additionally, a set of functions is included to change the color spaces of the images to extract meaningful features from them. The results demonstrate the effectiveness of our approach when making the hyperparameter tuning and the efficiency in dealing with different color spaces, thus achieving the promised results when estimating according to the R 2 , Mean Average Error (MAE), Mean Squared Error (MSE) and Root Mean Squared Error (RMSE) indicators. The proposed method achieves values higher than 0.5 of R 2 and lower than 0.51 of MSE, using different regression models. Additionally, the approach demonstrates that image preprocessing is necessary for improving the model’s performance, which is better than only using raw data where the values of RMSE are greater than 1.5. The lowest MSE value of our proposed method was 0.51, outperforming the methods without preprocessing.

Graphical Abstract

1. Introduction

Estimation based on image analysis has become relevant in the last few years because it can support several research areas. Notably, in the medical field, damage estimation based on image analysis has been beneficial for medical diagnosis and monitoring. These tools improve and provide feedback to medical personnel so that they can make informed decisions. Different sources of in vivo images exist in the medical field, including Computerized Tomography (CT), magnetic resonance imaging (MRI), and ultrasound, which play important roles in pathological detection. On the other hand, ex vivo images are used in some medical evaluations due to their quality. This way, they can be obtained according to camera, light, and position requirements, among others, which is not possible with in vivo images. Working with both types of images (in vivo and ex vivo) can contain noise alterations, which reduces the image quality. Even if the image quality is high, preprocessing is necessary for the model predictor to extract and use important features.
This work uses the images of Wistar rat livers in ex vivo. The focus of our research includes dealing with images of the liver. It is a vital organ responsible for metabolism and detoxification. Nevertheless, it can be vulnerable to damage from different sources such as alcohol, medicine, drugs, and viral infections, among others [1]. The images allow a direct evaluation of the severity of liver damage, giving information about the extent of the damages caused by different sources. Furthermore, measuring the severity of liver damage allows for identifying the effectiveness of medical treatments, which is a part of this research. Traditionally, liver damage is measured through invasive methods with special stains, for example, trichrome, reticulin, iron, etc [2]. Those methods represent consumption of monetary resources and time. Another disadvantage is that the liver can be stained only once, and further clinical analyses cannot be performed.
In this scenario, the procedure can be improved with new automated methods, which allows for the estimation of liver damage using digital images and is a good and financially viable alternative.
This work proposes an automated approach based on genetic programming for image analysis and liver damage estimation. GP has demonstrated the capability to select the adequate functions for image processing, which allows for the modification of images as part of image analysis. Also, it explores the different combinations of these functions applied to the images. Instead of trial and error by hand, GP performs these combinations automatically and searches for them, which improves the estimation.
Unlike other methods that only use grayscale images, our approach harnesses the information given by the colors. Our proposal uses different color spaces for image processing, which allows us to extract meaningful features from those spaces and improve estimation performance.
The approach optimizes the regression model, but it also optimizes the set of functions and their parameters automatically in order to improve the performance of the estimation. The proposed approach is termed GPIPE, Genetic Programming, Image Processing, and Estimation.
To make a representative estimation using the images, it is necessary to use image processing methods, such as image enhancement techniques, filters, and morphologic operators, to extract and construct important features from them.
As part of the search process of GP, and as was mentioned above, finding adequate image processing functions or techniques by hand to extract relevant information from the images is difficult and requires strenuous effort and is time consuming. For this reason, the automated approach, which was proposed based on the GP, performs a search of techniques and methods of image processing to extract the most useful features from the images. Most image processing works for classification and estimation and uses grayscale images due to the source of the image acquisition, such as MRI or CT. However, in this case, the database contains color images. Genetic programming is exploited, given its flexibility to implement different useful functions for different color spaces.
The main contribution of this study can be summarized as follows:
  • The GPIPE approach includes a new set of functions for performing feature engineering and uses image processing functions, which include functions for regression models.
  • As part of the automation, the approach automatically performs the hyperparameter tuning for the regression model and the function’s parameters.
  • The approach selects a set of functions to extract the most representative features of the images by using different color spaces, which allows for the inclusion of more representative information in the regression models, instead of just using grayscale images.
The remainder of this paper is organized as follows. Section 2 introduces the basics of genetic programming and related work. Section 3, the proposed approach is detailed. Section 4 describes the experimental design. Section 5 reports the results and discussion and demonstrates the effectiveness of our approach. Section 6 provides the conclusion and future work.

2. Background and Related Work

2.1. Genetic Programming

Genetic programming (GP) is a paradigm of evolutionary computation based on evolution theory. Recently, it has shown competitive performance in solving problems in different areas and has become relevant for large applications in different areas to solve problems. It is also well-known for evolving computer programs. The main known approaches of GP are the Cartesian Genetic Programming (CGP) [3], the Linear Genetic Programming (LGP) [4], Grammar Guided Genetic Programming (GG-GP) [5], and the well-known Tree-based Genetic Programming [6]. This last one is used in this research.
Based on the evolution metaphor, evolutionary computation is used to solve problems. The individuals of the population represent possible solutions for the problem, and the individual’s fitness represents the quality of the solution according to the problem to solve, which is the environment.
Within the environment, a population of individuals is trying to survive. There is a fight among them to exploit the resources; in this way, the fitness individual is the survival. Additionally, the individuals generate descendants, ensuring the survival of the species. In the same way, some individuals generate changes to adapt to the environment [6].
In the last decades, GP has been taken into consideration for solving image processing problems in different areas such as image classification [7,8,9,10,11], enhancement [12,13,14], segmentation [15], rendering  [16,17], and object detection [18,19,20]. This paradigm has been adopted mainly due to its flexibility in representing the solutions. The usual representation is by trees. Within the trees, there are node functions, variables, and constants. The node function is the main reason for using this paradigm because in these nodes, it is possible to use computational programs, arithmetic functions, or whatever function that implements the designer.
The set of functions is chosen according to the problem to solve. Moving GP into image processing, the functions can be morphologic operators, filters, or enhancement functions. The leaf nodes are constants or variables. The set of terminals typically is the input data or information and can be constants, variables, or random numbers. In the case of image processing, the terminals can be pixel values, regions of the image such as coordinates that indicate the pixel position, one image, or a set of images. The way to assign the quality of each individual is through fitness function. In the evolutive process, there are two selections of individuals. The first is to select the individuals that will generate offspring (parents’ selection), and the second is to select the individuals that will survive for the next generation. Crossover and mutation are used in this paradigm to create new individuals. The objective is to create diversity in the population for the next generations. This way, different crossover and mutation operators are used [21].
An improvement of GP is the Strongly Typed Genetic Programming (STGP) [22]. It restricts the type of data manipulated by the node functions. In other words, in case one function works with a different data type, integers, floats, matrix, tensors, or characters, STGP restricts the data input. STGP makes sure that functions only work with the data type necessary to make the operation. Using this upgrade allows the development of methods of image processing, where each function works with the different data types and can additionally manipulate the parameters of those functions.

2.2. Related Work of GP for Image Classification

One of the first works reported for feature engineering is [23]. It enhances medical images of magnetic resonance. Interestingly, it does not use a fitness function to evaluate the solution. Instead, the way to evaluate potential solutions is through expert criterium according to the features perceived in the image. This is because the visual enhancement depends on the user who evaluates the magnetic resonance.
In [24], they make a feature extraction and image classification using genetic programming. This work is one of the first approaches to using statistical measures as functions. However, it does not use complete methods because the objective was to create a function with the ability to make the classification without a classifier algorithm.
Then, as a continuation of the research in  [25] modifies the approach to make the process into two layers, considering the type of nodes. In the upper layer are the classification functions, where arithmetic operators and conditional functions are used. The aggregation functions in the lower layer use statistical functions such as mean, standard deviation, maximum, and minimum. And the terminal nodes are the image or a region of the image with different forms such as square, circle, rectangle, column, or row. Four databases Coins, Faces detection, Cell recognition, Pedestrian detection were used to test the method’s performance, which obtained good results.
The morphologic operators to enhance the images are used in [12]. The approach tests binary and grayscale images. The operators included erosion, dilatation, opening, and closing. It also has logical functions such as AND, OR, and XOR.
Image enhancement is presented in [26]. Therefore, it has adaptability for the images that it receives. The proposal is based on the fact that removing Gaussian noise is not a good idea because some edges are degraded. Thus, genetic programming takes control to determine when to use a linear filter or no linear filter in pixels with different textures in the images. The grouping is made by K-means and Singular Value Decomposition (SVD). The functions included are bilateral filters with different sigma values, basic arithmetic operators, and Gaussian filters. Bilateral filters are used due to their low computational cost, resulting in fast processing.
Another method that uses genetic programming to make an image restoration is presented in [13]. This work uses only basic arithmetic operators as function nodes. In the terminal nodes are statistical measures such as mean, median, variance, and standard deviation, all applied in regions of the images. The method is compared with the results of Gaussian and median filters. Although the performance is not outstanding, it enhances some image regions using just arithmetic operators.
As previously mentioned, genetic programming has been used in medical images; other work is [27,28,29] where feature extraction using arithmetic functions and descriptors methods as a local binary pattern (LBP) is performed. Additionally, it uses grayscale and color images. The function nodes use arithmetic functions, and the terminal nodes are the features extracted with LBP based on the geometry and the color variation. After the evolutionary process, the constructed features are evaluated for the classifiers. The approach does not make parameter tuning.
The works related to feature construction and extraction for image classification are the next. In [30], the authors perform preprocessing in the image database by applying normalization and size adjustment. Then, using the STGP, the individuals are structured in layers. The input in terminal nodes are regions of the images, and then preprocessing is applied in these regions. Feature extraction is the next step, then it makes a feature construction to create a new representation of the information, and finally, the classification is applied in the root node. The node is a conditional function and does not use a classifier. It uses four image databases to test, and the performance obtains favorable results.
A similar approach can be found in [8], where the authors used a set of functions, which included SIFT, LBP, and feature concatenation, where 2 or 3 features are mixed. As the previous work mentioned, the set of terminal nodes selects regions from the images, and they are the input in the tree. This work is only tested with face expression image databases. The performance is competitive; high values regarding other image classification methods are obtained.
Another classification approach using GP is  [31]. It is based on the methods previously mentioned. The proposal changes the function set and adds restoration functions such as Unsharp Mask, image equalization, and total variation filter, among others. The features extracted from the images are mixed and concatenated to generate a feature vector and develop the classification. The classifier used is the SVM.
In [32] deals with medical image classification using X-ray and Computerized Tomography images. The proposal is to make a hyperparameter tuning for the Support Vector Machine and Relevance Vector Machine. Also, the approach deals with the parameters of the functions used to extract features from the images. The classification accuracy is improved. The interesting part is that it uses functions based on tensors to speed up the image processing.
The approach [33] shows a competitive performance regarding the previous methods. It uses STGP to make layers within the solution tree. The lowest level (inputs or leaf nodes) is the set of images. Then, turning up to the next layer is feature learning, where filters such as the Gaussian and Gabor filters, Sobel, HOF, SIFT, and LBP are included. The next level is the concatenation layer, which concatenates the features extracted in previous levels. Then, the classifiers are at the next level. The classification algorithms included are Linear Regression, K-NN, SVM, RF, ERF, and AdaBoost. Within the individual, at least three classifiers can appear at this level. In this way, each one predicts the class and, among them, makes a vote to classify the instance. This means if within the solution are four classifiers, three of which determine that one image belongs to Class A, and one decides that it belongs to Class B, the image is classified as Class A through votation. As part of including more than one classifier per solution (three or more), the computation cost is high. The performance is outstanding in four of the five image databases where the approach was tested. Although the approach includes classifiers within the solution, it does not develop a parameter tuning.

2.3. Related Work of Liver Image Analysis

For liver analysis some work related to our objectives are the next ones.
In [34], the authors use MRI images in vivo to determine affected areas generated by fibrosis. Furthermore, the images are processed by hand to generate quantitative maps about some tissue properties after image acquisition. Then, it is marked as a region of interest in the liver parenchyma. Additionally, hepatic tissues are collected for more histologic analysis using the staining method to compare the relationship between the results given for the images.
Guo et al. [35] use a non-invasive methodology as a liver biopsy using acoustic radiation force impulse (ARFI) to evaluate hepatic fibrosis, which uses a shear wave to measure the mechanic properties of the tissue, such as liver stiffness. It demonstrates that the ARFI methodology allows the identification of normal livers, simple steatosis, and non-alcoholic steatohepatitis. Furthermore, it includes statistical evidence between the shear wave velocity and liver features such as fibrosis, inflammation, and steatosis obtained using the stained technique.
Lee et al. [36] present a detailed analysis using an acoustic structure quantification (ASQ) technique to determine liver steatosis in rats. The proposal is that the steatosis hepatic can be measured using the focal disturbance metric. Also, the results given by the disturbance were compared with the magnetic resonance spectroscopy. It is demonstrated that there exists a negative correlation between the FD ratio calculated using the ASQ and the estimated fat fraction given by magnetic resonance spectroscopy.
In [37], the authors propose to use a quantitative approach assisted by image analysis to classify nonalcoholic fatty liver disease. The proposal is based on ultrasound images and analyzed using Image J software (Image J bundled with 64-bit Java 1.8.0_112) The measurements are called LGV and RGV, representing liver and renal grayscale values obtained from a region of interest in the image. Also, include the LRGV metric, which is the difference among them. The results from these metrics were compared with pathologic stained results to determine the degree of damage in the liver.
As we can see, several approaches focus on image classification, image enhancement, and image segmentation. Additionally, some proposals have been made to determine liver diseases and classification using images. However, the methodology involves software and requires making it by hand to extract meaningful features from the images. There is no report on the use of color images of livers. In this way, it is important to remark on including color images. The features within specific color spaces can provide representative information of the liver tissue. Additionally, no genetic programming approach has been reported to estimate liver damage using images or image processing techniques. In this way, developing this approach to perform the estimation automatically is helpful for two main reasons. The first one is that image processing is faster than performing the staining process. The second one is the resources and materials saved for estimation using the typical methods. Another advantage is that the algorithm offers a procedure for extracting features from the images and determining the regression model with the appropriate parameters to achieve good performance. Also, our proposal can handle color images and sizes over 128 × 128 pixels.

3. The Proposed Approach

For image regression, it is necessary to make a preprocessing step to obtain more efficient features that contain relevant information for the regression model. This way, a new set of functions is proposed to obtain more information from different color spaces. The overall process contains a preprocessing step where a set of feature extraction and construction functions are included. In this step are included the functions to change the color space. And finally, in the root node, only one regression model is configured. The general pipeline of the approach is shown in Figure 1.

3.1. Representation

The GP representation is through trees where the internal nodes contain the functions from the function set. The leaf nodes are the set of terminals. It is also based on STGP [22], where the inputs and outputs of the functions are restricted to a defined type of data. Figure 2 shows an example of the individual representation. The flexibility offered by GP allows us to implement different functions, and specifically for image processing, the functions can be morphologic operators, filters, or enhancement functions. The set of terminals is typically the input data or information. They can be constants, variables, or random numbers. In the case of image processing, the terminals can be pixel values, regions of the image, or coordinates that select a specific region/pixel in the image and also values for functions declared in the function set.

3.2. New Functions Set

The new function set proposed in this approach undergoes different process in the image. We are focused on work with global feature extraction and global enhancement. One of the advantages is that each function for image processing is based on tensors, capable of dealing with a considerable amount of images simultaneously.

3.2.1. Color Spaces

This set of functions focuses on changing the images’ color space. We can move from RGB into LAB or HSV color spaces. Also, the images can move into the RGB from the LAB or HSV. All the images used in the search process are read in RGB color space. The input of these functions is the tensor that contains the set of images.

3.2.2. Construction

Two functions are used to create and combine two different images to construct a new one to get a new level of information from them. The function add makes the arithmetical addition of two images. The subtraction performs the arithmetic subtraction of two images.

3.2.3. Image Enhancement

The functions used for image enhancement are histogram equalization, sharpness adjustment, and brightness adjustment. Histogram equalization only receives a tensor as input and performs the equalization of the received images. The sharpness adjustment receives as input the tensor image and two parameters for the function. The integer sets the size of the kernel between 3 and 9. The float value sets the sharpness strength and can take values between 0.1 and 0.9. Brightness adjustment receives as input the tensor and one parameter. The parameter is a float value between −0.5 and 0.5.

3.2.4. Morphologic Operators

The morphologic operators contain the erosion, dilatation, opening, closing, and gradient. It is well-known that morphological operators work with grayscale and binary images. However, in this application, the operator is performed in each canal for the three color spaces included within the algorithm. They all receive a tensor as input and an integer that sets the kernel size.

3.2.5. Filter

The approach only includes three functions as filters. Sobel filter, Gaussian Filter, Box Blur, and Motion Blur. The Sobel filter function only receives a tensor as input. The Gaussian Filter and Box Blur functions receive a tensor as input and an integer as a parameter to set the kernel size. The values that can be taken are odds between 3 and 9. The motion blur function receives a tensor as input and the two integers. The first integer sets the size of the kernel, such as the Gaussian Filter. The second integer sets the angle of variation of the filter applied. It takes a value between 0 and 90.

3.3. Regression Models

This set of functions only appears in the root node. Three regression models are used in this approach: Linear [38], Lasso [39], and K-NN [40]. These regression models share the inputs of the previously modified images’ tensors, the data labels, and a flag that indicates whether the model is training or testing. On the other hand, some regression models have different parameters to fix. The simplest linear regression model does not use a hyperparameter. The first one to fix is the Lasso Regressor. Despite simple linear regression, it uses L1 regularization to penalize some features. It uses the hyperparameter Alpha with a value range of 0 to 5. The second one is the regressor model K-Nearest Neighbors. It uses the hyperparameter for the K neighbors from 1 to 5.
The majority of the function is focused on extracting features globally. In this way, we avoid extracting features within a specific area in the image. Regarding the color space functions, it has been demonstrated in the literature that we can extract different features from the images by changing the color space [10]. This way, the functions to change the color space are added to the GP. The objective is to find which of them are the most representative to extract features and increase the performance of the regression. Considering this, each function or operator will give us different features from the other color spaces. This is because the pixel values change in different color spaces. This ensures that after changing the space, the features will be different. With the feature construction, in our case, the functions are only addition and subtraction. Both functions mix two different values to construct another one, and each function can combine two color space values. Using only the grayscale for image regression does not allow us to know the important features in each color channel.

3.4. Terminal Set

The GP’s terminals contain tensors, integers, float values, and strings. The terminal data are a tensor containing the image set. Labels contains the label used for the damage value of the livers. This terminal only fits in the function of the regressor. Kernel1 and kernel2 sets the kernel size used in some functions. It is an integer value between three and nine and an odd value in the same range, respectively. Angle is an integer value between 0 and 90 to set the angle of the filter. Std_dev and Brightness are float values between 0.1 and 0.9 and −0.5 and 0.5, respectively. Both set the parameter in two image enhancement functions. The terminals Alpha and Neighbors are integer values. The hyperparameters they set are L1 regularization for the Lasso regressor and the number of neighbors of the K-NN regressor, respectively.

3.5. Fitness Function

Since our proposal searches the set of operations with the best model estimation performance, R 2 measure is used to evaluate the attitude of each individual. This measure takes into consideration the correlation between estimated results and measured values. It is defined as follows:
R 2 = 1 i = 1 m ( X i Y i ) 2 i = 1 m ( Y ¯ Y i ) 2
As we can see, the fitness function indicates that the objective is to maximize the value of R 2 to 1. Also, it provides a relative measure of fit that is useful to compare different models.

3.6. Algorithm Overall

As part of the evolutionary algorithm, GP starts in generation zero, randomly creating the initial population of individuals/solutions. Each solution is created with the terminals and function nodes using the Ramped half-and-half method [6]. Then, the individuals are evaluated to obtain fitness using the training set of images and their labels. In the evolution process, each generation selects the best individuals within the population. Also, individuals are selected using the tournament selection and then are generated offspring using the crossover and mutation operators. Then, the new individuals are evaluated. The new populations are the new individuals and the best individuals previously selected. In this way, we keep the best individuals in the population during the evolution process. As output, we obtain the best individual. It contains adequate functions that give the regressor the most representative information. Also, the individual contains the regressor model with the parameter that performs better for damage estimation.
In the individual, the input is the images and the labels for the training process. Then, all the functions within the tree are performed to construct and extract features from the images. Then, all the images already modified are introduced in the model for training and testing. It is important to note that all the color images modified are used as input for the model.
The functions included in the GP are described in Table 1 and the terminals in Table 2.
The GPIPE pseudocode is shown in Algorithm 1.
Algorithm 1: GPIPE algorithm.
Mca 30 00025 i001

4. Experiment Design

4.1. Dataset and Computational Resources

The images used for this proposal were obtained from an experimental biochemical laboratory, where rats received different liver treatments through oral administration. During the study, rats were divided into groups as follows:
  • Safe Control;
  • Metabolic syndrome;
  • Metabolic syndrome with a low dose of guava leaf extract ( 0.35 m g m L during 30 days);
  • Metabolic syndrome with a medium dose of guava leaf extract ( 10.72 m g m L during 30 days);
  • Metabolic syndrome with a high dose of guava leaf extract ( 16.065 m g m L during 30 days).
The rats’ liver was then recorded in images to obtain the treatment’s effectiveness. The objective of the laboratory study was to evaluate hepatic damage produced by various etiologies such as high-carbohydrate and high-fat diets or drug consumption such as paracetamol or antibiotics. In this way, the purpose was to assess the degree of progression of liver diseases like non-alcoholic fatty liver disease. The values range from 1 to 4. A value of 1 means that the liver is sane; otherwise, a value of 4 means the highest damage to the liver. The range also comes from the groups of rats. A group of safe controls exists in which individuals do not receive treatment; the other extreme is where the individuals receive treatment with the maximum dose. The liver damage was assigned to each level after analyzing the liver profile that included the transaminase enzymes (AST/SGOT and ALT/SGPT), alkaline phosphatase (ALP), and gamma glutamyl transferase (GGT). In addition, the liver was weighed and the histopathological analysis of the organ was obtained.
The balanced dataset contains 24 color images of rat livers treated according to the above-mentioned treatment. Each image is paired with a damage value given by the expert who already knows the damage. It contains four levels defined, and each level contains six images, as is shown in Figure 3.
The acquisition process consisted of collocating each liver into a platform with a white background to highlight the red color of the livers. The image acquisition system is the same as that in [41], where is used a diffusion box to reduce specular reflexes. Also, it contains an artificial illumination environment to maintain uniform intensity and light dispersion. The camera used is a SONY digital camera model ILCE 3500 of 20 MP. After capturing, they were resized to 2092 × 9092 pixels.
Additionally, a segmentation process was developed to eliminate the information pixels on the white background as is shown in Figure 4. This way, all the images were converted into grayscale to obtain the umbral segmentation using the well-known Otsu’s method. After that, the umbral value was applied to each RGB image channel, which removed the white background.
All the images are in RGB color space. For the experimental setting, they were resized to 256 × 256 pixels. Figure 4 shows examples of each level for liver damage and the liver segmented, without background.
Due to the few instances, the dataset is split into 50% for training and 50% for testing. The experiments were run on a computer with a GPU GTX 1050-ti and i-8750H processor with 16GB RAM. It was developed in Python 3 using the well-known package DEAP [42], Scikit-learn [43], and Kornia [44].
The algorithm was run 30 times with different random seeds for each regressor model.

4.2. Parameter Settings

The parameters for the evolutionary process, such as population size, crossover and mutation rate, and maximum and minimum tree depth, were taken from [11,32] due to the achievements registered in several approaches. The number of individuals is 500, and the number of generations is set to 50. The crossover and mutation rates are set at 0.8 and 0.19, respectively. In order to have diversity, the initial population is created using the Ramped-Half-and-Half method [6]. Furthermore, the minimum and maximum tree depth are set to 4 and 12, respectively. To avoid the bloat during the evolutionary process, the depth limit is also set to 12. The selection method is through a tournament with size of 5 individuals. Finally, the elitism rate is set to 0.01 ensuring to keep the best individuals during the evolutionary process. The parameter settings used for this experiment are described in Table 3.

4.3. Benchmark Methods

Several methods are used for comparison, including the regression models in our proposal approach. These regression models are Linear Regression, Lasso with different values for Alpha = 1 … 5 and K-Nearest Neighbor with varying values for K = 1 … 5. Also, some image processing + regression models are considered for comparison, such as Sobel + Linear Regression, Histogram Equalization + K-NN, and Erosion + Linear Regression. The aim is to compare the effectiveness of the image processing, including the feature construction and feature extraction. Furthermore, using the regression models mentioned above, different color spaces and grayscale images are considered for estimation without feature extraction. We employ 31 different methods and the GPIPE for each regression model for the comparison.

5. Results and Discussion

Table 4 lists the indicators for the regression of GPIPE and comparison methods on the dataset. The results include the median for the GPIPE approach of the 30 runs. The Wilcoxon rank-sum test is performed with a 95% significance level to compare the performance of our approach with that of a benchmark method. The symbol ↑ indicates that our approach performs significantly better than the comparison method. The symbol “=” indicates that our approach and the comparison method achieve similar performance without a significant difference. The better values for each performance indicator are marked in bold.

5.1. GPIPE and Benchmark Methods

The results indicate that the GPIPE–Lasso approach has the highest median value of R 2 regarding the benchmark methods. It indicates that the whole model obtained from the GPIPE, including the feature engineering for the images, is relevant to the regressor model when estimating the damage in the liver. On the other hand, the other no GPIPE methods still have a value of zero for the coefficient of determination R 2 . In this way, those methods do not have important information from the images to estimate the damage level in the livers. Also, 23 methods demonstrate greater values for MAE and MSE, which are higher than 1.0, meanwhile, our approaches GPIPE have the lowest values of the other methods. The method with the lowest value for RMSE is GPIPE–Linear Regression with 0.71 units, and the highest value is for the method K-NN (K = 1) with 2.04. Something interesting is the behavior of the linear regression when the Sobel filter was used. The MAE, MSE, and RMSE decrease, demonstrating that only with one image processing function applied to the set of images can the regressor obtain more information and make an estimation. However, applying the preprocessing step in some cases can lead the regression model to poor performance. The fourth-lowest MAE value comes from histogram equalization + K-NN (K = 10), HSV + K-NN, and LAB + K-NN. It is proven that for some regression models, color is important to consider due to the features and information that are provided when estimating. However, it is necessary to select the adequate parameters for the regressor. In this case, the K-value is set to 10.
The three GPIPE methods perform better than the other 35 methods, where the different regression models are set, and different image processing functions are used. At this point, it is demonstrated that the features extracted from the images using different operators and color spaces help improve the regression model’s performance. Additionally, CNNs known as LeNet-5 [45], ResNet-50 [46], DenseNet-121 [47], and CNN-7 designed by hand were added as comparison methods. They were modified in the last layer to perform the estimation instead of classification. However, the performance achieved is lower than the GPIPE approach. Only the LeNet-5 and CNN-7 achieved values of MAE less than 1.0.
As part of the advantage, the search process was made automatically. The parameters for the GPIPE using the three regression models were performed without trial and error by hand. Despite the 35 methods, they were made by hand, and the parameters for each function and the hyperparameter for the regression models were set. This way, the evolutionary process speeds up the search for adequate parameters, always considering the regression model’s performance. It saved time for training and testing several parameters.

5.2. GPIPE–Regression Models

As is shown in Table 5, our approach’s results using only the Lasso Regression model have the highest mean and median value of R 2 . Also, it has the maximum value of 30 runs, achieving 0.76 in the R 2 indicator. The maximum value indicates that the model can explain approximately 76% of the variation from the damage in the liver. Regarding Mean Squared Error and Root Mean Squared Error estimators, the lowest median value is obtained using GPIPE–linear regression. This means that the errors are lower than those of the other regression models when an estimation is made. Considering these performance indicators, we can infer that the predictions are closer than the observed values. On the other hand, GPIPE–linear regression, has the minimum values for the Mean Absolute Error, Mean Squared Error, and Root Mean Squared Error.
The Wilcoxon rank-sum test demonstrated that the performance of the three regression models was not significantly different.
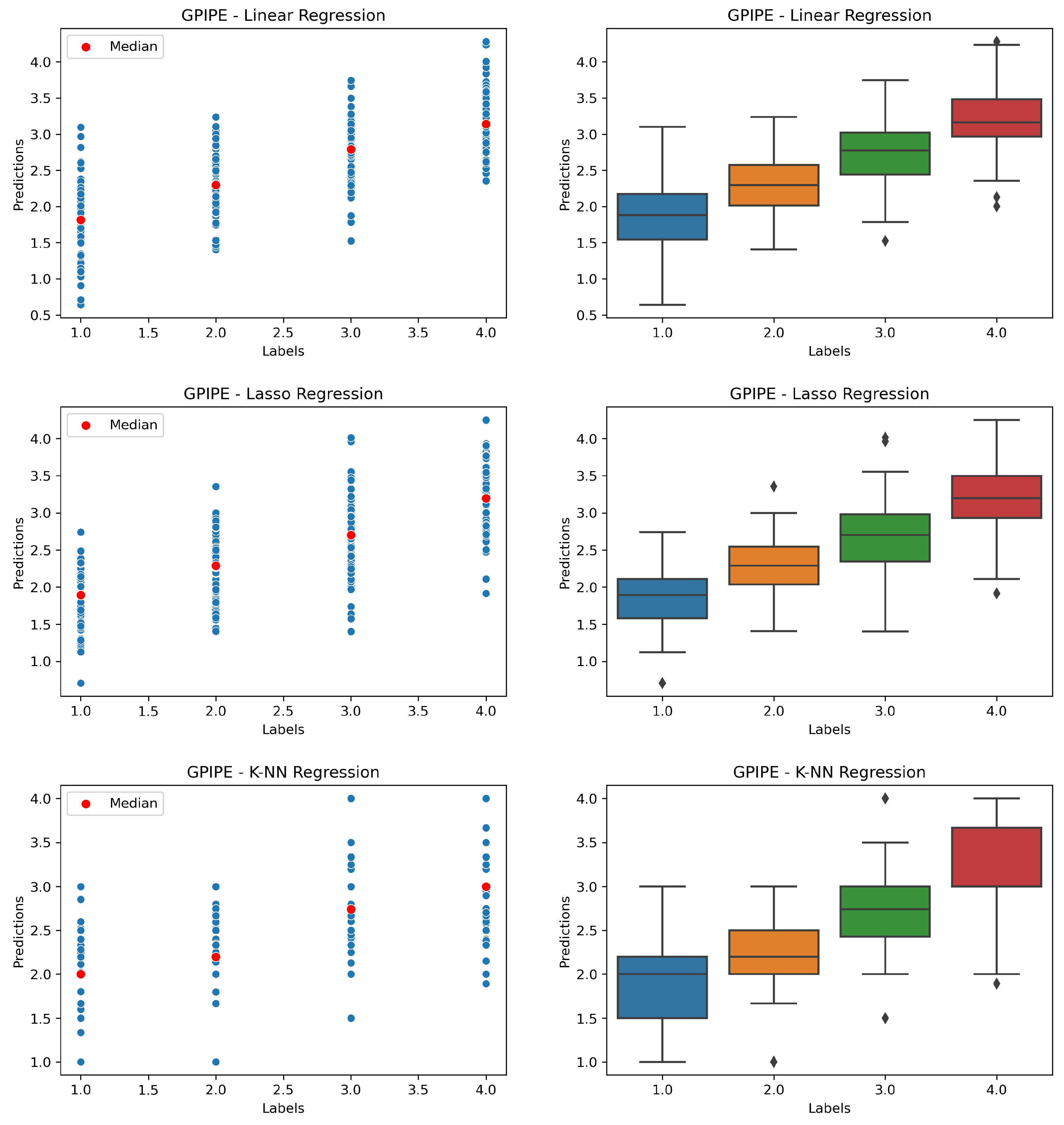
Figure 5 shows the scatter plot and the box plot of the accumulated predictions of GPIPE–regression models. The regressor’s predictions are in blue, and their median value is marked in red.
As we can observe, in the GPIPE–Linear regression, the median value predicted for value 1 is close to value 2. Also, the dispersion of the prediction of value 1 is greatest regarding GPIPE–Lasso and K-NN regression models. However, after removing the outliers of GPIPE–Lasso, GPIPE–Linear Regression is the only one with values less than 1.0 at the prediction time. This behavior can be visualized in the box plot, specifically in the blue box. The extreme values of Linear Regression come from approximately 0.6 to 3.2.
The model with less dispersion for value 1 is GPIPE–Lasso. GPIPE–K-NN has the lowest dispersion for values 2 and 3, unlike GPIPE–Lasso. For value 4, the model with the lowest dispersion is GPIPE–Linear regression.
Although GPIPE–Linear and GPIPE–Lasso have some outliers, the boxes are separated. For the three GPIPE regressors, we can estimate adequately 1 and 4. Also, values 3 and 4 contain outliers. GPIPE–Lasso is the only one with outliers in all values.
Figure 6 shows the cumulative error probability curve of three models. The curve demonstrates that the portion of predictions made by each model has an absolute error. The cumulative represents the predictions of all executions by each model. Axis X represents the absolute error margin. Axis Y represents the predictions containing certain absolute errors. The Linear and Lasso regression models have a similar behavior, where the curve increases fast. The 80% of the predictions have an error of less than 1.0, and the 50% has an error value of less than 0.6. For the three models, the 40% is near 0.5 of absolute error. This means that 40% of the predictions have an error of less than 0.5. The behavior of the K-NN regressor is different from the other two models. This can suggest that there is more variability when making the predictions. Although the Wilcoxon rank-sum test demonstrates no significant difference, the plot provides this behavior in the predictions.

6. Conclusions and Future Work

This paper developed a novel approach for estimating liver damage by using color images. The approach uses color spaces as part of the search for feature engineering.
Also, the flexibility offered by GP is seized upon when tuning hyperparameters for the regression models and when optimizing the parameters of the set of functions. This is key for the optimization process at the time in order to select the appropriate parameters of the functions in the feature engineering.
Our proposed method demonstrates that a preprocessing step is necessary to extract more relevant information from the images. In this way, the regression model can be improved when image processing is applied, instead of only dealing with the raw data from the images. Although there is no significant difference between the GPIPE-lasso-linear regression and K-NN, it can estimate achieving values of R 2 greater than 0.5 in some runs. However, GPIPE stands out regarding the typical methods, where the model is not modified in the hyperparameters. Also, it is not enough to achieve competitive values when we only use one technique, such as erosion or histogram equalization. The results demonstrate that the step for constructing and extracting improves the performance of damage estimation.
Additionally, the automated approach saved time and human resources. Tuning each function used by hand in each regression model takes a considerable amount of time. Furthermore, the search made by GP can cover a considerable search space, which humans cannot explore if the solutions are tuned by hand.
As part of the future work, including more feature extraction functions can be helpful to see if they can improve the regression model’s performance. Also, it can be interesting to include a mechanism for the learning process relating to dealing with a few data instances. It is a common problem in medical imaging due to the few cases that are available for the training process. Furthermore, additional informational can be added as part of hybridization. Using tabular data and the RGB images can increase the performance of liver damage estimation. Additionally, it is important to consider including more images or using a dataset with more images in order to see the algorithm’s robustness. Since the results show that it can deal with color images, trying the model with other organs, such as lungs or kidneys, will be interesting. One may also include images with poor quality. On the other hand, more regression models should be used, including the well-known convolutional neural networks.

Author Contributions

Conceptualization, D.H.-S., H.-G.A.-M. and E.M.-M.; methodology, D.H.-S., H.-G.A.-M. and E.M.-M.; software, D.H.-S.; validation, H.-G.A.-M. and E.M.-M.; formal analysis, D.H.-S., H.-G.A.-M. and E.M.-M.; investigation, D.H.-S.; resources, D.H.-S., H.-G.A.-M., E.M.-M., S.H.-M., E.R.-D., I.Z.-B. and M.F.A.-D.; data curation, D.H.-S.; writing—original draft preparation, D.H.-S.; writing—review and editing, D.H.-S., H.-G.A.-M., E.M.-M., S.H.-M., E.R.-D., I.Z.-B. and M.F.A.-D.; visualization, D.H.-S.; supervision, D.H.-S., H.-G.A.-M., E.M.-M., S.H.-M., E.R.-D., I.Z.-B. and M.F.A.-D. All authors have read and agreed to the published version of the manuscript.

Funding

This research received no external funding.

Institutional Review Board Statement

The experimental protocol was approved by the Internal Committee for the Care and Use of Laboratory Animals of the Institute of Health Sciences of the Universidad Veracruzana, with registration number CICUAL-ICS-2024_01_001, dated 29 February 2024. All experiments were performed following the ARRIVE guidelines for reporting animal experiments.

Informed Consent Statement

Not applicable.

Data Availability Statement

The raw data supporting the conclusions of this article will be made available by the authors on request.

Acknowledgments

The first author acknowledges support from the Mexican Council for Humanities, Science, and Technology (CONAHCYT) through a scholarship to pursue graduate studies at the University of Veracruz. The authors acknowledge José-Luis Morales-Reyes, who contributed significantly to the photographic equipment and the image acquisition system he designed.

Conflicts of Interest

The authors declare no conflicts of interest.

Abbreviations

The following abbreviations are used in this manuscript:
GPgenetic programming
RGBColor space of Red, Green, and Red
MAEMean Average Error
MSEMean Squared Error
RMSERoot Mean Squared Error
CTComputer Tomography
MRImagnetic resonance imaging
GPIPEGenetic Programming, Image Processing, and Estimation
K-NNK-Nearest Neighbor
LABColor space CIELAB
HSVColor space for Hue, Saturation, Value

References

  1. Macpherson, I.; Abeysekera, K.W.M.; Harris, R.; Mansour, D.; McPherson, S.; Rowe, I.; Rosenberg, W.; Dillon, J.F.; Yeoman, A. Identification of liver disease: Why and how. Frontline Gastroenterol. 2022, 13, 367–373. [Google Scholar] [CrossRef]
  2. Krishna, M. Role of special stains in diagnostic liver pathology. Clin. Liver Dis. 2013, 2, S8. [Google Scholar] [CrossRef] [PubMed]
  3. Miller, J.F. Cartesian Genetic Programming. In Cartesian Genetic Programming; Springer: Berlin/Heidelberg, Germany, 2011; pp. 17–34. [Google Scholar] [CrossRef]
  4. Brameier, M.F.; Banzhaf, W. Linear Genetic Programming; Springer: New York, NY, USA, 2007. [Google Scholar] [CrossRef]
  5. Mckay, R.I.; Hoai, N.X.; Whigham, P.A.; Shan, Y.; O’Neill, M. Grammar-based Genetic Programming: A survey. Genet. Program. Evolvable Mach. 2010, 11, 365–396. [Google Scholar] [CrossRef]
  6. Koza, J.R. Genetic Programming: On the Programming of Computers by Means of Natural Selection (Complex Adaptive Systems); The MIT Press: Cambridge, MA, USA, 1992. [Google Scholar]
  7. Bi, Y.; Xue, B.; Zhang, M. An Automated Ensemble Learning Framework Using Genetic Programming for Image Classification. In Proceedings of the Genetic and Evolutionary Computation Conference, New York, NY, USA, 13 July 2019; GECCO’19. pp. 365–373. [Google Scholar] [CrossRef]
  8. Ying Bi, B.X.; Zhang, M. Genetic Programming-Based Feature Learning for Facial Expression Classification. In Proceedings of the 2020 IEEE Congress on Evolutionary Computation (CEC), Glasgow, UK, 19–24 July 2020. [Google Scholar] [CrossRef]
  9. Shao, L.; Liu, L.; Li, X. Feature Learning for Image Classification Via Multiobjective Genetic Programming. IEEE Trans. Neural Netw. Learn. Syst. 2014, 25, 1359–1371. [Google Scholar] [CrossRef]
  10. Herrera-Sánchez, D.; Acosta-Mesa, H.G.; Mezura-Montes, E.; Márquez-Grajales, A. Shifting Color Space for Image Classification using Genetic Programming. In Proceedings of the Genetic and Evolutionary Computation Conference Companion, New York, NY, USA, 14 July 2024; pp. 283–286. [Google Scholar] [CrossRef]
  11. Bi, Y.; Xue, B.; Zhang, M. Genetic Programming for Image Classification; Springer International Publishing: Berlin/Heidelberg, Germany, 2021; Volume 24. [Google Scholar] [CrossRef]
  12. Wang, J.; Tan, Y. Morphological image enhancement procedure design by using genetic programming. In Proceedings of the 13th Annual Conference on Genetic and Evolutionary Computation, Dublin, Ireland, 12–16 July 2011; pp. 1435–1442. [Google Scholar] [CrossRef]
  13. Hernández-Beltrán, J.E.; Díaz-Ramírez, V.H.; Trujillo, L.; Legrand, P. Restoration of degraded images using genetic programming. Int. J. Image Graph. Signal Process. 2016, 9970, 113–121. [Google Scholar] [CrossRef]
  14. Chaudhry, A.; Khan, A.; Ali, A.; Mirza, A.M. A hybrid image restoration approach: Using fuzzy punctual kriging and genetic programming. Int. J. Imaging Syst. Technol. 2007, 17, 224–231. [Google Scholar] [CrossRef]
  15. Liang, Y.; Zhang, M.; Browne, W.N. Figure-ground image segmentation using genetic programming and feature selection. In Proceedings of the 2016 IEEE Congress on Evolutionary Computation (CEC), Vancouver, BC, Canada, 24–29 July 2016; pp. 3839–3846. [Google Scholar] [CrossRef]
  16. Barile, P.; Ciesielski, V.; Trist, K. Non-photorealistic Rendering Using Genetic Programming. Lect. Notes Comput. Sci. 2008, 5361, 299–308. [Google Scholar] [CrossRef]
  17. Barile, P.; Ciesielski, V.; Berry, M.; Trist, K. Animated drawings rendered by genetic programming. In Proceedings of the 11th Annual Conference on Genetic and Evolutionary Computation (GECCO’09), Montreal, QC, Canada, 8–12 July 2009; pp. 939–946. [Google Scholar] [CrossRef]
  18. Fu, W.; Johnston, M.; Zhang, M. Triangular-distribution-based feature construction using Genetic Programming for edge detection. In Proceedings of the 2013 IEEE Congress on Evolutionary Computation, Cancun, Mexico, 20–23 June 2013; pp. 1732–1739. [Google Scholar] [CrossRef]
  19. Bianco, S.; Ciocca, G.; Schettini, R. Combination of video change detection algorithms by Genetic programming. IEEE Trans. Evol. Comput. 2017, 21, 914–928. [Google Scholar] [CrossRef]
  20. Khan, A.; Qureshi, A.S.; Wahab, N.; Hussain, M.; Hamza, M.Y. A recent survey on the applications of genetic programming in image processing. Comput. Intell. 2021, 37, 1745–1778. [Google Scholar] [CrossRef]
  21. Poli, R.; Langdon, W.B.; McPhee, N.F. A Field Guide to Genetic Programming; Lulu Enterprises UK Ltd.: Surrey, UK, 2008. [Google Scholar]
  22. Montana, D.J. Strongly Typed Genetic Programming. Evol. Comput. 1995, 3, 199–230. [Google Scholar] [CrossRef]
  23. Poli, R.; Cagnoniy, S. Genetic Programming with User-Driven Selection: Experiments on the Evolution of Algorithms for Image Enhancement. Available online: https://citeseerx.ist.psu.edu/document?repid=rep1&type=pdf&doi=f3d48842cab9dbe6c0d4247c8856ffbda2271602 (accessed on 16 January 2025).
  24. Al-Sahaf, H.; Neshatian, K.; Zhang, M. Automatic feature extraction and image classification using genetic programming. In Proceedings of the 5th International Conference on Automation, Robotics and Applications, Wellington, New Zealand, 6–8 December 2011; pp. 157–162. [Google Scholar] [CrossRef]
  25. Al-Sahaf, H.; Song, A.; Neshatian, K.; Zhang, M. Two-Tier genetic programming: Towards raw pixel-based image classification. Expert Syst. Appl. 2012, 39, 12291–12301. [Google Scholar] [CrossRef]
  26. Yan, R.; Shao, L.; Liu, L.; Liu, Y. Natural image denoising using evolved local adaptive filters. Signal Process. 2014, 103, 36–44. [Google Scholar] [CrossRef]
  27. Ain, Q.U.; Xue, B.; Al-Sahaf, H.; Zhang, M. Genetic programming for skin cancer detection in dermoscopic images. In Proceedings of the 2017 IEEE Congress on Evolutionary Computation (CEC), Donostia, Spain, 5–8 June 2017; pp. 2420–2427. [Google Scholar] [CrossRef]
  28. Qurrat, U.A.; Xue, B.; Zhang, M. Genetic Programming for Multiple Feature Construction in Skin Cancer Image Classification. In Proceedings of the 2019 International Conference on Image and Vision Computing New Zealand (IVCNZ), Dunedin, New Zealand, 2–4 December 2019. [Google Scholar] [CrossRef]
  29. Ain, Q.U.; Al-Sahaf, H.; Xue, B.; Zhang, M. Generating Knowledge-Guided Discriminative Features Using Genetic Programming for Melanoma Detection. IEEE Trans. Emerg. Top. Comput. Intell. 2021, 5, 554–569. [Google Scholar] [CrossRef]
  30. Bi, Y.; Zhang, M.; Xue, B. An automatic region detection and processing approach in genetic programming for binary image classification. In Proceedings of the 2017 International Conference on Image and Vision Computing New Zealand (IVCNZ), Christchurch, New Zealand, 4–6 December 2017; pp. 1–6. [Google Scholar] [CrossRef]
  31. Yan, Z.; Bi, Y.; Xue, B.; Zhang, M. Automatically Extracting Features Using Genetic Programming for Low-Quality Fish Image Classification. In Proceedings of the 2021 IEEE Congress on Evolutionary Computation (CEC), Kraków, Poland, 28 June–1 July 2021; pp. 2015–2022. [Google Scholar] [CrossRef]
  32. Herrera-Sánchez, D.; Acosta-Mesa, H.G.; Mezura-Montes, E. Auto Machine Learning Based on Genetic Programming for Medical Image Classification. In Advances in Computational Intelligence, Proceedings of the MICAI 2023 International Workshops: WILE 2023, HIS 2023, and CIAPP 2023, Yucatán, Mexico, 13–18 November 2023; Calvo, H., Martínez-Villaseñor, L., Ponce, H., Zatarain Cabada, R., Montes Rivera, M., Mezura-Montes, E., Eds.; Springer: Berlin/Heidelberg, Germany, 2024; pp. 349–359. [Google Scholar]
  33. Bi, Y.; Xue, B.; Zhang, M. Genetic Programming with a New Representation to Automatically Learn Features and Evolve Ensembles for Image Classification. IEEE Trans. Cybern. 2021, 51, 1769–1783. [Google Scholar] [CrossRef]
  34. Zhou, I.Y.; Jordan, V.C.; Rotile, N.J.; Akam, E.; Krishnan, S.; Arora, G.; Krishnan, H.; Slattery, H.; Warner, N.; Mercaldo, N.; et al. Advanced MRI of Liver Fibrosis and Treatment Response in a Rat Model of Nonalcoholic Steatohepatitis. Radiology 2020, 296, 67–75. [Google Scholar] [CrossRef]
  35. Guo, Y.; Dong, C.; Lin, H.; Zhang, X.; Wen, H.; Shen, Y.; Wang, T.; Chen, S.; Liu, Y.; Chen, X. Evaluation of Non-alcoholic Fatty Liver Disease Using Acoustic Radiation Force Impulse Imaging Elastography in Rat Models. Ultrasound Med. Biol. 2017, 43, 2619–2628. [Google Scholar] [CrossRef]
  36. Lee, D.H.; Lee, J.Y.; Lee, K.B.; Han, J.K. Evaluation of Hepatic Steatosis by Using Acoustic Structure Quantification US in a Rat Model: Comparison with Pathologic Examination and MR Spectroscopy. Radiology 2017, 285, 445–453. [Google Scholar] [CrossRef]
  37. Lou, Z.; Wang, C.; Li, Q.; Li, Y. Computer-assisted ultrasound quantification analysis in fatty liver model of rats. Ann. Palliat. Med. 2021, 10, 1631641. [Google Scholar] [CrossRef]
  38. Freedman, D. Statistical Models: Theory and Practice; Cambridge University Press: Cambridge, UK, 2005. [Google Scholar] [CrossRef]
  39. Tibshiranit, R. Regression Shrinkage and Selection via the Lasso. J. R. Statist. Soc. B 1996, 58, 267–288. [Google Scholar] [CrossRef]
  40. Bishop, C.M. Pattern Recognition and Machine Learning; Springer: Berlin/Heidelberg, Germany, 2006; p. 738. [Google Scholar]
  41. Reyes, J.L.M.; Mesa, H.G.A.; Bolaños, E.N.A.; Meza, S.H.; Ramírez, N.C.; Servia, J.L.C. Classification of Bean (Phaseolus vulgaris L.) Landraces with Heterogeneous Seed Color using a Probabilistic Representation. In Proceedings of the 2021 IEEE International Autumn Meeting on Power, Electronics and Computing (ROPEC), Ixtapa, Mexico, 10–12 November 2021; Volume 5, pp. 1–7. [Google Scholar] [CrossRef]
  42. Fortin, F.A.; Rainville, F.C.M.D.; Gardner, M.A.; Parizeau, M.; Gagne, C. DEAP: Evolutionary Algorithms Made Easy. J. Mach. Learn. Res. 2012, 13, 2171–2175. [Google Scholar]
  43. Pedregosa, F.; Varoquaux, G.; Gramfort, A.; Michel, V.; Thirion, B.; Grisel, O.; Blondel, M.; Prettenhofer, P.; Weiss, R.; Dubourg, V.; et al. Scikit-learn: Machine Learning in Python. J. Mach. Learn. Res. 2011, 12, 2825–2830. [Google Scholar]
  44. Riba, E.; Mishkin, D.; Ponsa, D.; Rublee, E.; Bradski, G. Kornia: An open source differentiable computer vision library for pytorch. In Proceedings of the IEEE/CVF Winter Conference on Applications of Computer Vision, Snowmass Village, CO, USA, 1–5 March 2020; pp. 3674–3683. [Google Scholar]
  45. Lecun, Y.; Bottou, L.; Bengio, Y.; Haffner, P. Gradient-based learning applied to document recognition. Proc. IEEE 1998, 86, 2278–2324. [Google Scholar] [CrossRef]
  46. He, K.; Zhang, X.; Ren, S.; Sun, J. Deep Residual Learning for Image Recognition. In Proceedings of the 2016 IEEE Conference on Computer Vision and Pattern Recognition (CVPR), Las Vegas, NV, USA, 27 June 2016; pp. 770–778. [Google Scholar] [CrossRef]
  47. Huang, G.; Liu, Z.; Van Der Maaten, L.; Weinberger, K.Q. Densely Connected Convolutional Networks. In Proceedings of the 2017 IEEE Conference on Computer Vision and Pattern Recognition (CVPR), Honolulu, HI, USA, 21–26 July 2017; pp. 2261–2269. [Google Scholar] [CrossRef]
Figure 1. General pipeline of GPIPE. * Evaluation used in the initial population and during the evolutive process.
Figure 1. General pipeline of GPIPE. * Evaluation used in the initial population and during the evolutive process.
Mca 30 00025 g001
Figure 2. Genotypic and phenotypic representation of one individual.
Figure 2. Genotypic and phenotypic representation of one individual.
Mca 30 00025 g002
Figure 3. Examples of images of the dataset and their labels.
Figure 3. Examples of images of the dataset and their labels.
Mca 30 00025 g003
Figure 4. Levels of liver damage (images segmented).
Figure 4. Levels of liver damage (images segmented).
Mca 30 00025 g004
Figure 5. Accumulated predictions for each GPIPE–regression model. The scatter plots are in the left column, and the box plots are in the right column. For both, the X axis represents the data values, and the Y axis represents the prediction of damage level.
Figure 5. Accumulated predictions for each GPIPE–regression model. The scatter plots are in the left column, and the box plots are in the right column. For both, the X axis represents the data values, and the Y axis represents the prediction of damage level.
Mca 30 00025 g005
Figure 6. Cumulative Error Probability Curve of three GPIPE models.
Figure 6. Cumulative Error Probability Curve of three GPIPE models.
Mca 30 00025 g006
Table 1. Set of functions.
Table 1. Set of functions.
FunctionDescription (Input Data Type)
Image enhancement
Histogram equalization.Histogram equalization of the image (Tensor)
SharpenAdjust the sharpness in the image (Tensor, Int_1,Float_2)
BrightnessBrightness adjustment in the image (Tensor, Float_1)
Color Spaces
RGB to HSVFrom RGB to HSV color space (Tensor)
RGB to LABFrom RGB to LAB color space (Tensor)
LAB to RGBFrom LAB to RGB color space (Tensor)
HSV to RGBFrom HSV to RGB color space (Tensor)
Construction
AdditionAdd two tensors (Tensor)
SubtractionSubtract two tensors (Tensor)
Filter
SobelBorder detector (Tensor)
GaussianSmoothing in the image (Tensor, Int_2)
Box BlurBlur using window (Tensor, Int_2)
Motion BlurMovement Blur (Tensor, Int_2,Int_3)
Morphologic operations
ErosionMorphologic erosion on the image (Tensor, Int_1)
DilatationMorphologic dilatation on the image (Tensor, Int_1)
OpeningMorphologic opening on the image (Tensor, Int_1)
ClosingMorphologic closing on the image (Tensor, Int_1)
GradientThe operation rest of dilatation – erosion of the image (Tensor, Int_1)
Regression models
LinearLinear Regression (Tensor, Labels, Flag)
LassoLASSO (Tensor, Alpha, Labels, Flag)
K-NNK-Nearest Neighbor regression (Tensor, Int_3, Labels, Flag)
Table 2. Set of terminals.
Table 2. Set of terminals.
TerminalDescription (Data Type)
DataImages dataset (Tensor)
Kernel1Kernel size. Integer value in the range [3, 9] (Int_1)
Kernel2Kernel size. Odd integer value in the range [3, 9] (Int_2)
AngleInteger value in the range [0, 90] (Int_3)
BrightnessFloat value in the range [−0.5, 0.5] (Float_1)
Std_desvFloat value in the range [0.1, 0.9] (Float_2)
AlphaInteger value in the range [1, 5] (Int_3).
NeighborsInteger value in the range [1, 5] (Int_regressor)
Table 3. Parameter settings of GP.
Table 3. Parameter settings of GP.
ParameterValueParameterValue
Generations50Crossover rate0.80
Population size500Mutation rate0.19
Initial populationRamped-Half-and-HalfTree depth4–12
SelectionTournament (5)Elitism rate0.01
Table 4. Performance indices of each method.
Table 4. Performance indices of each method.
Method R 2 MAEMSERMSE
Linear Regression01.132.071.44
Sobel + Linear Regression00.961.161.24
Hist. Equal + Linear Regression01.101.961.40
Erosion + Linear Regression01.182.151.47
Grayscale + Linear Regression01.162.131.46
HSV + Linear Regression01.132.031.42
LAB + Linear Regression01.132.011.42
K-NN (K = 1)01.834.162.04
K-NN (K = 2)01.463.151.77
K-NN (K = 3)01.422.951.72
K-NN (K = 4)01.102.071.44
K-NN (K = 5)01.101.851.36
K-NN (K = 10)00.981.561.25
Sobel + K-NN (K = 10)00.981.561.25
Hist. Equal + K-NN (K = 10)00.921.431.19
Erosion + K-NN (K = 10)00.981.561.25
Grayscale + K-NN (K = 10)00.981.561.25
hsv + K-NN (K = 10)00.921.471.21
lab + K-NN (K = 10)00.921.481.22
Lasso (Alpha = 1)00.961.481.22
Lasso (Alpha = 2)01.001.591.26
Lasso (Alpha = 3)01.021.641.28
Lasso (Alpha = 4)01.031.641.28
Lasso (Alpha = 5)01.031.641.28
Lasso (Alpha = 10)01.151.871.37
Sobel + Lasso (Alpha = 1)01.001.491.22
Hist. Equal + Lasso (Alpha = 1)01.131.971.40
Erosion + Lasso (Alpha = 1)01.242.321.52
Grayscale + Lasso (Alpha = 1)01.272.341.53
HSV color space + Lasso (Alpha = 1)00.961.471.21
LAB color space + Lasso (Alpha = 1)01.342.911.70
LeNet-500.981.411.16
CNN-700.911.241.11
ResNet-5001.041.431.19
DenseNet-12101.041.411.18
GPIPE–Linear Regression=0.550.600.510.72
GPIPE–Lasso=0.560.640.560.74
GPIPE–K-NN=0.470.580.580.76
Table 5. Comparison of R 2 , Mean Absolute Error, Mean Squared Error, and Root Squared Mean Error indicators of performance using different regression models.
Table 5. Comparison of R 2 , Mean Absolute Error, Mean Squared Error, and Root Squared Mean Error indicators of performance using different regression models.
GPIPE–Linear RegressionGPIPE–LassoGPIPE–K-NN
R 2 MAEMSERMSE R 2 MAEMSERMSE R 2 MAEMSERMSE
Mean0.510.600.560.720.520.610.550.710.460.600.630.76
Std0.160.160.220.180.170.180.220.190.210.210.340.21
Median0.550.600.510.720.560.640.560.740.470.580.580.76
Max0.710.891.081.040.760.870.920.960.731.171.691.30
Min0.160.120.200.130.080.140.210.140.000.170.270.15
Disclaimer/Publisher’s Note: The statements, opinions and data contained in all publications are solely those of the individual author(s) and contributor(s) and not of MDPI and/or the editor(s). MDPI and/or the editor(s) disclaim responsibility for any injury to people or property resulting from any ideas, methods, instructions or products referred to in the content.

Share and Cite

MDPI and ACS Style

Herrera-Sánchez, D.; Acosta-Mesa, H.-G.; Mezura-Montes, E.; Herrera-Meza, S.; Rivadeneyra-Domínguez, E.; Zamora-Bello, I.; Almanza-Domínguez, M.F. Imaging Estimation for Liver Damage Using Automated Approach Based on Genetic Programming. Math. Comput. Appl. 2025, 30, 25. https://doi.org/10.3390/mca30020025

AMA Style

Herrera-Sánchez D, Acosta-Mesa H-G, Mezura-Montes E, Herrera-Meza S, Rivadeneyra-Domínguez E, Zamora-Bello I, Almanza-Domínguez MF. Imaging Estimation for Liver Damage Using Automated Approach Based on Genetic Programming. Mathematical and Computational Applications. 2025; 30(2):25. https://doi.org/10.3390/mca30020025

Chicago/Turabian Style

Herrera-Sánchez, David, Héctor-Gabriel Acosta-Mesa, Efrén Mezura-Montes, Socorro Herrera-Meza, Eduardo Rivadeneyra-Domínguez, Isaac Zamora-Bello, and María Fernanda Almanza-Domínguez. 2025. "Imaging Estimation for Liver Damage Using Automated Approach Based on Genetic Programming" Mathematical and Computational Applications 30, no. 2: 25. https://doi.org/10.3390/mca30020025

APA Style

Herrera-Sánchez, D., Acosta-Mesa, H.-G., Mezura-Montes, E., Herrera-Meza, S., Rivadeneyra-Domínguez, E., Zamora-Bello, I., & Almanza-Domínguez, M. F. (2025). Imaging Estimation for Liver Damage Using Automated Approach Based on Genetic Programming. Mathematical and Computational Applications, 30(2), 25. https://doi.org/10.3390/mca30020025

Article Metrics

Back to TopTop