Dynamic Mechanism Design for Repeated Markov Games with Hidden Actions: Computational Approach
Abstract
1. Introduction
Brief Review
2. Repeated Game and Moral Hazard
- all players, being in states take actions simultaneously from the set ;
- each player has a valuation function (utility function) that establishes current utility value for the player .
- the state dynamics of player l is defined by the transition distributionthat is the probability to move from type to type applying action .
- denoting by the set of statedistribution over , namely , let us suppose that the state dynamics of the players are mutually independent, each chain is ergodic, and is its unique invariant distribution, i.e.,
Reward Function
- Every player privately observes his current type obtained from .
- Every player sends a message according to .
- An alternative is selected considering .
- Every player selects an given and .
- The allocation is realized, and players obtain a reward.
- At last, is obtained from given and .
3. Mechanism and Equilibrium
4. Convergence Analysis
Lagrange Regularization Approach
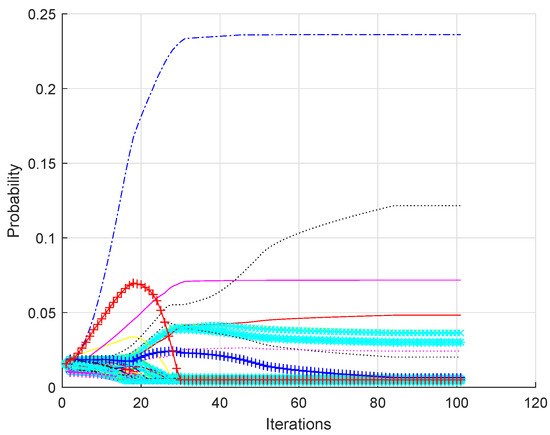
5. Numerical Example
5.1. Description of the Oligopoly Problem
5.2. Resulting Values
6. Conclusions and Future Work
Funding
Data Availability Statement
Conflicts of Interest
Appendix A. Proof of Theorem 2
References
- Zhang, H.; Zenios, S. A Dynamic Principal-Agent Model with Hidden Information: Sequential Optimality through Truthful State Revelation. Oper. Res. 2008, 56, 681–696. [Google Scholar] [CrossRef]
- Bolton, P.; Dewatripont, M. Contract Theory; MIT Press: Cambridge, MA, USA, 2005. [Google Scholar]
- Salanie, B. The Economics of Contracts: A Primer; MIT Press: Cambridge, MA, USA, 2005. [Google Scholar]
- Clempner, J.B.; Poznyak, A.S. Optimization and Games for Controllable Markov Chains: Numerical Methods with Application to Finance and Engineering; Springer: Cham, Switzerland, 2023. [Google Scholar]
- Cvitanić, J.; Possamaï, D.; Touzi, N. Moral hazard in dynamic risk management. Manag. Sci. 2016, 63, 3147–3529. [Google Scholar] [CrossRef]
- Garrett, D.F.; Pavan, A. Managerial turnover in a changing world. J. Political Econ. 2012, 120, 879–925. [Google Scholar] [CrossRef]
- Board, S.; Meyer-ter-Vehn, M. Reputation for quality. Econometrica 2013, 81, 2381–2462. [Google Scholar]
- Halac, M.; Kartik, N.; Liu, Q. Optimal contracts for experimentation. Rev. Econ. Stud. 2016, 83, 1040–1091. [Google Scholar] [CrossRef]
- Fudenberg, D.; Holmstrom, B.; Milgrom, P. Short-term contracts and long-term agency relationships. J. Econ. Theory 1990, 51, 1–31. [Google Scholar] [CrossRef]
- Plambeck, E.; Zenios, S. Performance-Based Incentives in a Dynamic Principal-Agent Model. Manuf. Serv. Oper. Manag. 2000, 2, 240–263. [Google Scholar] [CrossRef]
- Cole, H.L.; Kocherlakota, N. Dynamic Games with Hidden Actions and Hidden States. J. Econ. Theory 2001, 98, 114–126. [Google Scholar] [CrossRef]
- Doepke, M.; Townsend, R.M. Dynamic mechanism design with hidden income and hidden actions. J. Econ. Theory 2006, 126, 235–285. [Google Scholar] [CrossRef]
- Chen, B.; Chen, Y.; Rietzke, D. Simple contracts under observable and hidden actions. Econ. Theory 2020, 69, 1023–1047. [Google Scholar] [CrossRef]
- Clempner, J.B.; Poznyak, A.S. A nucleus for Bayesian Partially Observable Markov Games: Joint observer and mechanism design. Eng. Appl. Artif. Intell. 2020, 95, 103876. [Google Scholar] [CrossRef]
- Clempner, J.B.; Poznyak, A.S. Analytical Method for Mechanism Design in Partially Observable Markov Games. Mathematics 2021, 9, 321. [Google Scholar] [CrossRef]
- Clempner, J.B.; Poznyak, A.S. Computing The Strong Nash Equilibrium for Markov Chains Games. Appl. Math. Comput. 2015, 265, 911–927. [Google Scholar] [CrossRef]
- Clempner, J.B.; Poznyak, A.S. Convergence Analysis for Pure and Stationary Strategies in Repeated Potential Games: Nash, Lyapunov and Correlated Equilibria. Expert Syst. Appl. 2016, 46, 474–484. [Google Scholar] [CrossRef]
- Clempner, J.B. On Lyapunov Game Theory Equilibrium: Static and Dynamic Approaches. Int. Game Theory Rev. 2018, 20, 1750033. [Google Scholar] [CrossRef]
- Clempner, J.B.; Poznyak, A.S. A Tikhonov regularized penalty function approach for solving polylinear programming problems. J. Comput. Appl. Math. 2018, 328, 267–286. [Google Scholar] [CrossRef]
- Clempner, J.B.; Poznyak, A.S. A Tikhonov Regularization Parameter Approach for Solving Lagrange Constrained Optimization Problems. Eng. Optim. 2018, 50, 1996–2012. [Google Scholar] [CrossRef]
- Clempner, J.B.; Poznyak, A.S. Analyzing an Optimistic Attitude for the Leader Firm in Duopoly Models: A Strong Stackelberg Equilibrium Based on a Lyapunov Game Theory Approach. Econ. Comput. Econ. Cybern. Stud. Res. 2016, 4, 41–60. [Google Scholar]



Disclaimer/Publisher’s Note: The statements, opinions and data contained in all publications are solely those of the individual author(s) and contributor(s) and not of MDPI and/or the editor(s). MDPI and/or the editor(s) disclaim responsibility for any injury to people or property resulting from any ideas, methods, instructions or products referred to in the content. |
© 2024 by the author. Licensee MDPI, Basel, Switzerland. This article is an open access article distributed under the terms and conditions of the Creative Commons Attribution (CC BY) license (https://creativecommons.org/licenses/by/4.0/).
Share and Cite
Clempner, J.B. Dynamic Mechanism Design for Repeated Markov Games with Hidden Actions: Computational Approach. Math. Comput. Appl. 2024, 29, 46. https://doi.org/10.3390/mca29030046
Clempner JB. Dynamic Mechanism Design for Repeated Markov Games with Hidden Actions: Computational Approach. Mathematical and Computational Applications. 2024; 29(3):46. https://doi.org/10.3390/mca29030046
Chicago/Turabian StyleClempner, Julio B. 2024. "Dynamic Mechanism Design for Repeated Markov Games with Hidden Actions: Computational Approach" Mathematical and Computational Applications 29, no. 3: 46. https://doi.org/10.3390/mca29030046
APA StyleClempner, J. B. (2024). Dynamic Mechanism Design for Repeated Markov Games with Hidden Actions: Computational Approach. Mathematical and Computational Applications, 29(3), 46. https://doi.org/10.3390/mca29030046

