Controllability Criteria for Nonlinear Impulsive Fractional Differential Systems with Distributed Delays in Controls
Abstract
1. Introduction
- Nonlinear impulsive fractional differential systems with distributed delays in controls are considered.
- The solution representation is formulated via an unsymmetric Fubini’s theorem.
- The controllability of the linear system is proved by using the controllability Gramian operator.
- The controllability of the nonlinear system is investigated by employing the Schauder fixed-point theorem.
- Numerical treatments are given using MATLAB.
2. Preliminaries
3. Controllability Results
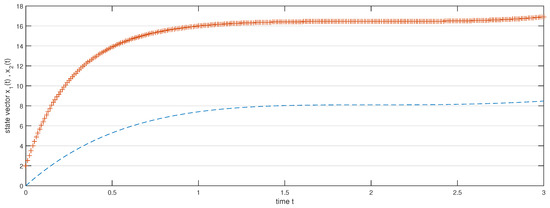
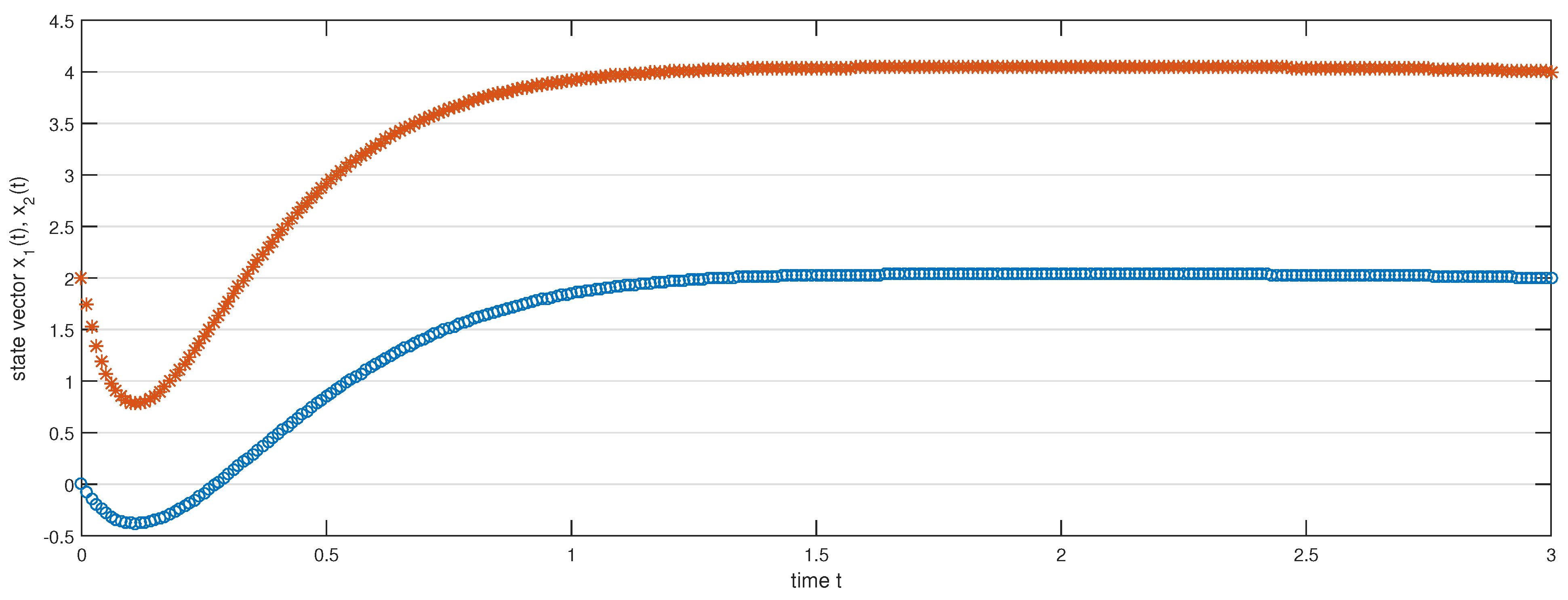
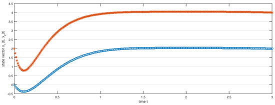
4. Example
5. Conclusions
Author Contributions
Funding
Conflicts of Interest
References
- Jahanshahi, H.; Munoz-Pacheco, J.M.; Bekiros, S.; Alotaibi, N.D. A fractional-order SIRD model with time-dependent memory indexes for encompassing the multi-fractional characteristics of the COVID-19. Chaos Solitons Fractals 2021, 143, 110632. [Google Scholar] [CrossRef] [PubMed]
- Hendy, A.S.; Taha, T.R.; Suragan, D.; Zaky, M.A. An energy-preserving computational approach for the semilinear space fractional damped Klein–Gordon equation with a generalized scalar potential. Appl. Math. Model. 2022, 108, 512–530. [Google Scholar] [CrossRef]
- Jumarie, J. An approach via fractional analysis to non-linearity induced by coarse-graining in space. Nonlinear Anal. Real World Appl. 2010, 11, 535–546. [Google Scholar] [CrossRef]
- Rehman, A.U.; Riaz, M.B.; Rehman, W.; Awrejcewicz, J.; Baleanu, D. Fractional Modeling of Viscous Fluid over a Moveable Inclined Plate Subject to Exponential Heating with Singular and Non-Singular Kernels. Math. Comput. Appl. 2022, 27, 8. [Google Scholar] [CrossRef]
- Luchko, Y.F.; Rivero, M.; Trujillo, J.J.; Velasco, M.P. Fractional models, non-locality, and complex systems. Comput. Math. Appl. 2010, 59, 1048–1056. [Google Scholar] [CrossRef]
- Manimaran, J.; Shangerganesh, L.; Debbouche, A.; Cortés, J.C. A time-fractional HIV infection model with nonlinear diffusion. Results Phys. 2021, 25, 104293. [Google Scholar] [CrossRef]
- Guo, T.L.; Jiang, W. Impulsive fractional functional differential equations. Comput. Math. Appl. 2012, 64, 3414–3424. [Google Scholar] [CrossRef]
- Sivasankar, S.; Udhayakumar, R.; Subramanian, V.; AlNemer, G.; Elshenhab, A.M. Existence of Hilfer Fractional Stochastic Differential Equations with Nonlocal Conditions and Delay via Almost Sectorial Operators. Mathematics 2022, 10, 4392. [Google Scholar] [CrossRef]
- Fang, H.; Song, M. Existence results for fractional order impulsive functional differential equations with multiple delays. Adv. Differ. Equ. 2018, 2018, 139. [Google Scholar] [CrossRef]
- Al-Sawalha, M.M.; Ababneh, O.Y.; Shah, R.; Khan, A.; Nonlaopon, K. Numerical analysis of fractional-order Whitham–Broer–Kaup equations with non-singular kernel operators. AIMS Math. 2023, 8, 2308–2336. [Google Scholar] [CrossRef]
- Al-Sawalha, M.M.; Shah, R.; Nonlaopon, K.; Khan, I.; Ababneh, O.Y. Fractional evaluation of Kaup–Kupershmidt equation with the exponential-decay kernel. AIMS Math. 2023, 8, 3730–3746. [Google Scholar] [CrossRef]
- Gafiychuk, V.; Datsun, B.; Meleshko, V. Mathematical modelling of time fractional reaction-diffusion systems. J. Comput. Appl. Math. 2008, 220, 215–225. [Google Scholar] [CrossRef]
- Udhayakumar, K.; Rihan, F.A.; Rakkiyappan, R.; Cao, J. Fractional-order discontinuous systems with indefinite LKFs: An application to fractional-order neural networks with time delays. Neural Netw. 2022, 145, 319–330. [Google Scholar] [CrossRef]
- Kumar, P.; Erturk, V.S.; Murillo-Arcila, M. A new fractional mathematical modelling of COVID-19 with the availability of vaccine. Results Phys. 2021, 24, 104213. [Google Scholar] [CrossRef] [PubMed]
- Metzler, R.; Klafter, J. The restaurant at the end of the random walk: Recent developments in the description of anomalous transport by fractional dynamics. J. Phys. A Math. Gen. 2004, 37, 161–208. [Google Scholar] [CrossRef]
- Kilbas, A.A.; Srivastava, H.M.; Trujillo, J.J. Theory and Applications of Fractional Differential Equations; North-Holland Mathematics Studies 204; Elsevier Science B.V.: Amsterdam, The Netherlands, 2006. [Google Scholar]
- Miller, K.S.; Ross, B. An Introduction to the Fractional Calculus and Fractional Differential Equations; Wiley: New York, NY, USA, 1993. [Google Scholar]
- Podlubny, I. Fractional Differential Equations, Volume 198 of Mathematics in Science and Engineering; Technical University of Kosice: Kosice, Slovak Republic, 1999. [Google Scholar]
- Artstein, Z. Linear systems with delayed controls: A reduction. IEEE Trans. Autom. Control. 1982, 27, 869–879. [Google Scholar] [CrossRef]
- Artstein, Z.; Tadmor, G. Linear systems with indirect controls: The underlying measures. SIAM J. Control. Optim. 1982, 20, 96–111. [Google Scholar] [CrossRef]
- Balachandran, K.; Dauer, J.P. Controllability of nonlinear systems via fixed point theorems. J. Optim. Theory Appl. 1987, 53, 345–352. [Google Scholar] [CrossRef]
- Balachandran, K.; Zhou, Y.; Kokila, J. Relative controllability of fractional dynamical systems with distributed delays in control. Comput. Math. Appl. 2012, 64, 3201–3209. [Google Scholar] [CrossRef]
- Kumar, V.; Malik, M.; Debbouche, A. Stability and controllability analysis of fractional damped differential system with non-instantaneous impulses. Appl. Math. Comput. 2021, 391, 125633. [Google Scholar] [CrossRef]
- Zhang, H.; Cao, J.; Jiang, W. Controllability criteria for linear fractional differential systems with state delay and impulses. J. Appl. Math. 2013, 2013, 146010. [Google Scholar] [CrossRef]
- Vadivoo, B.S.; Jothilakshmi, G.; Almalki, Y.; Debbouche, A.; Lavanya, M. Relative controllability analysis of fractional order differential equations with multiple time delays. Appl. Math. Comput. 2022, 28, 127192. [Google Scholar] [CrossRef]
- He, B.B.; Zhou, H.C.; Kou, C.H. The controllability of fractional damped dynamical systems with control delay. Commun. Nonlinear Sci. Numer. Simul. 2016, 32, 190–198. [Google Scholar] [CrossRef]
- Guo, T.L. Controllability and observability of impulsive fractional linear time-invariant system. Comput. Math. Appl. 2012, 64, 3171–3182. [Google Scholar] [CrossRef]
- Jiang, W.; Song, W.Z. Controllability of singular systems with control delay. Automatica 2001, 37, 1873–1877. [Google Scholar]
- Wei, J. The controllability of fractional control systems with control delay. Comput. Math. Appl. 2012, 64, 3153–3159. [Google Scholar] [CrossRef]
- Cameron, R.H.; Martin, W.T. An unsymmetric Fubini theorem. Bull. Am. Math. Lett. 2011, 24, 2019–2023. [Google Scholar] [CrossRef]
- Dauer, J.P. Nonlinear perturbations of quasi-linear control systems. J. Math. Anal. Appl. 1976, 54, 717–725. [Google Scholar] [CrossRef]



Disclaimer/Publisher’s Note: The statements, opinions and data contained in all publications are solely those of the individual author(s) and contributor(s) and not of MDPI and/or the editor(s). MDPI and/or the editor(s) disclaim responsibility for any injury to people or property resulting from any ideas, methods, instructions or products referred to in the content. |
© 2023 by the authors. Licensee MDPI, Basel, Switzerland. This article is an open access article distributed under the terms and conditions of the Creative Commons Attribution (CC BY) license (https://creativecommons.org/licenses/by/4.0/).
Share and Cite
Debbouche, A.; Vadivoo, B.S.; Fedorov, V.E.; Antonov, V. Controllability Criteria for Nonlinear Impulsive Fractional Differential Systems with Distributed Delays in Controls. Math. Comput. Appl. 2023, 28, 13. https://doi.org/10.3390/mca28010013
Debbouche A, Vadivoo BS, Fedorov VE, Antonov V. Controllability Criteria for Nonlinear Impulsive Fractional Differential Systems with Distributed Delays in Controls. Mathematical and Computational Applications. 2023; 28(1):13. https://doi.org/10.3390/mca28010013
Chicago/Turabian StyleDebbouche, Amar, Bhaskar Sundara Vadivoo, Vladimir E. Fedorov, and Valery Antonov. 2023. "Controllability Criteria for Nonlinear Impulsive Fractional Differential Systems with Distributed Delays in Controls" Mathematical and Computational Applications 28, no. 1: 13. https://doi.org/10.3390/mca28010013
APA StyleDebbouche, A., Vadivoo, B. S., Fedorov, V. E., & Antonov, V. (2023). Controllability Criteria for Nonlinear Impulsive Fractional Differential Systems with Distributed Delays in Controls. Mathematical and Computational Applications, 28(1), 13. https://doi.org/10.3390/mca28010013

