Next Article in Journal
Assessment of Bioactive Compounds and Antioxidant Activity of Barley Sprouts
Previous Article in Journal
Difference in Biological Oxidation Between High-Sulfur Coal and Pure Pyrite at Different pH Levels
Previous Article in Special Issue
Investigation of Impurities in Peptide Pools
 
 
Font Type:
Arial Georgia Verdana
Font Size:
Aa Aa Aa
Line Spacing:
Column Width:
Background:
Article

Separation of D-Amino Acid-Containing Tripeptide L-Asn-D-Trp-L-Phe-NH2 and Its Diastereomer Using Crown–Ether-Type Chiral Stationary Phase

1
Department of Biology, School of Arts and Sciences, National University of Mongolia, Ulaanbaatar 14201, Mongolia
2
Graduate School of Engineering Science, Yokohama National University, Yokohama, Kanagawa 240-8501, Japan
*
Author to whom correspondence should be addressed.
Separations 2025, 12(3), 67; https://doi.org/10.3390/separations12030067
Submission received: 21 January 2025 / Revised: 28 February 2025 / Accepted: 2 March 2025 / Published: 10 March 2025
(This article belongs to the Special Issue Peptide Synthesis, Separation and Purification)

Abstract

Several D-amino acid residue-containing peptides (DAACPs) with antimicrobial, cardio-excitatory, and neuronal activities have been identified in various species. The L-Asn-D-Trp-L-Phe-NH2 (N(dW)F) tripeptide, derived from Aplysia kurodai, exhibits cardiac activity in invertebrates. The chirality of the tryptophan residue at the second position in N(dW)F influences its conformation and biological characteristics. We demonstrated the chiral separation of N(dW)F and its diastereomer NWF using (S)-3,3′-diphenyl-1,1′-binaphthyl-20-crown-6-ether columns (CR-I(+)). A reduction in the ratio of acetonitrile and methanol in the mobile phase allowed the complete separation of N(dW)F and its diastereomer, improving the separation factor (α) from 0.96 to 6.28. Molecular dynamics simulations revealed that the interaction of N(dW)F with CR-I(−) was more favorable than with CR-I(+). These findings indicate that the structure of the CR-I column stereoselectively recognizes peptides and facilitates the separation of naturally occurring D-amino acid residue-containing tripeptides.

1. Introduction

D-amino acid-containing peptides (DAACPs) with distinct biological activities have been identified across various species [1,2,3,4,5]. These peptides are generated from ribosomally synthesized proteins and subsequently modified through enzymatic post-translational processes to form bioactive peptides. One key modification, peptide isomerization, involves the conversion of specific residues in the N-terminal region from L-amino acid to D-amino acid [6,7,8,9]. To date, approximately 50 DAACPs have been reported, with bioactivities predominantly linked to peptides containing D-amino acids at the second position from the N-terminus. Dermorphin (Tyr-D-Ala-Phe-Gly-Tyr-Pro-Ser-NH2), isolated from the skin secretions of Phyllomedusa sauvagei, was the first DAACP discovered in frogs [10]. Its potency is approximately 1000 times greater than that of morphine, and this activity is completely abolished when D-Ala at the second position is replaced with L-Ala, highlighting the crucial role of D-Ala in peptide function. Other opioid DAACPs, such as deltorphin and demenkephalin, also exhibit enhanced affinity for the delta opioid receptor [11]. Cardio-excitatory tripeptides and amphibian-derived antimicrobial peptides, such as N(dW)F (Figure 1a), bombinin H4, and D-phenylseptin, are also classified as DAACPs [12,13,14,15].
High-performance liquid chromatography (HPLC) using achiral or chiral stationary phase (CSP)-based columns has been employed to separate DAACPs. Diastereomeric separation of DAACPs can be achieved using achiral stationary phases such as ODS columns, and in such cases, DAACPs are often eluted more slowly [16,17]. Chiral stationary phases (CSPs) recognize molecular shapes, including stereochemistry and physicochemical properties such as hydrophilicity/hydrophobicity and polarity, making them suitable for separating structurally similar compounds. CSP-based separation of DAACPs and their natural all-L-form diastereomers is a powerful approach, facilitating a better understanding of their separation mechanisms [18]. Crown–ether-type columns perform effective chiral separation, with 18-crown-6-ether units being particularly useful for recognizing diverse guests, such as metal cations and primary amines [19,20]. CSPs utilizing (18-crown-6)-2,3,11,12-tetracarboxylic acid as a chiral selector have been successfully applied for separating dipeptides and tripeptides [21]. The chiral selector of the CROWNPAK CR-I(+) column comprises (S)-(3,3′-diphenyl-1,1′-binaphthyl)-20-crown-6-ether (Figure 1b). High-throughput enantioseparation of L/D amino acids in foods is also achieved by coupling CR-I crown ether columns with LC-TOF MS [22]. The optimal diastereomeric separation of the µ-opioid receptor agonist Tyr-Arg-Phe-Lys-NH2 tetrapeptide has been demonstrated using the CROWNPAK CR-I(+) column with mobile phases containing high acetonitrile content [23]. Separation of antimicrobial DAACPs, such as L/D-phenylseptin, has been demonstrated using CR-I (+) and (−) columns [24]. Additionally, amylose-derivative chiral columns have been used for diastereomeric separation of frog-derived antimicrobial DAACPs, including bombinin H2 and H4 [25]. The separation of DAACPs remains an underexplored area, with limited literature available on effective chromatographic methods for these peptides. Given this paucity, our study contributes valuable insights into DAACP separation, particularly by employing chiral crown ether CSPs, which have not been extensively investigated in this context. By demonstrating the successful resolution of N(dW)F and NWF, we provide a foundation for future research and potential analytical applications.
In this study, we focused on the cardio-excitatory neuropeptide N(dW)F (L-Asn-D-Trp-L-Phe-NH2), isolated from the heart of Aplysia kurodai, which contains a D-Trp residue at the second position of the DAACP. N(dW)F activity decreases when D-Trp is substituted with L-Trp [12,26,27]. Related neuropeptides exhibiting bioactive DAACP characteristics include Acatin, Fulicin, Fulyal, and GdYFD, all of which feature D-amino acid residues at the second position [28,29,30]. The primary aim of this study is to explore the separation capability of CR-I (+) for N(dW)F and NWF, demonstrating its potential for DAACP identification. The insights gained from this study may serve as a basis for optimizing separation conditions and extending this approach to other naturally DAACPs. Here, CR-I (+), containing the (S)-3,3′-diphenyl-1,1′-binaphthyl-20-crown-6-ether chiral selector immobilized on silica, was employed to separate N(dW)F and its diastereomer NWF.
Additionally, molecular dynamics (MD) simulations were conducted to investigate the interactions between N(dW)F and the CR-I (+)/(−) chiral selector units.

2. Materials and Methods

2.1. Synthesis of N(dW)F and NWF Peptide

N(dW)F (L-Asn-D-Trp-L-Phe-NH2) and its diastereomer NWF (L-Asn-L-Trp-L-Phe-NH2) were chemically synthesized using solid-phase peptide synthesis with an Initiator+ Alstra peptide synthesizer (Biotage, Uppsala, Sweden) as a reference method [31]. For synthesis, 9-fluorenylmethyloxycarbonyl (Fmoc)-amino acids (Fmoc-Asn, Fmoc-D-Trp, Fmoc-Trp, and Fmoc-Phe) and amide resins were utilized (Watanabe Chemical Industries, Ltd., Hiroshima, Japan). The peptides were cleaved from the resin by stirring in 95% trifluoroacetic acid (TFA) solution for 2 h. Purification was achieved using reverse-phase high-performance liquid chromatography (HPLC) (Shimadzu Prominence, Kyoto, Japan) with a Kinetex Axia C18 ODS column (Phenomenex, Torrance, CA, USA). The purity of the peptides exceeded 95%, as confirmed by matrix-assisted laser desorption ionization time-of-flight mass spectrometry (Autoflex Speed; Bruker Japan, Yokohama, Japan). The molecular masses of the peptides were determined as [M  +  H]+  =  465.48 m/z.

2.2. Separation by CR-I Column

The purified peptide (0.2 mg/mL) was dissolved in a solution of H2O/acetonitrile/methanol (15/25/60, v/v/v). Separation was performed using high-performance liquid chromatography (Shimadzu Prominence) equipped with a CROWNPAK CR-I (+) column (0.30 cm diameter × 15 cm length, 5 μm particle size) (DAICEL CPI, Osaka, Japan). Injection volumes of 6 μL were used for N(dW)F and NWF. The flow rate was maintained at 0.4 mL/min under isocratic conditions. A 70% perchloric acid (HClO4) solution (reagent grade, Fujifilm Wako Pure Chemical Corporation, Osaka, Japan) was diluted with deionized water to adjust the pH to 1.0. The eluents used were perchloric acid (pH 1.0) and mixtures of acetonitrile/methanol at 15/25/60 and 50/15/35 (v/v/v). Detection wavelengths were set at 220 nm and 260 nm. The peak resolution (Rs) between the two peaks was calculated using the formula:
R s = 2 ( t R 2 t R 1 ) W 1 + W 2
where tR1 and tR2 represent the retention times of the first and second eluted peaks, respectively, and W1 and W2 are the full widths at half maximum (FWHM) of the first and second eluted peaks, respectively.

2.3. Molecular Dynamics Simulation

Molecular dynamics (MD) simulations of N(dW)F interacting with CR-I (+) and CR-I (−) molecules in water were conducted using GROMACS 2018.7 [32] and the CHARMM36 force field [33]. Parameters for CR-I (+) and CR-I (−) were generated using the CHARMM General Force Field software v.3 [34]. CR-I (+) and CR-I (−) molecules, along with the tripeptide conformation, were randomly placed in the simulation box. Water molecules were added to ensure solvation, and the system composition was prepared accordingly. Systems were energy-minimized using the steepest descent method until the maximum force was <1000 kJ/mol. Equilibration was performed using NVT and NPT ensembles for 100 ps each, followed by production runs in the NPT ensemble. A velocity-rescale thermostat maintained the temperature at 300 K [35], and pressure was controlled using a Parrinello-Rahman barostat at 1 atm [36]. The Particle Mesh Ewald method [37,38] and a 14 Å cutoff were applied for long-range electrostatic and short-range nonbonded interactions, respectively. The LINCS algorithm constrained all bonds to equilibrium lengths [39]. Data were recorded at 10 ps intervals, and five independent 300 ns simulations were conducted for each system. Analysis was performed using GROMACS tools, and plots were generated with xmgrace software v.5.1.25 [40]. Structural representations were prepared using VMD software v.1.9.4 [41].

3. Results and Discussion

Figure 2a illustrates the chromatographic separation of a 1:1 mixture of N(dW)F and NWF using a CR-I column. The mobile phase consisted of a perchloric acid solution/acetonitrile/methanol mixture in a 15/20/60 (v/v/v) ratio, which has previously demonstrated effective separation of tripeptides containing three phenylalanine residues (Phe-Phe-Phe) on a CR-I column [24]. However, the two peptides eluted rapidly within approximately 4 min, with peaks at 2.6 min and 3.4 min, resulting in poor separation resolution (Rs < 1.0). This finding indicates that the solvent ratio was not optimal for resolving the N(dW)F/NWF mixture.
To improve separation, a mobile phase with a reduced organic solvent ratio—perchloric acid solution/acetonitrile/methanol at 50/15/35 (v/v/v)—was tested (Figure 2b). Chromatograms for each peptide analyzed individually under these conditions are presented in Figure 2c,d. Under these conditions, N(dW)F eluted at 6.2 min, while NWF eluted at 18.2 min, achieving improved resolution (Rs = 6.28). However, the analysis time became extremely long, and the NWF peak was broad and took a long time to elute. Therefore, further optimization of the flow rate and mobile phase conditions must be necessary according to the hydrophobicity of the DAACPs. Peptides are generally retained strongly in the stationary phase due to the formation of symmetric hydrogen bonds between the crown ether oxygen atoms of the chiral selector unit and the N-terminal primary amino group (–NH3). However, insufficient solvation of the peptide may hinder interactions involving the N-terminal amino group. Using SwissADME to estimate lipophilicity [42], the hydrophobicity of Phe-Phe-Phe and N(dW)F was evaluated, yielding consensus LogP values of 2.2 and 0.6, respectively. These values indicate that N(dW)F is a relatively hydrophilic DAACP.
To calculate the stereochemical interactions of DAACPs having D-amino acids at the second residue with the stationary phase, we used both CR-I(+) and CR-I(−) units, the latter of which was not used for separation in this separation experiment, to illustrate the differences in interaction. Molecular dynamics (MD) simulations were performed to investigate the behavior of N(dW)F with CR-I(+) and CR-I(−) chiral selectors in an aqueous environment. Figure 3a depicts the contact behavior between CR-I and N(dW)F during the simulation period. After 40 ns, N(dW)F maintained close contact with CR-I(−), whereas it interacted only transiently with CR-I(+) without forming stable interactions for the initial 150 ns (Figure 3c). Furthermore, N(dW)F consistently interacted with the chiral selector unit in CR-I(−) throughout the 300 ns simulation period, while no consistent interactions were observed with CR-I(+) in any of the five simulations. This observation aligns with the chromatographic results, where N(dW)F appeared as the first eluted peak with CR-I(+) (Figure 2b,c).
A snapshot at 300 ns revealed that the N-terminal primary amine of N(dW)F formed three symmetric hydrogen bonds with the crown ether moiety of the chiral selector, while avoiding steric hindrance from the phenyl ring group. Additionally, an aromatic ring contact was observed between the indole ring of the second residue, D-Trp, and the phenyl group of CR-I(−), which may have contributed to the stability of the interaction. A similar interaction was observed in MD simulations of the Phe-Phe-Phe tripeptide [24]. In contrast, these aromatic interactions were absent with CR-I(+), even when the molecules eventually came into close proximity. Although simulations for NWF were not performed, its interactions with CR-I selectors are expected to follow the opposite trend. Given the insights into N(dW)F–CR-I interactions, the effect of the D-amino acid at the second residue can be inferred, providing a basis for explaining the present separation experiment. Based on the observed separation trends and anticipated interaction differences, NWF is likely to exhibit distinct binding behavior. Nevertheless, chromatographic retention data serve as experimental validation supporting our conclusions. Therefore, calculations for NWF are not included here.

4. Conclusions

Separation of the neuropeptide N(dW)F and its all-L diastereomer NWF was performed using the chiral stationary phase CR-I(+). The separation of the two peaks was improved by changing the elution conditions from a solution of perchloric acid/acetonitrile/methanol 15/25/60 (v/v/v) to 50/15/35 (v/v/v). MD simulations showed no stable interaction between N(dW)F and the crown ether portion of CR-I(+) but confirmed the formation of three-fold symmetric hydrogen bonds between N(dW)F and the crown ether portion of CR-I(−). Additionally, interactions between the D-Trp aromatic ring of the peptide and the phenyl group of CR-I(−) were observed, highlighting the role of D-amino acid residues in these interactions. These molecular-level insights into separation behavior will serve as a valuable guide for applying CR-I columns to separate DAACPs from their precursor peptides and could contribute to advancements in peptide-based drug purification.

Author Contributions

Conceptualization, I.K. and B.M.; methodology, B.M. and Y.K.; formal analysis, B.M., Y.K., H.N. and H.Y.; investigation, I.K., B.M., Y.K., H.N. and H.Y.; data curation, B.M., Y.K. and H.N.; writing—original draft preparation, I.K.; writing—review and editing, I.K., B.M. and H.N.; visualization, I.K.; supervision, I.K.; funding acquisition, I.K. All authors have read and agreed to the published version of the manuscript.

Funding

This work was supported in part by JSPS KAKENHI Grant Number (JP21H05229, and JP23K23301 to I.K.) and JST CREST (JPMJCR21B2). This work partially supported by the Young Research Grant of National University of Mongolia (P2021-4210 to B.M.).

Data Availability Statement

Data will be made available on request.

Conflicts of Interest

The authors declare no conflicts of interest.

References

  1. Fujii, N.; Takata, T.; Fujii, N.; Aki, K.; Sakaue, H. D-amino acids in protein: The mirror of life as a molecular index of aging. Biochim. Biophys. Acta Proteins Proteom. 2018, 1866, 840–847. [Google Scholar] [CrossRef] [PubMed]
  2. Ollivaux, C.; Soyez, D.; Toullec, J.Y. Biogenesis of D-amino acid containing peptides/proteins: Where, when and how? J. Pept. Sci. 2014, 20, 595–612. [Google Scholar] [CrossRef] [PubMed]
  3. Kreil, G. D-amino acids in animal peptides. Annu. Rev. Biochem. 1997, 66, 337–345. [Google Scholar] [CrossRef] [PubMed]
  4. Mast, D.H.; Checco, J.W.; Sweedler, J.V. Advancing D-amino acid-containing peptide discovery in the metazoan. Biochim. Biophys. Acta Proteins Proteom. 2021, 1869, 140553. [Google Scholar] [CrossRef]
  5. Abdulbagi, M.; Wang, L.; Siddig, O.; Di, B.; Li, B. D-amino acids and D-amino acid-containing peptides: Potential disease biomarkers and therapeutic targets? Biomolecules 2021, 11, 1716. [Google Scholar] [CrossRef]
  6. Kreil, G. Conversion of L- to D-amino acids: A posttranslational reaction. Science 1994, 266, 996–997. [Google Scholar] [CrossRef]
  7. Gehmayr, G.; Mollay, C.; Reith, L.; Muller, N.; Jilek, A. Tight binding of transition-state analogues to a peptidyl-aminoacyl-l/d-isomerase from frog skin. ChemBioChem 2011, 12, 1996–2000. [Google Scholar] [CrossRef]
  8. Müller, M.M. Post-translational modifications of protein backbones: Unique functions, mechanisms, and challenges. Biochemistry 2018, 57, 177–185. [Google Scholar] [CrossRef]
  9. Jilek, A.; Mollay, C.; Lohner, K.; Kreil, G. Substrate specificity of a peptidyl-aminoacyl-l/d-isomerase from frog skin. Amino Acids 2012, 42, 1757–1764. [Google Scholar] [CrossRef]
  10. Montecucchi, P.C.; De Castiglione, R.; Piani, S.; Gozzini, L.; Erspamer, V. Amino acid composition and sequence of dermorphin, a novel opiate-like peptide from the skin of Phyllomedusa sauvagei. Int. J. Pept. Protein Res. 1981, 17, 275–283. [Google Scholar] [CrossRef]
  11. Janecka, A.; Fichna, J.; Janecki, T. Opioid receptors and their ligands. Curr. Top. Med. Chem. 2004, 4, 1–17. [Google Scholar] [CrossRef] [PubMed]
  12. Morishita, F.; Nakanishi, Y.; Kaku, S.; Furukawa, Y.; Ohta, S.; Hirata, T.; Ohtani, M.; Fujisawa, Y.; Muneoka, Y.; Matsushima, O. A novel D-amin-acid-containing peptide isolated from Aplysia heart. Biochem. Biophys. Res. Commun. 1997, 240, 354–358. [Google Scholar] [CrossRef] [PubMed]
  13. Mignogna, G.; Simmaco, M.; Kreil, G.; Barra, D. Antibacterial and haemolytic peptides containing D-alloisoleucine from the skin of Bombina variegate. EMBO J. 1993, 12, 4829–4832. [Google Scholar] [CrossRef] [PubMed]
  14. Mangoni, M.L. A lesson from Bombinin H, mildly cationic diastereomeric antimicrobial peptides from Bombina skin. Curr. Protein Pept. Sci. 2013, 14, 734–743. [Google Scholar] [CrossRef]
  15. De Magalhães, M.T.Q.; Barbosa, E.A.; Prates, M.V.; Verly, R.M.; Munhoz, V.H.O.; de Araújo, I.E.; Bloch, C. Conformational and functional effects induced by d- and l-amino acid epimerization on a single gene encoded peptide from the skin secretion of Hypsiboas punctatus. PLoS ONE 2013, 8, e59255. [Google Scholar] [CrossRef]
  16. Batsaikhan, M.; Matsuo, Y.; Sato, H.; Ueda, K.; Kawamura, I. A comparative study of interactions of antimicrobial peptides L- and D-phenylseptin with 1,2-dimyristoyl-sn-glycero-3-phosphocholine. Appl. Sci. 2019, 9, 2601. [Google Scholar] [CrossRef]
  17. Ozawa, Y.; Sato, H.; Kayano, Y.; Yamaki, N.; Izato, Y.; Miyake, A.; Naito, A.; Kawamura, I. Self-assembly of tripeptides into γ-turn nanostructures. Phys. Chem. Chem. Phys. 2019, 21, 10879–10883. [Google Scholar] [CrossRef]
  18. Ohnishi, A.; Shibata, T.; Imase, T.; Shinkura, S.; Nagai, K. Achiral molecular recognition of substituted aniline position isomers by crown ether type chiral stationary phase. Molecules 2021, 26, 493. [Google Scholar] [CrossRef]
  19. Cram, D.J. The design of molecular hosts, guests, and their complexes. Science 1988, 240, 760–767. [Google Scholar] [CrossRef]
  20. Konya, Y.; Taniguchi, M.; Furuno, M.; Nakano, Y.; Tanaka, N.; Fukusaki, E. Mechanistic study on the high-selectivity enantioseparation of amino acids using a chiral crown ether-bonded stationary phase and acidic, highly organic mobile phase by liquid chromatography/time-of-flight mass spectrometry. J. Chromatogr. A 2018, 1578, 35–44. [Google Scholar] [CrossRef]
  21. Conrad, U.; Chankvetadze, B.; Scriba, G.K.E. High performance liquid chromatographic separation of dipeptide and tripeptide enantiomers using a chiral crown ether stationary phase. J. Sep. Sci. 2005, 28, 2275–2281. [Google Scholar] [CrossRef] [PubMed]
  22. Konya, Y.; Taniguchi, M.; Fukusaki, E. Novel high throughput and widely targeted liquid chromatography-time of flight mass spectrometry method for D-amino acids in foods. J. Biosci. Bioeng. 2017, 123, 126–133. [Google Scholar] [CrossRef] [PubMed]
  23. Upmanis, T.; Kažoka, H.; Arsenyan, P. A study of tetrapeptide enantiomeric separation on crown ether based chiral stationary phases. J. Chromatogr. A 2020, 1622, 461152. [Google Scholar] [CrossRef] [PubMed]
  24. Kawamura, I.; Mijiddorj, B.; Kayano, Y.; Matsuo, Y.; Ozawa, Y.; Ueda, K.; Sato, H. Separation of D-amino acid-containing peptide phenylseptin using 3,3′-phenyl-1,1′-binaphthyl-18-crown-6-ether columns. Biochim. Biophys. Acta Proteins Proteom. 2020, 1868, 140429. [Google Scholar] [CrossRef]
  25. Mijiddorj, B.; Kaneda, S.; Sato, H.; Kitahashi, Y.; Javkhlantugs, N.; Naito, A.; Ueda, K.; Kawamura, I. The role of D-allo-isoleucine in the deposition of the anti-Leishmania peptide bombinin H4 as revealed by 31P solid-state NMR, VCD spectroscopy and MD simulation. Biochim. Biophys. Acta Proteins Proteom. 2018, 1866, 789–798. [Google Scholar] [CrossRef]
  26. Morishita, F.; Matsushima, O.; Furukawa, Y.; Minakata, H. Deamidase inactivates a D-amino acid-containing Aplysia neuropeptide. Peptides 2003, 24, 45–51. [Google Scholar] [CrossRef]
  27. Morishita, F.; Furukata, Y.; Matsushima, O. N(dW)Famide: A D-amino acid containing neuropeptide of an opistobranch gastropod, Aplysia kurodai. Comp. Physiol. Biochem. 2011, 28, 308–316. [Google Scholar]
  28. Bai, L.; Sheeley, S.; Sweedler, J.V. Analysis of endogenous d-amino acid-containing peptides in Metazoa. Bioanal. Rev. 2009, 1, 7–24. [Google Scholar] [CrossRef]
  29. Ohta, N.; Kubota, I.; Takao, T.; Shimonishi, Y.; Yasuda-Kamatani, Y.; Minakata, H.; Nomoto, K.; Muneoka, Y.; Kobayashi, M. Fulicin, a novel neuropeptide containing a d-amino acid residue isolated from the ganglia of Achatina fulica. Biochem. Biophys. Res. Commun. 1991, 178, 486–493. [Google Scholar] [CrossRef]
  30. Yasuda-Kamatani, Y.; Kobayashi, M.; Yasuda, A.; Fujita, T.; Minakata, H.; Nomoto, K.; Nakamura, M.; Sakiyama, F. A novel d-amino acid-containing peptide, fulyal, coexists with fulicin gene-related peptides in Achatina atria. Peptides 1997, 18, 347–354. [Google Scholar] [CrossRef]
  31. Yamagishi, H.; Sato, H.; Kawamura, I. Vibrational circular dichroism of D-amino acid-containing peptide N(dW)Famide in the crystal form. Chirality 2021, 33, 652–659. [Google Scholar] [CrossRef] [PubMed]
  32. Abraham, M.J.; van der Spoel, D.; Lindahl, E.; Hess, B.; The GROMACSS development team. GROMACS User Manual Version 2018; GROMACS: Uppsala, Sweden, 2018. [Google Scholar]
  33. Vanommeslaeghe, K.; Hatcher, E.; Acharya, C.; Kundu, S.; Zhong, S.; Shim, J.; Darian, E.; Guvench, O.; Lopes, P.; Vorobyov, I.; et al. CHARMM general force field: A force field for drug-like molecules compatible with the CHARMM all-atom additive biological force fields. J. Comput. Chem. 2010, 31, 671–690. [Google Scholar] [CrossRef] [PubMed]
  34. Huang, J.; MacKerell, A.D. CHARMM36 all-atom additive protein force field: Validation based on comparison to NMR data. J. Comput. Chem. 2013, 34, 2135–2145. [Google Scholar] [CrossRef] [PubMed]
  35. Bussi, G.; Donadio, D.; Parrinello, M. Canonical sampling through velocity rescaling. J. Chem. Phys. 2007, 126, 014101. [Google Scholar] [CrossRef]
  36. Parrinello, M.; Rahman, A. Polymorphic transitions in single crystals: A new molecular dynamics method. J. Appl. Phys. 1981, 52, 7182–7190. [Google Scholar] [CrossRef]
  37. Darden, T.; York, D.; Pedersen, L. Particle mesh Ewald: An N⋅log(N) method for Ewald sums in large systems. J. Chem. Phys. 1993, 98, 10089–10092. [Google Scholar] [CrossRef]
  38. Essmann, U.; Perera, L.; Berkowitz, M.L.; Darden, T.; Lee, H.; Pedersen, L.G. A smooth particle mesh Ewald method. J. Chem. Phys. 1995, 103, 8577–8593. [Google Scholar] [CrossRef]
  39. Hess, B.; Bekker, H.; Berendsen, H.J.C.; Fraaije, J.G.E.M. Lincs: A linear constraint solver for molecular simulations. J. Comput. Chem. 1997, 18, 1463–1472. [Google Scholar] [CrossRef]
  40. Vaught, A. Graphing with Gnuplot and Xmgr: Two graphing packages available under Linux. Linux J. 1996, 1996, 7. [Google Scholar]
  41. Humphrey, W.; Dalke, A.; Schulten, K. VMD. VMD: Visual molecular dynamics. J. Mol. Graph. 1996, 14, 33–38. [Google Scholar] [CrossRef]
  42. Daina, A.; Michielin, O.; Zoete, V. SwissADME: A free web tool to evaluate pharmacokinetics, drug-likeness and medicinal chemistry friendliness of small molecules. Sci. Rep. 2017, 7, 42717. [Google Scholar] [CrossRef] [PubMed]
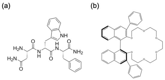
Figure 1. (a) Structure of N(dW)F. (b) Chiral selector unit of CR-I (+): (S)-3,3′-diphenyl-1,1′-binaphthyl-20-crown-6-ether.
Figure 1. (a) Structure of N(dW)F. (b) Chiral selector unit of CR-I (+): (S)-3,3′-diphenyl-1,1′-binaphthyl-20-crown-6-ether.
Separations 12 00067 g001
Figure 2. (a) Chromatogram of a 1:1 mixture of N(dW)F and NWF peptides using a CR-I(+) column. The mobile phase was perchloric acid (pH 1.0)/acetonitrile/methanol = 15/25/60 (v/v/v). (b) Chromatogram of a 1:1 mixture of N(dW)F and NWF. (c) Chromatogram of N(dW)F. (d) Chromatogram of NWF using a CR-I(+) column. The mobile phase for (bd) was perchloric acid (pH 1.0)/acetonitrile/methanol = 50/15/35 (v/v/v). The flow rate and detection wavelength were 0.4 mL/min and 220 nm, respectively.
Figure 2. (a) Chromatogram of a 1:1 mixture of N(dW)F and NWF peptides using a CR-I(+) column. The mobile phase was perchloric acid (pH 1.0)/acetonitrile/methanol = 15/25/60 (v/v/v). (b) Chromatogram of a 1:1 mixture of N(dW)F and NWF. (c) Chromatogram of N(dW)F. (d) Chromatogram of NWF using a CR-I(+) column. The mobile phase for (bd) was perchloric acid (pH 1.0)/acetonitrile/methanol = 50/15/35 (v/v/v). The flow rate and detection wavelength were 0.4 mL/min and 220 nm, respectively.
Separations 12 00067 g002
Figure 3. (a) The trajectory of the minimum distances between D-Trp2 and the phenyl ring of CR-I(−) (black) and CR-I(+) (red) during a 300 ns simulation. Representative structure of the snapshot of N(dW)F with (b) CR-I(−) and (c) CR-I(+) at 300 ns, respectively. Water molecules were omitted for clarity.
Figure 3. (a) The trajectory of the minimum distances between D-Trp2 and the phenyl ring of CR-I(−) (black) and CR-I(+) (red) during a 300 ns simulation. Representative structure of the snapshot of N(dW)F with (b) CR-I(−) and (c) CR-I(+) at 300 ns, respectively. Water molecules were omitted for clarity.
Separations 12 00067 g003
Disclaimer/Publisher’s Note: The statements, opinions and data contained in all publications are solely those of the individual author(s) and contributor(s) and not of MDPI and/or the editor(s). MDPI and/or the editor(s) disclaim responsibility for any injury to people or property resulting from any ideas, methods, instructions or products referred to in the content.

Share and Cite

MDPI and ACS Style

Mijiddorj, B.; Kayano, Y.; Yamagishi, H.; Nakajima, H.; Kawamura, I. Separation of D-Amino Acid-Containing Tripeptide L-Asn-D-Trp-L-Phe-NH2 and Its Diastereomer Using Crown–Ether-Type Chiral Stationary Phase. Separations 2025, 12, 67. https://doi.org/10.3390/separations12030067

AMA Style

Mijiddorj B, Kayano Y, Yamagishi H, Nakajima H, Kawamura I. Separation of D-Amino Acid-Containing Tripeptide L-Asn-D-Trp-L-Phe-NH2 and Its Diastereomer Using Crown–Ether-Type Chiral Stationary Phase. Separations. 2025; 12(3):67. https://doi.org/10.3390/separations12030067

Chicago/Turabian Style

Mijiddorj, Batsaikhan, Yohei Kayano, Hiroki Yamagishi, Haruto Nakajima, and Izuru Kawamura. 2025. "Separation of D-Amino Acid-Containing Tripeptide L-Asn-D-Trp-L-Phe-NH2 and Its Diastereomer Using Crown–Ether-Type Chiral Stationary Phase" Separations 12, no. 3: 67. https://doi.org/10.3390/separations12030067

APA Style

Mijiddorj, B., Kayano, Y., Yamagishi, H., Nakajima, H., & Kawamura, I. (2025). Separation of D-Amino Acid-Containing Tripeptide L-Asn-D-Trp-L-Phe-NH2 and Its Diastereomer Using Crown–Ether-Type Chiral Stationary Phase. Separations, 12(3), 67. https://doi.org/10.3390/separations12030067

Note that from the first issue of 2016, this journal uses article numbers instead of page numbers. See further details here.

Article Metrics

Back to TopTop