Enhanced Antioxidant Extraction from Lonicerae japonicae Flos Based on a Novel Optimization Strategy with Tailored Deep Eutectic Solvents
Abstract
1. Introduction
2. Materials and Methods
2.1. Materials
2.2. Synthesis and Characterization of DESs
2.3. Extraction of LJF
2.4. Antioxidant Activities of LJF Extracts
2.5. HPLC Analysis
2.6. Experimental Design Strategy
2.7. UPLC-MS Analysis
2.8. Statistical Analysis
3. Results and Discussion
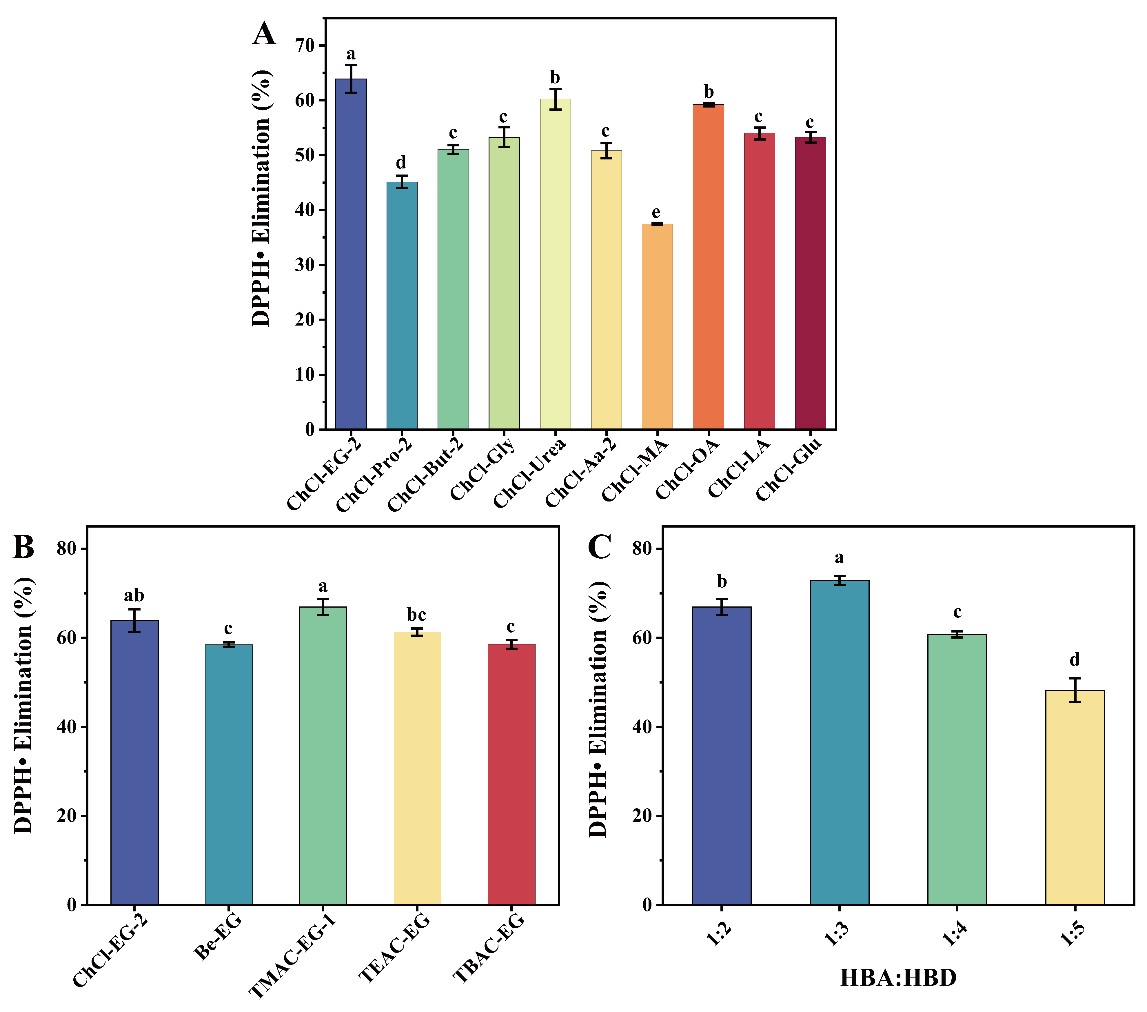
3.1. Solvent Screening and DES Tailoring
3.2. Optimization of Extraction Conditions by OVAT
3.2.1. Content of DES
3.2.2. Extraction Time
3.2.3. Extraction Temperature
3.2.4. Liquid–Solid Ratio
3.3. Optimization of the Extraction Condition Using RSM
3.4. Comparison of the Antioxidant Activity of LJF Extracts with the Chinese Pharmacopoeia Method
3.5. Extraction Mechanism
3.6. Quality Evaluation of LJF Based on Antioxidant Extraction and Chromatographic Fingerprinting
4. Conclusions
Supplementary Materials
Author Contributions
Funding
Data Availability Statement
Conflicts of Interest
References
- Jintao, X.; Quanwei, Y.; Chunyan, L.; Xiaolong, L.; Bingxuan, N. Rapid and simultaneous quality analysis of the three active components in Lonicerae japonicae Flos by near-infrared spectroscopy. Food Chem. 2021, 342, 128386. [Google Scholar] [CrossRef] [PubMed]
- Li, Y.; Li, W.; Fu, C.; Song, Y.; Fu, Q. Lonicerae japonicae flos and Lonicerae flos: A systematic review of ethnopharmacology, phytochemistry and pharmacology. Phytochem. Rev. 2020, 19, 1–61. [Google Scholar] [CrossRef] [PubMed]
- Cai, Z.; Wang, C.; Chen, C.; Zou, L.; Chai, C.; Chen, J.; Tan, M.; Liu, X. Quality evaluation of Lonicerae japonicae Flos and Lonicerae Flos based on simultaneous determination of multiple bioactive constituents combined with multivariate statistical analysis. Phytochem. Anal. 2021, 32, 129–140. [Google Scholar] [CrossRef] [PubMed]
- Zheng, S.; Liu, S.; Hou, A.; Wang, S.; Na, Y.; Hu, J.; Jiang, H.; Yang, L. Systematic review of Lonicerae japonicae Flos: A significant food and traditional Chinese medicine. Front. Pharmacol. 2022, 13, 1013992. [Google Scholar] [CrossRef] [PubMed]
- Bang, B.W.; Park, D.; Kwon, K.S.; Lee, D.H.; Jang, M.J.; Park, S.K.; Kim, J.Y. BST-104, a Water Extract of Lonicera japonica, Has a Gastroprotective Effect via Antioxidant and Anti-Inflammatory Activities. J. Med. Food 2019, 22, 140–151. [Google Scholar] [CrossRef] [PubMed]
- Liu, H.; Zhu, S.; Liu, Q.; Zhang, Y. Spectrum-effect relationship study between HPLC fingerprints and antioxidant of honeysuckle extract. Biomed. Chromatogr. 2019, 33, e4583. [Google Scholar] [CrossRef] [PubMed]
- Wu, J.; Luo, Y.; Wu, X.; Li, X. Study on extraction process of honeysuckle aqueous extracts to optimize flocculation by uniform design method. Chin. J. Vet. Drug. 2006, 40, 23–25. [Google Scholar]
- Lan, W.; Zhang, Z. Extraction and examination of chlorogenic acid from flos lonicerae. Food Sci. 2005, 26, 130–134. [Google Scholar]
- Zhang, B.; Yang, R.; Liu, C.-Z. Microwave-assisted extraction of chlorogenic acid from flower buds of Lonicera japonica Thunb. Sep. Purif. Technol. 2008, 62, 480–483. [Google Scholar] [CrossRef]
- Hu, F.; Deng, C.; Liu, Y.; Zhang, X. Quantitative determination of chlorogenic acid in Honeysuckle using microwave-assisted extraction followed by nano-LC-ESI mass spectrometry. Talanta 2009, 77, 1299–1303. [Google Scholar] [CrossRef]
- Tan, T.; Lai, C.-J.-S.; OuYang, H.; He, M.-Z.; Feng, Y. Ionic liquid-based ultrasound-assisted extraction and aqueous two-phase system for analysis of caffeoylquinic acids from Flos Lonicerae japonicae. J. Pharm. Biomed. Anal. 2016, 120, 134–141. [Google Scholar] [CrossRef] [PubMed]
- Zhang, L.; Liu, J.; Zhang, P.; Yan, S.; He, X.; Chen, F. Ionic liquid-based ultrasound-assisted extraction of chlorogenic acid from Lonicera japonica Thunb. Chromatographia 2011, 73, 129–133. [Google Scholar] [CrossRef]
- Sun, Y.; Ding, S.; Huang, H.; Hu, Y. Ionic liquid-based enzyme-assisted extraction of chlorogenic acid from Flos Lonicera japonicae. Bioresour. Bioprocess. 2017, 4, 45. [Google Scholar] [CrossRef] [PubMed]
- Liu, Y.; Han, J.; Wang, Y.; Lu, Y.; Zhang, G.; Sheng, C.; Yan, Y. Selective separation of flavones and sugars from honeysuckle by alcohol/salt aqueous two-phase system and optimization of extraction process. Sep. Purif. Technol. 2013, 118, 776–783. [Google Scholar] [CrossRef]
- Duan, M.H.; Fang, T.; Ma, J.F.; Shi, Q.L.; Peng, Y.; Ge, F.H.; Wang, X.L. Homogenate-assisted high-pressure disruption extraction for determination of phenolic acids in Lonicerae japonicae Flos. J. Chromatogr. B 2018, 1097–1098, 119–127. [Google Scholar] [CrossRef]
- Omar, K.A.; Sadeghi, R. Database of deep eutectic solvents and their physical properties: A review. J. Mol. Liq. 2023, 384, 121899. [Google Scholar] [CrossRef]
- de Almeida Pontes, P.V.; Ayumi Shiwaku, I.; Maximo, G.J.; Caldas Batista, E.A. Choline chloride-based deep eutectic solvents as potential solvent for extraction of phenolic compounds from olive leaves: Extraction optimization and solvent characterization. Food Chem. 2021, 352, 129346. [Google Scholar] [CrossRef] [PubMed]
- Tiecco, M.; Cappellini, F.; Nicoletti, F.; Del Giacco, T.; Germani, R.; Di Profio, P. Role of the hydrogen bond donor component for a proper development of novel hydrophobic deep eutectic solvents. J. Mol. Liq. 2019, 281, 423–430. [Google Scholar] [CrossRef]
- Gao, J.; Xie, L.; Peng, Y.; Li, M.; Li, J.; Ni, Y.; Wen, X. Deep Eutectic Solvents as New Extraction Media for Flavonoids in Mung Bean. Foods 2024, 13, 777. [Google Scholar] [CrossRef]
- Cao, J.; Su, E. Hydrophobic deep eutectic solvents: The new generation of green solvents for diversified and colorful applications in green chemistry. J. Cleaner Prod. 2021, 314, 127965. [Google Scholar] [CrossRef]
- Kanberoglu, G.S.; Yilmaz, E.; Soylak, M. Application of deep eutectic solvent in ultrasound-assisted emulsification microextraction of quercetin from some fruits and vegetables. J. Mol. Liq. 2019, 279, 571–577. [Google Scholar] [CrossRef]
- Benvenutti, L.; Zielinski, A.A.F.; Ferreira, S.R.S. Pressurized aqueous solutions of deep eutectic solvent (DES): A green emergent extraction of anthocyanins from a Brazilian berry processing by-product. Food Chem. X 2022, 13, 100236. [Google Scholar] [CrossRef] [PubMed]
- Kiene, M.; Zaremba, M.; Fellensiek, H.; Januschewski, E.; Juadjur, A.; Jerz, G.; Winterhalter, P. In Silico-Assisted Isolation of trans-Resveratrol and trans-ε-Viniferin from Grapevine Canes and Their Sustainable Extraction Using Natural Deep Eutectic Solvents (NADES). Foods 2023, 12, 4184. [Google Scholar] [CrossRef] [PubMed]
- Das, A.K.; Sharma, M.; Mondal, D.; Prasad, K. Deep eutectic solvents as efficient solvent system for the extraction of κ-carrageenan from Kappaphycus alvarezii. Carbohydr. Polym. 2016, 136, 930–935. [Google Scholar] [CrossRef] [PubMed]
- Nam, M.W.; Zhao, J.; Lee, M.S.; Jeong, J.H.; Lee, J. Enhanced extraction of bioactive natural products using tailor-made deep eutectic solvents: Application to flavonoid extraction from Flos sophorae. Green Chem. 2015, 17, 1718–1727. [Google Scholar] [CrossRef]
- Lin, S.; Meng, X.; Tan, C.; Tong, Y.; Wan, M.; Wang, M.; Zhao, Y.; Deng, H.; Kong, Y.; Ma, Y. Composition and antioxidant activity of anthocyanins from Aronia melanocarpa extracted using an ultrasonic-microwave-assisted natural deep eutectic solvent extraction method. Ultrason. Sonochem. 2022, 89, 106102. [Google Scholar] [CrossRef] [PubMed]
- Peng, X.; Duan, M.-H.; Yao, X.-H.; Zhang, Y.-H.; Zhao, C.-J.; Zu, Y.-G.; Fu, Y.-J. Green extraction of five target phenolic acids from Lonicerae japonicae Flos with deep eutectic solvent. Sep. Purif. Technol. 2016, 157, 249–257. [Google Scholar] [CrossRef]
- Committee, T.P. Pharmacopoeia of the People’s Republic of China; China Medical Science Press: Beijing, China, 2020. [Google Scholar]
- Sun, B.; Zheng, Y.-L.; Yang, S.-K.; Zhang, J.-R.; Cheng, X.-Y.; Ghiladi, R.; Ma, Z.; Wang, J.; Deng, W.-W. One-pot method based on deep eutectic solvent for extraction and conversion of polydatin to resveratrol from Polygonum cuspidatum. Food Chem. 2021, 343, 128498. [Google Scholar] [CrossRef]
- Deng, W.-W.; Mei, X.-P.; Cheng, Z.-J.; Gan, T.-X.; Tian, X.; Hu, J.-N.; Zang, C.-R.; Sun, B.; Wu, J.; Deng, Y.; et al. Extraction of weak hydrophobic sulforaphane from broccoli by salting-out assisted hydrophobic deep eutectic solvent extraction. Food Chem. 2023, 405, 134817. [Google Scholar] [CrossRef]
- Deng, W.-W.; Zang, C.-R.; Li, Q.-C.; Sun, B.; Mei, X.-P.; Bai, L.; Shang, X.-M.; Deng, Y.; Xiao, Y.-Q.; Ghiladi, R.A.; et al. Hydrothermally Derived Green Carbon Dots from Broccoli Water Extracts: Decreased Toxicity, Enhanced Free-Radical Scavenging, and Anti-Inflammatory Performance. ACS Biomater. Sci. Eng. 2023, 9, 1307–1319. [Google Scholar] [CrossRef]
- Shen, H.; Wang, Y.; Shi, P.; Li, H.; Chen, Y.; Hu, T.; Yu, Y.; Wang, J.; Yang, F.; Luo, H.; et al. Effects of the Species and Growth Stage on the Antioxidant and Antifungal Capacities, Polyphenol Contents, and Volatile Profiles of Bamboo Leaves. Foods 2024, 13, 480. [Google Scholar] [CrossRef] [PubMed]
- Li, F.; Zhao, H.; Xu, R.; Zhang, X.; Zhang, W.; Du, M.; Liu, X.; Fan, L. Simultaneous optimization of the acidified water extraction for total anthocyanin content, total phenolic content, and antioxidant activity of blue honeysuckle berries (Lonicera caerulea L.) using response surface methodology. Food Sci. Nutr. 2019, 7, 2968–2976. [Google Scholar] [CrossRef] [PubMed]
- Lee, J.; Kang, Y.-R.; Kim, Y.J.; Chang, Y.H. Effect of high pressure and treatment time on nutraceuticals and antioxidant properties of Lonicera japonica Thunb. Innov. Food Sci. Emerg. Technol. 2019, 54, 243–251. [Google Scholar] [CrossRef]
- Wei, Q.; Zhang, Y.-H. Ultrasound-assisted polysaccharide extraction from Cercis chinensis and properites, antioxidant activity of polysaccharide. Ultrason. Sonochem. 2023, 96, 106422. [Google Scholar] [CrossRef] [PubMed]
- Martins, A.C.; Bukman, L.; Vargas, A.M.M.; Barizão, É.O.; Moraes, J.C.G.; Visentainer, J.V.; Almeida, V.C. The antioxidant activity of teas measured by the FRAP method adapted to the FIA system: Optimising the conditions using the response surface methodology. Food Chem. 2013, 138, 574–580. [Google Scholar] [CrossRef] [PubMed]
- Tian, W.; Yang, J.; Dou, J.; Li, X.; Dai, X.; Wang, X.; Sun, Y.; Li, Z. Interbatch quality control of the extract from Artemisia frigida Willd. by spectrum-effect relationship between HPLC fingerprints and the total antioxidant capacity. Int. J. Food Prop. 2022, 25, 541–549. [Google Scholar] [CrossRef]
- Liu, T.; Yang, L.; Dong, C.; Gao, Q.; Qi, D.; Xu, X.; Li, J. Study on HPLC fingerprint of Lonicera japonica Flos from different areas based on chemical pattern recognition. Chin. Tradit. Herb. Drugs 2022, 53, 4833–4843. (In Chinese) [Google Scholar]
- Zhang, J.; Yu, X.; Yang, R.; Zheng, B.; Zhang, Y.; Zhang, F. Quality evaluation of Lonicerae japonicae Flos from different origins based on high-performance liquid chromatography (HPLC) fingerprinting and multicomponent quantitative analysis combined with chemical pattern recognition. Phytochem. Anal. 2024, 35, 647–663. [Google Scholar] [CrossRef] [PubMed]
- Hou, Y.; Kong, J.; Ren, Y.; Ren, S.; Wu, W. Mass transfer dynamics in the separation of phenol from model oil with quaternary ammonium salts via forming deep eutectic solvents. Sep. Purif. Technol. 2017, 174, 554–560. [Google Scholar] [CrossRef]
- Chen, Q.; Chaihu, L.; Yao, X.; Cao, X.; Bi, W.; Lin, J.; Chen, D.D.Y. Molecular Property-Tailored Soy Protein Extraction Process Using a Deep Eutectic Solvent. ACS Sustain. Chem. Eng. 2021, 9, 10083–10092. [Google Scholar] [CrossRef]
- Lim, E.; Yon Pang, J.-S.; Lau, E.V. A comparative study of thermophysical properties between choline chloride-based deep eutectic solvents and imidazolium-based ionic liquids. J. Mol. Liq. 2024, 395, 123895. [Google Scholar] [CrossRef]
- Wang, W.; Zheng, B.; Wu, J.; Lv, W.; Lin, P.; Gong, X. Determination of the Dissociation Constants of 16 Active Ingredients in Medicinal Herbs Using a Liquid–Liquid Equilibrium Method. Separations 2021, 8, 49. [Google Scholar] [CrossRef]
- Cao, J.; Chen, L.; Li, M.; Cao, F.; Zhao, L.; Su, E. Two-phase systems developed with hydrophilic and hydrophobic deep eutectic solvents for simultaneously extracting various bioactive compounds with different polarities. Green Chem. 2018, 20, 1879–1886. [Google Scholar] [CrossRef]
- Hsieh, Y.-H.; Li, Y.; Pan, Z.; Chen, Z.; Lu, J.; Yuan, J.; Zhu, Z.; Zhang, J. Ultrasonication-assisted synthesis of alcohol-based deep eutectic solvents for extraction of active compounds from ginger. Ultrason. Sonochem. 2020, 63, 104915. [Google Scholar] [CrossRef] [PubMed]
- Wang, T.; Wang, Q.; Li, P.; Yang, H. Temperature-responsive ionic liquids to set up a method for the simultaneous extraction and in situ preconcentration of hydrophilic and lipophilic compounds from medicinal plant matrices. Green Chem. 2019, 21, 4133–4142. [Google Scholar] [CrossRef]
- Wu, L.; Li, L.; Chen, S.; Wang, L.; Lin, X. Deep eutectic solvent-based ultrasonic-assisted extraction of phenolic compounds from Moringa oleifera L. leaves: Optimization, comparison and antioxidant activity. Sep. Purif. Technol. 2020, 247, 117014. [Google Scholar] [CrossRef]
- Fu, M.; Qu, Q.; Dai, H. Variation in antioxidant properties and metabolites during flower maturation of Flos Lonicerae japonicae flowers. Eur. Food Res. Technol. 2014, 240, 735–741. [Google Scholar] [CrossRef]
- Yang, J.; Tian, W.; Liu, Y.; Li, X.; Pan, F.; Wang, Z.; Li, Z.; Yang, P.; Dai, X. Quality evaluation of the extract of aerial parts from Atractylodes lancea based on fingerprint and chemometrics. Int. J. Food Prop. 2022, 25, 422–434. [Google Scholar] [CrossRef]
- Long, W.; Lei, G.; Guan, Y.; Chen, H.; Hu, Z.; She, Y.; Fu, H. Classification of Chinese traditional cereal vinegars and antioxidant property predication by fluorescence spectroscopy. Food Chem. 2023, 424, 136406. [Google Scholar] [CrossRef]
- Gao, F.-Y.; Chen, H.-Y.; Luo, Y.-S.; Chen, J.-K.; Yan, L.; Zhu, J.-B.; Fan, G.-R.; Zhou, T.-T. “Q-markers targeted screening” strategy for comprehensive qualitative and quantitative analysis in fingerprints of Angelica dahurica with chemometric methods. Food Chem. X 2021, 12, 100162. [Google Scholar] [CrossRef]
- Schneider, L.; Haverinen, J.; Jaakkola, M.; Lassi, U. Pretreatment and fractionation of lignocellulosic barley straw by mechanocatalysis. Chem. Eng. J. 2017, 327, 898–905. [Google Scholar] [CrossRef]
- Ma, C.; Bai, J.; Shao, C.; Liu, J.; Zhang, Y.; Li, X.; Yang, Y.; Xu, Y.; Wang, L. Degradation of blue honeysuckle polysaccharides, structural characteristics and antiglycation and hypoglycemic activities of degraded products. Food Res. Int. 2021, 143, 110281. [Google Scholar] [CrossRef] [PubMed]
- Ding, G.; Wang, Y.; Liu, A.; Hou, Y.; Zhang, T.; Bai, G.; Liu, C. From chemical markers to quality markers: An integrated approach of UPLC/Q-TOF, NIRS, and chemometrics for the quality assessment of honeysuckle buds. RSC Adv. 2017, 7, 22034–22044. [Google Scholar] [CrossRef]
- Jin, Z.; Wan, R.; Yan, R.; Su, Y.; Huang, H.; Zi, L.; Yu, F. Microwave-Assisted Extraction of Multiple Trace Levels of Intermediate Metabolites for Camptothecin Biosynthesis in Camptotheca acuminata and Their Simultaneous Determination by HPLC-LTQ-Orbitrap-MS/MS and HPLC-TSQ-MS. Molecules 2019, 24, 815. [Google Scholar] [CrossRef] [PubMed]
- Zhu, H.; Zhang, J.; Li, C.; Liu, S.; Wang, L. Morinda citrifolia L. leaves extracts obtained by traditional and eco-friendly extraction solvents: Relation between phenolic compositions and biological properties by multivariate analysis. Ind. Crops Prod. 2020, 153, 112586. [Google Scholar] [CrossRef]
- Mustafa, A.M.; Abouelenein, D.; Angeloni, S.; Maggi, F.; Navarini, L.; Sagratini, G.; Santanatoglia, A.; Torregiani, E.; Vittori, S.; Caprioli, G. A New HPLC-MS/MS Method for the Simultaneous Determination of Quercetin and Its Derivatives in Green Coffee Beans. Foods 2022, 11, 3033. [Google Scholar] [CrossRef]






| No. | Abb. | HBA | HBD | Molar Ratio | Viscosity (mPa·s) | Density (g/mL) | pH |
|---|---|---|---|---|---|---|---|
| 1 | ChCl-EG-1 | ChCl | EG | 1:4 | 19.60 | 1.13 | 7.34 |
| 2 | ChCl-EG-2 | ChCl | EG | 1:2 | 38.58 | 1.11 | 4.21 |
| 3 | ChCl-Pro-1 | ChCl | Pro | 1:4 | 49.91 | 1.04 | 6.52 |
| 4 | ChCl-Pro-2 | ChCl | Pro | 1:2 | 84.19 | 1.03 | 3.43 |
| 5 | ChCl-But-1 | ChCl | But | 1:4 | 65.31 | 1.01 | 5.41 |
| 6 | ChCl-But-2 | ChCl | But | 1:2 | 41.36 | 1.06 | 4.42 |
| 7 | ChCl-Gly | ChCl | Gly | 1:2 | 288.03 | 1.19 | 6.02 |
| 8 | ChCl-Aa-1 | ChCl | Aa | 1:1.5 | 68.96 | 1.11 | 1.53 |
| 9 | ChCl-Aa-2 | ChCl | Aa | 1:2 | 47.01 | 1.08 | 1.26 |
| 10 | ChCl-Urea | ChCl | Urea | 1:2 | 449.00 | 1.25 | 8.37 |
| 11 | ChCl-MA | ChCl | MA | 1:2 | N.C. | 1.34 | 0.26 |
| 12 | ChCl-OA | ChCl | OA | 1:2 | N.C. | 1.35 | 0.71 |
| 13 | ChCl-LA | ChCl | LA | 1:2 | 163.21 | 1.14 | 0.52 |
| 14 | ChCl-Glu | ChCl | Glu | 1:2 | N.C. | 1.27 | 3.57 |
| 15 | Be-EG | Be | EG | 1:2 | N.C. | 1.26 | 7.00 |
| 16 | TMAC-EG-1 | TMAC | EG | 1:2 | N.C. | 1.08 | 4.00 |
| 17 | TMAC-EG-2 | TMAC | EG | 1:3 | 19.92 | 1.08 | 6.03 |
| 18 | TEAC-EG | TEAC | EG | 1:2 | 43.10 | 1.05 | 5.75 |
| 19 | TBAC-EG | TBAC | EG | 1:2 | 15.82 | 1.08 | 4.18 |
| Extraction Method | Tailored DES-Based Extraction Method | Chinese Pharmacopoeia Extraction Method | |
|---|---|---|---|
| Extraction yields of antioxidants from different origins (μmol TE/g DW) | Henan | 241.6 ± 5.5 a | 213.1 ± 8.2 b |
| Shandong | 249.1 ± 4.6 a | 189.7 ± 6.0 b | |
| Hebei | 229.1 ± 1.2 a | 199.3 ± 6.2 b | |
| Total phenolic content from different origins (mg GAE/g DW) | Henan | 35.7 ± 0.2 a | 28.4 ± 0.8 b |
| Shandong | 36.5 ± 0.4 a | 29.5 ± 1.0 b | |
| Hebei | 34.2 ± 0.6 a | 30.0 ± 1.4 b | |
| Total flavonoid content from different origins (mg RE/g DW) | Henan | 120.5 ± 1.7 a | 79.6 ± 4.0 b |
| Shandong | 119.6 ± 1.8 a | 88.0 ± 4.9 b | |
| Hebei | 123.0 ± 1.3 a | 87.6 ± 4.0 b | |
| Extraction time (min) | Henan | 5 | 30 |
| Shandong | |||
| Hebei | |||
| Organic solvent consumption /1.0 g LJF powder | Henan | None | 75 mL of methanol |
| Shandong | |||
| Hebei | |||
Disclaimer/Publisher’s Note: The statements, opinions and data contained in all publications are solely those of the individual author(s) and contributor(s) and not of MDPI and/or the editor(s). MDPI and/or the editor(s) disclaim responsibility for any injury to people or property resulting from any ideas, methods, instructions or products referred to in the content. |
© 2024 by the authors. Licensee MDPI, Basel, Switzerland. This article is an open access article distributed under the terms and conditions of the Creative Commons Attribution (CC BY) license (https://creativecommons.org/licenses/by/4.0/).
Share and Cite
Deng, W.-W.; Sun, B.; Yang, H.; Hou, X.-J.; Zhang, Y.-J.; Gan, T.-X.; Cheng, X.-Y.; Yuan, A.; Dong, X.-Y.; Zhou, C.-Y.; et al. Enhanced Antioxidant Extraction from Lonicerae japonicae Flos Based on a Novel Optimization Strategy with Tailored Deep Eutectic Solvents. Separations 2024, 11, 189. https://doi.org/10.3390/separations11060189
Deng W-W, Sun B, Yang H, Hou X-J, Zhang Y-J, Gan T-X, Cheng X-Y, Yuan A, Dong X-Y, Zhou C-Y, et al. Enhanced Antioxidant Extraction from Lonicerae japonicae Flos Based on a Novel Optimization Strategy with Tailored Deep Eutectic Solvents. Separations. 2024; 11(6):189. https://doi.org/10.3390/separations11060189
Chicago/Turabian StyleDeng, Wen-Wen, Bo Sun, Han Yang, Xiao-Jie Hou, Yong-Jian Zhang, Tian-Xiang Gan, Xin-Yi Cheng, Ao Yuan, Xiao-Yang Dong, Cong-Yu Zhou, and et al. 2024. "Enhanced Antioxidant Extraction from Lonicerae japonicae Flos Based on a Novel Optimization Strategy with Tailored Deep Eutectic Solvents" Separations 11, no. 6: 189. https://doi.org/10.3390/separations11060189
APA StyleDeng, W.-W., Sun, B., Yang, H., Hou, X.-J., Zhang, Y.-J., Gan, T.-X., Cheng, X.-Y., Yuan, A., Dong, X.-Y., Zhou, C.-Y., Deng, Y., Xiao, Y.-Q., Ghiladi, R., Li, H., & Wang, J. (2024). Enhanced Antioxidant Extraction from Lonicerae japonicae Flos Based on a Novel Optimization Strategy with Tailored Deep Eutectic Solvents. Separations, 11(6), 189. https://doi.org/10.3390/separations11060189

