Unveiling the Floral Scent Dynamics of Calamondin (Citrus × microcarpa) Across Developmental Stages
Abstract
1. Introduction
2. Materials and Methods
2.1. Plant Materials
2.2. Fragrance Collection
2.3. GC–MS Analysis
2.4. Qualitative and Quantitative Analysis of VOCs
2.5. Data Statistical Analysis
3. Results
3.1. Identification of VOCs in Calamondin Flowers at Different Developmental Stages
Subsubsection
3.2. Comparative Analysis of VOC Emissions at Different Flowering Stages
3.2.1. Total VOC Emissions and Emissions of Different VOCs
3.2.2. Principal Component Analysis and Hierarchical Cluster Analysis
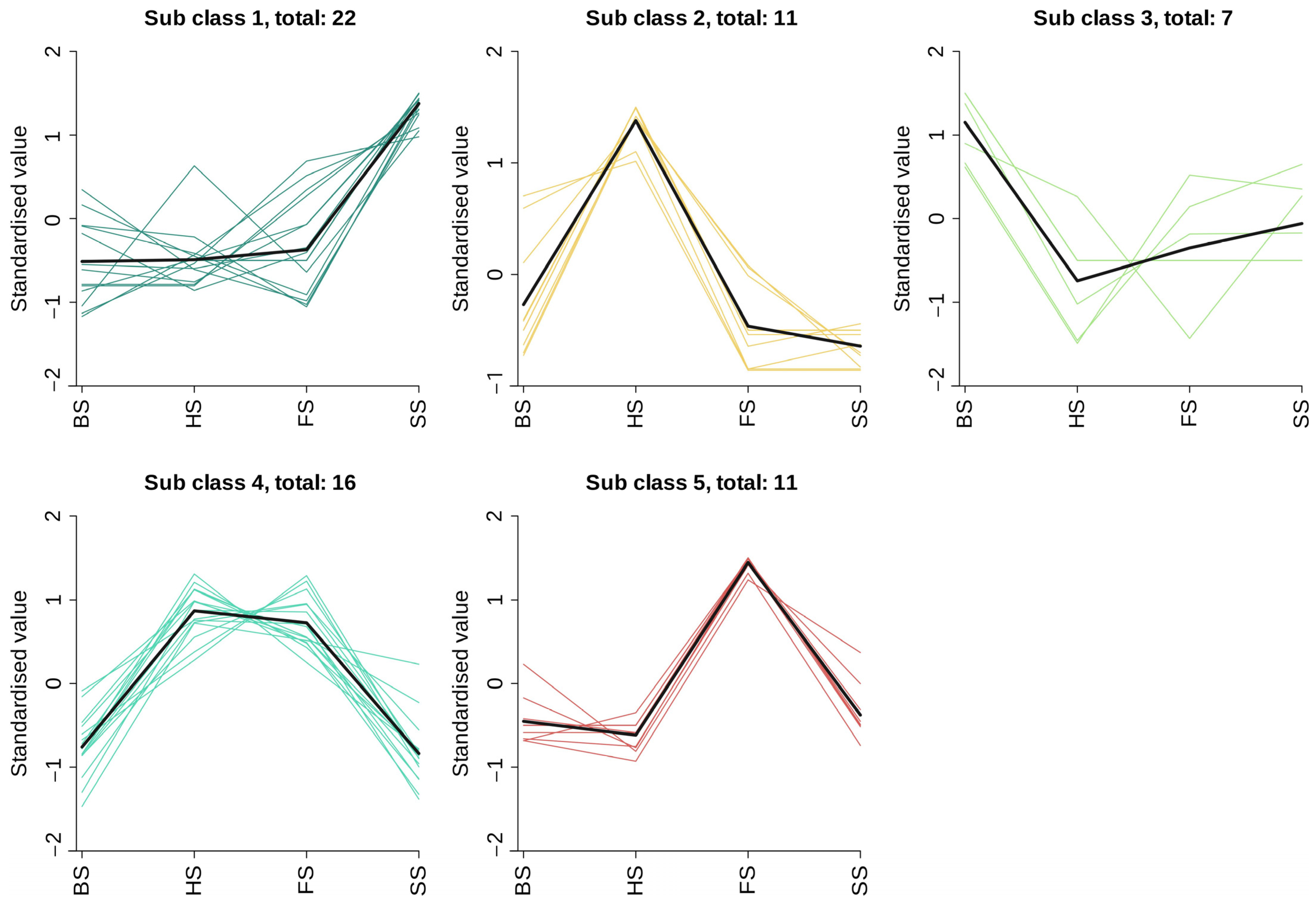
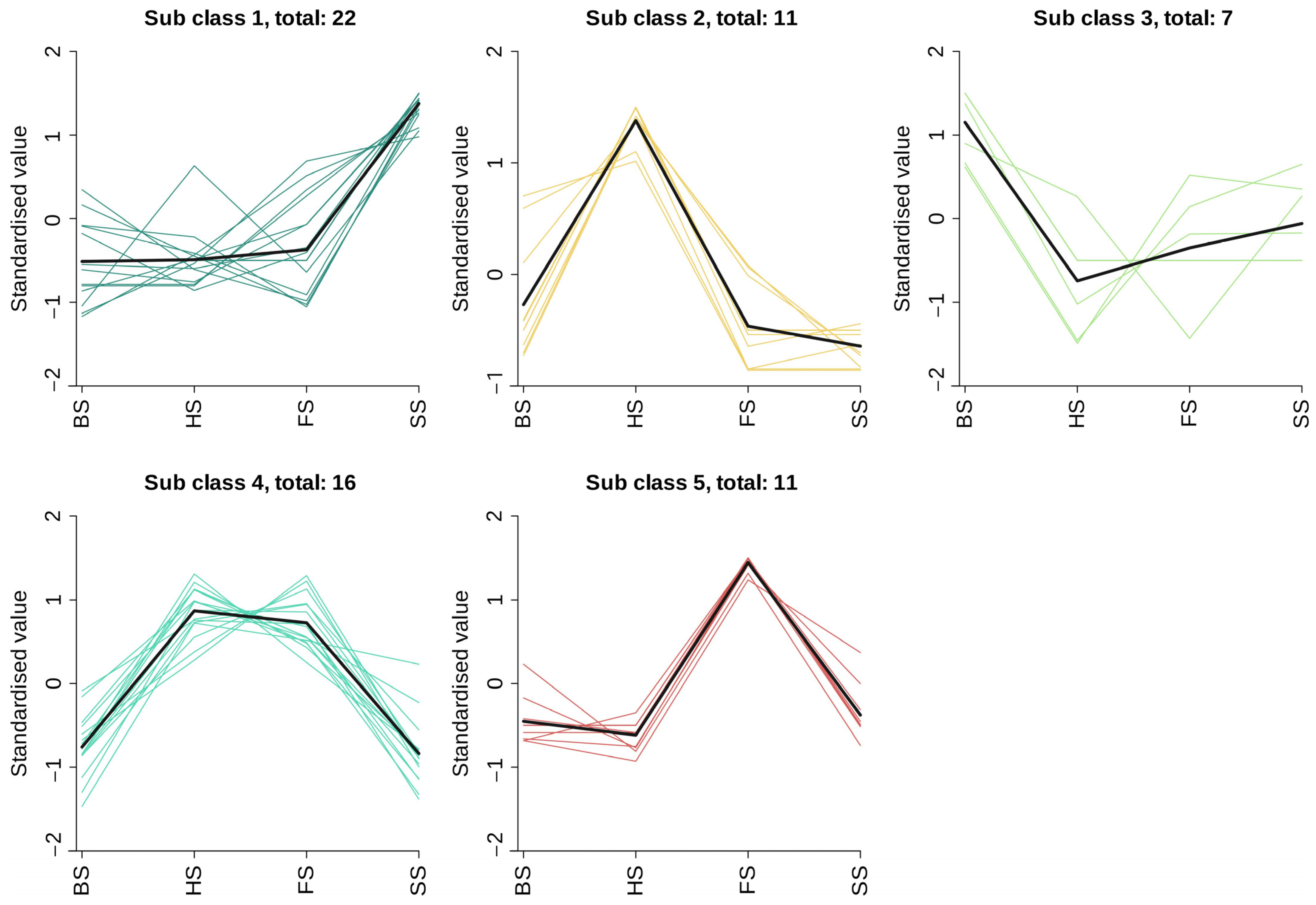
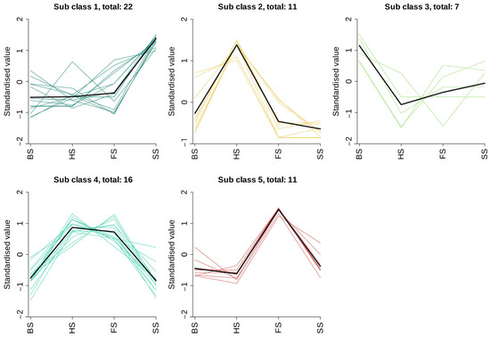
3.2.3. K-Means Clustering Analysis of VOCs at Different Flowering Stages
3.3. Identification of Key VOCs with Differential Emissions at Four Developmental Stages
4. Discussion
5. Conclusions
Supplementary Materials
Author Contributions
Funding
Data Availability Statement
Conflicts of Interest
References
- Pichersky, E.; Dudareva, N. Scent engineering: Toward the goal of controlling how flowers smell. Trends Biotechnol. (Regul. Ed.) 2007, 25, 105–110. [Google Scholar] [CrossRef] [PubMed]
- Mostafa, S.; Wang, Y.; Zeng, W.; Jin, B. Floral scents and fruit aromas: Functions, compositions, biosynthesis, and regulation. Front. Plant Sci. 2022, 13, 860157. [Google Scholar] [CrossRef] [PubMed]
- Dudareva, N.; Klempien, A.; Muhlemann, J.K.; Kaplan, I. Biosynthesis, function and metabolic engineering of plant volatile organic compounds. New Phytol. 2013, 198, 16–32. [Google Scholar] [CrossRef] [PubMed]
- Muhlemann, J.K.; Klempien, A.; Dudareva, N. Floral volatiles: From biosynthesis to function. Plant Cell Environ. 2014, 37, 1936–1949. [Google Scholar] [CrossRef]
- Kong, Y.; Bai, J.; Lang, L.; Bao, F.; Dou, X.; Wang, H.; Shang, H. Variation in floral scent compositions of different lily hybrid groups. J. Am. Soc. Hortic. Sci. 2017, 142, 175–183. [Google Scholar] [CrossRef]
- Song, C.; Wang, Q.; Teixeira Da Silva, J.A.; Yu, X. Identification of floral fragrances and analysis of fragrance patterns in herbaceous peony cultivars. J. Am. Soc. Hortic. Sci. 2018, 143, 248–258. [Google Scholar] [CrossRef]
- Bera, P.; Kotamreddy, J.N.R.; Samanta, T.; Maiti, S.; Mitra, A. Inter-specific variation in headspace scent volatiles composition of four commercially cultivated jasmine flowers. Nat. Prod. Res. 2015, 29, 1328–1335. [Google Scholar] [CrossRef]
- Ramya, M.; Jang, S.; An, H.R.; Lee, S.Y.; Park, P.M.; Park, P.H. Volatile organic compounds from orchids: From synthesis and function to gene regulation. Int. J. Mol. Sci. 2020, 21, 1160. [Google Scholar] [CrossRef]
- Chuang, Y.C.; Lee, M.C.; Chang, Y.L.; Chen, W.H.; Chen, H.H. Diurnal regulation of the floral scent emission by light and circadian rhythm in the phalaenopsis orchids. Bot. Stud. 2017, 58, 50. [Google Scholar] [CrossRef]
- Agarwal, P.; Sebghatollahi, Z.; Kamal, M.; Dhyani, A.; Shrivastava, A.; Singh, K.K.; Sinha, M.; Mahato, N.; Mishra, A.K.; Baek, K. Citrus essential oils in aromatherapy: Therapeutic effects and mechanisms. Antioxidants 2022, 11, 2374. [Google Scholar] [CrossRef]
- Husni, E.; Ismed, F.; Afriyandi, D. Standardization study of simplicia and extract of calamondin (Citrus microcarpa Bunge) peel, quantification of hesperidin and antibacterial assay. Pharmacogn. J. 2020, 12, 777–783. [Google Scholar] [CrossRef]
- Cheong, M.W.; Chong, Z.S.; Liu, S.Q.; Zhou, W.; Curran, P.; Yu, B. Characterisation of calamansi (Citrus microcarpa). Part I: Volatiles, aromatic profiles and phenolic acids in the peel. Food Chem. 2012, 134, 686–695. [Google Scholar] [CrossRef] [PubMed]
- Septama, A.W.; Yuandani, Y.; Khairunnisa, N.A.; Nasution, H.R.; Utami, D.S.; Kristiana, R.; Jantan, I. Antibacterial, bacteriolytic, antibiofilm, and synergistic effects of the peel oils of citrus microcarpa and Citrus x amblycarpa with tetracycline against foodborne Escherichia coli. Lett. Appl. Microbiol. 2023, 76, ovad126. [Google Scholar] [CrossRef] [PubMed]
- Correction to ‘essential oil from citrus depressa peel exhibits antimicrobial, antioxidant and cancer chemopreventive effects’. J. Sci. Food Agric. 2024, 104, 8388. [CrossRef]
- Stewart, A.J.; Mullen, W.; Crozier, A. On-line high-performance liquid chromatography analysis of the antioxidant activity of phenolic compounds in green and black tea. Mol. Nutr. Food Res. 2005, 49, 52–60. [Google Scholar] [CrossRef]
- Othman, H.I.A.; Zaid, A.; Cacciola, F.; Zhao, Z.; Guan, X.; Althakafy, J.T.; Wong, Y.F. Evaluation of cryogen-free thermal modulation-based enantioselective comprehensive two-dimensional gas chromatography for stereo-differentiation of monoterpenes in Citrus spp. Leaf oils. Molecules 2023, 28, 1381. [Google Scholar] [CrossRef]
- Farah Fazwa, M.A.; Ab Rasip, A.G.; Nor Azah, M.A.; Lokmal, N.; Said, A.A. Selection of leaf oil yielding genotypes of Citrus microcarpa. J. Trop. Med. Plants 2007, 8, 282–284. [Google Scholar]
- Manaf, Y.N.; Osman, A.; Lai, O.M.; Long, K.; Ghazali, H.M. Characterisation of musk lime (Citrus microcarpa) seed oil. J. Sci. Food Agric. 2008, 88, 676–683. [Google Scholar] [CrossRef]
- Chen, H.-C.; Peng, L.-W.; Sheu, M.-J.; Lin, L.-Y.; Chiang, H.-M.; Wu, C.-T.; Wu, C.-C.; Chen, Y.-C. Effects of hot water treatment on the essential oils of calamondin. J. Food Drug Aanlyais 2013, 21, 363–368. [Google Scholar] [CrossRef]
- Nguyen, T.N.; Huynh, T.N.; Tran, V.; Dang, C.; Hoang, T.K.; Nguyen, T. Physicochemical characterization and bioactivity evaluation of essential oils from citrus microcarpa bunge leaf and flower. J. Essent. Oil Res. 2018, 30, 285–292. [Google Scholar] [CrossRef]
- Ahangarpour, A.; Oroojan, A.A.; Amirzargar, A.; Ghanavati, M. Antispasmodic effects of Citrus aurantium flowers aqueous extract on uterus of non-pregnant rats. Iran. J. Reprod. Med. 2011, 9, 289–294. [Google Scholar] [PubMed]
- Xie, D.; Zhou, Y.; Wang, Y.; Xu, L.; Yang, C.; Zhang, G.; Zhang, H.; Du, Q.; Jin, P. Insight into sensory characteristics and volatile differences of freeze-dried Citrus aurantium L. var. amara Engl. Flower essential oil-casein phospholipid nanocomposites sustained-release scented tea by combining gc-e-nose and sbse-gc-ms. Food Control 2024, 166, 110714. [Google Scholar] [CrossRef]
- Noonan, M.J.; Tinnesand, H.V.; Buesching, C.D. Normalizing gas-chromatography-mass spectrometry data: Method choice can alter biological inference. Bioessays 2018, 40, e1700210. [Google Scholar] [CrossRef] [PubMed]
- R Core Team. R: A Language and Environment for Statistical Computing; R Foundation for Statistical Computing: Vienna, Austria, 2023; Available online: https://www.R-project.org/ (accessed on 12 June 2024).
- Gu, Z. Complex heatmap visualization. Imeta 2022, 1, e43. [Google Scholar] [CrossRef]
- Thévenot, E.A.; Roux, A.; Xu, Y.; Ezan, E.; Junot, C. Analysis of the human adult urinary metabolome variations with age, body mass index, and gender by implementing a comprehensive workflow for univariate and opls statistical analyses. J. Proteome Res. 2015, 14, 3322–3335. [Google Scholar] [CrossRef]
- Cheng, Y.; Han, L.; Shao, L.; Wang, H.; Guo, Z.; Li, G. Comparative investigation on the aroma profiles of edible citrus flowers in the main organs and different developmental stages. Food Chem. X 2024, 23, 101568. [Google Scholar] [CrossRef]
- Azam, M.; Song, M.; Fan, F.; Zhang, B.; Xu, Y.; Xu, C.; Chen, K. Comparative analysis of flower volatiles from nine citrus at three blooming stages. Int. J. Mol. Sci. 2013, 14, 22346–22367. [Google Scholar] [CrossRef]
- Jiao, R.; Gao, P.; Gao, X. Deeper insight into the volatile profile of rosa willmottiae with headspace solid-phase microextraction and gc-ms analysis. Molecules 2022, 27, 1240. [Google Scholar] [CrossRef]
- Goel, M.; Grover, N.; Batra, D.; Garg, N.; Tuwani, R.; Sethupathy, A.; Bagler, G. Flavordb2: An updated database of flavor molecules. J. Food Sci. 2024, 89, 7076–7082. [Google Scholar] [CrossRef]
- Jabalpurwala, F.A.; Smoot, J.M.; Rouseff, R.L. A comparison of citrus blossom volatiles. Phytochemistry 2009, 70, 1428–1434. [Google Scholar] [CrossRef]
- Fan, J.; Zhang, W.; Zhang, D.; Wang, G.; Cao, F. Flowering stage and daytime affect scent emission of malus ioensis “Prairie rose”. Molecules 2019, 24, 2356. [Google Scholar] [CrossRef] [PubMed]
- Zhou, Y.; Wang, F.; Wang, Q.; Chen, Y.; Dong, J.; Ye, Y.; Zhu, G.; Fan, Y.; Xu, Y. Diversity of chemical compounds in lily fragrance and identification of key sensory markers. Ind. Crop. Prod. 2024, 222, 120034. [Google Scholar] [CrossRef]
- Pan, Y.; Ma, Y.; He, J.; Zhang, L.; Huang, R.; Tang, L.; Ren, J.; Wang, W.; Quinet, M.; Meng, Y. Comprehensive assessment of fragrance profiles in peony flowers through HS-GC-IMS and metabolic pathway analysis. Sci. Hortic. 2024, 338, 113646. [Google Scholar] [CrossRef]
- Cai, R.; Tong, C.; Wang, H.; Yu, C.; Sun, M.; He, Z.; Feng, T.; Yao, L. Volatile profile of astragalus sinicus l. Flowers by gc × gc-tof-ms and evaluation of nutraceutical and nutricosmetic potential of the flower extracts. Food Biosci. 2024, 61, 104988. [Google Scholar] [CrossRef]
- Zhou, Y.; Wang, Q.; Wei, X.; Gao, T.; Abbas, F.; Yan, F.; He, J.; Yu, Y.; Yu, R.; Fan, Y. Dynamic aromatics: Evaluating fragrance quality shifts and implementation of real-time rapid detection in Hedychium cut flowers during senescence. Postharvest Biol. Technol. 2024, 218, 113193. [Google Scholar] [CrossRef]







Disclaimer/Publisher’s Note: The statements, opinions and data contained in all publications are solely those of the individual author(s) and contributor(s) and not of MDPI and/or the editor(s). MDPI and/or the editor(s) disclaim responsibility for any injury to people or property resulting from any ideas, methods, instructions or products referred to in the content. |
© 2024 by the authors. Licensee MDPI, Basel, Switzerland. This article is an open access article distributed under the terms and conditions of the Creative Commons Attribution (CC BY) license (https://creativecommons.org/licenses/by/4.0/).
Share and Cite
Chen, Y.; Liang, Z.; Chen, S.; Yan, F.; He, J.; Zhou, Y.; Gao, T. Unveiling the Floral Scent Dynamics of Calamondin (Citrus × microcarpa) Across Developmental Stages. Separations 2024, 11, 359. https://doi.org/10.3390/separations11120359
Chen Y, Liang Z, Chen S, Yan F, He J, Zhou Y, Gao T. Unveiling the Floral Scent Dynamics of Calamondin (Citrus × microcarpa) Across Developmental Stages. Separations. 2024; 11(12):359. https://doi.org/10.3390/separations11120359
Chicago/Turabian StyleChen, Yiwei, Zhiqing Liang, Shiyu Chen, Fulong Yan, Jingjuan He, Yiwei Zhou, and Ting Gao. 2024. "Unveiling the Floral Scent Dynamics of Calamondin (Citrus × microcarpa) Across Developmental Stages" Separations 11, no. 12: 359. https://doi.org/10.3390/separations11120359
APA StyleChen, Y., Liang, Z., Chen, S., Yan, F., He, J., Zhou, Y., & Gao, T. (2024). Unveiling the Floral Scent Dynamics of Calamondin (Citrus × microcarpa) Across Developmental Stages. Separations, 11(12), 359. https://doi.org/10.3390/separations11120359

