Metal Sulfide Nanoparticles as Sphalerite Surface Activators to Improve Zinc Recovery Through Flotation Process
Abstract
1. Introduction
2. Materials and Methods
2.1. Materials
2.2. Activation of Sphalerite with CuS Nanoparticles (Np1-SP and Np2-SP)
2.3. Characterization
2.4. Adsorption Kinetics and Isotherms
3. Results and Discussion
3.1. Activation of SP with CuS nanoparticles
3.2. Characterization
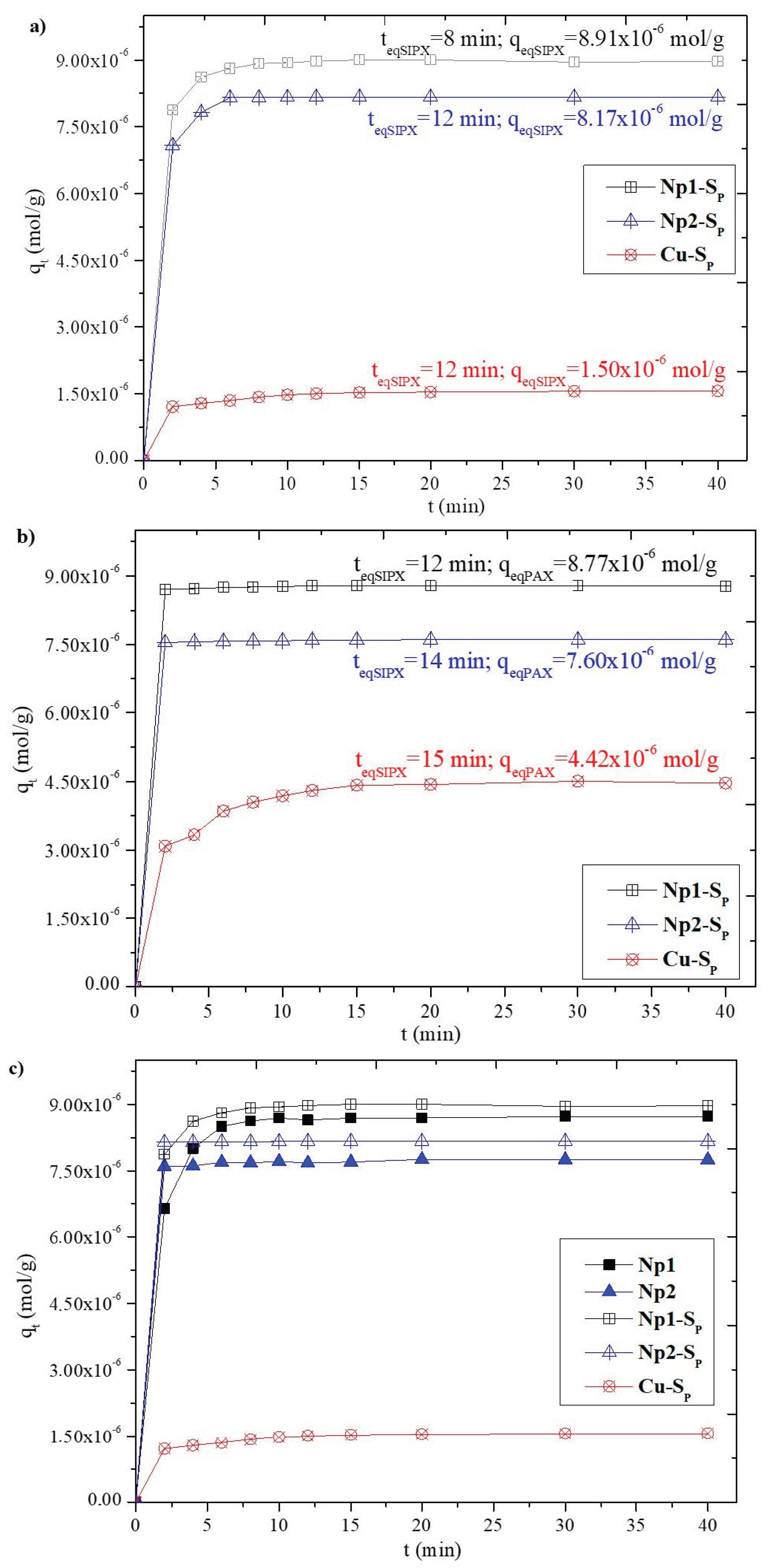
3.3. Kinetic and Isotherm of Two Collectors
3.4. Adsorption Mechanism
3.5. Microflotation Test with SN Activated by Np1
4. Conclusions
Supplementary Materials
Author Contributions
Funding
Data Availability Statement
Acknowledgments
Conflicts of Interest
References
- Wang, H.; Wen, S.; Han, G.; Xu, L.; Feng, Q. Activation mechanism of lead ions in the flotation of sphalerite depressed with zinc sulfate. Miner. Eng. 2020, 146, 106132. [Google Scholar] [CrossRef]
- Zinc Production in 2023, World Population Review. Available online: https://worldpopulationreview.com/country-rankings/zinc-production-by-country (accessed on 12 December 2024).
- Peng, W.; Chang, L.; Li, P.; Han, G.; Huang, Y.; Cao, Y. An overview on the surfactants used in ion flotation. J. Mol. Liq. 2019, 286, 110955. [Google Scholar] [CrossRef]
- Muñoz, P.M.J. Extracción de Metales por Hidrometalurgia: Procesamiento de Cobre y Cinc; Universitat Politècnica de València: Valencia, Spain, 2016. [Google Scholar]
- Gärd, R.; Sun, Z.X.; Forsling, W. FT-IR and FT-Raman studies of colloidal ZnS: 1. Acidic and alkaline sites at the ZnS/water interface. J. Colloid Interface Sci. 1995, 169, 393–399. [Google Scholar] [CrossRef]
- Bulatovic, S.M. Handbook of Flotation Reagents: Chemistry, Theory and Practice: Volume 1: Flotation of Sulfide Ores; Elsevier: Amsterdam, The Netherlands, 2007. [Google Scholar]
- Aikawa, K.; Ito, M.; Kusano, A.; Jeon, S.; Park, I.; Hiroyoshi, N. Development of a sustainable process for complex sulfide ores containing Anglesite: Effect of Anglesite on Sphalerite floatability, enhanced depression of Sphalerite by extracting Anglesite, and recovery of extracted Pb2+ as zero-valent Pb by cementation using zero-valent Fe. Minerales 2022, 12, 723. [Google Scholar]
- Pecina, E.T.; Uribe, A.; Nava, F.; Finch, J.A. The role of copper and lead in the activation of pyrite in xanthate and non-xanthate systems. Miner. Eng. 2006, 19, 172–179. [Google Scholar] [CrossRef]
- Hrůzová, K.; Matsakas, L.; Sand, A.; Rova, U.; Christakopoulos, P. Organosolv lignin hydrophobic micro-and nanoparticles as a low-carbon footprint biodegradable flotation collector in mineral flotation. Bioresour. Technol. 2020, 306, 123235. [Google Scholar] [CrossRef]
- Ejtemaei, M. Bubble Attachment and Amyl Xanthate Adsorption to Copper-Activated Sphalerite. Ph.D. Thesis, School of Chemical Engineering, The University of Queensland, Brisbane, Australia, 2017. [Google Scholar]
- Davila-Pulido, I.; Uribe-Salas, G.; Nava-Alonso, A.F. Revisiting the chemistry and kinetics of sphalerite activation with Cu (II): A contact angle study. The Open Miner. Process. J. 2012, 5, 1–5. [Google Scholar] [CrossRef]
- Chandra, A.P.; Gerson, A.R. A review of the fundamental studies of the copper activation mechanisms for selective flotation of the sulfide minerals, sphalerite and pyrite. Adv. Colloid Interface Sci. 2009, 145, 97–110. [Google Scholar] [CrossRef] [PubMed]
- Wills, B.A.; Napier-Munn, T. Mineral Processing Technology. An Introduction to the Practical Aspects of Ore Treatment and Mineral Recovery; Elsevier Science & Technology Books: Amsterdam, The Netherlands, 2006; ISBN 0750644508. [Google Scholar]
- Wan, H.; An, Y.; Luukkanen, S.; Qu, J.; Zhang, C.; Xue, J.; Wang, S.; Bu, X. New insights into the sphalerite activated by copper sulfate in lime systems. Colloids Surf. A 2023, 667, 131397. [Google Scholar] [CrossRef]
- Kondrat’ev, S.A.; Gavrilova, T.G. Physical adsorption mechanism in terms of sulphide mineral activation by heavy metal ions. J. Min. Sci. 2018, 54, 466–478. [Google Scholar] [CrossRef]
- Özün, S.; Ergen, G. Determination of optimum parameters for flotation of galena: Effect of chain length and chain structure of xanthates on flotation recovery. ACS Omega 2019, 4, 1516–1524. [Google Scholar] [CrossRef] [PubMed]
- Angelopoulos, P.M.; Anastassakis, G.; Kountouris, N.; Taxiarchou, M.; Koutsotheodorou, E.; Pefkos, T.; Klepkos, V.; Samara, C.; Mprokos, G. Flotation of Sulphide Minerals Using Organosolv Lignin as Collector—Pilot-Scale Trials. Mater. Proc. 2024, 15, 81. [Google Scholar]
- Mallampati, S.R.; Lee, B.H.; Mitoma, Y.; Simion, C. Sustainable recovery of precious metals from end-of-life vehicles shredder residue by a novel hybrid ball-milling and nanoparticles enabled froth flotation process. J. Clean. Prod. 2018, 171, 66–75. [Google Scholar] [CrossRef]
- Mabudi, A.; Noaparast, M.; Gharabaghi, M.; Vasquez, V.R. Polystyrene nanoparticles as a flotation collector: A molecular dynamics study. J. Mol. Liq. 2019, 275, 554–566. [Google Scholar] [CrossRef]
- Wang, L. Synthetic methods of CuS nanoparticles and their applications for imaging and cancer therapy. RSC Adv. 2016, 6, 82596–82615. [Google Scholar] [CrossRef]
- Pejjai, B.; Reddivari, M.; Kotte, T.R.R. Phase controllable synthesis of CuS nanoparticles by chemical co-precipitation method: Effect of copper precursors on the properties of CuS, Mater. Chem. Phys. 2020, 239, 122030. [Google Scholar] [CrossRef]
- Blanco-Flores, A.; Colín-Cruz, A.; Gutiérrez-Segura, E.; Sánchez-Mendieta, V.; Casados, D.A.S.; Garrudo-Guirado, M.A.; Batista-González, R. Efficient removal of crystal violet dye from aqueous solutions by vitreous tuff mineral. Environ. Technol. 2014, 35, 1508–1519. [Google Scholar] [CrossRef] [PubMed]
- Crist, B.V. Advanced peak-fitting of monochromatic XPS spectra. J. Surf. Anal. 1998, 4, 428–434. [Google Scholar]
- Fideles, R.A.; Ferreira, G.M.D.; Teodoro, F.S.; Adarme, O.F.H.; da Silva, L.H.M.; Gil, L.F.; Gurgel, L.V.A. Trimellitated sugarcane bagasse: A versatile adsorbent for removal of cationic dyes from aqueous solution. Part I: Batch adsorption in a monocomponent system. J. Colloid Interface Sci. 2018, 515, 172–188. [Google Scholar] [CrossRef] [PubMed]
- Bagheri, B.; Mehrabani, J.V.; Farrokhpay, S. Recovery of sphalerite from a high zinc grade tailing. J. Hazard. Mater. 2020, 381, 120946. [Google Scholar] [CrossRef] [PubMed]
- Hu, Q.; Lan, R.; He, L.; Liu, H.; Pei, X. A critical review of adsorption isotherm models for aqueous contaminants: Curve characteristics, site energy distribution and common controversies. J. Environ. Manag. 2023, 329, 117104. [Google Scholar] [CrossRef]
- Li, F.; Wu, J.; Qin, Q.; Li, Z.; Huan, X. Controllable synthesis, optical and photocatalytic properties of CuS nanomaterials with hierarchical structures. Powder Technol. 2010, 198, 267–274. [Google Scholar] [CrossRef]
- Pal, M.; Mathews, N.R.; Sanchez-Mora, E.; Pal, U.; Paraguay-Delgado, F.; Mathew, X. Synthesis of CuS nanoparticles by a wet chemical route and their photocatalytic activity. J. Nanopart. Res. 2015, 17, 1–12. [Google Scholar] [CrossRef]
- Fu, W.; Xue, F.; Liu, M.; Guo, L. Controlled deposition of ZnS nanoparticles on CuS nanoplates for visible-light-driven photocatalytic H2 production. J. Nanosci. Nanotechnol. 2019, 19, 414–421. [Google Scholar] [CrossRef] [PubMed]
- RRUFF Database: Raman, X-Ray Diffraction. Available online: https://rruff.info/sphalerite/R100145 (accessed on 12 December 2024).
- Harish, S.; Archana, J.; Navaneethan, M.; Ponnusamy, S.; Singh, A.; Gupta, V.; Aswald, D.K.; Ikeda, H.; Hayakawa, Y. Synergetic effect of CuS@ ZnS nanostructures on photocatalytic degradation of organic pollutant under visible light irradiation. RSC Adv. 2017, 7, 34366–34375. [Google Scholar] [CrossRef]
- Yadav, S.; Shrivas, K.; Bajpai, P.K. Role of precursors in controlling the size, shape and morphology in the synthesis of copper sulfide nanoparticles and their application for fluorescence detection. J. Alloys Compd. 2019, 772, 579–592. [Google Scholar] [CrossRef]
- Gao, J.; Qin, Z.; Sun, Y.; Gao, Y. CuS nanosheet grown on ZnS particle in aqueous solution at atmospheric pressure. Optoelectron. Adv. Mater. Rapid. Commun. 2019, 13, 380–387. [Google Scholar]
- Palve, B.M.; Jadkar, S.R.; Pathan, H.M. A simple chemical route to synthesis the CuS nanocrystal powder at room temperature and phase transition. J. Mater. Sci. Mater. Electron. 2016, 27, 11783–11789. [Google Scholar] [CrossRef]
- Xie, X.; Hou, K.; Yang, B.; Tong, X. Activation of sphalerite by ammoniacal copper solution in froth flotation. J. Chem. 2016, 2016, 1–6. [Google Scholar] [CrossRef]
- Kundu, J.; Pradhan, D. Controlled synthesis and catalytic activity of copper sulfide nanostructured assemblies with different morphologies. ACS Appl. Mater. Interfaces 2014, 6, 1823–1834. [Google Scholar] [CrossRef]
- van Oversteeg, C.H.; Rosales, M.T.; Helfferich, K.H.; Ghiasi, M.; Meeldijk, J.D.; Firet, N.J.; Ngene, P.; Donega, C.M.; Jongh, P.E. Copper sulfide derived nanoparticles supported on carbon for the electrochemical reduction of carbon dioxide. Catal. Today 2021, 377, 157–165. [Google Scholar] [CrossRef]
- Saveljev, V.; Lee, H.; Kim, J. Physical model of the Moir’e effect in cylindrical structures. J. Korean Phys. Soc. 2017, 71, 934–945. [Google Scholar]
- Moimane, T.; Plackowski, C.; Peng, Y. The critical degree of mineral surface oxidation in copper sulphide flotation. Miner. Eng. 2020, 145, 106075. [Google Scholar] [CrossRef]
- Barreca, D.; Gasparotto, A.; Maragno, C.; Tondello, E.; Spalding, T.R. Analysis of nanocrystalline ZnS thin films by XPS. Surf. Sci. Spectra 2002, 9, 54–61. [Google Scholar] [CrossRef]
- NIST XPS Database BEs for S (2p). Available online: https://xpsdatabase.com/sulfur-s-z16-sulfur-compounds/ (accessed on 12 December 2024).
- George, R.; Sugunan, S. Kinetics of adsorption of lipase onto different mesoporous materials: Evaluation of Avrami model and leaching studies. J. Mol. Catal. B Enzym. 2014, 105, 26–32. [Google Scholar] [CrossRef]
- Benjelloun, M.; Miyah, Y.; Evrendilek, G.A.; Zerrouq, F.; Lairini, S. Recent advances in adsorption kinetic models: Their application to dye types. Arab. J. Chem. 2021, 14, 103031. [Google Scholar] [CrossRef]
- Knezevic, Z.; Mojovic, L.; Adnadjevic, B. Palm oil hydrolysis by lipase from Candida cylindracea immobilized on zeolite type Y. Enzym. Microb. Technol. 1998, 22, 275–280. [Google Scholar] [CrossRef]
- Bektaş, T.E.; Uğurluoğlu, B.K.; Tan, B. Phosphate removal by Ion exchange in batch mode. Water Pract. Technol. 2021, 16, 1343–1354. [Google Scholar] [CrossRef]
- Wang, T.; Jiang, M.; Yu, X.; Niu, N.; Chen, L. Application of lignin adsorbent in wastewater Treatment: A review. Sep. Purif. Technol. 2022, 302, 122116. [Google Scholar] [CrossRef]
- Kalam, S.; Abu-Khamsin, S.A.; Kamal, M.S.; Patil, S. Surfactant adsorption isotherms: A Review. ACS Omega 2021, 6, 32342–32348. [Google Scholar] [CrossRef]
- Ayawei, N.; Ebelegi, A.N.; Wankasi, D. Modelling and interpretation of adsorption isotherms. J. Chem. 2017, 2017, 3039817. [Google Scholar] [CrossRef]
- Jemutai-Kimosop, S.; Okello, V.A.; Shikuku, V.O.; Orata, F.; Getenga, Z.M. Synthesis of mesoporous akaganeite functionalized maize cob biochar for adsorptive abatement of carbamazepine: Kinetics, isotherms, and thermodynamics. Clean. Mater. 2022, 5, 100104. [Google Scholar] [CrossRef]
- Zhu, T.; Peh, C.K.N.; Hong, M.; Ho, G.W. Outside-in recrystallization of ZnS–Cu1.8S hollow spheres with interdispersed lattices for enhanced visible light solar hydrogen generation. Chem. Eur. J. 2014, 20, 11505–11510. [Google Scholar] [CrossRef] [PubMed]
- Harmer, S.L.; Mierczynska-Vasilev, A.; Beattie, D.A.; Shapter, J.G. The effect of bulk iron concentration and heterogeneities on the copper activation of sphalerite. Miner. Eng. 2008, 21, 1005–1012. [Google Scholar] [CrossRef]
- Liu, L.; Li, R.; Guo, M.; Wang, L.; Zhang, M. One step synthesis of novel CuS-ZnS/SiO2@n-octadecane nanocapsules with full spectral absorption range and high photothermal conversion efficiency. Thermochim. Acta 2023, 726, 179539. [Google Scholar] [CrossRef]
- Li, S.; Zhang, Z.; Yan, L.; Jiang, S.; Zhu, N.; Li, J.; Li, W.; Yu, S. Fast synthesis of CuS and Cu9S5 microcrystal using subcritical and supercritical methanol and their application in photocatalytic degradation of dye in water. J. Supercrit. Fluids 2017, 123, 11–17. [Google Scholar] [CrossRef]
- Pacioni, N.L.; Filippenko, V.; Presseau, N.; Scaiano, J.C. Oxidation of copper nanoparticles in water: Mechanistic insights revealed by oxygen uptake and spectroscopic methods. Dalton Trans. 2013, 42, 5832–5838. [Google Scholar] [CrossRef]
- Kumar, P.; Nagarajan, R.; Sarangi, R. Quantitative X-ray absorption and emission spectroscopies: Electronic structure elucidation of Cu2S and CuS. J. Mater. Chem. C 2013, 1, 2448–2454. [Google Scholar] [CrossRef]
- Escorcia-Díaz, D.; García-Mora, S.; Rendón-Castrillón, L.; Ramírez-Carmona, M.; Ocampo-López, C. Advancements in nanoparticle deposition techniques for diverse substrates: A Review. Nanomaterials 2023, 13, 2586. [Google Scholar] [CrossRef]
- Hamad, S.; Cristol, S.; Catlow, C.R.A. Surface structures and crystal morphology of ZnS: Computational study. J. Phys. Chem. B 2002, 106, 11002–11008. [Google Scholar] [CrossRef]
- Aniagor, C.O.; Hashem, A.; Badawy, N.M.; Aly, A.A. Verification of the optimal kinetics behaviour during the methyl blue dye adsorption onto quaternized starch derivative. Hybrid Adv. 2023, 3, 100047. [Google Scholar] [CrossRef]
- Al-Harby, N.F.; Albahly, E.F.; Mohamed, N.A. Kinetics, isotherm and thermodynamic studies for efficient adsorption of Congo Red dye from aqueous solution onto novel cyanoguanidine-modified chitosan adsorbent. Polymers 2021, 13, 4446. [Google Scholar] [CrossRef] [PubMed]
- Liu, J.; Wu, L.; Chen, X. Kinetic model investigation on lead (II) adsorption using silica-based hybrid membranes. Desalin. Water Treat. 2015, 54, 2307–2313. [Google Scholar] [CrossRef]
- Oladoja, N.A. A critical review of the applicability of Avrami fractional kinetic equation in adsorption-based water treatment studies. Desalin. Water Treat. 2016, 57, 15813–15825. [Google Scholar] [CrossRef]
- Wang, J.; Guo, X. Adsorption kinetic models: Physical meanings, applications, and solving methods. J. Hazard. Mater. 2020, 390, 122156. [Google Scholar] [CrossRef] [PubMed]











| Adsorption Model Parameters | Materials | |||||
|---|---|---|---|---|---|---|
| Np1-SP | Np2-SP | Cu-SP | ||||
| SIPX Collector Adsorption | PAX Collector Adsorption | SIPX Collector Adsorption | PAX Collector Adsorption | SIPX Collector Adsorption | PAX Collector Adsorption | |
| qe-experimental (mol/g) | 8.91 × 10−6 | 8.77 × 10−6 | 8. 71 × 10−6 | 7.60 × 10−6 | 1.50 × 10−6 | 4.42 × 10−6 |
| Pseudo First Order Model | ||||||
| qe-calculated (mol/g) | 8.91 × 10−6 | 8.77 × 10−6 | 8.16 × 10−6 | 7.59 × 10−6 | 1.49 × 10−6 | 4.32 × 10−6 |
| k1 (min−1) | 1.06 | 2.48 | 3.12 | 2.55 | 0.70 | 0.49 |
| R2 | 0.9404 | 0.4511 | 0.3485 | 0.4418 | 0.5679 | 0.7591 |
| Pseudo Second Order Model | ||||||
| qe-calculated (mol/g) | 9.24 × 10−6 | 8.78 × 10−6 | 8.80 × 10−6 | 7.60 × 10−6 | 1.58 × 10−6 | 4.66 × 10−6 |
| k2 (g/mol min) | 3.35 × 105 | 5.53 × 106 | 2.06 × 107 | 7.31 × 106 | 8.46 × 105 | 1.80 × 105 |
| R2 | 0.9706 | 0.8884 | 0.8119 | 0.8744 | 0.9113 | 0.9419 |
| Modified Ritchie Second Order Model | ||||||
| qe-calculated (mol/g) | 9.10 × 10−6 | 8.80 × 10−6 | 8.17 × 10−6 | 7.62 × 10−6 | 1.65 × 10−6 | 4.78 × 10−6 |
| β | 4.58 | 46.30 | 191.09 | 66.87 | 2.38 | 1.52 |
| kRM-2 (min−1) | 5.99 | 23.49 | 56.55 | 17.66 | 0.63 | 0.60 |
| R2 | 0.9974 | 0.9283 | 0.8982 | 0.9652 | 0.9647 | 0.9494 |
| Avrami Fractional Order Model | ||||||
| qe-calculated (mol/g) | 8.99 × 10−6 | 8.79 × 10−6 | 8.18 × 10−6 | 7.63 × 10−6 | n/a | n/a |
| nA | 0.59 | 0.14 | 0.08 | 0.09 | n/a | n/a |
| kAV (min−1) | 1.38 | 4.11 | 5.29 | 4.19 | n/a | n/a |
| R2 | 0.9987 | 0.9165 | 0.8746 | 0.9558 | n/a | n/a |
| Boyd’s External Model | Kb = 0.732 min−1 R2 = 0.9553 | |||||
| Weber and Morris Internal Diffusion Model | kWM = 7.32 × 10−7 g/min1/2 C = 6.96 × 10−6 R2 = 0.8494 Ri = 0.22 | |||||
| Materials/Parameters Model | Np1-SP | Np2-SP | Np1-SP | Np2-SP |
|---|---|---|---|---|
| SIPX Collector Adsorption | PAX Collector Adsorption | |||
| Henry model | ||||
| KHE (L/g) | 2.058 | 2.120 | 6.409 | 0.752 |
| R2 | 0.9454 | 0.9136 | 0.9965 | 0.9893 |
| Elovich model | ||||
| q0 (mol/g) | 3.21 × 10−6 | 4.38 × 10−6 | 4.92 × 10−6 | 2.48 × 10−5 |
| KE (L/mol) | 28,871.48 | 56,701.27 | 131,183.45 | 45,261.72 |
| R2 | 0.9029 | 0.8731 | 0.9220 | 0.7714 |
| Fowler–Guggenheim model | ||||
| w (kJ/mol) | 10.257 | 5.165 | 5.926 | 0.102 |
| KFG (L/mol) | 1.18 × 10−3 | 4.05 × 10−5 | 2.36 × 10−5 | 0.6590 |
| R2 | 0.8690 | 0.9967 | 0.9812 | 0.8782 |
| Langmuir model | ||||
| qm (mol/g) | 0.018 | 0.245 | 0.285 | 1.472 |
| KL (L/mol) | 1.19 × 10−5 | 9.86 × 10−6 | 3.16 × 10−6 | 9.90 × 10−6 |
| R2 | 0.7704 | 0.7098 | 0.7621 | 0.8078 |
Disclaimer/Publisher’s Note: The statements, opinions and data contained in all publications are solely those of the individual author(s) and contributor(s) and not of MDPI and/or the editor(s). MDPI and/or the editor(s) disclaim responsibility for any injury to people or property resulting from any ideas, methods, instructions or products referred to in the content. |
© 2024 by the authors. Licensee MDPI, Basel, Switzerland. This article is an open access article distributed under the terms and conditions of the Creative Commons Attribution (CC BY) license (https://creativecommons.org/licenses/by/4.0/).
Share and Cite
Ávila-Márquez, D.M.; Blanco-Flores, A.; Toledo-Jaldin, H.P.; González Torres, M.; Vilchis-Nestor, A.R.; Reyes Domínguez, I.A.; de Aquino García, R. Metal Sulfide Nanoparticles as Sphalerite Surface Activators to Improve Zinc Recovery Through Flotation Process. Separations 2024, 11, 358. https://doi.org/10.3390/separations11120358
Ávila-Márquez DM, Blanco-Flores A, Toledo-Jaldin HP, González Torres M, Vilchis-Nestor AR, Reyes Domínguez IA, de Aquino García R. Metal Sulfide Nanoparticles as Sphalerite Surface Activators to Improve Zinc Recovery Through Flotation Process. Separations. 2024; 11(12):358. https://doi.org/10.3390/separations11120358
Chicago/Turabian StyleÁvila-Márquez, Delia Monserrat, Alien Blanco-Flores, Helen Paola Toledo-Jaldin, Maribel González Torres, Alfredo Rafael Vilchis-Nestor, Iván Alejandro Reyes Domínguez, and Ramiro de Aquino García. 2024. "Metal Sulfide Nanoparticles as Sphalerite Surface Activators to Improve Zinc Recovery Through Flotation Process" Separations 11, no. 12: 358. https://doi.org/10.3390/separations11120358
APA StyleÁvila-Márquez, D. M., Blanco-Flores, A., Toledo-Jaldin, H. P., González Torres, M., Vilchis-Nestor, A. R., Reyes Domínguez, I. A., & de Aquino García, R. (2024). Metal Sulfide Nanoparticles as Sphalerite Surface Activators to Improve Zinc Recovery Through Flotation Process. Separations, 11(12), 358. https://doi.org/10.3390/separations11120358

