Chitosan and Metal Oxide Functionalized Chitosan as Efficient Sensors for Lead (II) Detection in Wastewater
Abstract
1. Introduction
2. Materials and Methods
2.1. Chemicals and Reagents
2.2. Preparation of Chitosan
2.3. Preparation of Functionalized Chitosan
2.4. Preparation of Chitosan Modified Electrodes
2.5. Fourier Transforms Infrared Spectroscopy (FTIR)
2.6. Electrochemical Measurements
3. Results and Discussion
3.1. FTIR Analysis
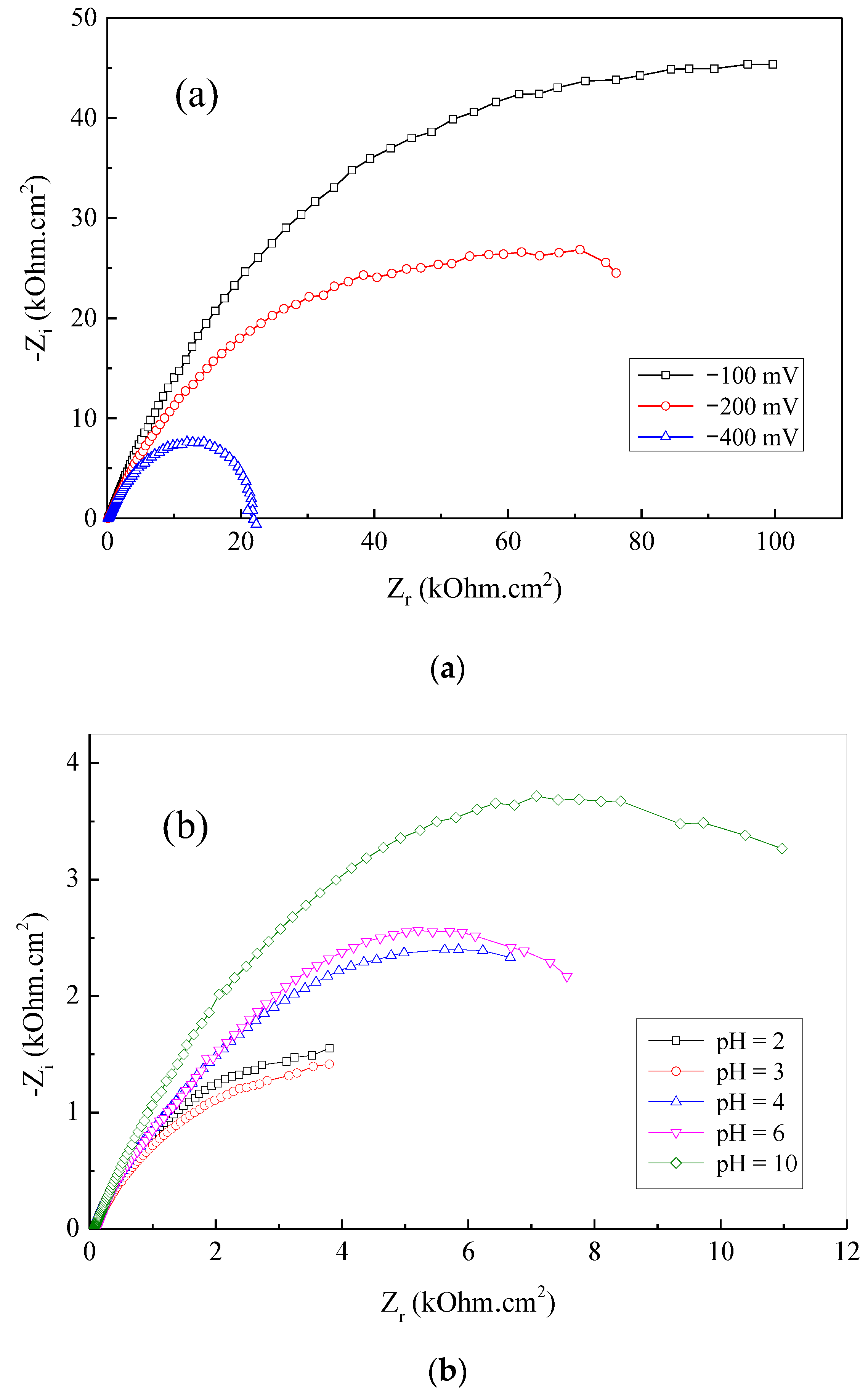
3.2. Detection of Pb (II)
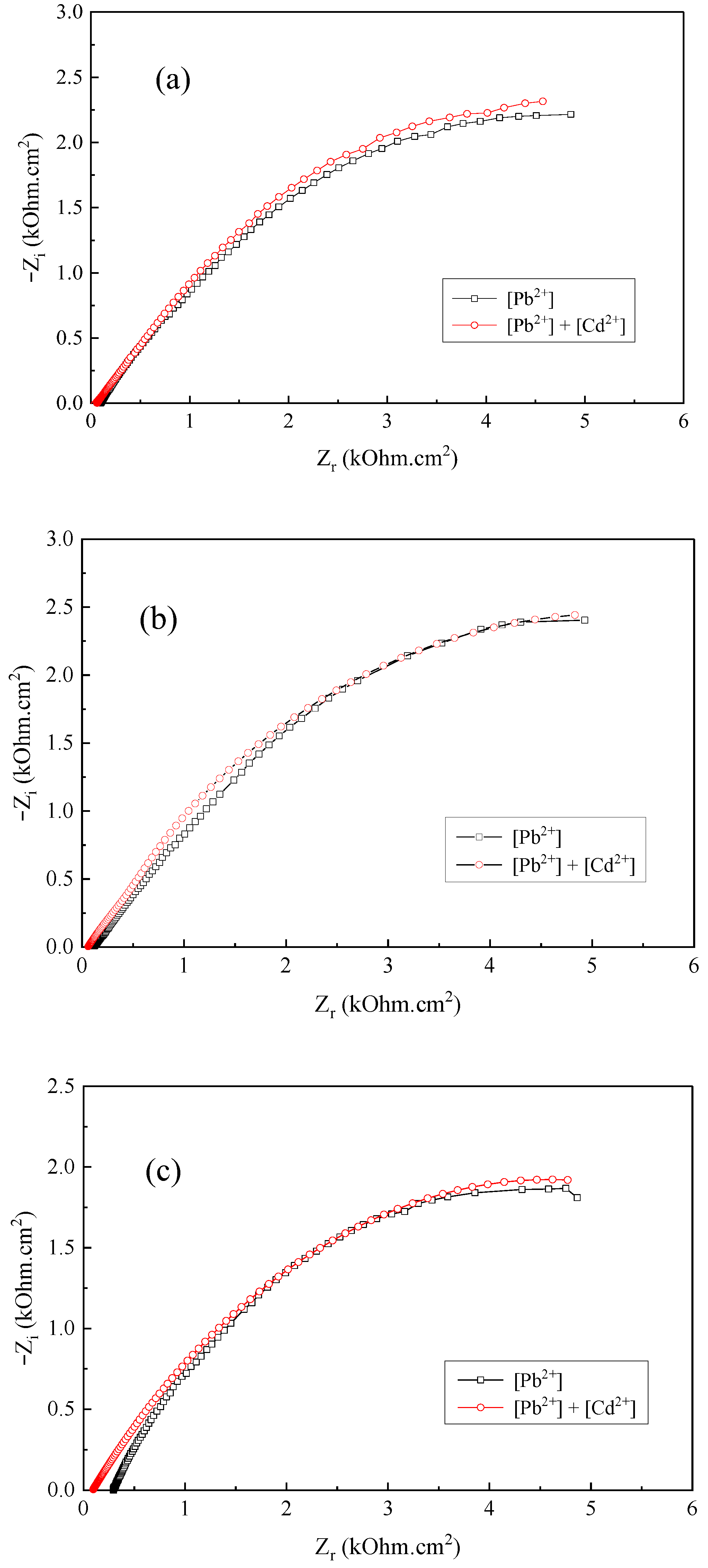
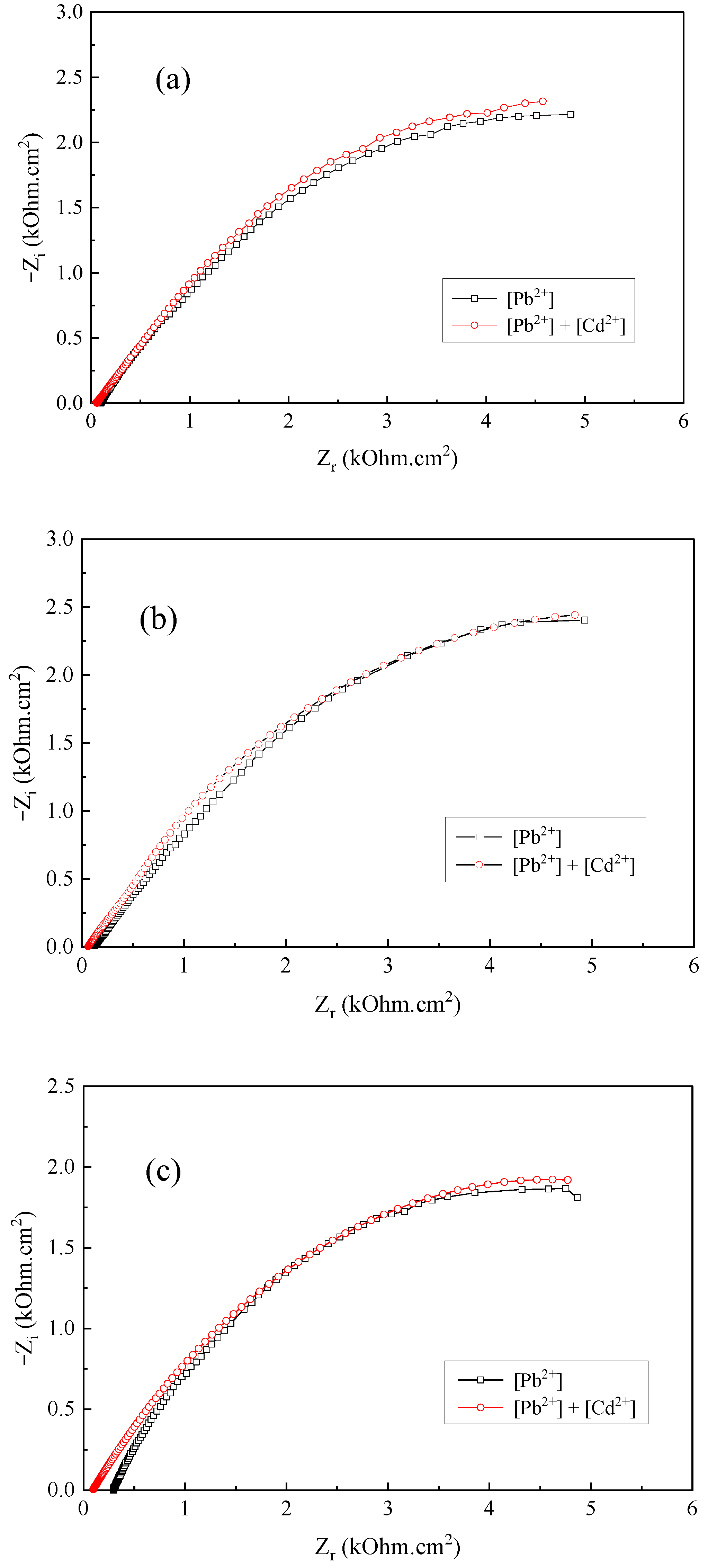
3.3. Selectivity Study
3.4. DFT-D3 Calculations of Intermolecular Interactions
4. Conclusions
Author Contributions
Funding
Data Availability Statement
Acknowledgments
Conflicts of Interest
References
- Demayo, A.; Taylor, M.C.; Taylor, K.W.; Hodson, P.V. Toxic effects of lead and lead compounds on human health, aquatic life, wildlife plants, and livestock. CRC Crit. Rev. Environ. Control 2009, 12, 257–305. [Google Scholar] [CrossRef]
- Kumar, A.; Kumar, A.; Pinto, M.M.S.C.; Chaturvedi, A.K.; Shabnam, A.A.; Subrahmanyam, G.; Mondal, R.; Gupta, D.K.; Malyan, S.K.; Kumar, S.S.; et al. Lead toxicity: Health hazards, influence on food chain, and sustainable remediation approaches. Int. J. Environ. Res. Public Health 2020, 17, 2179. [Google Scholar] [CrossRef]
- Loh, N.; Loh, H.P.; Wang, L.K.; Wang, M.H.S. Health Effects and Control of Toxic Lead in the Environment. In Natural Resources and Control Processes; Wang, L., Wang, M.H., Hung, Y.T., Shammas, N., Eds.; Handbook of Environmental Engineering; Springer: Cham, Switzerland, 2016; Volume 17. [Google Scholar] [CrossRef]
- Wani, A.L.; Ara, A.; Usmani, J.A. Lead toxicity: A review. Interdiscip. Toxicol. 2015, 8, 55–64. [Google Scholar] [CrossRef]
- Flora, G.; Gupta, D.; Tiwari, A. Toxicity of lead: A review with recent updates. Interdiscip. Toxicol. 2012, 5, 47–58. [Google Scholar] [CrossRef]
- O’Connor, D.; Hou, D.; Ye, J.; Zhang, Y.; Ok, Y.S.; Song, Y.; Coulon, F.; Peng, T.; Tian, L. Lead-based paint remains a major public health concern: A critical review of global production, trade, use, exposure, health risk, and implications. Environ. Int. 2018, 121, 85–101. [Google Scholar] [CrossRef]
- Gottesfeld, P. Time to ban lead in industrial paints and coatings. Front. Public Health 2015, 3, 144. [Google Scholar] [CrossRef]
- Rosner, D.; Markowitz, G.; Lanphear, B.J. Lockhart Gibson and the discovery of the impact of lead pigments on children’s health: A review of a century of knowledge. Public Health Rep. 2005, 120, 296–300. [Google Scholar] [CrossRef]
- Thomas, V.M.; Socolow, R.H.; Fanelli, J.J.; Spiro, T.G. Effects of reducing lead in gasoline: An analysis of the international experience. Environ. Sci. Technol. 1999, 33, 3942–3948. [Google Scholar] [CrossRef]
- Patrick, L. Lead Toxicity, a Review of the Literature. Part I: Exposure, Evaluation and Treatment. Altern. Med. Rev. 2006, 11, 2–22. [Google Scholar]
- Arnemo, J.M.; Andersen, O.; Stokke, S.; Thomas, V.G.; Krone, O.; Pain, D.J.; Mateo, R. Health and environmental risks from lead-based ammunition: Science versus socio-politics. EcoHealth 2016, 13, 618–622. [Google Scholar] [CrossRef]
- Golden, N.H.; Warner, S.E.; Coffey, M.J. A Review and Assessment of Spent Lead Ammunition and Its Exposure and Effects to Scavenging Birds in the United States. In Reviews of Environmental Contamination and Toxicology; De Voogt, W., Ed.; Springer: Cham, Switzerland, 2016; Volume 237. [Google Scholar] [CrossRef]
- Harris, R.W.; Elsea, W.R. Ceramic glaze as a source of lead poisoning. J. Am. Med. Assoc. 1967, 202, 544–546. [Google Scholar] [CrossRef]
- Dorevitch, S.; Babin, A. Health hazards of ceramic artists. Occup. Med. 2001, 16, 563–575. [Google Scholar] [PubMed]
- Kumar, T.; Mohsin, R.; Ghafir, M.F.A.; Kumar, I.; Wash, A.M. Concerns over use of leaded aviation gasoline (AVGAS) fuel. Chem. Eng. Trans. 2018, 63, 181–186. [Google Scholar] [CrossRef]
- Zhang, J.; Chen, C.; Zhang, X.; Liu, S. Study on the environmental risk assessment of lead-acid batteries. Procedia Environ. Sci. 2016, 31, 873–879. [Google Scholar] [CrossRef]
- Singh, N.; Li, J.H. Environmental impacts of lead ore mining and smelting. Adv. Mater. Res. 2014, 878, 338–347. [Google Scholar] [CrossRef]
- Body, P.E.; Inglis, G.; Dolan, P.R.; Mulcahy, D.E. Environmental lead: A review. Crit. Rev. Environ. Sci. Technol. 1991, 20, 299–310. [Google Scholar] [CrossRef]
- Uzu, G.; Sobanska, S.; Sarret, G.; Sauvain, J.J.; Pradère, P.; Dumat, C. Characterization of lead-recycling facility emissions at various workplaces. Major insights for sanitary risk assessment. J. Hazard. Mater. 2011, 186, 1018–1027. [Google Scholar] [CrossRef]
- Tchounwou, P.B.; Yedjou, C.G.; Patlolla, A.K.; Sutton, D.J. Heavy Metal Toxicity and the Environment. In Molecular, Clinical and Environmental Toxicology; Luch, A., Ed.; Experientia Supplementum; Springer: Basel, Switzerland, 2012; Volume 101. [Google Scholar] [CrossRef]
- Hambach, R.; Lison, D.; D’Haese, P.C.; Weyler, J.; De Graef, E.; De Schryver, A.; Lamberts, L.V.; van Sprundel, M. Co-exposure to lead increases the renal response to low levels of cadmium in metallurgy workers. Toxicol. Lett. 2013, 222, 233–238. [Google Scholar] [CrossRef]
- Maciejczyk, P.; Chen, L.C.; Thurston, G. The Role of Fossil Fuel Combustion Metals in PM2.5 Air Pollution Health Associations. Atmosphere 2021, 12, 1086. [Google Scholar] [CrossRef]
- Igiri, B.E.; Okoduwa, S.I.R.; Idoko, G.O.; Akabuogu, E.P.; Adeyi, A.O.; Ejiogu, I.K. Toxicity and bioremediation of heavy metals contaminated ecosystem from tannery wastewater: A review. J. Toxicol. 2018, 2018, 2568038. [Google Scholar] [CrossRef]
- Mahmood, A.; Mirza, M.A.; Choudhary, M.A.; Kim, K.H.; Raza, W.; Raza, N.; Lee, S.S.; Zhang, M.; Lee, J.H.; Sarfraz, M. Spatial distribution of heavy metals in crops in a wastewater irrigated zone and health risk assessment. Environ. Res. 2019, 168, 382–388. [Google Scholar] [CrossRef] [PubMed]
- Tylecote, R.F. The behaviour of lead as a corrosion resistant medium undersea and in soils. J. Archaeol. Sci. 1983, 10, 397–409. [Google Scholar] [CrossRef]
- Deng, H.; Ye, Z.H.; Wong, M.H. Accumulation of lead, zinc, copper and cadmium by 12 wetland plants species thriving in metal contaminated sites in China. Environ. Poll. 2004, 132, 29–40. [Google Scholar] [CrossRef] [PubMed]
- Zulfiqar, U.; Farooq, M.; Hussain, S.; Maqsood, M.; Hussain, M.; Ishfaq, M.; Ahmad, M.; Anjum, M.Z. Lead toxicity in plants: Impacts and remediation. J. Environ. Manag. 2019, 250, 109557. [Google Scholar] [CrossRef] [PubMed]
- Pyrzynska, K. Recent Applications of Carbon Nanotubes for Separation and Enrichment of Lead Ions. Separations 2021, 10, 152. [Google Scholar] [CrossRef]
- Al-Rashdi, B.; Somerfield, C.; Hilal, N. Heavy metals removal using adsorption and nanofiltration techniques. Sep. Purif. Rev. 2011, 40, 209–259. [Google Scholar] [CrossRef]
- Khulbe, K.C.; Matsuura, T. Removal of heavy metals and pollutants by membrane adsorption techniques. Appl. Water Sci. 2018, 8, 19. [Google Scholar] [CrossRef]
- Yadanaparthi, S.K.R.; Graybill, D.; von Wandruszka, R. Adsorbents for the removal of arsenic, cadmium, and lead from contaminated waters. J. Hazard. Mater. 2009, 171, 1–15. [Google Scholar] [CrossRef]
- Karić, N.; Maia, A.S.; Teodorović, A.; Atanasova, N.; Langergraber, G.; Crini, G.; Ribeiro, A.R.; Đolić, M. Bio-waste valorisation: Agricultural wastes as biosorbents for removal of (in) organic pollutants in wastewater treatment. Chem. Eng. J. Adv. 2022, 9, 100239. [Google Scholar] [CrossRef]
- Fu, F.; Wang, Q. Removal of heavy metal ions from wastewaters: A review. J. Environ. Manag. 2011, 92, 407–418. [Google Scholar] [CrossRef]
- Ali, I.H.; Bani-Fwaz, M.Z.; El-Zahhar, A.A.; Marzouki, R.; Jemmali, M.; Ebraheem, S.M. Gum Arabic-Magnetite Nanocomposite as an Eco-Friendly Adsorbent for Removal of Lead(II) Ions from Aqueous Solutions: Equilibrium, Kinetic and Thermodynamic Studies. Separations 2021, 8, 224. [Google Scholar] [CrossRef]
- Li, P.H.; Li, Y.X.; Li, S.H.; Jiang, S.S.; Guo, M.; Liu, Z.; Huang, J.H.; Yang, X.J.; Chen, M. Sensitive and interference-free electrochemical determination of Pb(II) in wastewater using porous Ce-Zr oxide nanospheres. Sens. Actuators B Chem. 2018, 257, 1009–1020. [Google Scholar] [CrossRef]
- Guan, D.; Xu, H.; Zhang, Q.; Huang, Y.C.; Shi, C.; Chang, Y.C.; Xu, X.; Tang, J.; Gu, Y.; Pao, C.W.; et al. Identifying a universal activity descriptor and a unifying mechanism concept on perovskite oxides for green hydrogen production. Adv. Mater. 2023, 2023, 2305074. [Google Scholar] [CrossRef]
- Huang, B.; Xu, H.; Jiang, N.; Wang, M.; Huang, J.; Guan, L. Tensile-Strained RuO2 Loaded on Antimony-Tin Oxide by Fast Quenching for Proton-Exchange Membrane Water Electrolyzer. Adv. Sci. 2022, 9, 2201654. [Google Scholar] [CrossRef] [PubMed]
- Xiao, W.; Kiran, G.K.; Yoo, K.; Kim, J.H.; Xu, H. The Dual-Site Adsorption and High Redox Activity Enabled by Hybrid Organic-Inorganic Vanadyl Ethylene Glycolate for High-Rate and Long-Durability Lithium–Sulfur Batteries. Small 2023, 19, 2206750. [Google Scholar] [CrossRef] [PubMed]
- Kinuthia, G.K.; Ngure, V.; Beti, D.; Lugalia, R.; Wangila, A.; Kamau, L. Levels of heavy metals in wastewater and soil samples from open drainage channels in Nairobi, Kenya: Community health implication. Sci. Rep. 2020, 10, 8434. [Google Scholar] [CrossRef]
- Lalmi, A.; Bouhidel, K.-E.; Sahraoui, B.; el Houda Anfif, C. Removal of lead from polluted waters using ion exchange resin with Ca(NO3)2 for elution. Hydrometallurgy 2018, 178, 287–293. [Google Scholar] [CrossRef]
- Murray, A.; Örmeci, B. Use of polymeric sub-micron ion-exchange resins for removal of lead, copper, zinc, and nickel from natural waters. J. Environ. Sci. 2019, 75, 247–254. [Google Scholar] [CrossRef]
- Rao, K.S.; Dash, P.K.; Sarangi, D.; Chaudhury, G.R.; Misra, V.N. Treatment of wastewater containing Pb and Fe using ion-exchange techniques. J. Chem. Technol. Biotechnol. 2005, 80, 892–898. [Google Scholar] [CrossRef]
- Raghavendra, N.; Maruthi, N.; Hublikar, L.V.; Koujalagi, S.B.; Prabhu, S.; Mahale, N. Evaluation of PANI-Averraoha bilimbi leaves activated carbon nanocomposite for Cd2+ and Pb2+ removal from wastewater. J. Indian Chem. Soc. 2023, 100, 100872. [Google Scholar] [CrossRef]
- Kumar, P.S. Adsorption of lead(II) ions from simulated wastewater using natural waste: A kinetic, thermodynamic and equilibrium study. Environ. Prog. Sustain. Energy 2014, 33, 55–64. [Google Scholar] [CrossRef]
- Chauhan, D.; Sankararamakrishnan, N. Highly enhanced adsorption for decontamination of lead ions from battery wastewaters using chitosan functionalized with xanthate. Bioresour. Technol. 2008, 99, 9021–9024. [Google Scholar] [CrossRef] [PubMed]
- Hoang, M.T.; Pham, T.D.; Nguyen, V.T.; Nguyen, M.K.; Pham, T.T.; van der Bruggen, B. Removal and recovery of lead from wastewater using an integratedsystem of adsorption and crystallization. J. Clean. Prod. 2019, 213, 1204–1216. [Google Scholar] [CrossRef]
- Rahali, S.; Aissa, M.A.B.; Modwi, A.; Said, R.B.; Belhocine, Y. Application of mesoporous CaO@g-C3N4 nanosorbent materials for high-efficiency removal of Pb (II) from aqueous solution. J. Mol. Liq. 2023, 379, 121594. [Google Scholar] [CrossRef]
- Bartels, C.R.; Wilf, M.; Andes, K.; Iong, J. Design considerations for wastewater treatment by reverse osmosis. Water Sci. Technol. 2005, 51, 473–482. [Google Scholar] [CrossRef] [PubMed]
- Thaçi, B.S.; Gashi, S.T. Reverse osmosis removal of heavy metals from wastewater effluents using biowaste materials pretreatment. Pol. J. Environ. Stud. 2019, 28, 337–341. [Google Scholar] [CrossRef]
- Trishitman, D.; Cassano, A.; Basile, A.; Rastogi, N.K. Reverse osmosis for industrial wastewater treatment. In Current Trends and Future Developments on (Bio-) Membranes; Elsevier: Amsterdam, The Netherlands, 2020; pp. 207–228. [Google Scholar] [CrossRef]
- Gopalratnam, V.C.; Bennett, G.F.; Peters, R.W. The simultaneous removal of oil and heavy metals from industrial wastewater by joint precipitation and air flotation. Environ. Prog. 1988, 7, 84–92. [Google Scholar] [CrossRef]
- Matlock, M.M.; Howerton, B.S.; Atwood, D.A. Chemical precipitation of lead from lead battery recycling plant wastewater. Ind. Eng. Chem. Res. 2002, 41, 1579–1582. [Google Scholar] [CrossRef]
- Chen, Q.; Yao, Y.; Li, X.; Lu, J.; Zhou, J.; Huang, Z. Comparison of heavy metal removals from aqueous solutions by chemical precipitation and characteristics of precipitates. J. Water Process Eng. 2018, 26, 289–300. [Google Scholar] [CrossRef]
- Butler, E.; Hung, Y.T.; Yeh, R.Y.L.; Al Ahmad, M.S. Electrocoagulation in wastewater treatment. Water 2011, 3, 495–525. [Google Scholar] [CrossRef]
- Oncel, M.S.; Muhcu, A.; Demirbas, E.; Kobya, M. A comparative study of chemical precipitation and electrocoagulation for treatment of coal acid drainage wastewater. J. Environ. Chem. Eng. 2013, 1, 989–995. [Google Scholar] [CrossRef]
- Shahedi, A.; Darban, A.K.; Taghipour, F.; Jamshidi-Zanjani, A. A review on industrial wastewater treatment via electrocoagulation processes. Curr. Opin. Electrochem. 2020, 22, 154–169. [Google Scholar] [CrossRef]
- Mansoorian, H.J.; Mahvi, A.H.; Jafari, A.J. Removal of lead and zinc from battery industry wastewater using electrocoagulation process: Influence of direct and alternating current by using iron and stainless steel rod electrodes. Sep. Purif. Technol. 2014, 135, 165–175. [Google Scholar] [CrossRef]
- SyamBabu, D.; Singh, T.S.A.; Nidheesh, P.V.; Kumar, M.S. Industrial wastewater treatment by electrocoagulation process. Sep. Sci. Technol. 2020, 55, 3195–3227. [Google Scholar] [CrossRef]
- Sadrzadeh, M.; Mohammadi, T.; Ivakpour, J.; Kasiri, N. Separation of lead ions from wastewater using electrodialysis: Comparing mathematical and neural network modeling. Chem. Eng. J. 2008, 144, 431–441. [Google Scholar] [CrossRef]
- Gurreri, L.; Tamburini, A.; Cipollina, A.; Micale, G. Electrodialysis applications in wastewater treatment for environmental protection and resources recovery: A systematic review on progress and perspectives. Membranes 2020, 10, 46. [Google Scholar] [CrossRef]
- Csuros, M.; Csuros, C. Environmental Sampling and Analysis for Metals; CRC Press Lewis Publishers: Boca Raton, FL, USA, 2002. [Google Scholar]
- Denizli, A.; Say, R.; Arica, Y. Removal of heavy metal ions from aquatic solutions by membrane chromatography. Sep. Purif. Technol. 2000, 21, 181–190. [Google Scholar] [CrossRef]
- Ammann, A.A. Inductively coupled plasma mass spectrometry (ICP MS): A versatile tool. J. Mass Spectrom. 2007, 42, 419–427. [Google Scholar] [CrossRef]
- Eddaif, L.; Shaban, A.; Telegdi, J. Sensitive detection of heavy metals ions based on the calixarene derivatives-modified piezoelectric resonators: A review. Int. J. Environ. Anal. Chem. 2019, 99, 824–853. [Google Scholar] [CrossRef]
- Ajiboye, T.O.; Oyewo, O.A.; Onwudiwe, D.C. Simultaneous removal of organics and heavy metals from industrial wastewater: A review. Chemosphere 2021, 262, 128379. [Google Scholar] [CrossRef]
- Ullah, N.; Mansha, M.; Khan, I.; Qurashi, A. Nanomaterial-based optical chemical sensors for the detection of heavy metals in water: Recent advances and challenges. TrAC Trends Anal. Chem. 2018, 100, 155–166. [Google Scholar] [CrossRef]
- KorentUrek, Š.; Frančič, N.; Turel, M.; Lobnik, A. Sensing heavy metals using mesoporous-based optical chemical sensors. J. Nanomater. 2013, 2013, 501320. [Google Scholar] [CrossRef]
- Raghu, G.K.; Pandurangappa, M. A binderless covalently bulk modified electrochemical sensor: Application to simultaneous determination of lead and cadmium at trace level. Anal. Chim. Acta 2012, 728, 9–17. [Google Scholar] [CrossRef][Green Version]
- Hasan, M.N.; Salman, M.S.; Islam, A.; Znad, H.; Hasan, M.M. Sustainable composite sensor material for optical cadmium (II) monitoring and capturing from wastewater. Microchem. J. 2021, 161, 105800. [Google Scholar] [CrossRef]
- Shahat, A.; Hassan, H.M.; Azzazy, H.M.; El-Sharkawy, E.; Abdou, H.M.; Awual, M.R. Novel hierarchical composite adsorbent for selective lead (II) ions capturing from wastewater samples. Chem. Eng. J. 2018, 332, 377–386. [Google Scholar] [CrossRef]
- Attia, G.; Rahali, S.; Teka, S.; Fourati, N.; Zerrouki, C.; Seydou, M.; Chehimi, S.; Hayouni, S.; Mbakidi, J.-P.; Bouquillon, S.; et al. Anthracene based surface acoustic wave sensors for picomolar detection of lead ions. Correlation between experimental results and DFT calculations. Sens. Actuators B Chem. 2018, 276, 349–355. [Google Scholar] [CrossRef]
- Attia, G.; Khaldi, Z.; Rahali, S.; Fourati, N.; Zerrouki, C.; Zerrouki, R.; Seydou, M.; Yaakoubi, N.; Chaabane, R.B. Design of surface acoustic wave sensors functionalized with Bisphenol S based molecules for lead ions detection. Proceedings 2018, 2, 872. [Google Scholar] [CrossRef]
- Pan, X.; Zhang, M.; Liu, H.; Ouyang, S.; Ding, N.; Zhang, P. Adsorption behavior and mechanism of acid orange 7 and methylene blue on self-assembled three-dimensional MgAl layered double hydroxide: Experimental and DFT investigation. Appl. Surf. Sci. 2020, 522, 146370. [Google Scholar] [CrossRef]
- Adam, F.A.; Ghoniem, M.G.; Diawara, M.; Rahali, S.; Abdulkhair, B.Y.; Elamin, M.R.; Aissa, M.A.B.; Seydou, M. Enhanced adsorptive removal of indigo carmine dye by bismuth oxide doped MgO based adsorbents from aqueous solution: Equilibrium, kinetic and computational studies. RSC Adv. 2022, 12, 24786–24803. [Google Scholar] [CrossRef]
- Rahali, S.; Aissa, M.A.B.; Khezami, L.; Elamin, N.; Seydou, M.; Modwi, A. Adsorption behavior of Congo red onto barium-doped ZnO nanoparticles: Correlation between experimental results and DFT calculations. Langmuir 2021, 37, 7285–7294. [Google Scholar] [CrossRef]
- Benhabiles, M.S.; Salah, R.; Lounici, H.; Drouiche, N.; Goosen, M.F.A.; Mameri, N. Antibacterial activity of chitin, chitosan and its oligomers prepared from shrimp shell waste. Food Hydrocoll. 2012, 29, 48–56. [Google Scholar] [CrossRef]
- Seghir, B.B.; Benhamza, M.H. Preparation, optimization, and characterization of chitosan polymer from shrimp shells. J. Food Meas. Charact. 2017, 11, 1137–1147. [Google Scholar] [CrossRef]
- Pokhrel, S.; Yadav, P.N. Functionalization of chitosan polymer and their applications. J. Macromol. Sci. Pt. A 2019, 56, 450–475. [Google Scholar] [CrossRef]
- Li, X.; Zhou, H.; Wu, W.; Wei, S.; Xu, Y.; Kuang, Y. Studies of heavy metal ion adsorption on Chitosan/Sulfydryl-functionalized graphene oxide composites. J. Colloid Interface Sci. 2015, 448, 389–397. [Google Scholar] [CrossRef] [PubMed]
- Motaharian, A.; Hosseini, M.R.M. Electrochemical sensor based on a carbon paste electrode modified by graphene nanosheets and molecularly imprinted polymer nanoparticles for determination of a chlordiazepoxide drug. Anal. Methods 2016, 8, 6305–6312. [Google Scholar] [CrossRef]
- Sabnis, S.; Block, L.H. Improved infrared spectroscopic method for the analysis of degree of N-deacetylation of chitosan. Polym. Bull. 1997, 39, 67–71. [Google Scholar] [CrossRef]
- Baxter, A.; Dillon, M.; Taylor, K.D.A.; Roberts, G.A.F. Improved method for i.r. determination of the degree of N-acetylation of chitosan. Int. J. Biol. Macromol. 1992, 14, 166–169. [Google Scholar] [CrossRef]
- Kumari, S.; Rath, P.; Kumar, A.S.H.; Tiwari, T.N. Extraction and characterization of chitin and chitosan from fishery waste by chemical method. Environ. Technol. Innov. 2015, 3, 77–85. [Google Scholar] [CrossRef]
- Rinaudo, M.; Milas, M.; Le Dung, P. Characterization of chitosan. Influence of ionic strength and degree of acetylation on chain expansion. Int. J. Biol. Macromol. 1993, 15, 281–285. [Google Scholar] [CrossRef]
- Li, X.A.; Zhou, D.M.; Xu, J.J.; Chen, H.Y. In-channel indirect amperometric detection of heavy metal ions for electrophoresis on a poly(dimethylsiloxane) microchip. Talanta 2007, 71, 1130–1135. [Google Scholar] [CrossRef]
- Majid, S.; El Rhazi, M.E.; Amine, A.; Curulli, A.; Palleschi, G. Carbon paste electrode bulk-modified with the conducting polymer Poly(1,8-Diaminonaphthalene): Application to lead determination. Microchim. Acta 2003, 143, 195–204. [Google Scholar] [CrossRef]
- Senthilkumar, S.; Saraswathi, R. Electrochemical sensing of cadmium and lead ions at zeolite-modified electrodes: Optimization and field measurements. Sens. Actuators B 2009, 141, 65–75. [Google Scholar] [CrossRef]
- Hwang, G.H.; Han, W.K.; Park, J.S.; Kang, S.G. An electrochemical sensor based on the reduction of screen-printed bismuth oxide for the determination of trace lead and cadmium. Sens. Actuators B 2008, 135, 309–316. [Google Scholar] [CrossRef]
- Sebez, B.; Ogorevc, B.; Hocevar, S.B.; Veber, M. Functioning of antimony film electrode in acid media under cyclic and anodic stripping voltammetry conditions. Anal. Chim. Acta 2013, 785, 43–49. [Google Scholar] [CrossRef] [PubMed]
- Kresse, G.; Hafner, J. Ab initio molecular dynamics for liquid metals. Phys. Rev. B 1993, 47, 558. [Google Scholar] [CrossRef]
- Perdew, J.P.; Burke, K.; Ernzerhof, M. Generalized gradient approximation made simple. Phys. Rev. Lett. 1996, 77, 3865. [Google Scholar] [CrossRef]
- Grimme, S.; Antony, J.; Ehrlich, S.; Krieg, H. A consistent and accurate ab initio parametrization of density functional dispersion correction (DFT-D) for the 94 elements H-Pu. J. Chem. Phys. 2010, 132, 154104. [Google Scholar] [CrossRef]








| [Pb2+] | CH/CPE | TiO2-CH/CPE | NiO-CH/CPE |
|---|---|---|---|
| Rct (Ohm.cm2) | Rct (Ohm.cm2) | Rct (Ohm.cm2) | |
| 0 | 11,476 | 7032 | 15,385 |
| 10−6 | 10,422 | 4811 | 9744 |
| 10−5 | 8435 | 4692 | 8585 |
| 10−4 | 4703 | 4610 | 5423 |
| Electrode Material | Analytical Method | Linear Range (M) | LOD (M) | Reference |
|---|---|---|---|---|
| Poly (dimethylsiloxane) microchip | Indirect amperometry | 5.10−6 to10−3 | 1.3.10−6 | [85] |
| Poly (1,8-diaminonaphthalene) modified CPE | Differential pulse voltammetry | 2.10−7 to 10−5 | 1.4.10−7 | [86] |
| ZYMCPE on ITO | Cyclic voltammetry | 2.5.10−8 to 10−7 | 1.7.10−8 | [87] |
| Bismuth/glassy carbon composite | Anodic stripping voltammetry | 5.10−7 to 10−7 | 10−8 | [88] |
| Antimony film electrode | Anodic stripping voltammetry | 10−7 to 7.10−7 | 4.10−9 | [89] |
| CH/CPE, TiO2-CH/CPE, NiO-CH/CPE | EIS | 10−6 to 10−4 | 3.10−7 | This work |
Disclaimer/Publisher’s Note: The statements, opinions and data contained in all publications are solely those of the individual author(s) and contributor(s) and not of MDPI and/or the editor(s). MDPI and/or the editor(s) disclaim responsibility for any injury to people or property resulting from any ideas, methods, instructions or products referred to in the content. |
© 2023 by the authors. Licensee MDPI, Basel, Switzerland. This article is an open access article distributed under the terms and conditions of the Creative Commons Attribution (CC BY) license (https://creativecommons.org/licenses/by/4.0/).
Share and Cite
Boultif, W.; Dehchar, C.; Belhocine, Y.; Zouaoui, E.; Rahali, S.; Zouari, S.E.; Sbei, N.; Seydou, M. Chitosan and Metal Oxide Functionalized Chitosan as Efficient Sensors for Lead (II) Detection in Wastewater. Separations 2023, 10, 479. https://doi.org/10.3390/separations10090479
Boultif W, Dehchar C, Belhocine Y, Zouaoui E, Rahali S, Zouari SE, Sbei N, Seydou M. Chitosan and Metal Oxide Functionalized Chitosan as Efficient Sensors for Lead (II) Detection in Wastewater. Separations. 2023; 10(9):479. https://doi.org/10.3390/separations10090479
Chicago/Turabian StyleBoultif, Walid, Charif Dehchar, Youghourta Belhocine, Emna Zouaoui, Seyfeddine Rahali, Salah Eddine Zouari, Najoua Sbei, and Mahamadou Seydou. 2023. "Chitosan and Metal Oxide Functionalized Chitosan as Efficient Sensors for Lead (II) Detection in Wastewater" Separations 10, no. 9: 479. https://doi.org/10.3390/separations10090479
APA StyleBoultif, W., Dehchar, C., Belhocine, Y., Zouaoui, E., Rahali, S., Zouari, S. E., Sbei, N., & Seydou, M. (2023). Chitosan and Metal Oxide Functionalized Chitosan as Efficient Sensors for Lead (II) Detection in Wastewater. Separations, 10(9), 479. https://doi.org/10.3390/separations10090479

