Assessing the Efficiency of Ion Exchange Resins for the Recovery of Scandium from Sulfuric Acid Leaching Solutions
Abstract
1. Introduction
2. Materials and Methods
2.1. Materials
2.2. Characterization of Liquid Samples
2.3. Preparation of Feed Solution
2.4. Batch Adsorption Studies
2.4.1. Experimental Procedure
2.4.2. Adsorption Isotherm Studies
2.4.3. Adsorption Kinetic Studies
3. Results and Discussion
3.1. Screening of Different Resins
| Sorbent | Parameters Studied | Composition of Solution | Sc Sorption Capacity | Ref. | 
|---|---|---|---|---|
| Activated carbon (AC), carbon nanotubes (CNTs), graphene oxide (GO), and chelating resin Chelex 100 | pH range: 1–5.5 Sc(III) concentration range: 1–300 mg/L  | Synthetic Sc (III) solution | At pH 2, 2.1, 2.9, 36.5, and 37.9 mg of Sc/g of resin capacity was obtained for AC-COOH, Chelex 100, GO, and CNTs COOH, respectively. At pH 4, a similar value was obtained for oxidized AC (2.2 mg g−1), whereas the specific amount adsorbed significantly increased for Chelex (23.4 mg g−1). The highest values were obtained for GO (39.7 mg/g) and oxidized CNTs (42.5 mg g−1). | [45] | 
| Purolite MTS9580 and Lewatit TP260 | Mother liquor solution, pre-acidified H2SO4: 5, 10, 15 g/L pH =2  | Sc 0.34 mg/L, U 1.9 mg/L, Ce 3.82 mg/L, Nb 6.25 mg/L, Y 1.66 mg/L, Fe2+ 40 mg/L, Fe3+ 140 mg/L, Al 160 mg/L, Th 0.084 mg/L | Comparison of scandium sorption from pre-acidified uranium sorption mother liquor with Lewatit TP260 and Purolite MTS9580 ion exchangers showed an advantage for MTS9580 resin. The MTS9580 resin had an exchange capacity of 200 mg Sc/L of resin versus 59.7 mg Sc/L of resin for TP260. | [46] | 
| Amberlite XAD-4 resin, impregnated with di(2-ethylhexyl) phosphoric acid (D2EHPA) | Adsorbent dosage (0.1–3.0 g), time (10 min to 24 h), pH = 2–9, initial Sc concentration (0.5–4 mg/L) | 10 mg dm−3 scandium stock solution | A maximum capacity of 0.035 mg Sc3+/g of resin was achieved. | [47] | 
| Purolite RUA21207 ion exchange resin | Different concentrations (25–200 g L−1) of sulfuric acid solutions | Scandium concentrate (0.022 g/L) generated from acid waste of titanium white production has been dissolved in 25 g/L H2SO4 | Sorption was favored at 25 g L−1 H2SO4 in solution when the initial scandium concentration was 6.4 mg/g. | [48] | 
| Lewatit TP 260, TP 272, TP 208, TP 209, SP 112, VP OC 1026 resins | Several synthetic PLSs and several resins | PLS with Ce (3.2 mg/L), Dy (0.6 mg/L), La (1.3 mg/L), Nd (1.7 mg/L), Sc (1.1 mg/L), and Y (4.0 mg/L). The stock solution with Sc equal to 1250 mg/L in 0.5 M H2SO4 | Sc was adsorbed on phosphorus containing Lewatit® VP OC 1026 and TP 272 resins, with a maximum capacity of ~24 mg Sc/g resin, even in the presence of high levels of potentially interfering Fe3+ and Al3+ ions. | [38] | 
| Purolite D 5041, Tulsion CH 93, Lewatit TP 260, Purolite S 950 resins | Sorption recovery under dynamic conditions; the solution was passed through a 5 mL column at a flow rate of 25 mL/h | The sulfuric acid concentration in the uranium leach liquor was 5 g/L. Sc (0.78 mg/L), Th (1.81 mg/L), Al (2086.5 mg/L), Fe (1488.8 mg/L), Ti (2.47 mg/L), U (0.92 mg/L). | An increase in thorium concentration resulted in a decrease in scandium sorption by 26–65%. Tulsion CH 93 resin was chosen for Sc separation from uranium leach liquors. | [44] | 
| Lewatit TP260 and TP 209 resins, and one solvent impregnated resin with bis(2,4,4-trimethylpentyl) phosphinic acid (TP 272) | Contact time (0–50 h) pH (1–3) Different sulfate concentrations (0, 0.25, 0.5, 1, and 1.5 M) Temperature (20–80 °C)  | Synthetic sulfate leach solutions with 50 mg Sc/L | The adsorption capacity of TP 260 and TP 209 for Sc increased with pH from 1 to 3. TP 209 did not adsorb Sc at pH 1 but the adsorption capacity of TP 260 reached 35.5 mg Sc/g-dry at pH 1 and Sc also adsorbed onto TP272 at pH 1. | [42] | 
3.1.1. Investigation of Iron and Titanium Adsorption by Batch Experiments
3.1.2. Adsorption Isotherms
3.2. Investigation of Feed Solution—Optimum Pretreatment
3.2.1. Preliminary Experiments
3.2.2. Adjustment of pH of Feed Solution
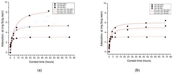
3.3. Investigation of Sc Adsorption Kinetics by Batch Experiments
4. Conclusions
Author Contributions
Funding
Data Availability Statement
Conflicts of Interest
References
- Sammes, N.; Smirnova, A.; Vasylyev, O. (Eds.) Fuel Cell Technologies: State and Perspectives. In Proceedings of the NATO Advanced Research Workshop, Kyiv, Ukraine, 6–10 June 2004; Springer Science & Business Media: Berlin/Heidelberg, Germany, 2005. [Google Scholar]
 - Royset, J. Scandium in Aluminium Alloys Overview: Physical Metallurgy, Properties and Applications. Metall. Sci. Technol. 2007, 25, 12–21. [Google Scholar]
 - Grohol, M.; Veeh, C. Study on the Critical Raw Materials for the EU 2023. In Internal Market, Industry, Entrepreneurship and SMEs; Final Report; European Commission: Brussels, Belgium, 2023. [Google Scholar]
 - Sawtell, R.R.; Jensen, C.L. Mechanical Properties and Microstructures of Al-Mg-Sc Alloys. Met. Trans. A 1990, 21, 421–430. [Google Scholar] [CrossRef]
 - Ahmad, Z. The Properties and Application of Scandium-Reinforced Aluminum. JOM 2003, 55, 35–39. [Google Scholar] [CrossRef]
 - Phoung, S.; Williams, E.; Gaustad, G.; Gupta, A. Exploring Global Supply and Demand of Scandium Oxide in 2030. J. Clean. Prod. 2023, 401, 136673. [Google Scholar] [CrossRef]
 - Petrakova, O.; Kozyrev, A.; Suss, A.; Panov, A.; Gorbachev, S.; Perestoronina, M.; Vishnyakov, S. Industrial Trials Results of Scandium Oxide Recovery from Red Mud at UC RUSAL Alumina Refineries. In Proceedings of the TRAVAUX 48, Proceedings of the 37thInternational ICSOBA Conference andXXV Conference «Aluminium of Siberia», Krasnoyarsk, Russia, 16–20 September 2019; Volume 48. [Google Scholar]
 - Junior, A.B.; Espinosa, D.; Vaughan, J.; Tenório, J. Recovery of Scandium from Various Sources: A Critical Review of the State of the Art and Future Prospects. Miner. Eng. 2021, 172, 107148. [Google Scholar] [CrossRef]
 - Wang, W.; Pranolo, Y.; Cheng, C.Y. Metallurgical Processes for Scandium Recovery from Various Resources: A Review. Hydrometallurgy 2011, 108, 100–108. [Google Scholar] [CrossRef]
 - Xiao, J.; Zou, K.; Zhong, N.; Gao, D. Selective Separation of Iron and Scandium from Bayer Sc-Bearing Red Mud. J. Rare Earths 2022, 14, 1099–1107. [Google Scholar] [CrossRef]
 - Kalashnikov, A.; Yakovenchuk, V.; Pakhomovsky, Y.; Bazai, A.; Sokharev, V.; Konopleva, N.; Mikhailova, J.; Goryainov, P.; Ivanyuk, G. Scandium of the Kovdor Baddeleyite–Apatite–Magnetite Deposit (Murmansk Region, Russia): Mineralogy, Spatial Distribution, and Potential Resource. Ore Geol. Rev. 2015, 72, 532–537. [Google Scholar] [CrossRef]
 - Seredkin, M.; Zabolotsky, A.; Jeffress, G. In Situ Recovery, an Alternative to Conventional Methods of Mining: Exploration, Resource Estimation, Environmental Issues, Project Evaluation and Economics. Ore Geol. Rev. 2016, 79, 500–514. [Google Scholar] [CrossRef]
 - Borra, C.R.; Pontikes, Y.; Binnemans, K.; Van Gerven, T. Leaching of Rare Earths from Bauxite Residue (Red Mud). Miner. Eng. 2015, 76, 20–27. [Google Scholar] [CrossRef]
 - Aung, W.M.; Marchenko, M.V.; Troshkina, I.D. Sorption of Scandium from Sulfuric–Chloride Solutions by Activated Carbons. Russ. J. Non-Ferrous Met. 2019, 60, 646–651. [Google Scholar] [CrossRef]
 - Pirozhenko, K.Y.; Sokolova, Y.V.; Teselkina, A.E.; Glinskaya, I.V. The Sorption Recovery of Scandium from Sulfuric Acid Solution by Spherically Granulated Titanium Phosphate. Sorpt. Chromatogr. Process. 2016, 16, 306–312. [Google Scholar]
 - Molchanova, T.V.; Akimova, I.D.; Tatarnikov, A.V. Ion-Exchange Methods of Scandium Recovery from the Ores of the Tomtor Deposit. Russ. Met. (Metally) 2019, 2019, 674–679. [Google Scholar] [CrossRef]
 - Medvedev, A.S.; Khayrullina, R.T.; Kirov, S.S.; Suss, A.G. Technical Scandium Oxide Obtaining from Red Mud of Urals Aluminium Smelter. Tsvetnye Met. 2015, 12, 47–52. [Google Scholar] [CrossRef]
 - Smyshlyaev, V.Y. By-Producing Scandium from Pregnant Solutions during in-Situ Leaching at Dalmatovskoe Uranium Deposit. Gorn. Zhurnal 2017, 8, 28–32. [Google Scholar] [CrossRef]
 - Senik, E.; Vinogradov, M.; Taranov, R.; Kozodaev, A.; Ksenofontov, B.; Ksyenofontov, B.; Voropaeva, A. Rare Earth Metals Leaching from Coal Ash and Theirs Concentration. Saf. Technosphere 2016, 5, 48–55. [Google Scholar] [CrossRef]
 - Shoppert, A.; Valeev, D.; Diallo, M.M.; Loginova, I.; Beavogui, M.C.; Rakhmonov, A.; Ovchenkov, Y.; Pankratov, D. High-Iron Bauxite Residue (Red Mud) Valorization Using Hydrochemical Conversion of Goethite to Magnetite. Materials 2022, 15, 8423. [Google Scholar] [CrossRef]
 - Klauber, C.; Gräfe, M.; Power, G. Bauxite Residue Issues: II. Options for Residue Utilization. Hydrometallurgy 2011, 108, 11–32. [Google Scholar] [CrossRef]
 - Kumar, S.; Kumar, R.; Bandopadhyay, A. Innovative Methodologies for the Utilisation of Wastes from Metallurgical and Allied Industries. Resour. Conserv. Recycl. 2006, 48, 301–314. [Google Scholar] [CrossRef]
 - Wen, Z.-C.; Ma, S.-H.; Zheng, S.-L.; Zhang, Y.; Liang, Y. Assessment of Environmental Risk for Red Mud Storage Facility in China: A Case Study in Shandong Province. Environ. Sci. Pollut. Res. 2016, 23, 11193–11208. [Google Scholar] [CrossRef]
 - Rai, S.; Bahadure, S.; Chaddha, M.; Agnihotri, A. Use of Red Mud as Advanced Soil Stabilization Material. In Advanced Materials from Recycled Waste; Elsevier: Amsterdam, The Netherlands, 2023; pp. 45–56. [Google Scholar] [CrossRef]
 - Liu, X.; Han, Y.; He, F.; Gao, P.; Yuan, S. Characteristic, Hazard and Iron Recovery Technology of Red Mud—A Critical Review. J. Hazard. Mater. 2021, 420, 126542. [Google Scholar] [CrossRef]
 - Qaidi, S.; Tayeh, B.A.; Isleem, H.F.; de Azevedo, A.R.; Ahme, H.U.; Emad, W. Sustainable Utilization of Red Mud Waste (Bauxite Residue) and Slag for the Production of Geopolymer Composites: A Review. Case Stud. Constr. Mater. 2022, 16, e00994. [Google Scholar] [CrossRef]
 - Ochsenkuehn-Petropoulou, M.; Tsakanika, L.-A.; Lymperopoulou, T.; Ochsenkuehn, K.-M.; Hatzilyberis, K.; Georgiou, P.; Stergiopoulos, C.; Serifi, O.; Tsopelas, F. Efficiency of Sulfuric Acid on Selective Scandium Leachability from Bauxite Residue. Metals 2018, 8, 915. [Google Scholar] [CrossRef]
 - Gentzmann, M.C.; Schraut, K.; Vogel, C.; Gäbler, H.-E.; Huthwelker, T.; Adam, C. Investigation of Scandium in Bauxite Residues of Different Origin. Appl. Geochem. 2021, 126, 104898. [Google Scholar] [CrossRef]
 - Davris, P.; Balomenos, E.; Nazari, G.; Abrenica, G.; Patkar, S.; Xu, W.-Q.; Karnachoritis, Y. Viable Scandium Extraction from Bauxite Residue at Pilot Scale. Mater. Proc. 2022, 5, 129. [Google Scholar] [CrossRef]
 - Hubicki, Z.; Kołodyńska, D. Selective Removal of Heavy Metal Ions from Waters and Waste Waters Using Ion Exchange Methods. Environ. Sci. 2012, 7, 193–240. [Google Scholar] [CrossRef]
 - Zhu, X.; Li, W.; Tang, S.; Zeng, M.; Bai, P.; Chen, L. Selective Recovery of Vanadium and Scandium by Ion Exchange with D201 and Solvent Extraction Using P507 from Hydrochloric Acid Leaching Solution of Red Mud. Chemosphere 2017, 175, 365–372. [Google Scholar] [CrossRef] [PubMed]
 - Mikeli, E.; Marinos, D.; Toli, A.; Pilichou, A.; Balomenos, E.; Panias, D. Use of Ion-Exchange Resins to Adsorb Scandium from Titanium Industry’s Chloride Acidic Solution at Ambient Temperature. Metals 2022, 12, 864. [Google Scholar] [CrossRef]
 - Sharaf, M.; Yoshida, W.; Kubota, F.; Goto, M. A Novel Binary-Extractant-Impregnated Resin for Selective Recovery of Scandium. J. Chem. Eng. Jpn. 2019, 52, 49–55. [Google Scholar] [CrossRef]
 - Salman, A.D.; Juzsakova, T.; Mohsen, S.; Abdullah, T.A.; Le, P.-C.; Sebestyen, V.; Sluser, B.; Cretescu, I. Scandium Recovery Methods from Mining, Metallurgical Extractive Industries, and Industrial Wastes. Materials 2022, 15, 2376. [Google Scholar] [CrossRef]
 - Mikhaylenko, M. Development and Screening of Resins to Recover REE and Scandium from Different Sources. In Extraction 2018: Proceedings of the First Global Conference on Extractive Metallurgy; Springer International Publishing: Berlin/Heidelberg, Germany, 2018; pp. 2113–2122. [Google Scholar] [CrossRef]
 - Foo, K.; Hameed, B. Insights into the Modeling of Adsorption Isotherm Systems. Chem. Eng. J. 2010, 156, 2–10. [Google Scholar] [CrossRef]
 - Balomenos, E.; Davris, P.; Apostolopoulou, A.; Marinos, D.; Mikeli, E.; Toli, A.; Kotsanis, D.; Paschalis, G.; Panias, D. Investigations into Optimized Industrial Pilot Scale BR Leaching for Sc Extraction. In TMS Annual Meeting & Exhibition; Springer Nature Switzerland: Cham, Switzerland, 2023; pp. 1167–1172. [Google Scholar] [CrossRef]
 - Mostajeran, M.; Bondy, J.-M.; Reynier, N.; Cameron, R. Mining Value from Waste: Scandium and Rare Earth Elements Selective Recovery from Coal Fly Ash Leach Solutions. Miner. Eng. 2021, 173, 107091. [Google Scholar] [CrossRef]
 - Altinsel, Y.; Topkaya, Y.; Kaya, Ş.; Şentürk, B. Extraction of Scandium from Lateritic Nickel-Cobalt Ore Leach Solution by Ion Exchange: A Special Study and Literature Review on Previous Works. In TMS 2018: Light Metals 2018; Minerals, Metals and Materials Series; Springer International Publishing: Berlin/Heidelberg, Germany, 2018; Volume Part F4, pp. 1545–1553. [Google Scholar] [CrossRef]
 - Alkan, G.; Schier, C.; Gronen, L.; Stopic, S.; Friedrich, B. A Mineralogical Assessment on Residues after Acidic Leaching of Bauxite Residue (Red Mud) for Titanium Recovery. Metals 2017, 7, 458. [Google Scholar] [CrossRef]
 - Wood, S.A.; Samson, I.M. The Aqueous Geochemistry of Gallium, Germanium, Indium and Scandium. Ore Geol. Rev. 2006, 28, 57–102. [Google Scholar] [CrossRef]
 - Bao, S.; Hawker, W.; Vaughan, J. Scandium Loading on Chelating and Solvent Impregnated Resin from Sulfate Solution. Solvent Extr. Ion Exch. 2018, 36, 100–113. [Google Scholar] [CrossRef]
 - Tan, K.; Hameed, B. Insight into the Adsorption Kinetics Models for the Removal of Contaminants from Aqueous Solutions. J. Taiwan Inst. Chem. Eng. 2017, 74, 25–48. [Google Scholar] [CrossRef]
 - Smirnov, A.L.; Titova, S.M.; Rychkov, V.N.; Bunkov, G.M.; Semenishchev, V.S.; Kirillov, E.V.; Poponin, N.N.; Svirsky, I.A. Study of Scandium and Thorium Sorption from Uranium Leach Liquors. J. Radioanal. Nucl. Chem. 2017, 312, 277–283. [Google Scholar] [CrossRef]
 - Kilian, K.; Pyrzyńska, K.; Pęgier, M. Comparative Study of Sc(III) Sorption onto Carbon-Based Materials. Solvent Extr. Ion Exch. 2017, 35, 450–459. [Google Scholar] [CrossRef]
 - Yessimkanova, U.; Mataev, M.; Alekhina, M.; Kopbaeva, M.; Berezovskiy, A.; Dreisinger, D. The Study of the Kinetic Characteristics of Sorption of Scandium of Ion Exchanger Purolite Mts9580 from Return Circulating Solutions of Underground Leaching of Uranium Ores. Eurasian Chem. J. 2020, 22, 135–140. [Google Scholar] [CrossRef]
 - Adonis, S.; Oosthuysen, T. Evaluation of Scandium Sorption Using Modified Amberlite XAD-4 Resin. Mon. Für Chem.-Chem. Mon. 2022, 153, 1185–1196. [Google Scholar] [CrossRef]
 - Smyshlyaev, D.; Kirillov, E.; Kirillov, S.; Bunkov, G.; Rychkov, V.; Botalov, M.; Taukin, A.; Yuldashbaeva, A.; Malyshev, A. Recovery and Separation of Sc, Zr and Ti from Acidic Sulfate Solutions for High Purity Scandium Oxide Production: Laboratory and Pilot Study. Hydrometallurgy 2022, 211, 105889. [Google Scholar] [CrossRef]
 - Vigdorowitsch, M.; Pchelintsev, A.; Tsygankova, L.; Tanygina, E. Freundlich Isotherm: An Adsorption Model Complete Framework. Appl. Sci. 2021, 11, 8078. [Google Scholar] [CrossRef]
 - Ghodbane, I.; Hamdaoui, O. Removal of Mercury(II) from Aqueous Media Using Eucalyptus Bark: Kinetic and Equilibrium Studies. J. Hazard. Mater. 2008, 160, 301–309. [Google Scholar] [CrossRef] [PubMed]
 - Yagmurlu, B.; Dittrich, C.; Friedrich, B. Precipitation Trends of Scandium in Synthetic Red Mud Solutions with Different Precipitation Agents. J. Sustain. Met. 2017, 3, 90–98. [Google Scholar] [CrossRef]
 - Chernyaev, A.; Wilson, B.P.; Lundström, M. Study on Valuable Metal Incorporation in the Fe–Al Precipitate during Neutralization of LIB Leach Solution. Sci. Rep. 2021, 11, 23283. [Google Scholar] [CrossRef]
 







| Properties | ||||
|---|---|---|---|---|
| Resins | Functional Group | Capacity (eq/L) | Form Received  | Operating pH | 
| Seplite LSC 730 | Monophosphonic | 18 g/L (Fe) | H+ | (NA) | 
| Seplite LSC 790 | D2EHPA impregnated | (NA) | H+ | <4 | 
| Lewatit TP 260 | Aminomethyl phosphonic acid | 2.4 min. eq/L | Na+ | 0–14 | 
| Amberlite IRC 747 | Amino phosphonic | 1.75 eq/L | Na+ | (DA) | 
| Amberlite IRC 120 | Sulfonic acid | 1.8 | H+ | 0–14 (S) | 
| Lewatit TP 209 | Iminiodiacetic acid | 2.4 min. eq/L | Na+ | 2–10 | 
| Lewatit TP 272 | Bis-(2,4,4-trimethylpentyl) phosphinic acid | 12.5 g/l (Zn) min eq/L | H+ | 1–6 | 
| Tulsion CH-93 | Aminomethyl phosphoric | 2 min. eq/l | Na+ | 0–14 (S) | 
| Lewatit TP 208 | Iminiodiacetic acid | 2.9 min. eq/L | Na+ | 2–12 | 
| Initial Solution | |
|---|---|
| pH | 3.6 | 
| Composition (mg/L) | |
| Al | 8000 | 
| Ti | 33.6 | 
| Ca | 562.9 | 
| Sc | 12.7 | 
| Si | 93.7 | 
| Ga | 2.5 | 
| Na | 14,600 | 
| K | 133.7 | 
| SO42− | 78,100 | 
| Fe total | 272 | 
| Fe (II) | 172.3 | 
| Fe (II)% | 63.3 | 
| Fe Tot. (mg/L) | Fe (II) (mg/L) | Fe (II) % | pH | |
|---|---|---|---|---|
| Treated solution | 587.3 | 559.9 | 95.34 | 0.7 | 
| Resins | Metals | Freundlich Isotherm Constants | Langmuir Isotherm Constants | ||||
|---|---|---|---|---|---|---|---|
| Kf | 1/n | R2 | KL | qm | R2 | ||
| LSC 730 | Sc | 3.2992 | 0.5525 | 0.9776 | 0.3141 | 12.8056 | 0.9061 | 
| Ti | 2.540 | 0.6814 | 0.9920 | 0.0373 | 45.6269 | 0.9701 | |
| LSC 790 | Sc | 3.9935 | 0.2404 | 0.9843 | 1.4048 | 6.6827 | 0.9876 | 
| Resin Tested | Fe (0) g/L  | 18M H2SO4 mL/L | pH of Solution  | 
|---|---|---|---|
| LSC 790 | 0.3 | 17 | 0.6 | 
| LSC730 | 0.3 | 1.6 | 3.2 | 
| Pseudo-Second-Order | |||||
|---|---|---|---|---|---|
| Resin | L/S Ratio (mL/g) | Initial Sc Concentration (mg/L)  | k2 (g/mg min) | qe,calc. (mg/g)  | R2 | 
| LSC 730 | 1000:1 | 12.8 | 0.0233 | 8.8484 | 0.9996 | 
| LSC 730 | 500:1 | 12.8 | 0.1014 | 5.4619 | 1.0000 | 
| LSC 730 | 250:1 | 12.8 | 0.5733 | 3.0712 | 1.0000 | 
| LSC 790 | 1000:1 | 12.7 | 0.0980 | 6.0953 | 0.9999 | 
| LSC 790 | 500:1 | 12.8 | 0.1038 | 5.1159 | 1.0000 | 
| LSC 790 | 250:1 | 12.6 | 0.6790 | 3.1287 | 1.0000 | 
Disclaimer/Publisher’s Note: The statements, opinions and data contained in all publications are solely those of the individual author(s) and contributor(s) and not of MDPI and/or the editor(s). MDPI and/or the editor(s) disclaim responsibility for any injury to people or property resulting from any ideas, methods, instructions or products referred to in the content.  | 
© 2023 by the authors. Licensee MDPI, Basel, Switzerland. This article is an open access article distributed under the terms and conditions of the Creative Commons Attribution (CC BY) license (https://creativecommons.org/licenses/by/4.0/).
Share and Cite
Toli, A.; Mikeli, E.; Marinos, D.; Balomenos, E.; Panias, D. Assessing the Efficiency of Ion Exchange Resins for the Recovery of Scandium from Sulfuric Acid Leaching Solutions. Separations 2023, 10, 366. https://doi.org/10.3390/separations10070366
Toli A, Mikeli E, Marinos D, Balomenos E, Panias D. Assessing the Efficiency of Ion Exchange Resins for the Recovery of Scandium from Sulfuric Acid Leaching Solutions. Separations. 2023; 10(7):366. https://doi.org/10.3390/separations10070366
Chicago/Turabian StyleToli, Aikaterini, Eleni Mikeli, Danai Marinos, Efthymios Balomenos, and Dimitrios Panias. 2023. "Assessing the Efficiency of Ion Exchange Resins for the Recovery of Scandium from Sulfuric Acid Leaching Solutions" Separations 10, no. 7: 366. https://doi.org/10.3390/separations10070366
APA StyleToli, A., Mikeli, E., Marinos, D., Balomenos, E., & Panias, D. (2023). Assessing the Efficiency of Ion Exchange Resins for the Recovery of Scandium from Sulfuric Acid Leaching Solutions. Separations, 10(7), 366. https://doi.org/10.3390/separations10070366
        
