Abstract
In the process of zinc smelting, when the chloride ion concentration exceeds 100 mg/L, it continuously corrodes the electrode plate and affects the stability of the electrodeposition process. Therefore, the chloride concentration must be reduced below 100 mg/L. Compared with other methods used to control the reactions of Cu(II), the use of the copper slag produced in zinc smelting without other additives does not cause reverse dissolution; to reduce the cost, turn the waste into treasure, and protect the environment, research was carried out on chloride removal by the copper slag via a synergistic valence control process. In this study, the influencing factors, such as the amount of copper slag, the reaction time, and reaction temperature, were systematically investigated. The results showed that the optimum dechlorination conditions were as follows: the copper: copper(II): chloride molar ratio was 6:5:1, the reaction time was 60 min, and the reaction temperature was 20 °C. The chloride ion concentration was decreased from 1.6 g/L to 0.05 g/L, the dechlorination efficiency was 96.875%, and the residual chloride ion concentration was less than 100 mg/L, which provides a basis for industrial use.
1. Introduction
As the demand for zinc continues to grow year after year, the zinc smelting capacity continues to expand, the domestic supply of the zinc concentrate is far less than the smelting needs, and the demand for foreign zinc concentrate is increased; in addition to excessive exploitation of the mineral resources, the zinc ore tends to be poor, fine and mixed, and the grade of flotation zinc concentrate is low, which makes the content of chlorine impurities high. In the process of zinc smelting [1], the chlorine mainly comes from the zinc concentrate, lead system zinc oxide, rotary kiln zinc oxide, and externally processed zinc calcine. Chloride ions enter the leachate and circulate continuously in the electrolytic system [2], and the electrode plate is constantly corroded, and finally, the electrolysis is stopped and cannot be regenerated [3,4]. With the increased chloride ion concentration in the zinc smelting electrolyte, the PbO2 protective film on the anode plate is gradually destroyed by the chloride ions in the electrolyte. The PbO2 protective film is destroyed and reacts directly with metallic lead to form Pb2+ in the electrolyte, which is subsequently oxidized in the air to form lead oxides. The higher the concentration of chloride ions, the more serious the damage is. When the anode plate is corroded, the electrolyte contains large amounts of PbSO4 and Pb2+. The PbSO4 is deposited on the cathode and precipitates with zinc [5], and the Pb2+ also precipitates during cathode discharge [6], which affects the quality of the zinc precipitate [7]. Therefore, in electrolytic zinc production [8], the chloride ions should be eliminated before electrodeposition, and their concentration should not exceed 100 mg/L [9,10]. The most important requirement is for the zinc smelting process to achieve environmental sustainability, a circular economy, and clean production.
The main methods currently used for removing the chloride ions from zinc-contaminated acid solutions include adsorption, oxidation, membrane separation, and chemical precipitation. Adsorption dechlorination [11,12] has an advantage in that the adsorbent can be regenerated [13], but the disadvantage is that it interferes with the negative ions [14], and regeneration processes generate new wastewater [15] and cause pH fluctuations in the wastewater [16]. The other advantage of oxidative dechlorination is that it does not produce secondary pollution [17], and the oxides produced can be used to make disinfectants [18], but the disadvantage is that the utilization rate of the oxidant is low [19] and it is expensive. It is only suitable for use with wastewater containing high chlorine concentrations [20]. Although dechlorination via membrane separation is easy to achieve [21,22], the membrane is susceptible to contamination [23] and can only be formed with high brine concentrations [24,25]. Thus, chemical precipitation is currently the main method used for removing chlorine in industrial applications. The benefits of chemical precipitation are its suitability for use with high-concentration chlorine effluents [26] and large-scale water treatments [27] and its high selectivity for chlorine removal [28]. The disadvantage is that a large amount of precipitant is needed [29,30], resulting in the large-scale accumulation of the chemical precipitates and secondary pollutants. For example, in the removal of chlorine by silver chloride precipitation, the principle is to add silver sulfate to a chlorine-containing acidic solution and form a silver chloride precipitate with a lower solubility than silver sulfate to remove the chloride ions from the solution [31]. The advantage is the high efficiency for chlorine removal, since it reduces the chloride ion concentration to trace amounts and has a wide application range. The disadvantage is that the silver sulfate is expensive at CNY 4.5 per gram. The bismuth oxychloride dechlorination method removes chlorine by using bismuth oxide to produce free bismuth ions in an acidic solution, and these ions react with the chloride ions in the solution to form an insoluble bismuth oxychloride precipitate. This method has a good dechlorination effect, but bismuth oxide is expensive at CNY 61,000 per ton and large amounts are added, so it is not suitable for large-scale use in wastewater treatment [32,33]. Therefore, copper slag dechlorination is the most widely used method in industry for removing chloride ions. However, the existing methods exhibit reverse dissolution of the cuprous chloride and high costs.
First, the problem of reverse dissolution by the cuprous chloride is that additional oxidants, such as ferric or manganese dioxide, must be added to the dechlorination process to provide more divalent copper ions in the system. The amount of divalent copper determines the effectiveness of the disproportionation reaction. However, once trivalent iron ions or manganese dioxide and other oxidants are added to the solution, the generated cuprous chloride reacts with the trivalent iron ions or manganese dioxide to form divalent copper, which results in reverse dissolution.
Second, the main reason for the high cost is that the copper slag produced in zinc smelting cannot be used immediately, so enterprises usually store and treat it. Due to the different stacking times, the activity of the copper in the copper slag cannot be guaranteed, the oxidation times of the copper are different, and the divalent copper is very unstable. Additional precipitation of pure CuSO4 is needed to provide the divalent copper ions. The price of CuSO4 is CNY 120 per kilogram, which is expensive [34].
Therefore, we used a new green method to remove chloride ions with the copper slag produced by zinc smelting via a synergistic valence control dechlorination.
Compared with the traditional copper salt precipitation method [35,36], the dechlorination of copper slag is controlled by the synergistic valence state of the copper slag. Without adding oxidants such as iron ions or manganese dioxide to the solution, the copper slag produced by the zinc smelting system was dechlorinated, and the divalent copper ions were obtained by valence state regulation, which did not lead to an increase in the oxygen potential of the system of reverse dissolution of the cuprous chloride. The method is green, clean, and environmentally friendly.
Second, the ratio of copper to divalent copper was controlled by copper slag synergistic valence regulation of chlorine removal to avoid the addition of copper sulfate and achieve efficient dechlorination while reducing the cost. Valence-regulated copper slag was used to control the amount of Cu(II) that reacted with the Cu in the original copper slag to precipitate CuCl, remove chlorine and achieve waste treatment, which is more environmentally friendly. It can be widely used in industry. After the copper slag valence control occurs according to Equation (1), the Cu(0) is oxidized to Cu(II), and the Cu(II) reacts with Cu(0) to form Cu(I), as shown in Equations (1) and (2). Although Cu(I) alone is very unstable, Cu(II) and Cu(0) are generated according to Equation (3); however, in the presence of Cl(-I), the above disproportionation reaction proceeds in the opposite direction, and the Cu(I) reaction proceeds in the opposite direction. The Cu(II) forms Cu(I) and Cu(0), and then the Cu(I) reacts with Cl(-I) to form the solid copper chloride (CuCl). Given this, the removal of Cl(-I) via a disproportionation reaction involving Cu(II), Cu(0), and Cl(-I) is proposed. In the metal smelting industry, copper slag consisting of Cu(II), Cu(0), and a small number of impurities is a common byproduct with a much lower cost than CuSO4; therefore, zinc smelting copper slag was used as a substitute for CuSO4 to remove Cl(-I) at a reduced cost.
Cu(0) + O2→Cu(II)
Cu(0) + Cu(II) →Cu(I)
2Cu(I) → Cu(0) + Cu(II)
Cu(0) + Cu(II) + 2Cl(-I) → 2CuCl↓
In this paper, the effects of different copper slag treatment methods, valence regulation at different temperatures, different addition ratios, reaction times, and reaction temperatures on chloride ion removal were investigated. With the minimum dosage ratio, minimum reaction time, and minimum reaction temperature, the chloride ion concentration was decreased from 1600 mg/L to 50 mg/L, below the 100 mg/L limit, and the dechlorination efficiency reached 96.875%. The method exhibited successful dechlorination, realized waste treatment by waste, and provided a basis for industrial usage. The zinc smelting process achieved environmental sustainability, a circular economy, and clean production.
2. Materials and Methods
2.1. Materials
The zinc smelting process produced an acidic solution with a chloride ion content of 1.6 g/L, a zinc smelting acidity of 140 g/L, and a Zn content of 585.4568 mg/L, and copper slag (the Cu content was 3.299%) was purchased from Kunming Chihong Zinc (Qujing City, China) and Germanium Co., Ltd (Nanjing, China).
From the original XRF study of the copper slag, as shown in Table 1, the copper slag mainly contained Pb, Cu, Cd, Zn, and S elements, and the Pb and Cu contents were relatively high at 5.555% and 3.299%, respectively; the Cd, Zn, and S contents were also relatively high. The other elements were Sb, Mg, Sr, Si, Co, Ca, Na, etc., with a total content of 1.998%.
Table 1.
XRF of copper slag as-is.
2.2. Experimental Method
The raw copper slag was ground to 80–140 mesh and placed in a tube furnace for valence moderation, and physical phase analyses were performed on the raw and valence-moderated copper slag. To remove the chloride ions from the acidic solution produced by zinc smelting, 100 mL of the zinc smelting acidic solution was added to a 250 mL beaker and stirred at 350 r/min at the specified temperature using a digitally displayed stable temperature magnetic stirrer (DF-101S, Henan Hengyang Scientific Instruments Co., Ltd., Zhengzhou, China). Then, a certain amount of valence-regulated copper slag and the original copper slag were added to the acidic solution produced by zinc smelting. After valence modulation of the copper slag, the Cu reacted with oxygen to form CuO and Cu2O, and the copper monomers disappeared. The Cu and Cu2+ were converted into Cu+ and formed a CuCl precipitate with dechlorination of the Cl− in the original solution. The experimental device and mechanism Figure 1 and the reaction substance Figure 2 are shown below. By controlling the reaction conditions, the dechlorination efficiency was improved. The chloride ion removal efficiency was expressed with the following formula:
where η is the Cl− removal efficiency; C0 and C1 are the initial and final concentrations of chloride ions in solution (g/L), respectively.
η = (C0 − C1)/C0 × 100%
Figure 1.
Experimental device and mechanism diagram.
Figure 2.
Reaction physical map.
2.3. Analytical Methods
Elemental analyses were performed with an X-ray fluorescence spectrometer (XRF) (The model used is Dutch Panalytical Zetium) to determine the elemental contents in the copper slag. Information on the content of each element was also obtained from the intensity of the characteristic X-ray radiation for each element. X-ray diffraction (XRD) (X’Pert PRO MPD) was also used for qualitative determinations of the phases present in the original copper slag, and the content of each phase in the slag was determined via quantitative analysis. Differential thermogravimetry was used to analyze the physical or chemical changes occurring in the copper slag during the heating process. These changes were endothermic or exothermic processes, and the reactions of the different elements at different temperatures were analyzed. The corresponding surface elemental composition and chemical valences were determined by X-ray photoelectron spectrometry (XPS) (The model used is Thermo Scientific K-Alpha, USA). Scanning electron microscopy (SEM) (The model used is Czech Tescan MIRA LMS.) was used to detect the physical phase and micromorphology of the filter residue. Atomic absorption spectrophotometry was used to determine the chloride ion concentration.
3. Results and Discussion
3.1. Analysis of the Copper Slag
The oxidation of copper is a stepwise process. First, the elemental copper is oxidized to cuprous oxide, and then the cuprous oxide reacts with oxygen to form copper oxide. HSC Chemistry (enthalpy, entropy, and heat capacity) software is a chemical calculation software specifically used to calculate the Gibbs free energy changes, enthalpy changes, heat capacities, and equilibrium constants of complex systems such as multivariate, multiphase, and multireaction systems under different temperature, pressure and element-type conditions. The theoretical system was based on the Gibbs’ free energy minimization principle. The process of copper slag oxidation after the purification of the zinc smelting acid is shown in Figure 3.
Figure 3.
Gibbs free energy change diagram of copper oxidation.
The Gibbs free energies of reaction (1) and reaction (2) were both less than 0 at room temperature, so both reactions proceeded spontaneously at room temperature. The Gibbs free energies of these two reactions were determined for the range from room temperature to 1000 °C. The changes are shown in Figure 3.
4Cu + O2 = 2Cu2O ∆G = −295.688 kJ (T = 25 ℃)
Cu2O + O2 = CuO ∆G = −216.619 kJ (T = 25 ℃)
Figure 3 shows that near 1000 °C, the Gibbs free energies of these two reactions were less than 0, and both reactions were free to proceed. Therefore, the reaction was thermodynamically feasible. However, the reaction rates were too slow at low temperatures, so the reaction rate was accelerated by increasing the temperature.
The thermogravimetric results were obtained by heating the copper slag from room temperature to 1500 °C under air, as shown in Figure 4, from which the following was seen:
Figure 4.
Copper slag differential thermal differential weight diagram.
(1) There was a slight endothermic peak at 100 °C, possibly caused by the evaporation of the water in the air, and the DSC curve for the copper slag showed a downward trend;
(2) Pb (melting point 323 °C), Cd (melting point 321 °C), and the other substances melted between 100 °C and 400 °C, copper was partially oxidized to CuO, elemental sulfur reacted to form SO2, and the heat released by the oxidation reaction was greater than the heat absorbed by melting, so the DSC curve was concave.
2Pb + O2 = 2PbO
2Cd + O2 = 2CdO
2Cu + O2 = 2CuO
(3) At 400–900 °C, oxidation of the Zn and Cu occurred (Cu started to oxidize at 450 °C), and the volatilization of Zn (melting point 419 °C) was exothermic and endothermic. The endothermic heat reached equilibrium, so the curve was flat.
2Zn + O2 = 2ZnO
2Cu + O2 = 2CuO
(4) Decomposition of the lead sulfate occurred at approximately 900–1400 °C (1000 °C) and produced toxic sulfur oxides and lead-containing fumes. At 1200 °C, the CuO began to decompose into Cu2O and oxygen.
After the valence state of the copper slag was regulated, the Cu reacted at 450–900 °C with O2 to form CuO and Cu2O. Therefore, the valence of the copper slag was regulated at different temperatures to obtain Cu2+. The dried copper slag is shown in Figure 5. The valence regulation temperatures from top to bottom were 750 °C, 700 °C, 650 °C, 600 °C, and 550 °C. The surface morphologies showed that the surface gradually agglomerated after calcination at 550 °C, 600 °C, and 650 °C. After the calcination at 750 °C, cracks and agglomeration appeared on the surface, and extensive sintering was observed.
Figure 5.
The surface morphology of copper slag after valence regulation and the XRD of copper slag after valence regulation.
According to the Scherrer formula, the grain sizes of the XRD sample were D = Kλ/(βcosθ), where K is a constant, λ is the wavelength of the X-rays, β is the full width at half maximum of the diffraction peak, and θ is the diffraction angle. The value of K in the above formula was related to the definition of β. When β is defined for the half the width and height, K is 0.89; when β is the integrated width, K is 1.0. According to the Scherrer formula: D550 °C = 9.2122 nm; D600 °C = 9.58 nm; D650 °C = 11.034 nm; D700 °C = 12.66 nm; D750 °C = 14.56 nm
The tin ions in the solution affected the electrolysis of zinc. The potential of tin is more positive than that of zinc, and electrochemical dissolution does not generally occur. Only a small amount of tin left in the anode slime entered the electrolyte. When the concentration of tin in the electrolyte was greater than 0.1 mg/L, the current efficiency decreased rapidly, the critical current density and corrosion current density for zinc deposition increased, and the DC power consumption also increased. The XRF results for the original copper slag showed that the Sn content was 0.051%, as shown in Table 1, which was less than 0.11%. Therefore, the removal of the chlorine from the copper slag via the copper slag synergistic valence regulation did not affect zinc smelting [37]. The XRD results for the original copper slag and the copper slag after valence regulation showed that the main peak for the copper slag after valence regulation was still that of PbSO4, and the other phases remain unchanged. The XRD peaks of the copper slag after valence regulation were basically the same. It appeared that each element in the copper slag reacted within each temperature range, but the reaction rate was accelerated by increasing the temperature. For the slag subjected to valence regulation, the optimal valence regulation temperature was 650 °C.
3.2. Effect of Dosage Ratio on the Experimental Results
After drying of the copper slag (90 °C; 2.5 h) and grinding it to 80–140 mesh, the valence regulation temperature was 650 °C, and valence-regulated copper slag and copper slag were added with ratios of 1, 2, 3, 4, 5, and 6, and the reaction time was 60 min.
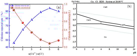
The effects of adding the copper slag and the tuned copper slag on the chloride ion content were determined at room temperature (20 °C) with a reaction time of 60 min, stirring speed of 350 r/min, and different molar ratios (1, 2, 3, 4, 5, 6) of (Cu2+):(Cl−). The results are shown in Figure 6a. It was found that at the different (Cu2+):(Cl−) ratios, the chloride ion removal rate increased sharply from 45.9375% to 94.4375%, and the chloride ion concentration was decreased from 1.6 g/L to 0.089 g/L, which was less than the limit of 100 mg/L. The amounts of copper slag and titrated copper slag added were determined by the (Cu):(Cu2+):(Cl−) ratios. The highest removal rate was 94.4375% when the (Cu):(Cu2+):(Cl−) ratio was 5:5:1. When the (Cu):(Cu2+):(Cl−) ratio was 6:6:1, the chloride ion removal rate was 90.0625%. The reductions in the chlorine and chloride levels resulted when the pH was less than 6 and (Cu2+):(Cl−) was 1 to 5, while the pH was greater than 6 when (Cu2+):(Cl−) was 6, as shown in Figure 6b. CuCl precipitated when the pH was less than 6, while Cu2O was formed when the pH was greater than 6. Therefore, the optimal ratio for the added copper slag and valence-regulated copper slag was (Cu):(Cu2+):(Cl−) = 5:5:1.
Figure 6.
The effect of different valence modulations on chlorine removal after the addition of copper slag (a) and Cu-Cl-H2O-system at 20.0 °C (b).
To determine the amount of Cl− removed by the copper slag and the valence-regulated copper slag, experiments were carried out with different (Cu2+):(Cl−) ratios (from 1 to 6), a reaction time of 60 min, and a stirring rate of 350 r/min, where (Cu2+):(Cl−) was defined as the molar ratio of the copper to chloride ion concentrations. Figure 6 and Figure 7 show that as the (Cu2+):(Cl−) ratio was increased from 1 to 5 and the (Cu):(Cl−) ratios ranged from 3–6, the removal efficiency increased sharply. When (Cu):(Cl−) was 8, the removal efficiency reached the highest value of 97.0625%. With increases in the copper slag dosage, the chlorine removal rate increased, and more CuCl precipitate was formed. This was due to the conproportionation of the divalent copper ions and elemental copper to generate the monovalent copper ions that formed the copper chloride precipitate. When the copper was present in excess, the divalent copper ions oxidized the excess elemental copper to form monovalent copper, which continued to react with the chloride ions to form the CuCl precipitate. Since the chlorine removal rates for (Cu):(Cl−) ratios of 7 and 8 were similar to that for a (Cu):(Cl−) ratio of 6, the amount of copper slag must be controlled to control the cost. Therefore, the optimum dose ratio was (Cu):(Cu2+):(Cl−) = 6:5:1.
Figure 7.
Effects of different copper slag on chlorine removal.
3.3. Effect of the Reaction Time on Chloride Ion Removal
The optimum ratio for the copper slag and valence-regulated copper slag, (Cu):(Cu2+):(Cl−), was 6:5:1, and the other conditions remained unchanged. Experiments with different reaction times were conducted for 20 min, 40 min, 60 min, 80 min, and 100 min to determine the best reaction time.
As shown in Figure 8, the rate for chloride ion removal from the acidic solution produced during zinc smelting was 85.9375% with a reaction time of 20 min. Thereafter, the rate for removal of the chloride ion gradually increased with the increasing reaction time. The curve leveled off when the reaction time reached 60 min, at which time the rate for removal of the chloride ion was 96.875%. When the reaction time was increased to 100 min, the chloride removal rate was 97.0625%, and the removal rate for chloride remained unchanged with longer reaction times. Therefore, the optimal reaction time was 60 min in view of the time cost. In the acidic solution from zinc smelting, the Cu/CuO removed Cl− because the CuO reacted with H+ to form Cu2+, Cu underwent a conproportionation reaction with Cu2+ to form Cu+, and Cu+ reacted with the Cl− to form Cu+. The process of CuCl precipitation required an appropriate reaction time to complete these three reactions. After 60 min, the chloride ions were basically removed from the acidic solution which resulted from zinc smelting. The best chloride ion removal effect was obtained with a stirring speed of R = 350 r/min, a reaction temperature of T = 20 °C, a valence-regulated copper slag dosage of 5 times the theoretical dosage, and a reaction time of 60 min.
Figure 8.
Effect of different reaction times on chloride removal rate (conditions: n(Cu):n(Cu2+):n(Cl−) = 6:5:1, 350 r/min).
3.4. Effect of the Reaction Temperature on Chloride Ion Removal
The optimum ratio for the copper slag and valence-regulated copper slag was (Cu):(Cu2+):(Cl−) = 6:5:1; the other conditions remained unchanged, the reaction time was 60 min, and the experiments were carried out at different temperatures. Experiments run at 20 °C, 30 °C, 40 °C, 50 °C, and 60 °C were used to determine the optimum reaction temperature.
As shown in Figure 9, the rate for removal of the chloride ions in the acidic solution from zinc smelting decreased with gradual increases in the temperature. When the reaction temperature was between 20 °C and 40 °C, the chloride ion removal rate decreased from 96.875% to 95.0625%. When the reaction temperature exceeded 40 °C, the chloride ion removal rate decreased more obviously to 92.3125%. This occurred because as the reaction temperature increased, the cuprous chloride was hydrolyzed in the acidic solution from zinc smelting to produce copper oxide hydrate and hydrochloric acid, so the chloride ions from the cuprous chloride re-entered the acidic solution. The reaction equation is shown in Equation (1). Therefore, the optimum reaction temperature between 20 and 60 °C was 20 °C.
4CuCl + O2 + 4H2O = 3CuO·CuCl2·3H2O + 2HCl
Figure 9.
Effect of different temperatures on the chloride removal rate (conditions: n(Cu):n(Cu2+):n(Cl−) = 6:5:1, 350 r/min, t = 60 min).
3.5. Mechanistic Analysis
3.5.1. X-ray Diffraction (XRD) Analysis
As shown in Figure 10, the raw XRD data for the copper slag showed that the main Pb phase in the slag was PbSO4, and the phases containing copper were Cu2O and Cu. The Cu2O was formed by slow oxidation of the Cu in air, the phase of Cd was elemental Cd, and the phase of Zn was ZnO.
Figure 10.
XRD of copper slag.
To confirm the conjectures for the experimental processes, namely, the formation of CuCl, the compositions were determined with X-ray diffraction (XRD). Figure 11 shows the XRD patterns of the precipitates formed from the different reagent ratios used to determine the chemical compositions of the precipitates. The diffraction peaks at 27.96°, 28.521°, 32.956°, 46.12°, 46.327°, 46.462°, 48.436°, 55.69°, 55.896°, 57.289°, 63.825°, and 69.37° were attributed to CuCl. As shown in Figure 11, the diffraction peaks for CuCl were continuous and increased with increases in the reagent ratios, which was consistent with the results of the reagent scaling experiments. It can be seen that increasing the reagent ratio enhanced the removal of chloride ions.
Figure 11.
Precipitation XRD pattern generated under different reagent ratios.
3.5.2. X-ray Photoelectron Spectroscopic (XPS) Analyses
Figure 12 shows the copper slag at different valence-regulated temperatures and the XPS data of the precipitate after the reaction were run under the optimal conditions. The carbon peak was corrected by measuring the surface charge and referencing it to 284.5 eV [38], and the peak for the Cu2+ in the original copper slag was found at 932.608 eV [39]. The peak for Cu+ or Cu at 935 eV [40] indicated the presence of Cu [41]. In the XPS results for the raw material, the characteristic peaks for CuO were at 930.8 eV, 934.3 eV, and 953.9 eV, and the satellite peaks for CuO were at 938.4–945 eV [42]. Detection of the characteristic peak for Cu2O at eV indicated that three types of copper-containing compounds were present in the raw material: Cu, Cu2O, and CuO. After valence regulation at different temperatures, it was still possible to see the characteristic peaks of Cu, Cu2O, and CuO, and the copper was nearly completely oxidized at 650 °C. Therefore, the optimum valence-regulation temperature was 650 °C. The XPS peak for the precipitate remaining after the reaction was run with the optimum conditions was basically that for monovalent Cu, indicating that most of the CuCl precipitate was produced under the optimum conditions.
Figure 12.
XPS spectra of original copper slag (a) and copper slag with regulated valence at different temperatures; (b–f) are copper slag with regulated valence at 550 °C, 600 °C, 650 °C, 700 °C, and 750 °C, respectively).
3.5.3. Microscopic Morphology of Precipitate (SEM)
Figure 13 shows the microscopic morphologies of the original copper slag (a), the valence-regulated copper slag (b) and the precipitates (c,d) after dechlorination under the optimal conditions. As shown in Figure 13a, the surface of the copper slag was relatively smooth with some irregular aggregates. The smooth surface area of the original copper slag (a) was larger than the smooth surface area of the valence-regulated copper slag (b), which had more irregular aggregates. The point scans in Figure 13a show that the weight percentages and atomic percentages of the copper atoms were larger in the irregular aggregates, indicating that there were more copper-containing compounds on the smooth surface. The surface scans of the valence-regulated copper slag are shown in Figure 13b. As seen in Figure 14 and Figure 15, the weight percentages for oxygen ranged from 32.29% to 100%, and the atomic number percentages for oxygen ranged from 65.45% to 100% after the valence regulation, indicating further oxidation of the copper monomers occurred after valence regulation. Based on the XRD pattern for the roasted copper slag, the main substances in the slag were PbSO4, CdPbO3, copper-bearing substances, and some Zn compounds. It was determined that the copper was largely oxidized. The SEM images obtained for the precipitates resulting from synergistic peroxidation of the copper slag showed that under the optimal dechlorination conditions, the microscopic morphologies of the precipitates obtained from the synergistic valence-regulated copper slag (c,d) were irregular with thick flakes, which happens to be the structure of cuprous chloride; this confirmed the mechanism for dechlorination by the synergistic valence-regulated copper slag. Figure 16 shows the elemental distributions of the precipitates obtained from the synergistic valence-regulated dechlorination of the copper slag under the optimal conditions. The weight percentage of chlorine in the dechlorinated slag was 23.25%, and this indicated that the O coexisted with Cu and Cl and mainly with Cu. This was consistent with the conclusions drawn from the XRD analyses. In addition, additional proof was obtained from the element peaks in the surface scans.
Figure 13.
Field emission scanning electron micrographs of copper slag (a) with valence-regulated copper slag (b) and slag after dechlorination under optimal conditions (c,d) (at n(Cu):n(Cu2+):n(Cl−) = 6:5:1, t = 60 min, T = 20 °C).
Figure 14.
Elemental distribution map of copper slag.
Figure 15.
Elemental distribution map of valence-regulated copper slag.

Figure 16.
Particle size distribution of precipitates under optimal conditions (at n(Cu):n(Cu2+):n(Cl−) = 6:5:1, t = 60 min, T = 20 °C).
As shown in Figure 17, under the optimal conditions, the dechlorinated slag showed obvious type I and type IV isotherms based on the IUPAC classification, which indicated the presence of microporosity and mesoporosity. The pore size distribution of the slag after dechlorination under the optimal conditions indicated a microporous–mesoporous–macroporous hierarchical porous structure. The flat points in the low relative pressure region indicated the formation of a monolayer dispersion, and the small slope of the middle region indicated the formation of a multilayer dispersion.
Figure 17.
N2 adsorption and desorption isotherms and pore size distribution of dechlorinated slag under optimal conditions.
Table 2 shows the pore structural parameters of the slag after dechlorination under the optimal conditions, which indicated that the valence regulation temperature of 650 °C provided many active adsorption sites and promoted the rapid diffusion of ions and the rapid transfer of substances.
Table 2.
The pore structural parameters of the slag.
4. Conclusions
This work proposes a new purification process for removing the chloride ions from acidic zinc smelting solutions. Dechlorination of the copper slag was studied with a synergistic valence regulation technology. Compared with the existing copper slag dechlorination methods, the Cu(II) concentration was controlled more effectively. Without adding oxidants such as iron ions or manganese dioxide to the solution system, the self-produced copper slag was used to remove the chloride ions from the zinc smelting system. The valence state was regulated to obtain divalent copper ions, which did not lead to an increase in the oxygen potential of the system. This did not cause reverse dissolution of the cuprous chloride. The process showed a higher chloride ion removal efficiency and better process stability. It realized that the transformation of waste into treasure was more environmentally friendly, which greatly reduced the cost. With the minimum dosage ratio, minimum reaction time, and minimum reaction temperature, the chloride ion concentration was decreased from 1600 mg/L to 50 mg/L, which was below the 100 mg/L limit, and the dechlorination efficiency reached 96.875%. This method exhibited efficient dechlorination and realized the treatment of waste with waste, but it has not yet reached industrial application. This paper provides a basis for industrialization. The zinc smelting process would achieve environmental sustainability, a circular economy, and clean production.
5. Patents
This section is not mandatory but may be added if there are patents resulting from the work reported in this manuscript.
Author Contributions
Conceptualization, Z.X., J.L. (Jing Li) and J.L. (Junchang Liu); writing—original draft preparation, Z.X.; Supervision: G.F., X.L., L.G., C.Z., T.Z., W.Y. and D.L. All authors have read and agreed to the published version of the manuscript.
Funding
This research was funded by NSFC Regional Fund, grant number (No. 52264050) and Basic Research Project of Science and Technology Plan of Yunnan Provincial Department of Science and Technology (No. 202201AS070031).
Data Availability Statement
All data are contained within the article.
Acknowledgments
This work was supported by the NSFC Regional Fund (No. 52264050), Basic Research Project of Science and Technology Plan of Yunnan Provincial Department of Science and Technology (No. 202201AS070031). The authors are grateful for The Kunming Key Laboratory of Special Metallurgy, Kunming Academician Workstation of Advanced Preparation for Super hard Materials Field, Kunming Academician Workstation of Metallurgical process Intensification, and Yunnan Chihong Zinc Germanium Co., Ltd. Non-ferrous Metal Electrodeposition Technology Provincial Innovation Team.
Conflicts of Interest
The author declares no conflict of interest.
References
- Nicol, M.; Akilan, C.; Tjandrawan, V.; Gonzalez, J. The effects of halides in the electrowinning of zinc. I. Oxidation of chloride on lead-silver anodes. Hydrometallurgy 2017, 173, 125–133. [Google Scholar] [CrossRef]
- Vijh, K.A. A possible interpretation of the influence of chloride ions on the anodic behavior of some metals. Corros. Sci. 1971, 11, 161–167. [Google Scholar] [CrossRef]
- Bennett, J. Electrodes for generation of hydrogen and oxygen from seawater. Int. J. Hydrogen Energy 1980, 5, 401–408. [Google Scholar] [CrossRef]
- Kelsall, G.H.; Guerra, E.; Li, G.; Bestetti, M. Effects of manganese (II) and chloride ions in zinc electrowinning reactors. Electrochem. Soc. 2000, 14, 350–361. [Google Scholar]
- Zhang, X.-M.; Chen, Z.-Y.; Luo, H.-F.; Zhou, T.; Zhao, Y.-L.; Ling, Z.-C. Corrosion resistances of metallic materials in environments containing chloride ions: A review. Trans. Nonferrous Met. Soc. China 2022, 32, 377–410. [Google Scholar] [CrossRef]
- Chen, W.-S.; Shen, Y.-H.; Tsai, M.-S.; Chang, F.-C. Removal of chloride from electric arc furnace dust. J. Hazard. Mater. 2011, 190, 639–644. [Google Scholar] [CrossRef] [PubMed]
- Shi, Q.Y.; Zhao, X.R.; He, X.B.; Ren, Y.L. Effect of Acid Leaching Process of Copper-Cadmium Slag and Pickling Process of Copper Slag on the Removal of Impurities Chlorine in Zinc Hydrometallurgy; China Nonferrous Metallurgy: Beijing, China, 2011. [Google Scholar]
- Lashgari, M.; Hosseini, F. Lead-Silver Anode Degradation during Zinc Electrorecovery Process: Chloride Effect and Localized Damage. J. Chem. 2013, 2013, 538462. [Google Scholar] [CrossRef]
- Shibano, T. Studies on the Corrosion of Lead Anode in Zinc Sulphate Solution (5th Report): Effect of Chlorine on Present in the Electrolyte. J. Min. Metall. Inst. Jpn. 1962, 78, 475–478. [Google Scholar] [CrossRef]
- Wang, Y.; Chai, L.; Xiao, H.; Pei, F.; Shu, Y.; Zhang, J. Main indexes of Pb-Ag anode passivation during zinc electrolysis process. In Proceedings of the 5th International Conference on Hydrometallurgy, Dali City, China, 6–8 July 2018. [Google Scholar]
- Lv, L.; Sun, P.; Gu, Z.; Du, H.; Pang, X.; Tao, X.; Xu, R.; Xu, L. Removal of chloride ion from aqueous solution by ZnAl-NO3 layered double hydroxides as anion-exchanger. J. Hazard. Mater. 2009, 161, 1444–1449. [Google Scholar] [CrossRef]
- Iakovleva, E.; Mäkilä, E.; Salonen, J.; Sitarz, M.; Sillanpää, M. Industrial products and wastes as adsorbents for sulfate and chloride removal from synthetic alkaline solution and mine process water. Chem. Eng. J. 2015, 259, 364–371. [Google Scholar] [CrossRef]
- Lv, L.; He, J.; Wei, M.; Evans, D.; Duan, X. Uptake of chloride ion from aqueous solution by calcined layered double hydroxides: Equilibrium and kinetic studies. Water Res. 2006, 40, 735–743. [Google Scholar] [CrossRef] [PubMed]
- Dron, J.; Dodi, A. Comparison of adsorption equilibrium models for the study of CL−, NO3− and SO42− removal from aqueous solutions by an anion exchange resin. J. Hazard. Mater. 2011, 190, 300–307. [Google Scholar] [CrossRef] [PubMed]
- Kameda, T.; Yoshioka, T.; Mitsuhashi, T.; Uchida, M.; Okuwaki, A. The simultaneous removal of calcium and chloride ions from calcium chloride solution using magnesium–aluminum oxide. Water Res. 2003, 37, 4045–4050. [Google Scholar] [CrossRef]
- Li, H.; Chen, Y.; Long, J.; Jiang, D.; Liu, J.; Li, S.; Qi, J.; Zhang, P.; Wang, J.; Gong, J.; et al. Simultaneous removal of thallium and chloride from a highly saline industrial wastewater using modified anion exchange resins. J. Hazard. Mater. 2017, 333, 179–185. [Google Scholar] [CrossRef] [PubMed]
- Liu, W.; Lü, L.; Lu, Y.; Hu, X.; Liang, B. Removal of chloride from simulated acidic wastewater in the zinc pro-duction. Chin. J. Chem. Eng. 2019, 27, 1037–1043. [Google Scholar] [CrossRef]
- Hu, X.; Zhu, F.; Kong, L.; Peng, X. Sulfate radical-based removal of chloride ion from strongly acidic wastewater: Kinetics and mechanism. J. Hazard. Mater. 2021, 410, 124540. [Google Scholar] [CrossRef]
- Li, S.; Wang, D.; Xiao, H.; Zhang, H.; Cao, S.; Chen, L.; Ni, Y.; Huang, L. Ultra-low pressure cellu-lose-based nanofiltration membrane fabricated on layer-by-layer assembly for efficient sodium chloride removal. Carbohydr. Polym. 2021, 255, 117352. [Google Scholar] [CrossRef]
- Liu, W.; Zhang, R.; Liu, Z.; Li, C. Removal of chloride from simulated zinc sulfate electrolyte by ozone oxidation. Hydrometallurgy 2016, 160, 147–151. [Google Scholar] [CrossRef]
- Cheng, H.; Xiao, H.-F.; Chen, Q.; Li, X.-M.; Qin, W.-M.; Chen, B.-S.; Xiao, D.; Zhang, W.-M. Sig-nificantly enhanced dehalogenation selectivity in near-neutral zinc sulfate electrolytes by diffusion dialysis. J. Mem-Brane Sci. 2018, 563, 142–148. [Google Scholar] [CrossRef]
- Lin, W.L.; Xuan, Z.; Meng, Z.; Zhou, C.X. Desalination of reclaimed water by nanofiltration in an artificial groundwater recharge system. J. Water Supply Res. Technol.—AQUA 2009, 58, 463–469. [Google Scholar] [CrossRef]
- Hosseini, S.; Ebrahimi, M.; Khodabakhshi, A.; Nemati, M.; Askari, M. Fabrication of mixed matrix ion exchange membrane by using activated carbon nanoparticles modified by chi-tosan: Investigation of electrolyte concentration and pH effects on transfer properties. Petroleum 2019, 29, 72–83. [Google Scholar]
- Drenkova-Tuhtan, A.; Sheeleigh, E.K.; Rott, E.; Meyer, C.; Sedlak, D.L. Sorption of recalcitrant phosphonates in reverse osmosis concentrates and wastewater effluents—Influence of metal ions. Water Sci. Technol. 2021, 83, 934–947. [Google Scholar] [CrossRef] [PubMed]
- Peng, X.; Dou, W.; Kong, L.; Hu, X.; Wang, X. Removal of Chloride Ions from Strongly Acidic Wastewater Using Cu(0)/Cu(II): Efficiency Enhancement by UV Irradiation and the Mechanism for Chloride Ions Removal. Environ. Sci. Technol. 2019, 53, 383–389. [Google Scholar] [CrossRef] [PubMed]
- Huang, S.; Li, L.; Zhu, N.; Lou, Z.; Liu, W.; Cheng, J.; Wang, H.; Luo, P.; Wang, H. Removal and recovery of chloride ions in concentrated leachate by Bi(III) containing oxides quantum dots/two-dimensional flakes. J. Hazard. Mater. 2020, 382, 121041. [Google Scholar] [CrossRef] [PubMed]
- Li, G.; Huang, S.; Zhu, N.; Yuan, H.; Ge, D.; Wei, Y. Defect-rich heterojunction photo-catalyst originated from the removal of chloride ions and its degradation mechanism of norfloxacin. Chem. Eng. J. 2021, 421, 127852. [Google Scholar]
- Rahmani, A.; Moradkhani, D.; Karami, E.; Rahmani, A.; Mousavinezhad, S.K. Chloride removal from industrial soils and zinc slag in zinc production factories by so sodium metabisulfite and copper(II) sulfate. Trans. Indian Inst. Met. 2019, 72, 645–650. [Google Scholar] [CrossRef]
- Zhang, Y.; Ma, B.; Shao, S.; Shi, B.; Li, X.; Wang, C.; Chen, Y. Removal of chloride from waste acid using Bi2O3: Thermodynamics and dechlorination behavior. J. Water Process. Eng. 2022, 49, 127852. [Google Scholar] [CrossRef]
- Ruofei, J.; Liman, T.; Jiti, Z. Methodological study on the determination of CODCr in high chloride wastewater. J. Environ. Pollut. Prev. 2003, 25, 310–311. [Google Scholar]
- Wen, J. Study on the choice of dechlorination in the production of electric zinc of Jinshi metallurgy chemical plant. J. Hunan Nonferrous Met. 2008, 24, 34–36. [Google Scholar]
- Wu, W.-H.; Liu, J.B.; Tian, S.Y.; Wang, Z.J.; Su, Z.-F. Research of regeneration and recycle use of BiOCl in chlorine removal slag of zinc electrolyte. J. China Nonferrous Met. Metall. 2015, 44, 71–73. [Google Scholar]
- Tan, Q.; Li, Q.; Liu, Z.; Li, Y.; Liu, Z.; Liu, F. Current situation on the removal of fluorine and chlorine in zinc hydro-metallurgy. Hydrometallurgy 2015, 34, 264–269. [Google Scholar]
- Keefer, R.M.; Andrews, L.J.; Kepner, R.E. Cation Complexes of Compounds Containing Carbon-Carbon Double Bonds. III. Cu-prous Chloride Complexes of Some Unsaturated Acids. J. Am. Chem. Soc. 2002, 71, 2379–2380. [Google Scholar]
- Xue, J.-Q.; Mao, W.-B.; Wang, Y.-J.; Li, J.-X.; Wu, M.; Lu, X. Disposal of cuprous chloride wastewater. Trans-Actions Nonferrous Met. Soc. China 2010, 20 (Suppl. S1), s153–s158. [Google Scholar] [CrossRef]
- Ma, C.; YU, Z. Effect of impurity ions in the electrolytic refining process of hot dip galvanized slag. J. Shanghai Nonferrous Met. 2003, 90, 8–12. [Google Scholar]
- Khattak, G.; Mekki, A.; Gondal, M. Effect of laser irradiation on the structure and valence states of copper in Cu-phosphate glass by XPS studies. Appl. Surf. Sci. 2010, 256, 3630–3635. [Google Scholar] [CrossRef]
- Ma, D.; Liang, L.; Hu, E.; Chen, H.; Wang, D.; He, C.; Feng, Q. Dechlorination of polyvinyl chloride by hydrothermal treatment with cupric ion. Process. Saf. Environ. Prot. 2021, 146, 108–117. [Google Scholar] [CrossRef]
- Zhao, P.; Li, Z.; Li, T.; Yan, W.; Ge, S. The study of nickel effect on the hydrothermal dechlorination of PVC. J. Clean. Prod. 2017, 152, 38–46. [Google Scholar] [CrossRef]
- Levi, G.; Senneca, O.; Causà, M.; Salatino, P.; Lacovig, P.; Lizzit, S. Probing the chemical nature of surface oxides during coal char oxidation by high-resolution XPS. Carbon 2015, 90, 181–196. [Google Scholar] [CrossRef]
- Hu, X.L.; Michaelides, A. Water on the hydroxylated (001) surface of kaolinite: From monomer adsorption to a flat 2D wetting layer. Surf. Sci. 2008, 602, 960–974. [Google Scholar] [CrossRef]
- Wu, X.; Liu, Z.; Liu, X. Chloride ion removal from Zinc sulfate aqueous solution by electrochemical method. Hydrometallurgy 2013, 134–135, 62–65. [Google Scholar] [CrossRef]
Disclaimer/Publisher’s Note: The statements, opinions and data contained in all publications are solely those of the individual author(s) and contributor(s) and not of MDPI and/or the editor(s). MDPI and/or the editor(s) disclaim responsibility for any injury to people or property resulting from any ideas, methods, instructions or products referred to in the content. |
© 2023 by the authors. Licensee MDPI, Basel, Switzerland. This article is an open access article distributed under the terms and conditions of the Creative Commons Attribution (CC BY) license (https://creativecommons.org/licenses/by/4.0/).