Abstract
Membrane filtration technology has attracted extensive attention in academia and industry due to its advantages of eco-friendliness related to environmental protection and high efficiency. Polyamide thin-film composite nanofiltration (PA TFC NF) membranes have been widely used due to their high separation performance. Non-acid-resistant PA TFC NF membranes face tremendous challenges in an acidic environment. Novel and relatively acid-resistant polysulfonamide-based and triazine-based TFC NF membranes have been developed, but these have a serious trade-off in terms of permeability and selectivity. Hence, how to improve acid resistance of TFC NF membranes and their separation performance in acidic environments is a pivotal issue for the design and preparation of these membranes. This review first highlights current strategies for improving the acid resistance of PA TFC NF membranes by regulating the composition and structure of the separation layer of the membrane performed by manipulating and optimizing the construction method and then summarizes the separation performances of these acid-resistant TFC NF membranes in acidic environments, as studied in recent years.
1. Introduction
Membrane separation is a new separation technology that appeared in the early 20th century and developed rapidly after the 1960s [1,2]. Due to functions in separation [3], purification [4], concentration and refining [5], pivotal characteristics of high efficiency, energy saving, environmental protection, molecular level filtration, facile filtration, and easy control [6,7,8], membrane separation technology has attracted extensive attention and has been widely applied in the food industry, medicine [9], biology [10], environmental protection, the chemical industry [11], metallurgy [12], the energy industry, petroleum [13], water treatment [14], bionics [15] and other fields, contributing huge economic and social benefits and becoming the most important factor in separation science [16]. According to the pore size of the membrane, membranes used in separation can be divided into microfiltration membranes (MF), ultrafiltration membranes (UF), nanofiltration membrane s(NF) and reverse osmosis membranes (RO) [16,17].
With the large-scale expansion of industrial production, many industrial processes, such as metal processing [18], mining [19,20], pulp manufacturing [21] and glass processing [22], not only consume a large amount of water (24% of water resource for the global water demand of industry by 2050) [23], but also produce a large amount of acidic wastewater [24]. For instance, it is estimated that at least 0.65 million tons of acidic waste solution are produced in the stainless-steel pickling process in China each year [25]. Acidic wastewater is a complex mixture containing various metal ions (Mn, Fe, Zn, Cu, Al, etc.) [26] and many kinds of organic compounds (such as dyes) [27], and often has high acidity (pH < 3) [28,29], which brings about tremendous pressure on sustainable and environmental development [25,30]. Current techniques for treating acidic wastewater mainly include precipitation [20,31], solvent extraction [20,31,32,33], adsorption [34,35], biological treatment [36], and membrane separation [37,38]. Precipitation is the most commonly used method for treating acidic wastewater. However, this process wastes acid resources due to the use of a large amount of alkaline reagents (such as CaO, Ca(OH)2, NaOH, and Mg(OH)2), and also creates a considerable amount of sludge-containing metal compounds, which are difficult to manage [31]. Solvent extraction is critical for recovering mineral acids, such as HCl and H2SO4, from wastewater created in hydrometallurgical processes [39]. The issue of low acid extraction and stripping, which is detrimental to recycling of the extractants, still remains [40]. Adsorption can, perhaps, remove metal ions from acidic wastewater [41], but it has an adsorption saturation and cycling limit that restricts its applicability [35,42]. Microbial treatment efficacy is limited and is susceptible to temperature and pH changes in the environment [43]. In conclusion, traditional treatment processes are unable to fully utilize acidic and metallic resources at an affordable cost; thus, new technologies should be developed.
Compared to conventional separation techniques, membrane technologies are very practicable for industrial molecular separations, including liquid–liquid separation and gas separation [34,44,45,46]. Nanofiltration (NF) membrane technology, as one of the membrane-based separation techniques, is a promising technology in the recyclability of valuable metals, the reusability of waste acid, and the reduction of sludge production [47,48,49,50], mainly attributable to the presence of adjustable nanoscale pores in the membranes [51], and their unique surface charge that enables Donnan effects [52,53]. When the size of the electrically neutral components (neutral particles, organic small molecules) in the solution is larger than the pore size of the membrane, the neutral particles or the separation layer need to be modified to increase the probability of the neutral components passing through the nanofiltration membrane [54,55]. Moreover, due to the high deformation energy barrier [56,57] and the mass transfer resistance of the membrane pores [58,59], the nanofiltration membrane has strong retention capacity for neutral components that are larger or slightly smaller compared to the pore size of the membrane [60]. Due to the presence of ionizable functional groups in the chemical structure of the nanofiltration membrane [61], the membrane surface may be negatively or positively charged [62], which can result in electrostatic interactions between ions in the feed liquid and produce a strong repulsion effect between high valence state ions with the same charges present in high concentrations [52,63]. The resulting Donnan effect results in NF membranes having strong rejection of metal salt components [6,53,64]. With respect to their two primary retention mechanisms, nanofiltration membranes are well suited to two typical circumstances described below. When treating acidic wastewater containing metal ions, the higher valence state metal ions are retained for enrichment, while the lower valence state acidic ions and hydrogen ions are recycled by NF [65]. When treating acidic dye wastewater, the large hydrated volume of the dyes, and organic small molecules, are retained, while the acid is recycled by NF [66].
At present, commercial NF membranes (such as NF 270 etc.) are composed of a polyamide (PA) selective layer fabricated by an interfacial polymerization (IP) reaction on the porous supporting substrate and have good permeation selectivity in treating neutral feed liquids [67]. However, when they are used to treat acidic feed liquids, with increasing temperature and time of prolonged exposure to acid, NF membrane permeation selectivity declines significantly due to the hydrolysis of the PA layer, resulting from nucleophilic attack under acidic conditions [68,69]. This results in deterioration of separation performance and increased operating costs. Consequently, some new membranes, such as the MPF series (Koch), the Duracid Series (Suez) and the Nanopro A series (AMS technologies) [70], have been developed to improve acid resistance, and are commercially available for extreme applications. Notwithstanding, these membranes exhibited serious “trade-off” effects of permeability and selectivity, that is, either extremely low flux with high rejection or high flux with low rejection operating under high pressure. Thus, improving its acid-resistance ability by regulating membrane structure has still received extensive attention.
The stability of the NF composite membrane strongly depends on the separation layer, hence, the optimization and purposeful modification of functional structure of separation layer during the interfacial polymerization process are regarded as a crucial approach to enhance acid resistance and the separation efficiency in acidic environment. Generally, the aims of these strategies embody in two aspects—the improvement of acid resistance of the prepared PA membranes and the enhancement of the permselectivity performance of the present acid-resistant membranes.
In recent years, two reviews on acid-resistant nanofiltration membranes have been published and addressed on the use of various membrane materials in acidic environments [44] and the application scenarios and limitations of acid-resistant nanofiltration membranes [71]. However, a systematical review on how to improve the acid resistance of PA NF membranes, and the separation performance of acid-resistant PA NF membranes, is not yet reported. This review will first focus on the improvement of acid resistance of polyamide (PA)-, polysulphonamide (PSA)-, poly(amide-sulfonamide) (PASA)-, and polyurea (PU)-based thin-film composite (TFC) NF membranes by regulating and optimizing the composition and structure of separation layer of the membrane via the interfacial polymerization and then summarize the separation performance of these acid-resistant TFC NF membranes in acidic environments in recent years.
2. Challenge of NF Membranes in Acidic Environment
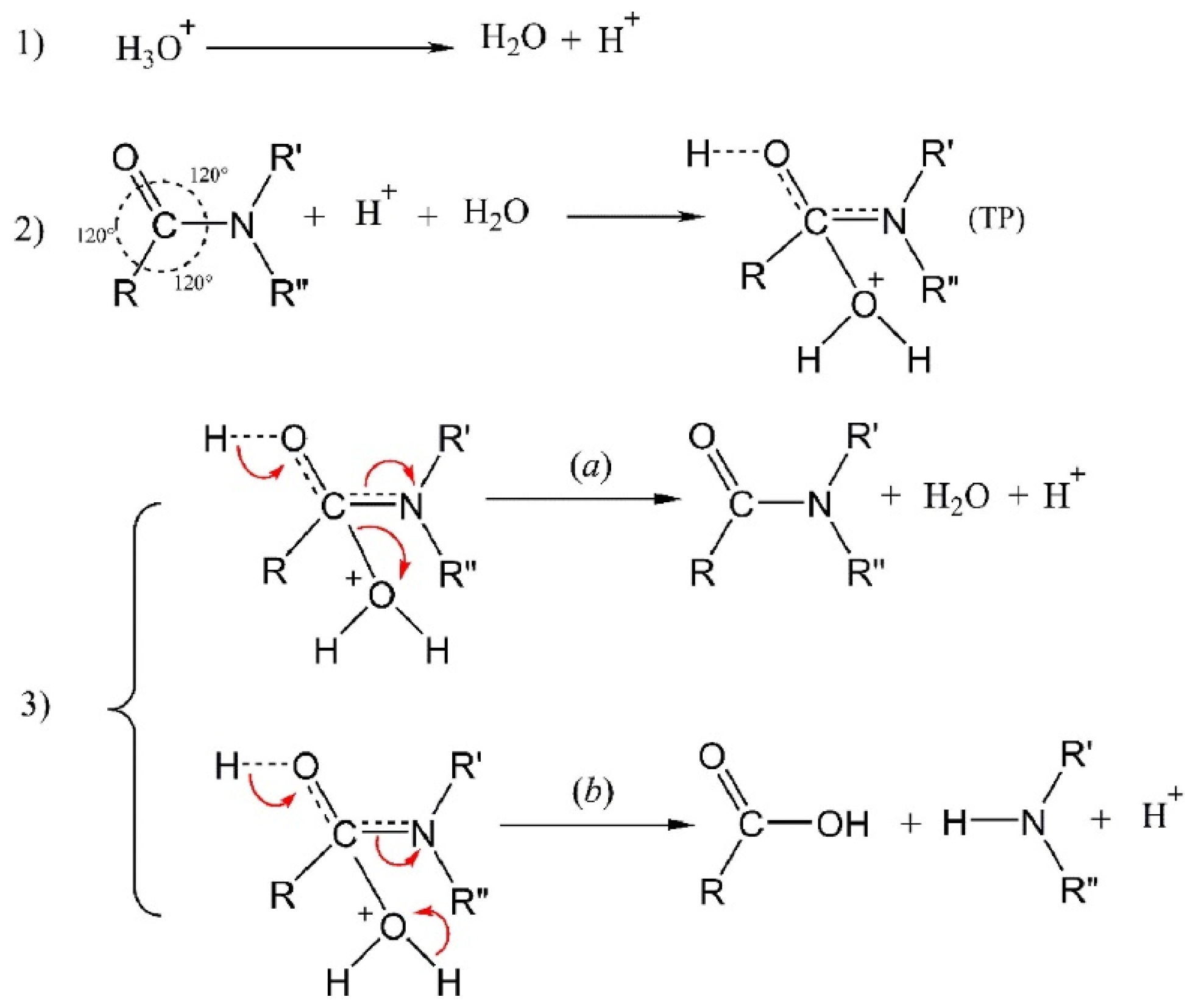
The degradation of the PA layer in acidic condition mainly depends on the stability of PA polymer network linked by amide bonds. The carbonyl group in amide bonds is susceptible to the delocalization of lone pairs of electrons, making the oxygen in the carbonyl group strongly nucleophilic [72]. As shown in Figure 1, under the acidic condition, the carbonyl group of amide in PA is much readily protonated, and nucleophiles (H2O) are more likely to attack the carbon atom of the amide bond, leading to the dissociation of the C-N bond [73]. Thus, the PA polymer network was broken, and the structure of the separation layer was partially destroyed and thereby decreased separation performance.
Figure 1.
Acidification mechanism of the polyamide separation layer [73].
For the variation of functional group of separation layer, if the amide bonds were replaced by sulfonamide groups with an angle of N–S–C of 109° compared to 120° of N–C–C in amide group, the increasing steric restriction greatly limited the attack of nucleophile (H2O) in Figure 2. The products of H+ attack to the carbon atom of amide, and the sulfur atom of sulfonamide group are different, the former is one transient HOCROH2NR’R” (Figure 1(2)), and the latter is a transient HOSROOH2NR’R’ with the resonance structures (Figure 2(2)), which is more stable than HOCROH2NR’R”. Moreover, the N-C bond breakage in Figure 1(b) is more complicated than N–S bond breakage in Figure 2(b) and forms RCOOH in Figure 1(3b) and RSO3H in Figure 2(3b), respectively. It is obvious that the acidity of sulfonic acid is much stronger than carboxylic acid and thereby weakening the degradation of sulfonamide group and indicating a relatively high stability compared to amide group [73].
Figure 2.
Mechanism of the acid catalyzed hydrolysis of sulfonamides [73].
The decline of membrane permeability during nanofiltration of acidic solution is often influenced by several factors, such as fluid viscosity and the compactness of the outer separation layer on the membrane. It is well known that the fluid viscosity and membrane permeability are inversely correlated [73], and the acidic feed liquid often showed higher viscosities than neutral fluids, leading to the lower permeate flux [74]. In addition, the hydrolyzed products, such as carboxylic acid and sulfonic acid from amide group and sulfonamide group on the separation layer, can form inter- and intramolecular hydrogen bonds with the remaining carboxyl groups, amine groups, and water on the membrane surface in an acidic aqueous solution, further impacting the separation layer structure and declining permeability of the membrane [75].
The decrease in selectivity of the NF membrane is often caused by membrane surface charge. NF membranes usually carry the negative charge in neutral and alkaline conditions and positive charge in acidic environment [76]. The type of the surface charge of the NF membrane is considered for selectivity of the membrane on the separation of different metal ions. In general, the salt rejection increases with increasing membrane surface charge, especially, and salt rejection is lowest at the isoelectric point (IEP) of the membrane. In an acidic solution, if pH is close to the IEP of the most negatively charged acid-resistant membrane, membrane surface charge will be significantly decreased while accompanied by a severe decrease in the Donnan effect [77].
In addition, note that the dissolution of part of the oligomers covered on NF membrane in an acidic environment enlarged the size of the original small pore of separation layer and therefore decreased the size screening effect of the membrane [75,78]. Hence, the acidic environment often leads to the change in porosity and reorganization of surface structure of NF membrane.
3. Regulation of Acid-Resistance of Polyamide NF in Conventional Acidic Environments
The commercial PA NF membrane with excellent separation performance, such as NF270, only claimed a stability in the pH range of 2–10 [79]. To improve its acid resistance, lots of strategies for improving the susceptibility of PA membranes to acid disintegration were reported.
Surface grafting of the PA layer is considered an efficient method to solve the disadvantage of hydrolysis of polyamide nanofiltration membranes in acidic circumstances. After interfacial polymerization on substrate membrane, the residual acyl chloride and the sulphonyl chloride groups on outer layer surface can serve as active sites to perform secondary reaction in order to fabricate various functional structures, which can efficiently regulate the physicochemical characteristics of the membrane [80]. When a suitable monomer containing acid-resistant functional group is grafted onto the surface of the outer layer, these groups can effectively control the reaction degree, especially, when they react with surface active sites to prevent from the formation of polymer network that can reduce permeability during NF separation. This grafting process constructs an acid shield that not only increases acid resistance but also enhances permeability in an acidic environment by consuming extra carboxyl groups left on the membrane surface to reduce hydrogen bonding. To further increase the membrane surface positive charge, N-(3-aminopropyl)-imidazole (ANPI) is grafted in order to further react with the unreacted acyl chloride group on trimesoyl chloride (TMC), forming covalent bonding that can ensure the stability of grafting, as shown in Figure 3 [81]. Moreover, single grafting reaction of only one functional group on ANPI effectively avoids the formation of an excess polymer network, which probably affects the membrane permeability to a minimum extent. Furthermore, the easy protonation of the imidazole groups on ANPI in an acidic aqueous solution further increases surface positive charges of the membrane, and thereby efficiently suppresses the attack of H+ ions and maintains the stability of separation layer of the membrane.
Figure 3.
Schematic diagram of the fabrication process for ANPI-grafted composite membranes [81].
Use of solvent is another crucial factor during grafting. A suitable solvent should be beneficial to the grafting reaction and the optimization of membrane surface structure, as well as the maximum of separation efficiency of the membrane [82]. Some basic demands for solvent should be considered. First, the solvent should be miscible with a variety of solvents without producing phase interfaces. Second, solvent can easily dissolve all modifiers during grafting reaction. Third, solvent can efficiently prevent the hydrolysis of the acyl chloride group. For example, the preparation of ANPI-modified polyethyleneimide-tromesoyl chloride (PEI-TMC) separation layer on polyimide (PI) substrate membrane is illustrated in Figure 3. It was clearly found that the basic separation layer was performed in organic solution, and the surface modified layer was fabricated in a polar reaction system. The resulting membrane was applied to a highly acidic wastewater with low pH for NF separation and indicated a highly separation efficiency, and the membrane permeability was improved by 56.0 ± 0.55% and rejection of >98% for Cu2+ and Ni2+ ions compared to those of unmodified PEI-TMC separation membrane, due to that functional group ANPI prevented from the attack of H+ ion to amide group ensuring a high stability of membrane after immersion in 10 wt% H2SO4 and H3PO4.
To enhance acid resistance performance and reduce “trade-off” effect, two approaches were adopted to modify the PA layer of the membrane. One is to add acid-resistant additives into the separation layer and form acid-resistant structures in the separation layer. The other is to embed or wrap acid-resistant structures in the PA separation layer to form acid erosion barriers and sacrificial layers. For example, hydrophilic SiO2 nanoparticles (HGPN-SiO2) were dispersed in the aqueous solution of piperazine (PIP) and were incorporated into the PA layer to prepare acid-resistant PA NF membrane with HGPN-SiO2 by interfacial polymerization with TMC on polysulfone (PSf) ultrafiltration (UF) substrate membranes [83]. The -OH of silanol group of HGPN-SiO2 nanoparticles will be protonated/hydrated under the acidic conditions, which can effectively mitigate the dissociation of the amide bond and improve the acid resistance of the membrane. The resulting membrane indicated a flux of 13.75 L·m−2·h−1·bar−1 and Na2SO4 rejection of 97% in a strong acidic environment (pH < 2), but a prolonged acid leaching also can lead to partial leaching of nanoparticles and thereby weaken the membrane performance [84].
Similarly, the graphene oxide (GO)-embedded PSf-based substrate was respectively treated with m-phenylenediamine (MPD) and TMC to form a PA reverse osmosis (RO) membrane. Owing to the barrier effect of the GO and hydrogen bonding between GO and PA, such membrane indicated high flux (enhanced by 80%), anti-biofouling (enhanced by 98%), and chlorine resistance [85]. Note that when graphene oxide nanosheets (GONs) were integrated into the PSf-based PIP-TFC NF membrane [86], the encapsulation of GONs in PA layer resulted in the formation of ridge and protrusion clusters in the separation layer. The blockage effect of GONs and the sacrificial effect of the prominent PA layer greatly improved the acid resistance of the membrane, and the hydrogen bonds between GON and PA reduced the acidic reaction sites. Water flux of approximately 3.3 L·m−2·h−1·bar−1 and MgSO4 rejection of more than 95% were still preserved after seven days of immersion in 50% H2SO4 solution, revealing a high stability and a high separation efficiency of the membrane in a highly acidic environment. When GONs were replaced by the oxidized single-walled carbon nanotubes (o-SWNTs) to fabricate the o-SWNTs-PA-PSf NF membrane, due to the rod-like morphology of o-SWNTs, the membrane only showed a small effect on the acid resistance, suggesting a poor barrier effect of o-SWNTs [86].
It is well known that the surface of the PA NF or RO membranes can be treated with a strong polar solvent to promote the acid resistance of the PA membrane. In addition to enhancing acid stability of the membrane by selecting different monomers and integrating nanocomposite, strong polar aprotic solvents can partially dissolve, swell, distort, and loosen the dense separation layer by dissolving low molecular polymers to reduce the formation of hydrogen bonds on the surface and change pore shape or size of the membrane and, therefore, enhance permeate flux [87]. The interfacial polymerization of MPD with TMC on plasma-modified polyethylene (PE) membranes formed PE-supported PA TFC RO membrane (PE-PA-TFC-RO), which was treated with a polar aprotic solvent, such as dimethyl sulfoxide (DMSO), dimethylformamide (DMF), and N-methyl-2-pyrrolidone (NMP), to obtain acid-resistant PE-TFC-NF membrane [88]. It is obvious that strong polar solvent on PE-TFC-RO membrane surface not only maintained the salt retention, but also significantly improved the membrane permeability and acid resistance. As expected, polar aprotic solvent-conducted PE-TFC-NF membrane showed a high separation performance with water flux of 14.5 L·m−2·h−1·bar−1 and a NaCl rejection of 85.1%. Especially, the flux and retention did not show any significant decline after four weeks of immersion in a 15 wt% H2SO4 aqueous solution, confirming high acid resistance and excellent polar solvation effect. In addition, note that the different monomers act as different roles in PA structures, for example, MPD can form a dense and full-aromatic PA layer for RO membrane, and PIP can create a less dense and semi-aromatic amine PA network for NF membrane [89].
Moreover, to increase the acid resistance of polyamide NF, it is very pivotal and significant to manipulate the structure of reactive monomers, as well as to effectively utilize the chemical–mechanical stability and special functional groups of monomer, avoid/prevent from the reaction of monomer with acyl chloride to form carbonyl group easily hydrolyzed, and increase a relatively stable and acid-resistant polyamide-sulfonamide mixed structure. The expected acid-resistant subunit structure can be pre-aminated or grafted by means of organic synthesis to prepare a water-soluble monomer with acid-resistant property. This approach can efficiently keep away from the occurrence of disadvantages, such as low activity and easy hydrolysis of cyanuric chloride (CC) and sulfonyl chloride. Hence, after the interfacial polymerization reaction of pre-optimized acid-resistant monomers with TMC, the prepared NF membrane not only exhibits good acid resistance but also possesses a high separation performance. For example, PIP was first grafted onto CC by organic reaction to form a water-soluble monomer 1,3,5-(tris-piperazine)-triazine (TPT). Highly active TPT monomer readily reacted with TMC on the PSf UF membrane through the interfacial polymerization process to form a well defined film TPT-TMC/PSf [90]. TPT monomer increased the degree of membrane crosslinking and reduced defects of separation layer, and the steric hindrance effect of bulky groups effectively reduced the thickness of the separation layer and improved permeability. The triazine ring structure in the membrane weakened the effect of nucleophilic attack. After being immersed in 0.05 M H2SO4 aqueous solution for 720 h, the resulting TPT-TMC/PSf membrane achieved a flux of 8.68 L·m−2·h−1·bar−1, and the MgSO4 rejection of about > 94.2% was still maintained.
The reaction of 3-aminobenzenesulfonamide (ABSA) and TMC on polyethersulfone (PES) ultrafiltration membrane formed a poly(amide-sulfonamide) (PASA-PES) NF membrane with strong acid resistance through a surface activation assisted multi-step interfacial polymerization process [91]. The interfacial polymerization of the ABSA containing the sulfonamide with TMC avoids the shortcomings of easy hydrolysis and low reactivity of the sulfonyl chloride group. The resulting NF indicated a high water flux about 12.4 L·m−2·h−1·bar−1 and a Na2SO4 rejection about > 95.0%, as well as a relatively high stability and an excellent antifouling performance, even after being immersed in 20 wt% H2SO4 aqueous solution for 30 days, due to the acid-resistant, stable and highly hydrophilic polyamide-sulphonamide structure existed in the separation layer.
Although the modification of PA layer can effectively improve the acid resistance ability of the membrane, the long-term consecutive runs would inevitably lead to the breakage of the separation layer or the deterioration of separation performance of the membrane. An alternative strategy is to mix aqueous-phase or organic-phase monomers together to create a mixed separation layer structure through interfacial polymerization. The complementary properties between different monomers can not only regulate the separation performance, but also improve acid resistance. For instance, an acid-resistant reactive monomer was added into an amine-containing monomer aqueous solution or acid-resistant sulfonyl chloride or isocyanate monomer into acyl chloride organic phase monomer to form mixed structured acid-resistant layers through interfacial polymerization, such as polyamide-polysulfonamide-polyester- [92], polyamide-polyurea- [93], or polyamide-polysulfonamide- [73] based TFC NF membranes. These membranes containing polysulfonamide and polyuria in the separation layer have excellent acid stability and high permeability compared to single polysulfonamide-based or polyuria-based acid-resistant TFC NF membranes.
Two kinds of diamines (PIP, MPD) on the PES support layer reacted with benzenedisulfonyl chloride (BDSC) and TMC afforded polysulphonamide (PSA) and polyamide-sulphonamide (PASA) TFC NF membranes (PIP/MPD-PSA-TFC NF, PIP/MPD-PASA-TFC NF), respectively [73]. Acid resistance and the separation performance tests showed that the acid resistances of PSA-based and PASA-based membranes were significantly better than that of PA membranes. PIP-based acid-resistant membranes and PASA membranes were slightly less acid-resistant than PSA, while MPD-based acid-resistant PASA membranes showed more acid-resistant than PSA due to the low crosslinking degree of MPD with BDSC compared to that of PIP with BDSC. In addition, the acid stability of PIP-PSA-TFC NF membranes was higher than that of MPD-PSA-TFC NF, probably attributable to the fact that the nitrogen atom of PIP was directly attached to the aliphatic ring, showing a steric hindrance effect for protonation attack, and the reaction of active PIP and BDCS formed the highly cross-linking polymeric structure. When PSf membrane was used as the support layer, an aqueous mixture of PIP, sulfonated melamine formaldehyde (SMF), and sulfonamide (SA) reacted with TMC formed an acid-resistant polyamide-polysulphonamide-polyester NF membrane by the interfacial polymerization process [92]. SMF exhibited high chemical stability and mechanical strength due to its triazine ring-conjugated structure [94], and SA also showed high chemical stability attributed to the presence of a sulfonamide group and the conjugation effect of the benzene ring [92,95]. The pure water flux of PIP1-SMF0.3-SA0.05 membrane was 6.78 L·m−2·h−1·bar−1 with a retention of 96% for divalent ions, and the retention remained above 90% after being immersed in 15 wt% H2SO4 for 30 days. Subsequently, Park et al. [93] prepared polyamide-polyurea acid-resistant NF membrane through interfacial polymerization of linear ethylenediamine (EDA) with mixed organic monomers of toluene diisocyanate (TDI) and TMC [93]. The polyurea structure showed a good acid resistance and 98% of rejection for MgSO4 aqueous solution containing 15 wt% H2SO4 and a flux of 5.1 L·m−2·h−1·bar−1. Note that such membrane still remained a high rejection >97% for MgSO4 after the membrane was immersed in 15 wt% H2SO4 aqueous solution for 83 days, suggesting high acid resistance and high stability of the membrane.
Very recently, Cao et al. [96] reported the preparation of a dually charged polyurethane-poly(sulfonamide) separation layer on PES UF support membrane via two-step layer-by-layer (LBL) reverse interfacial polymerization (r-IP) process, as shown in Figure 4. The r-IP process could optimize the charge distribution of the separation layer, which is promising to weaken the charge neutralization effect, further increasing the permeability and optimizing the charge distribution of the dually charged layer [97,98]. First, a negatively charged hybrid intermediate layer of PASA and polyurea (PU) as (PASA/PU)− stemmed from the r-IP reaction of ABSA with TMC and 1,4-phenylene diisocyanate (PPDI), respectively. The positively charged top layer was fabricated by immersing (PASA/PU)− membrane in an organic phase of TMC and PPDI again, then in PEI aqueous solution to ensure reaction of TMC and PPDI affording PA and PU layer (PA/PU)+, respectively. The resultant dually charged membrane was denoted as D-(PASA/PU)−-(PA/PU)+. In this process, the secondary interfacial polymerization resulted in a Janus membrane with a dual charge separation layer, which achieved more than 93.0% of retention for both Na2SO4 and MgCl2. The stable polyamide sulfonamide and PU units in the separation layer enabled such membrane to show an excellent long-term acid-resistant stability in 10 wt% H2SO4 aqueous solution, providing a new approach for preparing acid-resistant NF membrane with high separation efficiency. As a comparison, current strategies on improving the acid-resistant performance of the PA NF membranes have been summarized in Table 1.
Figure 4.
Diagram of (a) the fabrication process of the dually charged membrane via r-IP method and (b) the separation layer structure and separation mechanism [96].
Table 1.
Regulation method and acid stability of PA NF membranes.
4. Preparation and Regulation of Acid-Resistant NF Membrane Applied in Extreme Acid Environment
To completely solve the problem of hydrolysis of NF membranes dominated by polyamide-based materials in the extremely acidic environment, researchers have developed a series of acid-resistant membranes, such as polysulfonamide, triazine polyamine, and polyurea membranes, and so on. Such acid-resistant membranes showed high stability in strong acidic environments and could treat acidic feed liquids as well. Unfortunately, the separation performance of acid-resistant membranes was often unsatisfied [70]. The majority of them still stay in laboratory stage, and further manipulation is needed to be carried out in order to improve the separation performance.
The aforementioned PSA-based TFC NF membranes are relatively stable compared to PA-based membranes. Thei degradation process is similar to that of polyamide membrane and is also realized through a series of protonation and nucleophile attack on sulfonamide bonds in Figure 2 [73]. The separation layer formed by interfacial polymerization of amine monomers with sulfonyl chloride also has good acid resistance and thereby inhibits hydrolysis and keeps a high stability due to the stable sulfonamide groups. If rigid conjugated phenyl PSA chains are integrated into the structure of the separation layer, PSA-based TFC NF membranes will become more stable in the extreme acidic environment. In addition, hydrolysis of the sulfonamide group occurs only at extremely low pH and high temperatures. However, the present acid-resistant polysulfonamide membranes generally exhibited unsatisfied separation performance. The main reason is that the organic monomers containing sulfonyl chloride group tend to have relatively higher molecular weight, lower diffusion coefficient, and reactivity than that bearing acyl chloride groups [99], which are easy to form a relatively loose separation layer with larger pore size [100]. To improve the selectivity of the membrane, the thickness of separation layer is increased. As a result, the permeability significantly decreased, exhibiting the typical trade-off effect. For example, Eslami et al. prepared polysulfonamide membranes by interfacial polymerization of PEI, PIP, MPD, and BDSC [101]. For such a membrane, the highest flux was only 4.4 L·m−2·h−1·bar−1, while the rejection for salt solution was almost zero. This means that the separation performance of the membrane is necessary to be improved by changing the structure and composition of the membrane.
Using amine-rich macromolecular polymers, such as polyallylamine (PAH) or polyethyleneimine (PEI) as the aqueous monomers, will be useful to improve membrane permselectivity. In fact, the interfacial polymerization is regulated by the diffusion of organic phase into the aqueous phase. The monomer with higher molecular weight would lead to greater steric hindrance and lower diffusion rate, resulting in the fact that the interfacial polymerization just occurs on the side closest to the aqueous phase [102]. The reaction on the side of aqueous phase usually results in an increased membrane thickness. Therefore, it is necessary to use an appropriate concentration of aqueous phase monomer to reduce the diffusion rate of aqueous phase and improve the dispersion uniformity of aqueous phase, while the diffusion process of the organic phase is used to modify defects and reduce thickness. Moreover, the rich amine groups in the polymer chain can improve the positively charge capacity of the membrane surface and increase the selectivity of the NF membrane for metal ions. Wang et al. prepared positively charged and acid-resistant PSA TFC NF membrane by interfacial polymerization of macromolecular PAH and BDSC on the PES support layer [99]. By properly adjusting the concentration, the prepared membrane had more positive charges and a denser structure compared to the conventional PSA membranes. The water flux of the membrane was 6.82 L·m−2·h−1·bar−1, and the rejection rate was 88.3% for MgCl2 after being soaked in 20% (wt/v) H2SO4 aqueous solution for 30 days.
To improve the crosslinking degree of interfacial polymerization reaction, 1,3,6-naphthalenetrisulphonyl chloride (NTSC) was used to replace BDSC. NTSC containing more sulfonyl chloride groups showed higher reactivity, which could increase the crosslinking degree of the separation layer and make it much dense. The dense interfacial layer can also reduce thickness and improve the separation performance of the acid-resistant membrane. Liu et al. synthesized the NTSC monomer by the reaction of sodium 1,3,6-naphthalene trisulfonate and thionyl chloride in N,N-dimethylformamide (DMF) [103]. The interfacial polymerization reaction of NTSC and PIP on PSf support layer afforded an acid-resistant PIP-NTSC TFC NF membrane [103]. Such a NF membrane showed a water flux of 5.8 L·m−2·h−1·bar−1, with more than 86.5% of rejection for Na2SO4. Note that the separation performance did not show any significant decline after being soaked in 20% (wt/v) H2SO4 aqueous solution for two months or consecutively run in 4.9% (wt/v) H2SO4 aqueous solution for 60 days, indicating a good permselectivity and long-term stability, implying a promising application in treating acidic effluents from metal industries.
Furthermore, manipulation on interface polymerization process can also be used to improve the membrane separation performance. For example, cross-linking agents or surfactants were pre-coated on the support membrane or added into the aqueous phase [104,105]. This could not only improve the distribution of monomers on the support layer, but also regulate the diffusion process of monomers, thereby improving the separation performance [103,106]. Pre-preparing porous interlayer polymers, such as covalent organic frameworks (COF) and sulfonated poly(ether-ether-ketone) (SPEEK) on the surface of the support layer, can improve monomer distribution and provide water flow channels, thereby improving permeability and selectivity [107,108]. Adding COF or other nanoporous materials to the separation layer can increase the membrane flux and the surface charge [109,110,111], thereby significantly improving the separation performance [112]. It is also possible to use a technique, which is similar to the LBL assembly method [113] or multilayer interfacial polymerization, to reduce the separation layer defects and increase the membrane density, leading to the significantly improved permeability [114,115]. To compare the improvement of the separation performance of PSA NF membranes via current efficient regulation approaches, a detailed content is listed in Table 2.
Table 2.
Regulation method and acid stability of PSA NF membranes.
Cyanuric chloride is regarded as a good monomer with high acid stability. It reacted with amine monomer to form triazine polyamine membrane, which showed a high acid-resistant ability. The reasons are attributed to (1) the absence of carbonyl group in amine group of the separation layer structure that is prone to protonation and nucleophilic attack compared to the amide group [116] and (2) the single and double bonds of the carbon and nitrogen atoms of the triazine ring are arranged alternately to form a stable acid-resistant conjugated structure [90], which makes the separation layer have good acid resistance. However, the separation performance of the triazine polyamine-based membrane is also not well satisfied, mainly because the three chlorines from cyanuric chloride of the triazine ring have different reactivities [117]. The first chlorine has a high reactivity [118], while the substitution of the second and third chlorine in CC gradually becomes difficult. Such stage reactivity of chlorine substitution makes it less possible for diamine monomers with smaller molecules, such as PIP and MPD, to react with CC to form continuous and compact polymers with higher molecular weight. Other monomers, such as diethylene triamine (DETA), tetraethylene pentamine (TEPA), or PEI, which contain three or more amine groups, were used to react with CC via interfacial polymerization to obtain the membrane with good selectivity [69]. Note that the reaction of CC and aqueous monomer often occurs under a high concentration, high temperature, and long time, thereby usually leading to a relatively thick separation layer. Because PEI with high concentration is prone to permeate into the pore of the support layer, this results in a serious pore blockage or reduction of pore diameter, thus reducing the permeability of membrane. The interfacial polymerization of PEI and CC (Figure 5) on the hydrophilic PES UF membranes afforded acid-resistant polyamine membranes with the NaCl rejection of about 65% and a pure water flux of only 2.7 L·m−2·h−1·bar−1 [116]. Therefore, it is necessary to use some strategies to prevent the aqueous phase monomer from penetrating too deeply into the support layer, which include fine-tuning the concentration of reactants, regulating the reaction time, or introducing interlayer layer.
Figure 5.
The polymerization reaction between CC and PEI [69].
By finely regulating the concentration of the organic phase or decreasing temperature to alleviate the reaction rate, the separation performance of the polyamine membrane can be improved [119]. Yu et al. prepared a Janus acid-resistant nanofiltration membrane with opposite surface charge separation layer by using interfacial polymerization of PEI and low concentration of CC on PES UF substrate, and curing treatment was used to enhance crosslinking degree [120]. This approach, named the low concentration and curing treatment (LC-CT) method, resulted in a looser selective layer with more unreacted amine groups on the flip side of the membrane, as well as the formation of a less defective layer. The resultant TFC NF membrane showed the flux of 5.2 L·m−2·h−1·bar−1, along with 92.3% of rejection for MgCl2 and 71.7% for Na2SO4, suggesting that such a Janus NF membrane prepared via the LC-CT method can effectively improve the separation performance and acid stability compared to the commercial PA membrane NFM-1 and the commercial acid-resistant membranes NFM-1 and NFM-2.
Ionic liquids (ILs) have been used in the membrane post-treatment process to improve membrane performance [121,122]. The regulation of the interfacial diffusion process is performed mainly by utilizing the orderly directional arrangement of ILs at the water–oil interface, controlling the orderly diffusion of water-phase monomers to the interface and effectively manipulating the interfacial polymerization process. This approach can efficiently construct a highly ordered separation layer and improve the permeance of the acid-resistance membrane. Bai et al. [123] employed ILs, 1-aminopropyl-3-methylimidazolium chloride, and 1-aminopropyl-3-methylimidazolium bis((trifluoromethyl)sulfonylimide to regulate the interfacial polymerization reaction of PEI and CC on the PSf UF support membrane for preparing a polyamine acid-resistant NF membrane with a highly ordered separation layer. Such a membrane showed a high selectivity, with 98.2% of rejection for Y3+ and good acid stability. Meanwhile, the permeability was significantly improved, reaching 71.2 L·m−2·h−1·bar−1.
Yu et al. prepared a dual-charge polyamine acid resistant NF membrane (ARNFM) by interfacial polymerization of PEI with low concentration CC on the surface of PES UF membrane, followed by the post-treatment of citric acid (CA) to improve the permeation performance and acid resistance [124]. Treatment of dense nanofiltration membranes with weakly acidic or alkaline reagents, such as CA, removed small oligomers and readjusted the membrane pores by reacting with surface active groups, thereby significantly improving permeation performance while maintaining selectivity [125,126]. For example, the ARNFM flux after CA treatment was enhanced 7.1 times to 2.3 L·m−2·h−1·bar−1, and the rejection was 97.6% for MgCl2 and 90.8% for MgSO4 [124].
Moreover, the separation performance of the membrane can also be improved by controlling the interfacial polymerization process on the support layer. For example, sodium dodecyl sulfate (SDS) adsorbed onto the surface of PES support layer can effectively change the electrostatic interaction between the aqueous phase and the support layer, further reduce the migration rate of the monomer, improve the uniformity of the distribution of the monomer, reduce the interfacial tension between the water and oil phases [127], reduce pore plugging and the defects of the separation layer defects, and thereby promote the separation performance [128]. This result also confirms that it is better to use SDS solution to activate the surface of PES support than adding it into the aqueous solution [128,129]. In addition, hydrophilic additives added to the aqueous phase can also improve the permeability by increasing the surface roughness and hydrophilicity of the separation layer [130,131]. As a comparison, a list of the improvement of the separation performance of triazine polyamine NF membranes via current efficient regulation approaches is shown in Table 3.
Table 3.
Regulation method and acid stability of triazine polyamine NF membranes.
Polyurea (PU) is an acid-resistant and mechanical strength material, which is often obtained through interfacial polymerization of amine monomers and isocyanate monomers. PU bonds with resonance structures have a higher degree of hydrogen bonding [132], which increases the energy barrier of C–N breakage in an acid environment. Hence, the urea linkages, being resistant to hydrolysis, bestow polyurea with excellent resistance to alkali and acid [133]. Polyurea membranes were first prepared as reverse osmosis membranes with a high density and poor permeability [134]. As a result, PU-based NF/UF membranes were almost neglected, especially in the field of NF separation of acid solution. Herein, a sample is showed. Zhang et al. used a series of isocyanate-based organic compound monomers, such as 1,4-phenylene diisocyanate (PDI), toluene diisocyanate (TDI), diphenylmethane diisocyanate (MDI), and hexamethylene diisocyanate (HDI), to react with PEI, PIP to form polyurea NF membranes via the interfacial polymerization on the PES support layer (Figure 6) [135]. It indicated that PDI as the organic monomer exhibited a high reactivity. By optimizing the type and content of PDI monomer, the obtained PEI−0.1/PDI−0.2 TFC UF membrane indicated a rejection of 97.1% for MgSO4 and a water flux of 0.65 L m−2 h−-1·bar−1. Hydrogen bonds existing in urea groups in the PEI/PDI functional layer are beneficial for improving the permeation performance of the membranes. The results of static acid/alkali soaking tests corroborated that the increase in PDI content can not only enhance the degree of crosslinking, but also introduce more rigid and stable benzene rings in the PU layer, thereby promoting the stability of the TFC membrane in extreme pH conditions. Especially, after exposure to 20% (wt/v) HCl, 20% (wt/v) H2SO4, and 20% (wt/v) NaOH aqueous solution for one year, the PEI-0.4/PDI−0.25 membrane still preserved more than 90% of rejection for MgSO4, revealing excellent acid/alkali-resistant ability and high stability for treating acidic and alkaline industrial wastewater.
Figure 6.
Reaction scheme for the TFC membrane preparation: representative polymer structure of functional layer [135].
Additionally, the integration of nanostructured materials is also used as an effective strategy to promote the permeation flux of NF because some two-dimensional layered nanofillers with ultra-high specific surface area and unique interlamellar spacing can provide more water channels [136,137,138]. Feng et al. dispersed molybdenum disulfide (MoS2) nanosheets into aqueous solution of polyethyleneimine (PEI) by virtue of the adhesion effect of tannic acid (TA). Additionally, the positively charged polyurea NF membranes (TSPU) were prepared by interfacial polymerization of aqueous phase PEI/TA-MoS2 and TDI organic phase on the polyvinylidene fluoride (PVDF) UF [139]. The optimized membrane TSPU-0.015 showed a better hydrophilicity performance and a retention performance of more than 99% for high-valence heavy metal ions, such as Fe3+ and Cu2+, and the permeation flux of TSPU-0.015 is 5.75 L·m−2·h−1·bar−1 for MgSO4 aqueous solution, 2.88 times higher than that of undoped MoS2 (TSPU-0), while a considerable the rejection rate of 93.18% for MgSO4 is reached. Probably, such nanostructured material-integrated NF membranes should be further investigated in acid-stability and separation performance in acidic environments.
Hence, due to a high crosslinking degree and strong acid-/alkali resistance, as well as high mechanical strength in separation layer, PU membranes need to be widely investigated and probably provide a promising candidate for the application in the separation of extreme acid or alkali wastewater industry. To compare the improvement of the separation performance of PU NF membranes via current efficient regulation approaches, a list is shown in Table 4.
Table 4.
Regulation method and acid stability of PU NF membranes.
In addition to polymeric nanofiltration membranes, which are typically manufactured via interfacial polymerization, another large class of nanofiltration membrane systems are ceramic membranes [140]. In terms of layer structure (with separation, transition, and support layers), ceramic membranes are similar to polymer membranes [141,142] and have similar separation mechanism (with size sieving and the Donnan effect) [143]. However, most ceramic membranes have a larger pore size and molecular weight cutoff (MWCO) [144]. Ceramic NF also showed good performance in the treatment of printing and dyeing wastewater (removal of dyes and separation of salts) [145,146,147]. Moreover, many studies have shown that ceramic NFs perform were worse than polymeric NFs in terms of salt rejection [144,148]. However, ceramic membranes offer better operational stability, high temperature stability, and cleaning stability [149]. In extreme application circumstances, ceramic membranes typically exhibit good solvent stability [150,151]. However, most ceramic membranes are limited by the substrate material (γ-Al2O3) and have a pH tolerance range of 2–11, showing slightly better acid resistance than PA membranes. Ceramic membrane materials with excellent acid resistance, such as TiO2 [70] and SiOC [152], are generally more expensive [153]. Current research on the scaling up of ceramic membranes for applications is incomplete and needs to be further explored [154].
5. Conclusions
In this review, the improvement and innovation of acid-resistant NF membranes by regulating composition and structure of the separation layer are summarized. At the beginning of this review, the main issues encountered by the traditional NF membranes in an acidic environment during separation process are stated, such as poor acid resistance, low separation performance, and low stability, as well as a remarkable ‘‘trade-off’’ effect. To solve these disadvantages, some crucial strategies are elucidated through changing the structure of separation layer, using acid-resistant functional monomers, filling with inorganic or organic additives to adjust the composition and porosity of separation layer, manipulating the interfacial polymerization process by controlling diffusion of monomers, and so on. Although these strategies greatly improved the separation performance of the membrane in an acidic environment and made great progress, the NF membranes still have some unsolved problems in practical application.
6. Challenges and Perspectives
From a theoretical point of view, the crosslinking degree, thickness, chemical structure, and surface property of the separation layer directly affect acid resistance and separation performance of the acid-resistant NF membrane. All these parameters are deeply influenced by the interfacial polymerization that occurred under different conditions. In fact, the interfacial polymerization is rapid and sensitive to synthetic condition, and it is very difficult to be characterized, especially as a precise process of the formation of the separation layer, thereby making it difficult to study the corresponding relationship between the performance and structure of the separation layer. Moreover, the ‘‘trade-off’’ effect between performance and acid resistance on a certain extent might be solved by sacrificing partial acid resistance to achieve improved separation performance. How to prepare a high acid-resistant NF membrane with high separation performance is still a tremendous challenge and needs to be explored in the future.
From the perspective of application, it is still very difficult to prepare large-scale defect-free acid-resistant NF membranes through the interfacial polymerization. Moreover, the repeatability of the preparation of the membrane is also not very good because the complication of the interfacial polymerization reaction is not so conducive to large-scale production in industry. In addition, how to improve the acid-resistant stability, pressure-bearing stability, and cycling stability of acid-resistant NF membranes have also become issues that need further investigation and exploration.
Moreover, the ways to evaluate and regulate the acid-resistant NF membranes need to be further explored. They may include these aspects: (i) the acid resistance of the membranes was currently evaluated using statically acid soak method, while the separation performance is often reported using a neutral feed solution instead of an acidic solution. Especially, for a negatively charged NF membrane, the discrepancies of separation performance are very remarkable compared to an actual feed liquid. (ii) Novel acid-resistant monomers are very significant for improving the reactivity, obtaining moderately dense separation layers, and effectively tuning pore size. Hence, the exploration and synthesis of new monomers containing multifunctional groups are very crucial for developing new acid-resistant membrane materials with excellent separation performance. (iii) The construction of the ordered structure of separation layer is a pivotal topic. The effective control of the ionic liquids to interface reveals the importance of the ordered separation layer structure for alleviating the “trade-off” effect. (iv) Investigations on the structure–activity relationship of the acid-resistant separation layer need to be further reinforced through microscopic characterization and theoretical simulation calculation, revealing how the additives and the interfacial polymerization conditions affect the diffusion and reaction of monomers and the formation of separation layer structure. Finally, (v) although double oppositely charged Janus NF membranes possess a good selectivity for both anions and actions, the synthetic condition of such membrane is relatively strict compared to those of other membranes. How to use a facile and effective approach to fabricate an acid-resistant NF membrane with double oppositely charged separation layer needs to be further explored in detail.
Author Contributions
Writing―original draft preparation, formal analysis, M.L.; Validation, W.Z.; Investigation, M.L. and X.Z.; Conceptualization, writing―review and editing, supervision, project administration, and funding acquisition, H.G. and Y.L. All authors have read and agreed to the published version of the manuscript.
Funding
This work was financially supported by the National Natural Science Foundation of China (22178007, 21878003) and the Seed Foundation Project of International Cooperation from Beijing University of Technology (2021-A11).
Institutional Review Board Statement
Not applicable.
Informed Consent Statement
Not applicable.
Data Availability Statement
Not applicable.
Conflicts of Interest
The authors declare no conflict of interest.
References
- Reid, C.E.; Breton, E.J. Water and Ion Flow across Cellulosic Membranes. J. Appl. Polym. Sci. 1959, 1, 133–143. [Google Scholar] [CrossRef]
- Petersen, R.J. Composite Reverse Osmosis and Nanofiltration Membranes. J. Membr. Sci. 1993, 83, 81–150. [Google Scholar] [CrossRef]
- Feng, X.; Peng, D.; Zhu, J.; Wang, Y.; Zhang, Y. Recent Advances of Loose Nanofiltration Membranes for Dye/Salt Separation. Sep. Purif. Technol. 2022, 285, 120228. [Google Scholar] [CrossRef]
- Xu, S.; He, R.; Dong, C.; Sun, N.; Zhao, S.; He, H.; Yu, H.; Zhang, Y.-B.; He, T. Acid Stable Layer-by-Layer Nanofiltration Membranes for Phosphoric Acid Purification. J. Membr. Sci. 2022, 644, 120090. [Google Scholar] [CrossRef]
- Machado, M.T.C.; Trevisan, S.; Pimentel-Souza, J.D.R.; Pastore, G.M.; Hubinger, M.D. Clarification and Concentration of Oligosaccharides from Artichoke Extract by a Sequential Process with Microfiltration and Nanofiltration Membranes. J. Food Eng. 2016, 180, 120–128. [Google Scholar] [CrossRef]
- Suhalim, N.S.; Kasim, N.; Mahmoudi, E.; Shamsudin, I.J.; Mohammad, A.W.; Mohamed Zuki, F.; Jamari, N.L.-A. Rejection Mechanism of Ionic Solute Removal by Nanofiltration Membranes: An Overview. Nanomaterials 2022, 12, 437. [Google Scholar] [CrossRef]
- Zhang, Z.; Fan, K.; Liu, Y.; Xia, S. A Review on Polyester and Polyester-Amide Thin Film Composite Nanofiltration Membranes: Synthesis, Characteristics and Applications. Sci. Total Environ. 2023, 858, 159922. [Google Scholar] [CrossRef]
- Mirza, S. Reduction of Energy Consumption in Process Plants Using Nanofiltration and Reverse Osmosis. Desalination 2008, 224, 132–142. [Google Scholar] [CrossRef]
- Mallakpour, S.; Azadi, E. Nanofiltration Membranes for Food and Pharmaceutical Industries. Emergent Mater. 2021, 5, 1329–1343. [Google Scholar] [CrossRef]
- Cao, Y.; Chen, G.; Wan, Y.; Luo, J. Nanofiltration Membrane for Bio-separation: Process-oriented Materials Innovation. Eng. Life Sci. 2021, 21, 405–416. [Google Scholar] [CrossRef]
- Suo, Y.; Ren, Y. Research on the Mechanism of Nanofiltration Membrane Fouling in Zero Discharge Process of High Salty Wastewater from Coal Chemical Industry. Chem. Eng. Sci. 2021, 245, 116810. [Google Scholar] [CrossRef]
- Zimmermann, Y.-S.; Niewersch, C.; Lenz, M.; Kül, Z.Z.; Corvini, P.F.-X.; Schäffer, A.; Wintgens, T. Recycling of Indium From CIGS Photovoltaic Cells: Potential of Combining Acid-Resistant Nanofiltration with Liquid–Liquid Extraction. Environ. Sci. Technol. 2014, 48, 13412–13418. [Google Scholar] [CrossRef] [PubMed]
- Darvishmanesh, S.; Robberecht, T.; Luis, P.; Degrève, J.; Van der Bruggen, B. Performance of Nanofiltration Membranes for Solvent Purification in the Oil Industry. J. Am. Oil Chem. Soc. 2011, 88, 1255–1261. [Google Scholar] [CrossRef]
- Cheng, X.; Lai, C.; Zhu, X.; Shao, S.; Xu, J.; Zhang, F.; Song, J.; Wu, D.; Liang, H.; Luo, X. Tailored Ultra-Low Pressure Nanofiltration Membranes for Advanced Drinking Water Treatment. Desalination 2023, 548, 116264. [Google Scholar] [CrossRef]
- Sharma, V.; Borkute, G.; Gumfekar, S.P. Biomimetic Nanofiltration Membranes: Critical Review of Materials, Structures, and Applications to Water Purification. Chem. Eng. J. 2022, 433, 133823. [Google Scholar] [CrossRef]
- Werber, J.R.; Osuji, C.O.; Elimelech, M. Materials for Next-Generation Desalination and Water Purification Membranes. Nat. Rev. Mater. 2016, 1, 16018. [Google Scholar] [CrossRef]
- Wadekar, S.S.; Hayes, T.; Lokare, O.R.; Mittal, D.; Vidic, R.D. Laboratory and Pilot-Scale Nanofiltration Treatment of Abandoned Mine Drainage for the Recovery of Products Suitable for Industrial Reuse. Ind. Eng. Chem. Res. 2017, 56, 7355–7364. [Google Scholar] [CrossRef]
- Zhang, C.; Zhang, W.; Wang, Y. Diffusion Dialysis for Acid Recovery from Acidic Waste Solutions: Anion Exchange Membranes and Technology Integration. Membranes 2020, 10, 169. [Google Scholar] [CrossRef] [PubMed]
- Wang, P.; Dong, F.; He, D.; Liu, S.; Chen, N.; Huo, T. Organic Acid Mediated Photoelectrochemical Reduction of U(vi) to U(Iv) in Waste Water: Electrochemical Parameters and Spectroscopy. RSC Adv. 2021, 11, 23241–23248. [Google Scholar] [CrossRef]
- Naidu, G.; Ryu, S.; Thiruvenkatachari, R.; Choi, Y.; Jeong, S.; Vigneswaran, S. A Critical Review on Remediation, Reuse, and Resource Recovery from Acid Mine Drainage. Environ. Pollut. 2019, 247, 1110–1124. [Google Scholar] [CrossRef]
- San Román, M.F.; Ortiz Gándara, I.; Ibañez, R.; Ortiz, I. Hybrid Membrane Process for the Recovery of Major Components (Zinc, Iron and HCl) from Spent Pickling Effluents. J. Membr. Sci. 2012, 415–416, 616–623. [Google Scholar] [CrossRef]
- Yin, C.; Yu, S.; An, B.; Lou, Z.; Huang, S.; Yuan, H.; Zhu, N. Fluorine Recovery from Etching Wastewater through CaF2-Based near-Infrared Photocatalyst Synthesis. J. Clean. Prod. 2018, 175, 267–275. [Google Scholar] [CrossRef]
- United Nations Educational, Scientific, and Cultural Organization. The United Nations World Water Development Report 2020; UNESCO: Perugia, Italy, 2020; Available online: https://unesdoc.unesco.org/ark:/48223/pf0000372876.locale=en (accessed on 21 March 2020).
- Meese, A.F.; Kim, D.J.; Wu, X.; Le, L.; Napier, C.; Hernandez, M.T.; Laroco, N.; Linden, K.G.; Cox, J.; Kurup, P.; et al. Opportunities and Challenges for Industrial Water Treatment and Reuse. ACS ES T Eng. 2021, 2, 465–488. [Google Scholar] [CrossRef]
- Yang, C.; Pan, J.; Zhu, D.; Guo, Z.; Li, X. Pyrometallurgical Recycling of Stainless Steel Pickling Sludge: A Review. J. Iron Steel Res. Int. 2019, 26, 547–557. [Google Scholar] [CrossRef]
- Das, P.; Mondal, G.C.; Singh, S.; Singh, A.K.; Prasad, B.; Singh, K.K. Effluent Treatment Technologies in the Iron and Steel Industry—A State of the Art Review. Water Environ. Res. 2018, 90, 395–408. [Google Scholar] [CrossRef] [PubMed]
- Wu, J.; Li, Q.; Li, W.; Li, Y.; Wang, G.; Li, A.; Li, H. Efficient Removal of Acid Dyes Using Permanent Magnetic Resin and Its Preliminary Investigation for Advanced Treatment of Dyeing Effluents. J. Clean. Prod. 2020, 251, 119694. [Google Scholar] [CrossRef]
- Liu, H.; Xia, J.; Cui, K.; Meng, J.; Zhang, R.; Cao, B.; Li, P. Fabrication of High-Performance Pervaporation Membrane for Sulfuric Acid Recovery via Interfacial Polymerization. J. Membr. Sci. 2021, 624, 119108. [Google Scholar] [CrossRef]
- Roy, S.; Majumdar, S.; Sahoo, G.C.; Bhowmick, S.; Kundu, A.K.; Mondal, P. Removal of As(V), Cr(VI) and Cu(II) Using Novel Amine Functionalized Composite Nanofiltration Membranes Fabricated on Ceramic Tubular Substrate. J. Hazard. Mater. 2020, 399, 122841. [Google Scholar] [CrossRef]
- Foureaux, A.F.S.; Moreira, V.R.; Lebron, Y.A.R.; Santos, L.V.S.; Amaral, M.C.S. Direct Contact Membrane Distillation as an Alternative to the Conventional Methods for Value-Added Compounds Recovery from Acidic Effluents: A Review. Sep. Purif. Technol. 2020, 236, 116251. [Google Scholar] [CrossRef]
- Skousen, J.G.; Ziemkiewicz, P.F.; McDonald, L.M. Acid Mine Drainage Formation, Control and Treatment: Approaches and Strategies. Extract Ind. Soc. 2019, 6, 241–249. [Google Scholar] [CrossRef]
- Kesieme, U.K.; Aral, H. Application of Membrane Distillation and Solvent Extraction for Water and Acid Recovery from Acidic Mining Waste and Process Solutions. J. Environ. Chem. Eng. 2015, 3, 2050–2056. [Google Scholar] [CrossRef]
- Ju, J.; Feng, Y.; Li, H.; Liu, S.; Xu, C. Separation and Recovery of V, Ti, Fe and Ca from Acidic Wastewater and Vanadium-Bearing Steel Slag Based on a Collaborative Utilization Process. Sep. Purif. Technol. 2021, 276, 119335. [Google Scholar] [CrossRef]
- Iakovleva, E.; Sillanpää, M. The Use of Low-Cost Adsorbents for Wastewater Purification in Mining Industries. Environ. Sci. Pollut. Res. 2013, 20, 7878–7899. [Google Scholar] [CrossRef] [PubMed]
- Liu, J.; Wei, S.; Zhang, H.; Deng, Y.; Baeyens, J.; Dewil, R.; Sweygers, N.; Appels, L. Adsorption of Acid Fuchsine Dye from Wastewater by Mg-Ferrite Particles. J. Environ. Manag. 2022, 317, 115427. [Google Scholar] [CrossRef] [PubMed]
- Işık, M.; Sponza, D.T. Biological Treatment of Acid Dyeing Wastewater Using a Sequential Anaerobic/Aerobic Reactor System. Enzyme Microb. Technol. 2006, 38, 887–892. [Google Scholar] [CrossRef]
- You, S.; Lu, J.; Tang, C.Y.; Wang, X. Rejection of Heavy Metals in Acidic Wastewater by a Novel Thin-Film Inorganic Forward Osmosis Membrane. Chem. Eng. J. 2017, 320, 532–538. [Google Scholar] [CrossRef]
- Cui, K.; Li, P.; Zhang, R.; Cao, B. Preparation of Pervaporation Membranes by Interfacial Polymerization for Acid Wastewater Purification. Chem. Eng. Res. Des. 2020, 156, 171–179. [Google Scholar] [CrossRef]
- Agrawal, A.; Kumari, S.; Ray, B.C.; Sahu, K.K. Extraction of Acid and Iron Values from Sulphate Waste Pickle Liquor of a Steel Industry by Solvent Extraction Route. Hydrometallurgy 2007, 88, 58–66. [Google Scholar] [CrossRef]
- Kesieme, U.; Chrysanthou, A.; Catulli, M.; Cheng, C.Y. A Review of Acid Recovery from Acidic Mining Waste Solutions Using Solvent Extraction. J. Chem. Technol. Biotechnol. 2018, 93, 3374–3385. [Google Scholar] [CrossRef]
- Dalvand, A.; Nabizadeh, R.; Reza Ganjali, M.; Khoobi, M.; Nazmara, S.; Hossein Mahvi, A. Modeling of Reactive Blue 19 Azo Dye Removal from Colored Textile Wastewater Using L-Arginine-Functionalized Fe3O4 Nanoparticles: Optimization, Reusability, Kinetic and Equilibrium Studies. J. Magn. Magn. Mater. 2016, 404, 179–189. [Google Scholar] [CrossRef]
- Liu, J.; Wang, N.; Zhang, H.; Baeyens, J. Adsorption of Congo Red Dye on FexCo3-XO4 Nanoparticles. J. Environ. Manag. 2019, 238, 473–483. [Google Scholar] [CrossRef] [PubMed]
- Kuai, L.; De Vreese, I.; Vandevivere, P.; Verstraete, W. GAC-Amended UASB Reactor for the Stable Treatment of Toxic Textile Wastewater. Environ. Technol. 1998, 19, 1111–1117. [Google Scholar] [CrossRef]
- Bargeman, G. Recent Developments in the Preparation of Improved Nanofiltration Membranes for Extreme PH Conditions. Sep. Purif. Technol. 2021, 279, 119725. [Google Scholar] [CrossRef]
- Scott, K.; Hughes, R. Industrial Membrane Separation Technology; Springer: Dordrecht, The Netherlands, 1996. [Google Scholar]
- Fane, A.T.; Wang, R.; Jia, Y. Membrane Technology: Past, Present and Future; Humana Press: Totowa, NJ, USA, 2010; pp. 1–45. [Google Scholar]
- López, J.; Gibert, O.; Cortina, J.L. Integration of Membrane Technologies to Enhance the Sustainability in the Treatment of Metal-Containing Acidic Liquid Wastes. An Overview. Sep. Purif. Technol. 2021, 265, 118485. [Google Scholar] [CrossRef]
- Pino, L.; Beltran, E.; Schwarz, A.; Ruiz, M.C.; Borquez, R. Optimization of Nanofiltration for Treatment of Acid Mine Drainage and Copper Recovery by Solvent Extraction. Hydrometallurgy 2020, 195, 105361. [Google Scholar] [CrossRef]
- Szymczyk, A.; Fievet, P. Ion Transport through Nanofiltration Membranes: The Steric, Electric and Dielectric Exclusion Model. Desalination 2006, 200, 122–124. [Google Scholar] [CrossRef]
- Liu, X.; Gong, W.; Liu, L. Treatment of Sulfate-Rich and Low PH Wastewater by Sulfate Reducing Bacteria with Iron Shavings in a Laboratory. Water Sci. Technol. 2013, 69, 595–600. [Google Scholar] [CrossRef][Green Version]
- Cheng, W.; Liu, C.; Tong, T.; Epsztein, R.; Sun, M.; Verduzco, R.; Ma, J.; Elimelech, M. Selective Removal of Divalent Cations by Polyelectrolyte Multilayer Nanofiltration Membrane: Role of Polyelectrolyte Charge, Ion Size, and Ionic Strength. J. Membr. Sci. 2018, 559, 98–106. [Google Scholar] [CrossRef]
- Bowen, W.R.; Welfoot, J.S. Modelling the Performance of Membrane Nanofiltration—Critical Assessment and Model Development. Chem. Eng. Sci. 2002, 57, 1121–1137. [Google Scholar] [CrossRef]
- Ryzhkov, I.I.; Minakov, A.V. Theoretical Study of Electrolyte Transport in Nanofiltration Membranes with Constant Surface Potential/Charge Density. J. Membr. Sci. 2016, 520, 515–528. [Google Scholar] [CrossRef]
- Epsztein, R.; DuChanois, R.M.; Ritt, C.L.; Noy, A.; Elimelech, M. Towards Single-Species Selectivity of Membranes with Subnanometre Pores. Nat. Nanotechnol. 2020, 15, 426–436. [Google Scholar] [CrossRef] [PubMed]
- Deen, W.M. Hindered Transport of Large Molecules in Liquid-Filled Pores. AIChE J. 1987, 33, 1409–1425. [Google Scholar] [CrossRef]
- Venkataraman, L.; Klare, J.E.; Nuckolls, C.; Hybertsen, M.S.; Steigerwald, M.L. Dependence of Single-Molecule Junction Conductance on Molecular Conformation. Nature 2006, 442, 904–907. [Google Scholar] [CrossRef] [PubMed]
- Weigelt, S.; Busse, C.; Petersen, L.; Rauls, E.; Hammer, B.; Gothelf, K.V.; Besenbacher, F.; Linderoth, T.R. Chiral Switching by Spontaneous Conformational Change in Adsorbed Organic Molecules. Nat. Mater. 2006, 5, 112–117. [Google Scholar] [CrossRef]
- Dechadilok, P.; Deen, W.M. Hindrance Factors for Diffusion and Convection in Pores. Ind. Eng. Chem. Res. 2006, 45, 6953–6959. [Google Scholar] [CrossRef]
- Ennis, J.; Zhang, H.; Stevens, G.; Perera, J.; Scales, P.; Carnie, S. Mobility of Protein through a Porous Membrane. J. Membr. Sci. 1996, 119, 47–58. [Google Scholar] [CrossRef]
- Renkin, E. Filtration, diffusion, and molecular sieving through porous cellulose membranes. J. Gen. Physiol. 1954, 38, 225–243. [Google Scholar] [CrossRef]
- Luo, J.; Wan, Y. Effects of PH and Salt on Nanofiltration—A Critical Review. J. Membr. Sci. 2013, 438, 18–28. [Google Scholar] [CrossRef]
- Cao, Y.; Zhang, H.; Guo, S.; Luo, J.; Wan, Y. A Robust Dually Charged Membrane Prepared via Catechol-Amine Chemistry for Highly Efficient Dye/Salt Separation. J. Membr. Sci. 2021, 629, 119287. [Google Scholar] [CrossRef]
- Nghiem, L.D.; Schäfer, A.I.; Elimelech, M. Role of Electrostatic Interactions in the Retention of Pharmaceutically Active Contaminants by a Loose Nanofiltration Membrane. J. Membr. Sci. 2006, 286, 52–59. [Google Scholar] [CrossRef]
- Huang, B.-Q.; Tang, Y.-J.; Gao, A.-R.; Zeng, Z.-X.; Xue, S.-M.; Ji, C.-H.; Tang, C.Y.; Xu, Z.-L. Dually Charged Polyamide Nanofiltration Membranes Fabricated by Microwave-Assisted Grafting for Heavy Metals Removal. J. Membr. Sci. 2021, 640, 119834. [Google Scholar] [CrossRef]
- Guastalli, A.R.; Labanda, J.; Llorens, J. Separation of Phosphoric Acid from an Industrial Rinsing Water by Means of Nanofiltration. Desalination 2009, 243, 218–228. [Google Scholar] [CrossRef]
- Novalic, S.; Dabrowski, A.; Kulbe, K.D. Nanofiltration of Caustic and Acidic Cleaning Solutions with High COD Part 2. Recycling of HNO3. J. Food Eng. 1998, 38, 133–140. [Google Scholar] [CrossRef]
- Fernández, J.F.; Jastorff, B.; Störmann, R.; Stolte, S.; Thöming, J. Thinking in Terms of Structure-Activity-Relationships (T-SAR): A Tool to Better Understand Nanofiltration Membranes. Membranes 2011, 1, 162–183. [Google Scholar] [CrossRef] [PubMed]
- Dalwani, M.; Benes, N.E.; Bargeman, G.; Stamatialis, D.; Wessling, M. Effect of PH on the Performance of Polyamide/Polyacrylonitrile Based Thin Film Composite Membranes. J. Membr. Sci. 2011, 372, 228–238. [Google Scholar] [CrossRef]
- Lee, K.P.; Bargeman, G.; de Rooij, R.; Kemperman, A.J.B.; Benes, N.E. Interfacial Polymerization of Cyanuric Chloride and Monomeric Amines: PH Resistant Thin Film Composite Polyamine Nanofiltration Membranes. J. Membr. Sci. 2017, 523, 487–496. [Google Scholar] [CrossRef]
- López, J.; Reig, M.; Vecino, X.; Gibert, O.; Cortina, J.L. Comparison of Acid-Resistant Ceramic and Polymeric Nanofiltration Membranes for Acid Mine Waters Treatment. Chem. Eng. J. 2020, 382, 122786. [Google Scholar] [CrossRef]
- Lee, J.; Shin, Y.; Boo, C.; Hong, S. Performance, Limitation, and Opportunities of Acid-Resistant Nanofiltration Membranes for Industrial Wastewater Treatment. J. Membr. Sci. 2022, 666, 121142. [Google Scholar] [CrossRef]
- O’Connor, C. Acidic and Basic Amide Hydrolysis. Q. Rev., Chem. Soc. 1970, 24, 553. [Google Scholar] [CrossRef]
- Hoseinpour, H.; Peyravi, M.; Nozad, A.; Jahanshahi, M. Static and Dynamic Assessments of Polysulfonamide and Poly(Amide-Sulfonamide) Acid-Stable Membranes. J. Taiwan Inst. Chem. Eng. 2016, 67, 453–466. [Google Scholar] [CrossRef]
- Ilias, S.; Schimmel, K.A.; Assey, G.E.J.M. Effect of Viscosity on Membrane Fluxes in Cross-Flow Ultrafiltration. Sep. Sci. Technol. 1995, 30, 1669–1687. [Google Scholar] [CrossRef]
- Castricum, H.L.; Kreiter, R.; van Veen, H.M.; Blank, D.H.A.; Vente, J.F.; ten Elshof, J.E. High-Performance Hybrid Pervaporation Membranes with Superior Hydrothermal and Acid Stability. J. Membr. Sci. 2008, 324, 111–118. [Google Scholar] [CrossRef]
- Childress, A.E.; Elimelech, M. Effect of Solution Chemistry on the Surface Charge of Polymeric Reverse Osmosis and Nanofiltration Membranes. J. Membr. Sci. 1996, 119, 253–268. [Google Scholar] [CrossRef]
- Tanninen, J. Long-Term Acid Resistance and Selectivity of NF Membranes in Very Acidic Conditions. J. Membr. Sci. 2004, 240, 11–18. [Google Scholar] [CrossRef]
- Bai, L.; Wang, M.; Li, Z.; Yang, H.; Peng, Z.; Zhao, Y. Fabrication of a Novel Composite Nanofiltration Membrane with Excellent Acid Resistance and Water Flux via the Selective Bond Dissociation Method. J. Membr. Sci. 2022, 643, 120012. [Google Scholar] [CrossRef]
- Paul, M.; Jons, S.D. Chemistry and Fabrication of Polymeric Nanofiltration Membranes: A Review. Polymer 2016, 103, 417–456. [Google Scholar] [CrossRef]
- Zhu, X.; Xu, D.; Gan, Z.; Luo, X.; Tang, X.; Cheng, X.; Bai, L.; Li, G.; Liang, H. Improving Chlorine Resistance and Separation Performance of Thin-Film Composite Nanofiltration Membranes with in-Situ Grafted Melamine. Desalination 2020, 489, 114539. [Google Scholar] [CrossRef]
- Bai, Y.; Gao, P.; Fang, R.; Cai, J.; Zhang, L.-D.; He, Q.-Y.; Zhou, Z.-H.; Sun, S.-P.; Cao, X.-L. Constructing Positively Charged Acid-Resistant Nanofiltration Membranes via Surface Postgrafting for Efficient Removal of Metal Ions from Electroplating Rinse Wastewater. Sep. Purif. Technol. 2022, 297, 121500. [Google Scholar] [CrossRef]
- Guo, S.; Chen, X.; Wan, Y.; Feng, S.; Luo, J. Custom-Tailoring Loose Nanofiltration Membrane for Precise Biomolecule Fractionation: New Insight into Post-Treatment Mechanisms. ACS Appl. Mater. Interfaces 2020, 12, 13327–13337. [Google Scholar] [CrossRef]
- Wei, X.; Xu, X.; Wu, J.; Li, C.; Chen, J.; Lv, B.; Zhu, B.; Xiang, H. SiO2 -Modified Nanocomposite Nanofiltration Membranes with High Flux and Acid Resistance. J. Appl. Polym. Sci. 2019, 136, 47436. [Google Scholar] [CrossRef]
- Puthai, W.; Kanezashi, M.; Nagasawa, H.; Tsuru, T. SiO2-ZrO2 Nanofiltration Membranes of Different Si/Zr Molar Ratios: Stability in Hot Water and Acid/Alkaline Solutions. J. Membr. Sci. 2017, 524, 700–711. [Google Scholar] [CrossRef]
- Chae, H.-R.; Lee, J.; Lee, C.-H.; Kim, I.-C.; Park, P.-K. Graphene Oxide-Embedded Thin-Film Composite Reverse Osmosis Membrane with High Flux, Anti-Biofouling, and Chlorine Resistance. J. Membr. Sci. 2015, 483, 128–135. [Google Scholar] [CrossRef]
- Chae, H.-R.; Kim, I.-C.; Kwon, Y.-N. Acid-Resistance Enhancement of Thin-Film Composite Membrane Using Barrier Effect of Graphene Oxide Nanosheets. Materials 2021, 14, 3151. [Google Scholar] [CrossRef] [PubMed]
- Marchetti, P.; Jimenez Solomon, M.F.; Szekely, G.; Livingston, A.G. Molecular Separation with Organic Solvent Nanofiltration: A Critical Review. Chem. Rev. 2014, 114, 10735–10806. [Google Scholar] [CrossRef] [PubMed]
- Shin, M.G.; Kwon, S.J.; Park, H.; Park, Y.-I.; Lee, J.-H. High-Performance and Acid-Resistant Nanofiltration Membranes Prepared by Solvent Activation on Polyamide Reverse Osmosis Membranes. J. Membr. Sci. 2020, 595, 117590. [Google Scholar] [CrossRef]
- Tang, C.Y.; Kwon, Y.-N.; Leckie, J.O. Effect of Membrane Chemistry and Coating Layer on Physiochemical Properties of Thin Film Composite Polyamide RO and NF Membranes. Desalination 2009, 242, 149–167. [Google Scholar] [CrossRef]
- Zeng, Y.; Wang, L.; Zhang, L.; Yu, J.Q. An Acid Resistant Nanofiltration Membrane Prepared from a Precursor of Poly(s-Triazine-Amine) by Interfacial Polymerization. J. Membr. Sci. 2018, 546, 225–233. [Google Scholar] [CrossRef]
- Cao, Y.; Luo, J.; Chen, C.; Wan, Y. Highly Permeable Acid-Resistant Nanofiltration Membrane Based on a Novel Sulfonamide Aqueous Monomer for Efficient Acidic Wastewater Treatment. Chem. Eng. J. 2021, 425, 131791. [Google Scholar] [CrossRef]
- Park, H.M.; Takaba, H.; Lee, Y.T. Preparation and Characterization of TFC NF Membrane with Improved Acid Resistance Behavior. J. Membr. Sci. 2020, 616, 118620. [Google Scholar] [CrossRef]
- Park, H.M.; Ismael, M.; Takaba, H.; Lee, Y.T. Acid-Resistant Thin-Film Composite Nanofiltration Membrane Prepared from Polyamide-Polyurea and the Behavior of Density Functional Theory Study. J. Membr. Sci. 2022, 645, 120175. [Google Scholar] [CrossRef]
- Han, R.; Zhang, S.; Hu, L.; Guan, S.; Jian, X. Preparation and Characterization of Thermally Stable Poly(Piperazine Amide)/PPBES Composite Nanofiltration Membrane. J. Membr. Sci. 2011, 370, 91–96. [Google Scholar] [CrossRef]
- Mikhailenko, S.D.; Wang, K.; Kaliaguine, S.; Xing, P.; Robertson, G.P.; Guiver, M.D. Proton Conducting Membranes Based on Cross-Linked Sulfonated Poly(Ether Ether Ketone) (SPEEK). J. Membr. Sci. 2004, 233, 93–99. [Google Scholar] [CrossRef]
- Cao, Y.; Wan, Y.; Chen, C.; Luo, J. Preparation of Acid-Resistant Nanofiltration Membrane with Dually Charged Separation Layer for Enhanced Salts Removal. Sep. Purif. Technol. 2022, 292, 120974. [Google Scholar] [CrossRef]
- Shen, K.; Cheng, C.; Zhang, T.; Wang, X. High Performance Polyamide Composite Nanofiltration Membranes via Reverse Interfacial Polymerization with the Synergistic Interaction of Gelatin Interlayer and Trimesoyl Chloride. J. Membr. Sci. 2019, 588, 117192. [Google Scholar] [CrossRef]
- Wang, X.; Yeh, T.-M.; Wang, Z.; Yang, R.; Wang, R.; Ma, H.; Hsiao, B.S.; Chu, B. Nanofiltration Membranes Prepared by Interfacial Polymerization on Thin-Film Nanofibrous Composite Scaffold. Polymer 2014, 55, 1358–1366. [Google Scholar] [CrossRef]
- Wang, H.; Wei, Z.; Wang, H.; Jiang, H.; Li, Y.; Wu, C. An Acid-Stable Positively Charged Polysulfonamide Nanofiltration Membrane Prepared by Interfacial Polymerization of Polyallylamine and 1,3-Benzenedisulfonyl Chloride for Water Treatment. RSC Adv. 2019, 9, 2042–2054. [Google Scholar] [CrossRef] [PubMed]
- Yu, S.; Zhou, Q.; Shuai, S.; Yao, G.; Ma, M.; Gao, C. Thin-Film Composite Nanofiltration Membranes with Improved Acid Stability Prepared from Naphthalene-1,3,6-Trisulfonylchloride (NTSC) and Trimesoyl Chloride (TMC). Desalination 2013, 315, 164–172. [Google Scholar] [CrossRef]
- Bali Eslami, A.; Peyravi, M.; Jahanshahi, M.; Hosseinpour, H. Polysulfonamide Coating Layer Polymerized By1,3-Disulfonyl Chloride and Polyethylenimine to Achieve Acid Resistant TFC Membranes. Chem. Eng. Res. Des. 2020, 155, 172–179. [Google Scholar] [CrossRef]
- Li, Y.; Su, Y.; Dong, Y.; Zhao, X.; Jiang, Z.; Zhang, R.; Zhao, J. Separation Performance of Thin-Film Composite Nanofiltration Membrane through Interfacial Polymerization Using Different Amine Monomers. Desalination 2014, 333, 59–65. [Google Scholar] [CrossRef]
- Liu, M.; Yao, G.; Cheng, Q.; Ma, M.; Yu, S.; Gao, C. Acid Stable Thin-Film Composite Membrane for Nanofiltration Prepared from Naphthalene-1,3,6-Trisulfonylchloride (NTSC) and Piperazine (PIP). J. Membr. Sci. 2012, 415–416, 122–131. [Google Scholar] [CrossRef]
- Liang, Y.; Zhu, Y.; Liu, C.; Lee, K.-R.; Hung, W.-S.; Wang, Z.; Li, Y.; Elimelech, M.; Jin, J.; Lin, S. Polyamide Nanofiltration Membrane with Highly Uniform Sub-Nanometre Pores for Sub-1 Å Precision Separation. Nat. Commun. 2020, 11, 2015. [Google Scholar] [CrossRef] [PubMed]
- Liu, S. Effect of Diamine Composition on the Gas Transport Properties in 6FDA-Durene/3,3′-Diaminodiphenyl Sulfone Copolyimides. J. Membr. Sci. 2002, 202, 165–176. [Google Scholar] [CrossRef]
- Lasisi, K.H.; Ajibade, T.F.; Zhang, K. 3, 3′-Diaminodiphenyl Sulfone Engagement in Polysulfonamide-Based Acid-Resistant Nanofiltration Membrane Fabrication for Efficient Separation Performance and Heavy Metal Ions Removal from Wastewater. J. Membr. Sci. 2022, 661, 120909. [Google Scholar] [CrossRef]
- Lai, W.; Shan, L.; Bai, J.; Xiao, L.; Liu, L.; Wang, S.; Gong, L.; Jiao, Y.; Xie, W.; Liu, H.; et al. Highly Permeable and Acid-Resistant Nanofiltration Membrane Fabricated by in-Situ Interlaced Stacking of COF and Polysulfonamide Films. Chem. Eng. J. 2022, 450, 137965. [Google Scholar] [CrossRef]
- Zhu, Y.; Dou, P.; He, H.; Lan, H.; Xu, S.; Zhang, Y.; He, T.; Niu, J. Improvement of Permeability and Rejection of an Acid Resistant Polysulfonamide Thin-Film Composite Nanofiltration Membrane by a Sulfonated Poly(Ether Ether Ketone) Interlayer. Sep. Purif. Technol. 2020, 239, 116528. [Google Scholar] [CrossRef]
- Ali, M.E.A.; Wang, L.; Wang, X.; Feng, X. Thin Film Composite Membranes Embedded with Graphene Oxide for Water Desalination. Desalination 2016, 386, 67–76. [Google Scholar] [CrossRef]
- Farahbakhsh, J.; Delnavaz, M.; Vatanpour, V. Investigation of Raw and Oxidized Multiwalled Carbon Nanotubes in Fabrication of Reverse Osmosis Polyamide Membranes for Improvement in Desalination and Antifouling Properties. Desalination 2017, 410, 1–9. [Google Scholar] [CrossRef]
- Khorshidi, B.; Biswas, I.; Ghosh, T.; Thundat, T.; Sadrzadeh, M. Robust Fabrication of Thin Film Polyamide-TiO2 Nanocomposite Membranes with Enhanced Thermal Stability and Anti-Biofouling Propensity. Sci. Rep. 2018, 8, 784. [Google Scholar] [CrossRef]
- Wang, H.; Wang, H.; Jiang, H.; Sheng, A.; Wei, Z.; Li, Y.; Wu, C.; Li, H. Positively Charged Polysulfonamide Nanocomposite Membranes Incorporating Hydrophilic Triazine-Structured COFs for Highly Efficient Nanofiltration. ACS Appl. Nano Mater. 2020, 3, 9329–9339. [Google Scholar] [CrossRef]
- Paltrinieri, L.; Remmen, K.; Müller, B.; Chu, L.; Köser, J.; Wintgens, T.; Wessling, M.; de Smet, L.C.P.M.; Sudhölter, E.J.R. Improved Phosphoric Acid Recovery from Sewage Sludge Ash Using Layer-by-Layer Modified Membranes. J. Membr. Sci. 2019, 587, 117162. [Google Scholar] [CrossRef]
- Yuan, T.; Hu, Y.; He, M.; Zhao, S.; Lan, H.; Li, P.; Jason Niu, Q. Spinning-assist Layer-by-layer Assembled Polysulfonamide Membrane for Reverse Osmosis from Naphthalene-1,3,6-trisulfonylchloride and Piperazine. J. Appl. Polym. Sci. 2018, 136, 47138. [Google Scholar] [CrossRef]
- He, M.; Yuan, T.; Dong, W.; Li, P.; Jason Niu, Q.; Meng, J. High-Performance Acid-Stable Polysulfonamide Thin-Film Composite Membrane Prepared via Spinning-Assist Multilayer Interfacial Polymerization. J. Mater. Sci. 2018, 54, 886–900. [Google Scholar] [CrossRef]
- Lee, K.P.; Zheng, J.; Bargeman, G.; Kemperman, A.J.B.; Benes, N.E. PH Stable Thin Film Composite Polyamine Nanofiltration Membranes by Interfacial Polymerisation. J. Membr. Sci. 2015, 478, 75–84. [Google Scholar] [CrossRef]
- Just, G.; Pokorny, I.; Pritzkow, W. Kinetic studies on the Reaction of Cyanuric Chloride with Amines. J. Prakt. Chem. 1995, 337, 133–135. [Google Scholar] [CrossRef]
- Fierz-David, H.E.; Matter, M. Azo and Anthraquinonoid Dyes Containing the Cyanuric Ring. J. Soc. Dyers Colour. 1937, 53, 424–436. [Google Scholar] [CrossRef]
- Liu, S.; Wu, C.; Hung, W.-S.; Lu, X.; Lee, K.-R. One-Step Constructed Ultrathin Janus Polyamide Nanofilms with Opposite Charges for Highly Efficient Nanofiltration. J. Mater. Chem. A 2017, 5, 22988–22996. [Google Scholar] [CrossRef]
- Yu, L.; Zhang, Y.; Xu, L.; Liu, Q.; Borjigin, B.; Hou, D.; Xiang, J.; Wang, J. One Step Prepared Janus Acid-Resistant Nanofiltration Membranes with Opposite Surface Charges for Acidic Wastewater Treatment. Sep. Purif. Technol. 2020, 250, 117245. [Google Scholar] [CrossRef]
- He, B.; Peng, H.; Chen, Y.; Zhao, Q. High Performance Polyamide Nanofiltration Membranes Enabled by Surface Modification of Imidazolium Ionic Liquid. J. Membr. Sci. 2020, 608, 118202. [Google Scholar] [CrossRef]
- Xiao, H.-F.; Chu, C.-H.; Xu, W.-T.; Chen, B.-Z.; Ju, X.-H.; Xing, W.; Sun, S.-P. Amphibian-Inspired Amino Acid Ionic Liquid Functionalized Nanofiltration Membranes with High Water Permeability and Ion Selectivity for Pigment Wastewater Treatment. J. Membr. Sci. 2019, 586, 44–52. [Google Scholar] [CrossRef]
- Bai, J.; Lai, W.; Gong, L.; Xiao, L.; Wang, G.; Shan, L.; Luo, S. Ionic Liquid Regulated Interfacial Polymerization Process to Improve Acid-Resistant Nanofiltration Membrane Permeance. J. Membr. Sci. 2022, 641, 119882. [Google Scholar] [CrossRef]
- Yu, L.; Li, K.; Zhang, Y.; Wang, J.; Zhang, G. Improved Permeability of Tight Acid Resistant Nanofiltration Membrane via Citric Acid Post-Treatment. J. Membr. Sci. 2022, 648, 120381. [Google Scholar] [CrossRef]
- Jun, B.-M.; Lee, H.K.; Kwon, Y.-N. Acid-Catalyzed Hydrolysis of Semi-Aromatic Polyamide NF Membrane and Its Application to Water Softening and Antibiotics Enrichment. Chem. Eng. J. 2018, 332, 419–430. [Google Scholar] [CrossRef]
- Ren, Y.; Zhu, J.; Feng, S.; Chen, X.; Luo, J.; Wan, Y. Tuning Pore Size and Surface Charge of Poly(Piperazinamide) Nanofiltration Membrane by Enhanced Chemical Cleaning Treatment. J. Membr. Sci. 2022, 643, 120054. [Google Scholar] [CrossRef]
- Şakar-Deliormanlı, A. Interaction of Sodium Dodecyl Sulfate with Poly(Ethyleneimine) in Bulk Solution and at the Air-Solution Interface. J. Dispers. Sci. Technol. 2009, 31, 23–30. [Google Scholar] [CrossRef]
- Bai, L.; Wang, M.; Yang, H.; Peng, Z.; Zhao, Y.; Li, Z. A Nanofiltration Membrane Fabricated on a Surfactant Activated Substrate with Improved Separation Performance and Acid Resistance. New J. Chem. 2021, 45, 14381–14391. [Google Scholar] [CrossRef]
- Mansourpanah, Y.; Alizadeh, K.; Madaeni, S.S.; Rahimpour, A.; Soltani Afarani, H. Using Different Surfactants for Changing the Properties of Poly(Piperazineamide) TFC Nanofiltration Membranes. Desalination 2011, 271, 169–177. [Google Scholar] [CrossRef]
- Lasisi, K.H.; Yao, W.; Xue, Q.; Liu, Q.; Zhang, K. High Performance Polyamine-Based Acid-Resistant Nanofiltration Membranes Catalyzed with 1,4-Benzenecarboxylic Acid in Interfacial Cross-Linking Polymerization Process. J. Membr. Sci. 2021, 640, 119833. [Google Scholar] [CrossRef]
- Lasisi, K.H.; Zhang, K. Polyamine-Based Thin-Film Composite Nanofiltration Membrane Embedded with Catalytic Chemical Additive for Enhanced Separation Performance and Acid Stability. J. Membr. Sci. 2022, 644, 120155. [Google Scholar] [CrossRef]
- Sendijarevic, V.; Sendijarevic, A.; Sendijarevic, I.; Bailey, R.E.; Pemberton, D.; Reimann, K.A. Hydrolytic Stability of Toluene Diisocyanate and Polymeric Methylenediphenyl Diisocyanate Based Polyureas under Environmental Conditions. Environ. Sci. Technol. 2004, 38, 1066–1072. [Google Scholar] [CrossRef]
- Iqbal, N.; Tripathi, M.; Parthasarathy, S.; Kumar, D.; Roy, P.K. Polyurea Coatings for Enhanced Blast-Mitigation: A Review. RSC Adv. 2016, 6, 109706–109717. [Google Scholar] [CrossRef]
- Cadotte, J.E. Reverse Osmosis Membrane. US. Patent 4 (39) (1977) 440, 2 August 1977. [Google Scholar]
- Zhang, Y.; Wan, Y.; Li, Y.; Pan, G.; Yu, H.; Du, W.; Shi, H.; Wu, C.; Liu, Y. Thin-Film Composite Nanofiltration Membrane Based on Polyurea for Extreme PH Condition. J. Membr. Sci. 2021, 635, 119472. [Google Scholar] [CrossRef]
- Amirilargani, M.; Sadrzadeh, M.; Sudhölter, E.J.R.; de Smet, L.C.P.M. Surface Modification Methods of Organic Solvent Nanofiltration Membranes. Chem. Eng. J. 2016, 289, 562–582. [Google Scholar] [CrossRef]
- Liu, P.; Hou, J.; Zhang, Y.; Li, L.; Lu, X.; Tang, Z. Two-Dimensional Material Membranes for Critical Separations. Inorg. Chem. Front. 2020, 7, 2560–2581. [Google Scholar] [CrossRef]
- Liu, Y.; Zhao, Y.; Zhang, X.; Huang, X.; Liao, W.; Zhao, Y. MoS2-Based Membranes in Water Treatment and Purification. Chem. Eng. J. 2021, 422, 130082. [Google Scholar] [CrossRef]
- Feng, Y.; Meng, X.; Wu, Z.; Chen, J.; Sun, C.; Huo, S. A Novel Polyurea Nanofiltration Membrane Constructed by PEI/TA-MoS2 for Efficient Removal of Heavy Metal Ions. Sep. Purif. Technol. 2022, 300, 121785. [Google Scholar] [CrossRef]
- He, Z.; Lyu, Z.; Gu, Q.; Zhang, L.; Wang, J. Ceramic-Based Membranes for Water and Wastewater Treatment. Colloids Surf. A 2019, 578, 123513. [Google Scholar] [CrossRef]
- Pendergast, M.M.; Hoek, E.M.V. A Review of Water Treatment Membrane Nanotechnologies. Energy Environ. Sci. 2011, 4, 1946. [Google Scholar] [CrossRef]
- Árki, P.; Hecker, C.; Tomandl, G.; Joseph, Y. Streaming Potential Properties of Ceramic Nanofiltration Membranes–Importance of Surface Charge on the Ion Rejection. Sep. Purif. Technol. 2019, 212, 660–669. [Google Scholar] [CrossRef]
- Mohammad, A.W.; Teow, Y.H.; Ang, W.L.; Chung, Y.T.; Oatley-Radcliffe, D.L.; Hilal, N. Nanofiltration Membranes Review: Recent Advances and Future Prospects. Desalination 2015, 356, 226–254. [Google Scholar] [CrossRef]
- Guo, H.; Zhao, S.; Wu, X.; Qi, H. Fabrication and Characterization of TiO2/ZrO2 Ceramic Membranes for Nanofiltration. Microporous Mesoporous Mater. 2018, 260, 125–131. [Google Scholar] [CrossRef]
- Benfer, S.; Árki, P.; Tomandl, G. Ceramic Membranes for Filtration Applications—Preparation and Characterization. Adv. Eng. Mater. 2004, 6, 495–500. [Google Scholar] [CrossRef]
- Chen, P.; Ma, X.; Zhong, Z.; Zhang, F.; Xing, W.; Fan, Y. Performance of Ceramic Nanofiltration Membrane for Desalination of Dye Solutions Containing NaCl and Na2SO4. Desalination 2017, 404, 102–111. [Google Scholar] [CrossRef]
- Weber, R.; Chmiel, H.; Mavrov, V. Characteristics and Application of Ceramic Nanofiltration Membranes. Ann. N. Y. Acad. Sci. 2003, 984, 178–193. [Google Scholar] [CrossRef] [PubMed]
- Fujioka, T.; Khan, S.J.; McDonald, J.A.; Nghiem, L.D. Nanofiltration of Trace Organic Chemicals: A Comparison between Ceramic and Polymeric Membranes. Sep. Purif. Technol. 2014, 136, 258–264. [Google Scholar] [CrossRef]
- Tomczak, W.; Gryta, M. Comparison of Polypropylene and Ceramic Microfiltration Membranes Applied for Separation of 1,3-PD Fermentation Broths and Saccharomyces Cerevisiae Yeast Suspensions. Membranes 2021, 11, 44. [Google Scholar] [CrossRef]
- Saw, E.T.; Ang, K.L.; He, W.; Dong, X.; Ramakrishna, S. Molecular Sieve Ceramic Pervaporation Membranes in Solvent Recovery: A Comprehensive Review. J. Environ. Chem. Eng. 2019, 7, 103367. [Google Scholar] [CrossRef]
- Liu, T.; Qin, Z.; Liu, Q.; Li, X.; Liu, Y.; An, Q.-F.; Guo, H. In Situ Growth of a Tubular MoS2 Membrane on a Ceramic Tube with Improved Organic Solvent Nanofiltration Performance. Mater. Chem. Front. 2021, 5, 3184–3191. [Google Scholar] [CrossRef]
- Guo, F.; Su, D.; Liu, Y.; Wang, J.; Yan, X.; Chen, J.; Chen, S. High Acid Resistant SiOC Ceramic Membranes for Wastewater Treatment. Ceram. Int. 2018, 44, 13444–13448. [Google Scholar] [CrossRef]
- Issaoui, M.; Limousy, L. Low-Cost Ceramic Membranes: Synthesis, Classifications, and Applications. C. R. Chim. 2019, 22, 175–187. [Google Scholar] [CrossRef]
- Voigt, I.; Richter, H.; Stahn, M.; Weyd, M.; Puhlfürß, P.; Prehn, V.; Günther, C. Scale-up of Ceramic Nanofiltration Membranes to Meet Large Scale Applications. Sep. Purif. Technol. 2019, 215, 329–334. [Google Scholar] [CrossRef]
Disclaimer/Publisher’s Note: The statements, opinions and data contained in all publications are solely those of the individual author(s) and contributor(s) and not of MDPI and/or the editor(s). MDPI and/or the editor(s) disclaim responsibility for any injury to people or property resulting from any ideas, methods, instructions or products referred to in the content. |
© 2022 by the authors. Licensee MDPI, Basel, Switzerland. This article is an open access article distributed under the terms and conditions of the Creative Commons Attribution (CC BY) license (https://creativecommons.org/licenses/by/4.0/).





