Next Article in Journal
A Hybrid LSTM-Based Genetic Programming Approach for Short-Term Prediction of Global Solar Radiation Using Weather Data
Previous Article in Journal
A Real-Time Optimization Strategy for Small-Scale Facilities and Implementation in a Gas Processing Unit
Previous Article in Special Issue
Model Predictive Control for the Process of MEA Absorption of CO2 Based on the Data Identification Model
 
 
Font Type:
Arial Georgia Verdana
Font Size:
Aa Aa Aa
Line Spacing:
Column Width:
Background:
Article

An Optimization Study of Carbon Dioxide Absorption into the Aqueous Solution of Monoethanolamine and Tetrabutylphosphonium Methanesulfonate Hybrid Solvent Using RSM-CCD Methodology

by
Mus’ab Umair Zainul Anuar
1,
Mohd Faisal Taha
1,2,*,
Noor Mona Md Yunus
2,
Siti Musliha Mat Ghani
2 and
Azila Idris
3,4
1
Fundamental and Applied Science Department, Universiti Teknologi PETRONAS, Seri Iskandar 32610, Perak, Malaysia
2
Centre of Research in Ionic Liquids, Universiti Teknologi PETRONAS, Seri Iskandar 32610, Perak, Malaysia
3
University Malaya Centre of Ionic Liquids (UMCiL), University Malaya, Kuala Lumpur 50603, Malaysia
4
Department of Chemistry, Faculty of Science, University Malaya, Kuala Lumpur 50603, Malaysia
*
Author to whom correspondence should be addressed.
Processes 2021, 9(7), 1186; https://doi.org/10.3390/pr9071186
Submission received: 19 May 2021 / Revised: 7 June 2021 / Accepted: 9 June 2021 / Published: 8 July 2021
(This article belongs to the Special Issue Carbon Capture and Utilisation)

Abstract

:
The main purposes of this project are to assess and to optimize the solubility of carbon dioxide (CO2) in an aqueous 30 wt% monoethanolamine-tetrabutylphosphonium methanesulfonate (MEA-[TBP][MeSO3]) new hybrid solvent. In this study, the viscosity and density of aqueous MEA-[TBP][MeSO3] hybrid solvents containing different amounts of [TBP][MeSO4] were determined. Meanwhile, Fourier Transform-Infrared (FT-IR) Spectroscopy was used to determine the presence of carbamate in aqueous MEA-[TBP][MeSO3] to prove that CO2 was absorbed by aqueous MEA-[TBP][MeSO3]. Response Surface Methodology (RSM) based on central composite design (CCD) was used to design the experiments and explore the effects of three independent parameters on the solubility of CO2 in aqueous MEA-[TBP][MeSO3]. The three independent parameters are concentration of [TBP][MeSO3] (2–20 wt.%), temperature (30–60 °C) and pressure of CO2 (2–30 bar). The experimental data was found to fit a quadratic equation using multiple regressions and analyzed using analysis of variance (ANOVA). The final empirical equation in terms of actual factors was deducted as mol fraction = 0.5316 − (2.76 × 10−4)A − (8.8 × 10−4)B + (8.48 × 10−3)C + (2.9 × 10−5)AB + (2.976 × 10−6)AC + (5.5 × 10−5)BC − (8.4 × 10−5)A2 − (3.3 × 10−5)B2 − (1.19 × 10−4)C2, whereby A = ionic liquid ([TBP][MeSO3]) concentration, B = temperature and C = CO2 pressure. An attempt was made to perform the experiments for solubility of CO2 in aqueous MEA-[TBP][MeSO3] to validate the removal of CO2 predicted by RSM. Based on a validation study, the experimental data showed a percentage error between 0.6% and 2.11% as compared to the predicted value of CO2 removal by RSM.

1. Introduction

The world is in the process of switching to more eco-friendly fuels that contain low carbon, such as natural gas (NG), for energy creation. NG is considered as a non-pollutant energy resource compared to fossil fuels and charcoal, and it is widely used in industrial and domestic applications due to its abundance and low cost. Although the demand for NG for 2020 dropped to 4% due to the COVID-19 pandemic, it was predicted that in 2021 demand will progressively recover [1,2]. NG collected offshore carries impurities such as CO2, and it is known that NG contains 20% CO2. CO2 from NG feed gas forms carbamic acid with water vapor present in NG, and this acid can corrode pipelines and other equipment. CO2 also causes problems during the liquefaction of NG in multi-cryogenic heat exchange (MCHE) systems and affects the value of final liquefied natural gas (LNG) products [3,4]. In addition, CO2 distributes zero heating value during combustion; therefore, it must be removed to meet the NG quality specifications before it can be handed over to variety of end-users. According to Rufford and colleagues, the specification of NG in pipelines distributed to customers is typically less than 3% CO2 [4].
One of the most feasible methods to reduce CO2 in the oil and NG industry is through chemical absorption. Currently, the chemical solvents that are widely used as CO2 absorbents are aqueous alkanolamines, in which CO2 is absorbed through the formation of a CO2-amine complex mixture. The CO2-amine complex mixture is then subjected to a ‘stripping’ process to release the CO2 so it can be kept in CO2 storage. This technology is known as the amine ‘scrubbing’ process and has been widely utilized as a CO2 capture technology [3,5]. Currently, the commercial alkanolamines that are being used in the amine ‘scrubbing’ process are monoethanolamines (MEAs), methyldiethanolamines (MDEAs), and more recently, triethanolamines (TEAs) due to their re-activity with CO2; they form stable carbamates as intermediates. However, amine CO2 capture does suffer from many inherent drawbacks. The history of amine CO2 capture systems shows that the system suffers from high equipment corrosion rates. Long-term corrosion effects can lead to increases in equipment downtime, loss of production, reduced equipment lifespan, injuries, or even death [6,7].
In the last 20 years, numerous studies have been conducted to improve carbon capture technology and solvent recoverability, many of which have emphasized the shortcomings of conventional aqueous alkanolamine solvents used in ‘scrubbing’ technology. As an alternative solution to overcome the disadvantages of conventional aqueous alkanolamine solvents, researchers have found that ionic liquids (ILs) are perfect candidates due to their high CO2 solubility. ILs, often regarded as molten salts, are compounds that are completely made up of bulky ions and have a melting point below 100 °C [6,8,9]. They have remarkable properties such as negligible volatility, high thermal stability, non-flammability, tunability and solvation properties. Apart from this, ILs are attractive because of their tunable physicochemical properties. In 1999, initial research on CO2 solubility in ILs conducted by Blanchard and colleagues showed that large amounts of CO2 could be dissolved in imidazolium-based ionic liquids without contaminating the product used [10].
Despite having remarkable properties, ILs also have their drawbacks; these ultimately prevent them from being utilized by the industry. Generally, ILs have high viscosity and are expensive, making them not economically feasible to be used in large-scale production plants [6]. Thus, the addition of small amounts of ILs to aqueous alkanolamines to produce hybrid solvents is a better option, as this would utilize the advantages offered by both ILs and alkanolamines while suppressing their limitations. Considering the widespread use of amine CO2 capture technology, the addition of small quantities of ionic liquid into aqueous alkanolamines would not create any significant changes in existing process designs [11].
Many of the inherent drawbacks were found to be addressed by the incorporation of ILs in aqueous amine solvents. For example, Hasib-Ur Rahman and his colleagues studied the corrosion effects of IL-alkanolamine hybrid solvents on carbon steel 1020. Their study showed a significant reduction (98% reduced) in the corrosion rate when IL-alkanolamine hybrid solvents were tested with carbon steel 1020. Their study also included the corrosion effects of CO2 gas loading, effects of oxygen in the gas streams, effects of water content, and the effect of varying process conditions; the corrosion results were found to be significantly positive for IL-alkanolamine hybrid solvents [8]. Feng and Camper and colleagues studied the effects of ammonium-based ionic liquid incorporation in aqueous methyldiethanolamine (MDEA) on CO2 absorption performance as well as solvent regeneration efficiency. Their studies showed that higher concentrations (0–30 wt%) of ionic liquid in MDEA increased CO2 absorption rate as well as CO2 absorption capacity. The effects of temperature have also been investigated; the CO2 absorption capacity was only slightly affected with an increase in temperature (298K–318K) [5,12].
In this project, MEA and tetrabutylphosphonium methanesulfonate ([TBP][MeSO3]) were selected to be mixed, producing aqueous hybrid solvent for CO2 removal. The MEA concentration was kept constant at 30 wt% as per typical amine concentrations used in commercialized CO2 absorption technology [13,14]. The selection of [TBP][MeSO3] was based on the results of a screening study using the Conductor-like Screening Model for Real Solvents (COSMO-RS) by Azman [15]. His work aimed to determine ILs that can be mixed with aqueous alkanolamines to form hybrid solvents and to predict the capability of these ILs to capture CO2. His findings revealed that phosphonium-based ILs showed relatively high CO2 capacity in general and moderate cation-anion pairing. In addition, phosphonium-based ionic liquids are generally inexpensive and available commercially on a large scale [16]. The response surface methodology (RSM), based on central composite design (CCD), was employed to optimize and to comprehend the interactions between the operating factors affecting CO2 removal using aqueous MEA-[TBP][MeSO3] hybrid solvents with different concentrations of [TBP][MeSO3].

2. Materials and Methods

2.1. Materials

Tetrabutylphosphonium methanesulfonate ([TBP][MeSO3]) and monoethanolamine (MEA) were purchased from Merck. Carbon dioxide gas was purchased from Linde with a purity of 99.8%.

2.2. Density and Viscosity Measurement

The density of all the aqueous MEA-[TBP][MeSO3] samples was measured using a Stabinger density viscosity meter (Anton Paar SVM3000, Anton Paar) with a precision of ±0.0001 gcm−3. All measurements of the density were performed at 30 °C, 45 °C and 60 °C. The viscosity of the aqueous MEA-[TBP][MeSO3] samples were measured using a TA Instrument DHR-1 rheometer at 30 °C, 45 °C and 60 °C.

2.3. Solubility of CO2 in Aqueous MEA-[TBP][MeSO3]

The CO2 solubility in the aqueous MEA-[TBP][MeSO3] sample was carried out based on the isochoric saturation method [17]. A high-pressure equilibrium cell (EC) with a capacity of 15 mL made of stainless steel was used to carry out the experiments. The equilibrium cell was attached with a pressure gauge and temperature controller having ranges from 0 to 40 bar and a room temperature of 80 °C, respectively. The schematic of the experimental setup is shown in Figure 1. The temperature inside the equilibrium cell was maintained by a water bath. A pressure gauge was used to measure the pressure inside the system.
During the experiment, a known quantity of aqueous MEA-[TBP][MeSO3] was loaded into the equilibrium cell (EC). The EC was degassed by a vacuum pump and the desired temperature inside the EC was maintained using a chiller. CO2 gas was then introduced into the reservoir of known volume (from VA to VB) and brought to a constant temperature in order to calculate the initial number of moles of CO2 before sending to the EC. The initial number of moles of CO2 was calculated using Equation (1).
n C O 2 i = P i V r e s Z C O 2 i R T i  
where n C O 2 i is the initial number of moles of CO2 charged into EC, P i is the initial pressure, T i is the initial temperature, V r e s is the volume of the reservoir, Z C O 2 i is the compressibility factor at initial temperature and pressure conditions (calculated from Peng-Robinson equation of state) and R is the universal gas constant.
CO2 was then introduced into EC by opening VB. As the absorption of CO2 in aqueous MEA-[TBP][MeSO3] starts, the pressure inside the cell reduces in continuous manner. The pressure in the system was recorded in 1 min intervals, as the whole system was allowed sufficient time to reach the equilibrium. The time duration varied between 90 and 120 min. At the equilibrium condition, the moles of CO2 left in the cell were calculated using Equation (2).
n C O 2 e q = P e q ( V t o t a l V s ) Z C O 2 f R T e q  
where n C O 2 e q is the number of moles of CO2 left in the system at equilibrium, P e q is the pressure at equilibrium, T e q is the temperature at equilibrium, V t o t a l is the volume of the CO2 absorption system from valve A (VA) to valve C (VC), V s   is volume of aqueous MEA-[TBP][MeSO3] and Z C O 2 f is the compressibility factor at equilibrium temperature and pressure conditions (calculated from Peng-Robinson equation of state). The number of moles of CO2 absorbed ( n C O 2 a b s ) by aqueous MEA-[TBP][MeSO3] is given by Equation (3).
n C O 2 a b s = n C O 2 e q n C O 2 i
where n C O 2 e q is the number of moles of CO2 left in the system at equilibrium and n C O 2   i is the initial number of moles of CO2 charged into EC. Meanwhile, the solubility of CO2 expressed in mole fraction (x2) was calculated according to Equation (4).
x 2 = n C O 2 a b s n C O 2 a b s + n s  
where n C O 2 a b s is the number of moles of CO2 absorbed by aqueous MEA-[TBP][MeSO3] and n s is the number of moles of aqueous MEA-[TBP][MeSO3] used in the system.

2.4. Optimization Study of CO2 Solubility in the Aqueous MEA-[TBP][MeSO3] Solvent Using RSM

The response surface methodology (RSM) was developed based on the central composite design (CCD), with CO2 as the dependent variable (responses), using Design-Expert software version 12. The factors of experimental design, including IL ([TBP][MeSO3]) concentration (wt%), temperature (°C) and pressure of CO2 (bar), were selected. The CCD was performed using a 23 face centered design and, according to the three levels and three variable concepts, 20 experimental points in random order were adopted in this design. The three independent variables were prescribed into three levels (low, basal and high) and coded values (−1, 0, +1). CCD was chosen because the design includes a repetition of center points that is used to calculate the experimental error, providing more reliable data. A total of 20 runs of experiments were performed, and the experimental results were fitted to regression model equation.
In this study, the independent variable for the IL (TBP][MeSO3]) concentration was represented by variable A, while the temperature was denoted as B and the pressure of CO2 was denoted as C. The range and levels of the processing parameters involved are shown in Table 1.

2.5. FT-IR Spectroscopy

FT-IR analysis was carried out for aqueous MEA, aqueous 20 wt% [TBP][MeSO3] and aqueous MEA-[TBP][MeSO3], before and after their exposure to CO2, with the main purpose of identifying new bands of the carbamate species that show that CO2 is chemically absorbed by the samples as amine reacts with CO2 to form carbamate [18]. Each spectrum was recorded in spectral ranging from 4000 to 550 cm−1.

3. Results

3.1. Density and Viscosity

The effect of IL ([TBP][MeSO3]) concentration and temperature on the density of aqueous MEA-[TBP][MeSO3] solvent was studied. Figure 2 shows the significant effect of IL concentration and temperature on the density of the hybrid solvents. As expected, the density of the aqueous MEA-[TBP][MeSO3] solvent increased with the increased of IL concentration due to more molecules present in the hybrid solvent at constant volume. The aqueous MEA, without the presence of IL, showed the lowest density as compared to the hybrid solvents. Meanwhile, as expected, the density of the hybrid solvent was found to be decreased by increasing the temperature. This is due to the increase in volume, as heat causes the molecules to move faster and move apart as they receive the high kinetic energy of the increasing temperature, which in turn reduces the density.
The effect of IL concentration and temperature on the viscosity of aqueous MEA-[TBP][MeSO3] solvent was studied. Figure 3 presents the plot graph of viscosity of the hybrid solvent with different concentrations of IL and at different temperatures. As shown in the figure, the viscosity of all absorbents used in this study was low (less than 0.05 Pa.s), which could help facilitate the mass transfer for CO2 absorption [13]. Figure 3 also demonstrates, as expected, that the viscosity of the hybrid solvent decreases with increasing temperature. Higher thermal energy causes the molecules to become more mobile and weakens the molecular resistance. Meanwhile, the increase in concentration of IL causes the increase of the internal resistance in the mixture, which in turn increases the viscosity of the hybrid solvent [19].

3.2. FT-IR Spectroscopy

Figure 4 shows the FT-IR spectrum in the region from 800 to 1800 cm−1 for samples before and after the CO2 solubility experiment, while Table 2 shows important band assignment analysis of the FT-IR spectra. The wavenumber regions from 650 to 800 cm−1 and from 1800 to 4000 cm−1 do not provide useful information for interaction between samples and CO2. In Figure 4a, no new band emergence was observed for 20 wt.% [TBP][MeSO3] aqueous sample after CO2 exposure, indicating physical absorption of CO2 in the aqueous IL [10]. As shown in Figure 4b,c, emergence of new bands at 1568, 1486 and 1312 cm−1 was observed in the sample of aqueous MEA and aqueous MEA-[TBP][MeSO3] after the CO2 solubility experiment. These bands are assigned to carbamate’s COO asymmetric and COO symmetric stretching and N-COO stretching vibration. It should be noted that the bands at 955 cm−1 (C-N-H out-of-plane wagging and C-NH2 twisting) and 1362 cm−1 (NH2 twisting) for MEA in the samples decreased upon CO2 exposure. There was also protonation of MEA, resulting in a C-N stretching mode shift from 1074 to 1066 cm −1. Similar observations where stable carbamate is formed when MEA reacted with CO2 have been reported [18,20,21]. This chemical bonded formation can lead to large amounts of energy required for regeneration of the amine [4].

3.3. Optimization Study of CO2 Solubility in the Aqueous MEA-[TBP][MeSO3] Solvent Using RSM

In this study, response surface methodology (RSM) based on the central composite design (CCD) was employed to analyze the effects of three parameters, i.e. IL [TBP][MeSO3] concentration, temperature and CO2 pressure, on the absorption of CO2 in aqueous MEA-[TBP][MeSO3] solvent. The CCD was performed using a 23 face centered design according to the three levels and three variable concepts, in which 20 experimental runs in random order were adopted. Table 3 shows the parameters of each run that were generated using the central composite design (CCD) method and the experimental response data, which were degree CO2 solubility in hybrid solvent.

3.3.1. Analysis of Variance (ANOVA)

The ANOVA analysis as presented in Table 4 indicates that the quadratic model is significant to represent the CO2 removal using the aqueous MEA-[TBP][MeSO3] solvent. The regression model is as follows:
Mol fraction = 0.5316 − (2.76 × 10−4)A − (8.8 × 10−4)B + (8.48 × 10−3)C + (2.9 × 10−5)AB + (2.976 × 10−6)AC + (5.5 × 10−5)BC − (8.4 × 10−5)A2 − (3.3 × 10−5)B2 − (1.19 × 10−4)C2
As can be seen in Table 4, the calculated F-value of 90.84 and p-value <0.0001 indicate that the model was significant with low probability of error in this study. Correspondingly, the calculated lack of fit was 4.87, which was not significantly relative to the pure error. A possibility of 5.36% of large lack of fit F-value may occur due to noise. p-values less than 0.0500 indicate model terms are significant [22]. In this case B, C, BC and C² are significant model terms. The most significant model term was pressure, with the highest F-value of 668.98. The factor of IL concentration (A), with p-value of 0.0985, does not give significant effect towards the CO2 solubility response.

3.3.2. Fit Statistics

Fit summary output analysis showed that the quadratic model was statistically significant to represent the mol fraction of CO2 solubility response (Table 5). The high value of R2 (0.9879) indicates that the data fit the model very well. The predicted R2 (0.8443) was in acceptable agreement with the adjusted R2 (0.9770), as the difference was less than 0.2.
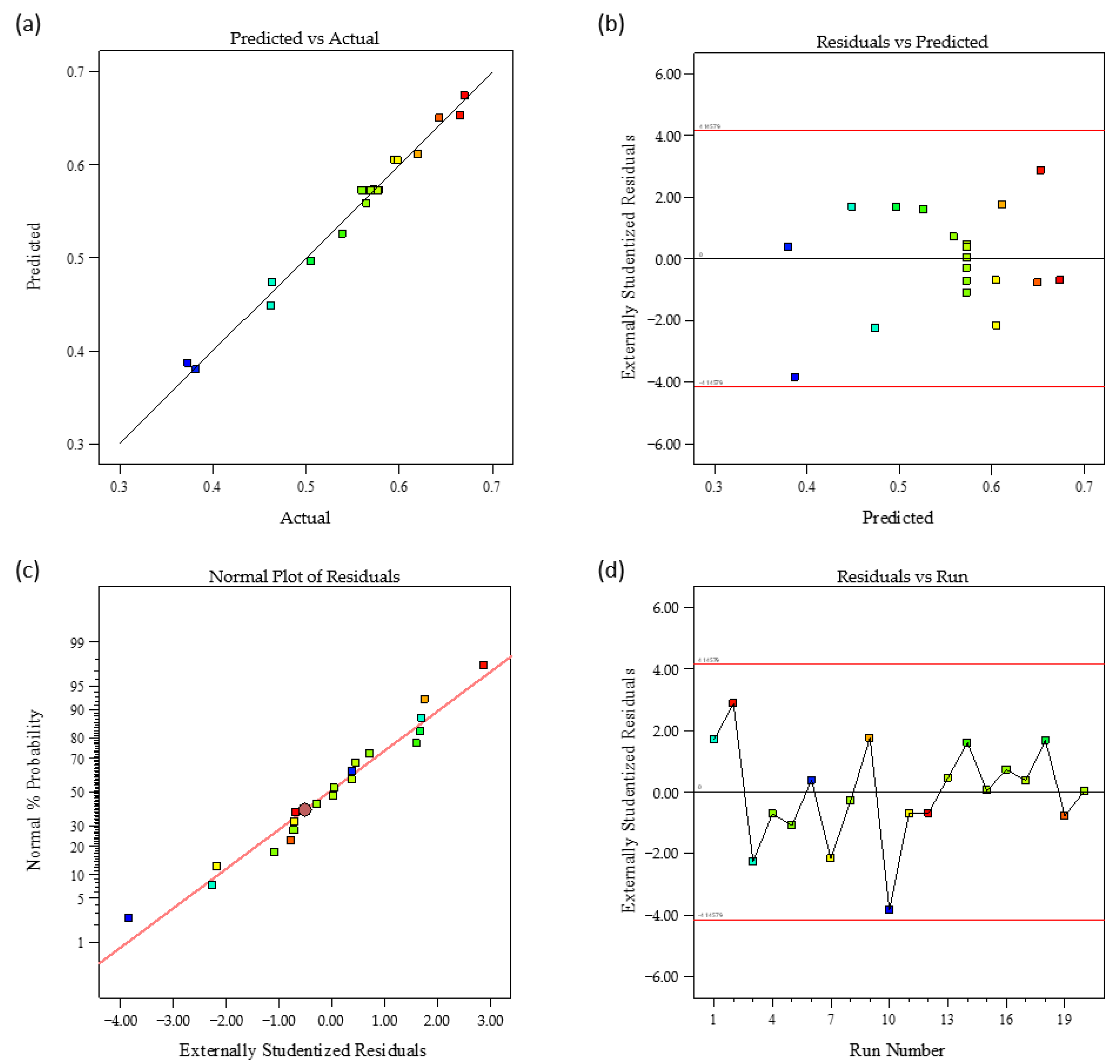
Figure 5a shows the actual against the predicted value plot for CO2 solubility, where the residuals were generally placed on a straight line and normally distributed. The actual value and predicted values for all responses were close to each other, as shown in Table 3. These results confirmed that the predicted and actual values were in good agreement, with high acceptability of the models [23]. The adequate precision measures the signal to noise ratio, and the ratio value of 33.76 indicated an adequate signal (adeq precision >4) [24].
Figure 5b shows the residuals were equally dispersed inside the red line of the x-axis without any trend. This scenario suggested the proposed models were acceptably free from any violation of the independence or constant variance assumption. Figure 5c presents an analysis of the normal probability plot of residuals that provides additional info on the adequacy of the final model. The graph shows approximately linear residual distribution, which indicates uniform distribution of errors. Thus, the adequacy of the least-square fit was justified. Meanwhile, Figure 5d shows the residual plots vs. experimental run order for CO2 solubility in aqueous MEA-[TBP][MeSO3] solvent. As can be seen in the plot, there is a random scatter, providing assurance that no other lurking variables may have influenced the response during the experiment.

3.3.3. Effect of the Variable Factors

The effect of the variable factors and their interactions on CO2 solubility is shown in Figure 6. As seen in the perturbation plot in Figure 6a, temperature (curve B) and pressure (curve C) are the significant factors affecting the CO2 solubility as compared to IL concentration (curve A). The analysis of variance summarized in Table 4 confirms these findings. Similar observations on the effect of IL addition into amine solution on CO2 solubility have been reported. Xu et al. suggest that the absorption of CO2 relies mainly on MEA, with little effect from IL, since adding salt might reduce the solubility of carbamate (resulting in MEA reacting with water) in a solution and hinder CO2 absorption. This process is known as the salting out effect. Despite the reduced CO2 solubility performance from the effect of IL concentration, the presence of IL may help in saving the energy during the regeneration process due to its lower heat capacity [13]. However, this work mainly focusses on the CO2 absorption of this hybrid solvent, and further study on the desorption process will be necessary in the future.
From the perturbation plot, it is seen that an increase in temperature decreases the CO2 solubility, while an increase in pressure improves CO2 solubility; this is a trend that is consistent with gas solubility in ILs. As CO2 absorption involves an exothermic reaction, the chemisorption reaction decreases as the temperature increases. On the other hand, increasing the pressure of the gas increases the number of collisions between the CO2 molecules and the surface of the solution; hence, more gas is dissolved as the pressure increases [25,26]. It can be seen from the perturbation plot and the 3D response surface plots that pressure has the highest effect on CO2 solubility. RSM analyses also showed that no significant interactions took place between IL concentration and temperature, as shown in Figure 6b, and between IL concentration and pressure, as shown in Figure 6c. A significant interaction between temperature and pressure was detected, as seen in Figure 6d, which was indicated in the ANOVA table (Table 4). At high pressure, the effect of temperature on CO2 solubility was higher compared to the effect of temperature on CO2 solubility at lower pressure.

3.3.4. Validation of Empirical Model Adequacy

To ensure the developed empirical model was accurate, three validation experiments were implemented with new parameters, which were not tested during this experiment. The new parameters shown in Table 6 are within the ranges tested previously. The error ranging from 0.46% to 3.59% is within the 95% confidence interval. Hence, the model is acceptable, since the error is below 5.0%. The cause of error might be from random error.

3.3.5. Optimization of CO2 Capture

Table 7 shows the optimized parameter values to achieve maximum CO2 solubility in aqueous MEA-[TBP][MeSO3] solvent. Based on the suggested RSM model, the predicted maximum mol fraction of CO2 solubility in aqueous MEA-[TBP][MeSO3] solvent under optimum conditions is 0.670. This value was only slightly higher as compared to the solubility of CO2 in 30 wt% aqueous MEA solution, where the mol fraction of CO2 solubility was found to be 0.613 under the same temperature and pressure conditions.

4. Conclusions

An absorption study of CO2 using an aqueous MEA-[TBP][MeSO3] hybrid solvent under different IL concentrations, temperatures and pressures was conducted. The density and viscosity showed an increasing trend at high IL concentration and a decreasing trend with increasing temperature. The FT-IR spectroscopy analyses show physical absorption of CO2 in [TBP][MeSO3], while chemical absorption of CO2 was detected in aqueous MEA and the hybrid solvents. The solubility CO2 study using RSM concluded that the most significant factor in CO2 solubility is pressure, followed by temperature. The IL concentration did not have a significant effect on the mol fraction of CO2 solubility. The validation of the experiment shows the quadratic model equation is within the acceptable range of error.

Author Contributions

Conceptualization, M.F.T. and A.I.; Data curation, M.U.Z.A. and N.M.M.Y.; Methodology, M.U.Z.A. and N.M.M.Y.; Project administration, M.F.T. and A.I.; Software, M.U.Z.A., M.F.T., N.M.M.Y. and S.M.M.G.; Writing—original draft, M.U.Z.A. and N.M.M.Y.; Writing—review and editing, M.F.T. All authors have read and agreed to the published version of the manuscript.

Funding

This research was funded by Yayasan Teknologi PETRONAS (YUTP), grant number 015LC0-074.

Institutional Review Board Statement

Not applicable.

Informed Consent Statement

Not applicable.

Conflicts of Interest

The authors declare no conflict of interest. The funders had no role in the design of the study; in the collection, analyses, or interpretation of data; in the writing of the manuscript, or in the decision to publish the results.

References

  1. Gas 2020. Available online: https://www.iea.org/reports/gas-2020 (accessed on 4 April 2021).
  2. Haider, J.; Saeed, S.; Qyyum, M.A.; Kazmi, B.; Ahmad, R.; Muhammad, A.; Lee, M. Simultaneous capture of acid gases from natural gas adopting ionic liquids: Challenges, recent developments, and prospects. Renew. Sustain. Energy Rev. 2020, 123, 109771. [Google Scholar] [CrossRef]
  3. Rochelle, G.T. Amine Scrubbing for CO2 Capture. Science 2009, 325, 1652–1654. [Google Scholar] [CrossRef]
  4. Rufford, T.; Smart, S.; Watson, G.; Graham, B.; Boxall, J.; da Costa, J.D.; May, E. The removal of CO2 and N2 from natural gas: A review of conventional and emerging process technologies. J. Pet. Sci. Eng. 2012, 94–95, 123–154. [Google Scholar] [CrossRef]
  5. Feng, Z.; Cheng-Gang, F.; You-Ting, W.; Yuan-Tao, W.; Ai-Min, L.; Zhi-Bing, Z. Absorption of CO2 in the aqueous solutions of functionalized ionic liquids and MDEA. Chem. Eng. J. 2010, 160, 691–697. [Google Scholar] [CrossRef]
  6. Vega, F.; Cano, M.; Camino, S.; Fernández, L.M.G.; Portillo, E.; Navarrete, B. Solvents for carbon dioxide capture. In Carbon Dioxide Chemistry, Capture and Oil Recovery; Karamé, I., Ed.; IntechOpen: London, UK, 2018; p. 142. [Google Scholar]
  7. Veawab, A.; Tontiwachwuthikul, P.; Chakma, A. Corrosion Behavior of Carbon Steel in the CO2 Absorption Process Using Aqueous Amine Solutions. Ind. Eng. Chem. Res. 1999, 38, 3917–3924. [Google Scholar] [CrossRef]
  8. Hasib-Ur-Rahman, M.; Bouteldja, H.; Fongarland, P.; Siaj, M.; Larachi, F. Corrosion Behavior of Carbon Steel in Alkanolamine/Room-Temperature Ionic Liquid Based CO2 Capture Systems. Ind. Eng. Chem. Res. 2011, 51, 8711–8718. [Google Scholar] [CrossRef]
  9. Ramdin, M.; De Loos, T.W.; Vlugt, T.J. State-of-the-Art of CO2 Capture with Ionic Liquids. Ind. Eng. Chem. Res. 2012, 51, 8149–8177. [Google Scholar] [CrossRef]
  10. Blanchard, L.A.; Hancu, D.; Beckman, E.J.; Brennecke, J.F. Green processing using ionic liquids and CO2. Nature 1999, 399, 28–29. [Google Scholar] [CrossRef]
  11. Shojaeian, A.; Haghtalab, A. Solubility and density of carbon dioxide in different aqueous alkanolamine solutions blended with 1-butyl-3-methylimidazolium acetate ionic liquid at high pressure. J. Mol. Liq. 2013, 187, 218–225. [Google Scholar] [CrossRef]
  12. Camper, D.; Bara, J.E.; Gin, D.L.; Noble, R.D. Room-Temperature Ionic Liquid−Amine Solutions: Tunable Solvents for Efficient and Reversible Capture of CO2. Ind. Eng. Chem. Res. 2008, 47, 8496–8498. [Google Scholar] [CrossRef]
  13. Xu, F.; Gao, H.; Dong, H.; Wang, Z.; Zhang, X.; Ren, B.; Zhang, S. Solubility of CO2 in aqueous mixtures of monoethanolamine and dicyanamide-based ionic liquids. Fluid Phase Equilibria 2014, 365, 80–87. [Google Scholar] [CrossRef]
  14. Liu, Y.; Dai, Z.; Dai, F.; Ji, X. Ionic Liquids/Deep Eutectic Solvents-Based Hybrid Solvents for CO2 Capture. Crystals 2020, 10, 978. [Google Scholar] [CrossRef]
  15. Azman, M.A.S. Investigation on the CO2 Solubility of Alkanolamine-ionic Liquid Hybrid Solvent; Final Year Project; Universiti Teknologi Petronas: Seri Iskandar, Malaysia, 2020. [Google Scholar]
  16. Stolarska, O.; Soto, A.; Rodríguez, H.; Smiglak, M. Properties modification by eutectic formation in mixtures of ionic liquids. RSC Adv. 2015, 5, 22178–22187. [Google Scholar] [CrossRef]
  17. Palgunadi, J.; Kang, J.; Cheong, M.; Kim, H.; Lee, H. Fluorine-Free Imidazolium-Based Ionic Liquids with a Phosphorous-Containing Anion as Potential CO2 Absorbents. Bull. Korean Chem. Soc. 2009, 30, 1749–1754. [Google Scholar] [CrossRef] [Green Version]
  18. Sun, C.; Dutta, P.K. Infrared Spectroscopic Study of Reaction of Carbon Dioxide with Aqueous Monoethanolamine Solutions. Ind. Eng. Chem. Res. 2016, 55, 6276–6283. [Google Scholar] [CrossRef]
  19. Khan, S.N.; Hailegiorgis, S.M.; Man, Z.; Shariff, A.M.; Garg, S. Thermophysical Properties of Aqueous 1-Butyl-3-Methylimidazolium Acetate [BMIM] [AC] + Monoethanolamine (MEA) Hybrid as a Solvent for CO2 Capture. Procedia Eng. 2016, 148, 1326–1331. [Google Scholar] [CrossRef] [Green Version]
  20. Cheng, H.; Song, H.; Toan, S.; Wang, B.; Gasem, K.A.; Fan, M.; Cheng, F. Experimental investigation of CO2 adsorption and desorption on multi-type amines loaded HZSM-5 zeolites. Chem. Eng. J. 2021, 406, 126882. [Google Scholar] [CrossRef]
  21. Ma, C.; Pietrucci, F.; Andreoni, W. Capturing CO2 in Monoethanolamine (MEA) Aqueous Solutions: Fingerprints of Carbamate Formation Assessed with First-Principles Simulations. J. Phys. Chem. Lett. 2014, 5, 1672–1677. [Google Scholar] [CrossRef]
  22. Morero, B.; Groppelli, E.S.; Campanella, E.A. Evaluation of biogas upgrading technologies using a response surface methodology for process simulation. J. Clean. Prod. 2017, 141, 978–988. [Google Scholar] [CrossRef]
  23. Abdulredha, M.M.; Hussain, S.A.; Abdullah, L.C. Optimization of the demulsification of water in oil emulsion via non-ionic surfactant by the response surface methods. J. Pet. Sci. Eng. 2020, 184, 106463. [Google Scholar] [CrossRef]
  24. Pashaei, H.; Ghaemi, A.; Nasiri, M.; Karami, B. Experimental Modeling and Optimization of CO2 Absorption into Piperazine Solutions Using RSM-CCD Methodology. ACS Omega 2020, 5, 8432–8448. [Google Scholar] [CrossRef] [PubMed] [Green Version]
  25. Shariff, A.; Shaikh, M.S.; Bustam, M.; Garg, S.; Faiqa, N.; Aftab, A. High-pressure Solubility of Carbon Dioxide in Aqueous Sodium L-Prolinate Solution. Procedia Eng. 2016, 148, 580–587. [Google Scholar] [CrossRef] [Green Version]
  26. Maginn, E. Ionic Liquids: Breakthrough Absorption Technology for Post-Combustion CO2 Capture; Technical Report; Office of Scientific and Technical Information (OSTI): Oak Ridge, TN, USA, 2012. [Google Scholar]
Figure 1. Schematic diagram of CO2 absorption apparatus.
Figure 1. Schematic diagram of CO2 absorption apparatus.
Processes 09 01186 g001
Figure 2. Density of aqueous MEA and aqueous MEA-[TBP][MeSO3] solvent at different IL concentrations and temperatures.
Figure 2. Density of aqueous MEA and aqueous MEA-[TBP][MeSO3] solvent at different IL concentrations and temperatures.
Processes 09 01186 g002
Figure 3. Viscosity of aqueous MEA-[TBP][MeSO3] solvent at different IL concentrations and temperatures.
Figure 3. Viscosity of aqueous MEA-[TBP][MeSO3] solvent at different IL concentrations and temperatures.
Processes 09 01186 g003
Figure 4. FT-IR spectra of samples: (a) aqueous 20 wt% of IL; (b) aqueous 30 wt% of MEA and (c) aqueous MEA + 20 wt% IL before (solid line) and after (dash line) exposure to CO2.
Figure 4. FT-IR spectra of samples: (a) aqueous 20 wt% of IL; (b) aqueous 30 wt% of MEA and (c) aqueous MEA + 20 wt% IL before (solid line) and after (dash line) exposure to CO2.
Processes 09 01186 g004
Figure 5. The CCD predicted value of CO2 removal efficiency vs. (a) actual absorption and (b) externally studentized residuals, and externally studentized residuals vs. (c) normal probability and (d) experiment run number.
Figure 5. The CCD predicted value of CO2 removal efficiency vs. (a) actual absorption and (b) externally studentized residuals, and externally studentized residuals vs. (c) normal probability and (d) experiment run number.
Processes 09 01186 g005
Figure 6. (a) Perturbation plot showing the effect of variable factors on CO2 solubility and the response surface plots of CO2 solubility as a function of (b) IL concentration and temperature, (c) IL concentration and pressure, and (d) pressure and temperature.
Figure 6. (a) Perturbation plot showing the effect of variable factors on CO2 solubility and the response surface plots of CO2 solubility as a function of (b) IL concentration and temperature, (c) IL concentration and pressure, and (d) pressure and temperature.
Processes 09 01186 g006
Table 1. Independent variables and concentration levels for response surface study.
Table 1. Independent variables and concentration levels for response surface study.
FactorsUnitLevels
−10+1
A: IL ([TBP][MeSO3]) concentrationwt%21020
B: Temperature°C304560
C: Pressure of CO2bar21630
Table 2. FT-IR absorption band assignment.
Table 2. FT-IR absorption band assignment.
Band (cm−1)Assignment
1568COO (carbamate)
1483COO (carbamate)
1380C-O (CO2/ CO32− physical adsorption)
1362NH2 (MEA)
1312N-COO (carbamate)
1074C-N stretching (MEA)
1066C-N (protonated MEA, carbamate)
955C-NH2 (MEA)
Table 3. Experimental layout and results of 23 face centered central composite design.
Table 3. Experimental layout and results of 23 face centered central composite design.
StandardA: IL Concentration (wt%)B: Temperature (°C)C: CO2 Pressure (bar)Mol Fraction
ExperimentalPredicted
123020.5050.496
2203020.4630.474
326020.3730.387
4206020.3820.380
5230300.6700.674
62030300.6650.653
7260300.6200.611
82060300.5950.605
9245160.5730.573
102045160.5650.559
111130160.5980.604
121160160.5390.526
13114520.4620.448
141145300.6430.650
151145160.5730.572
161145160.5640.572
171145160.5600.572
181145160.5780.572
191145160.5770.572
201145160.5690.572
Table 4. ANOVA for quadratic modelling of CO2 removal.
Table 4. ANOVA for quadratic modelling of CO2 removal.
SourceSum of SquaresdFMean SquareF-Valuep-Value
Model0.124290.013890.84<0.0001significant
A-IL Concentration0.000510.00053.320.0985
B-Temp0.015410.0154101.17<0.0001
C-Pressures0.101610.1016668.98<0.0001
AB0.000110.00010.79090.3947
AC1.125 × 10−611.125 × 10−60.00740.9331
BC0.001110.00117.120.0236
0.000110.00010.84170.3805
0.000110.00010.96970.3480
0.001510.00159.840.0106
Residual0.0015100.0002
Lack of Fit0.001350.00034.870.0536not significant
Pure Error0.000350.0001
Cor Total0.125719
Table 5. Fit statistics of Response Surface Quadratic Model.
Table 5. Fit statistics of Response Surface Quadratic Model.
FactorsValue
Std. Dev.0.0123
Mean0.5537
Coefficient of variance percentage2.23
R20.9879
Adjusted R20.9770
Predicted R20.8443
Adequate Precision33.7600
Table 6. Results of operating conditions with experimental design in confirmation runs.
Table 6. Results of operating conditions with experimental design in confirmation runs.
Run FactorMol Fraction
A: IL Concentration (wt%)B: Temperature (°C)C: CO2 Pressure (bar)ActualPredictedError (%)
2030160.5790.5942.53
204520.4390.4370.46
2045300.6170.6403.59
Table 7. Optimized condition for CO2 solubility in aqueous MEA-[TBP][MeSO3] solvent.
Table 7. Optimized condition for CO2 solubility in aqueous MEA-[TBP][MeSO3] solvent.
FactorsValue
[TBP][MeSO3] concentration2.093 wt%
Temperature30.36 °C
Pressure29.89 bar
Publisher’s Note: MDPI stays neutral with regard to jurisdictional claims in published maps and institutional affiliations.

Share and Cite

MDPI and ACS Style

Zainul Anuar, M.U.; Taha, M.F.; Md Yunus, N.M.; Mat Ghani, S.M.; Idris, A. An Optimization Study of Carbon Dioxide Absorption into the Aqueous Solution of Monoethanolamine and Tetrabutylphosphonium Methanesulfonate Hybrid Solvent Using RSM-CCD Methodology. Processes 2021, 9, 1186. https://doi.org/10.3390/pr9071186

AMA Style

Zainul Anuar MU, Taha MF, Md Yunus NM, Mat Ghani SM, Idris A. An Optimization Study of Carbon Dioxide Absorption into the Aqueous Solution of Monoethanolamine and Tetrabutylphosphonium Methanesulfonate Hybrid Solvent Using RSM-CCD Methodology. Processes. 2021; 9(7):1186. https://doi.org/10.3390/pr9071186

Chicago/Turabian Style

Zainul Anuar, Mus’ab Umair, Mohd Faisal Taha, Noor Mona Md Yunus, Siti Musliha Mat Ghani, and Azila Idris. 2021. "An Optimization Study of Carbon Dioxide Absorption into the Aqueous Solution of Monoethanolamine and Tetrabutylphosphonium Methanesulfonate Hybrid Solvent Using RSM-CCD Methodology" Processes 9, no. 7: 1186. https://doi.org/10.3390/pr9071186

APA Style

Zainul Anuar, M. U., Taha, M. F., Md Yunus, N. M., Mat Ghani, S. M., & Idris, A. (2021). An Optimization Study of Carbon Dioxide Absorption into the Aqueous Solution of Monoethanolamine and Tetrabutylphosphonium Methanesulfonate Hybrid Solvent Using RSM-CCD Methodology. Processes, 9(7), 1186. https://doi.org/10.3390/pr9071186

Note that from the first issue of 2016, this journal uses article numbers instead of page numbers. See further details here.

Article Metrics

Back to TopTop