Systematic Review on Isolation Processes for Technical Lignin
Abstract
1. Introduction
2. State of the Art Isolation Processes for Kraft Lignin
2.1. The WestVaco Process—Indulin
2.2. LignoBoost
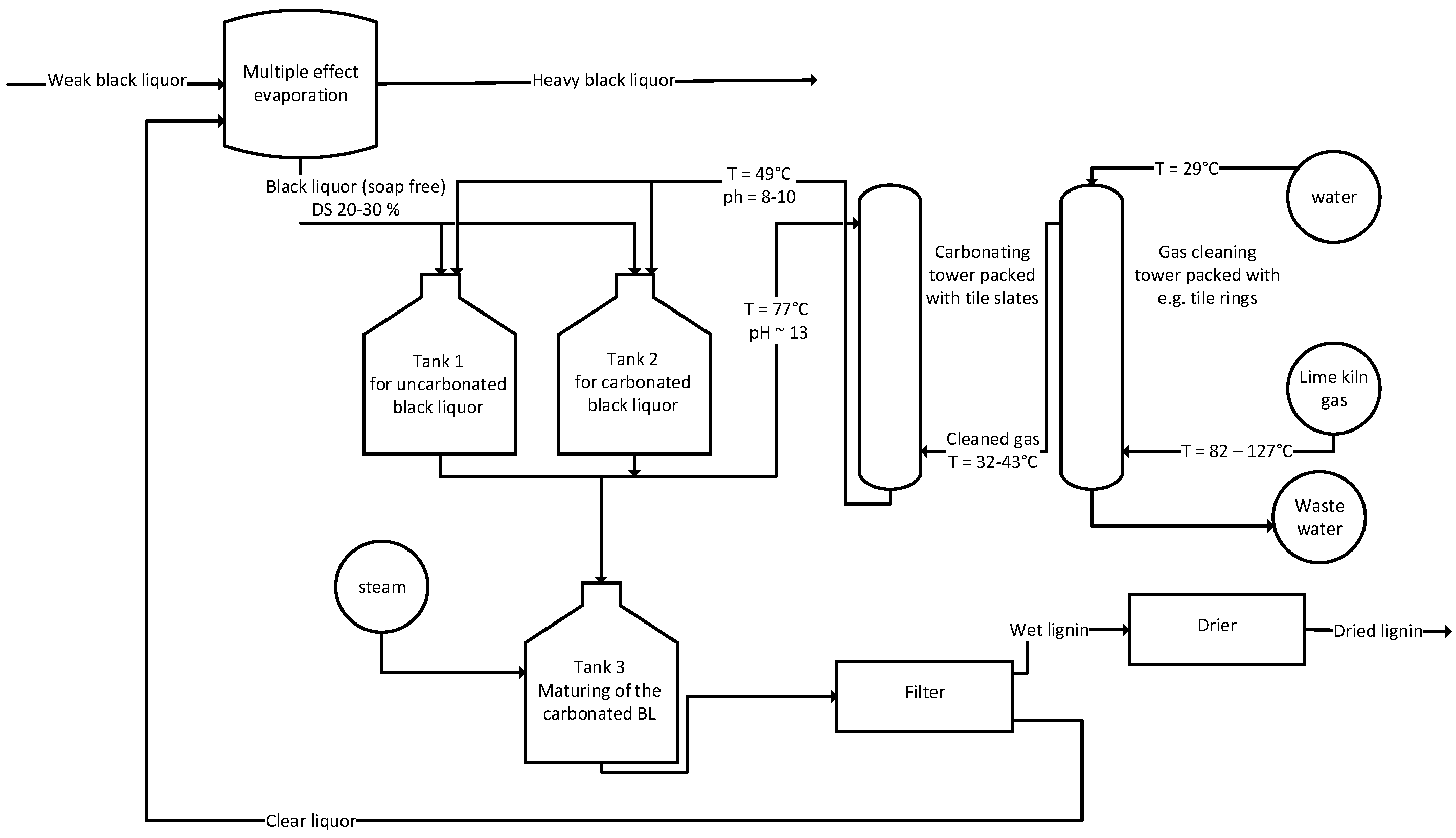
2.3. LignoForce
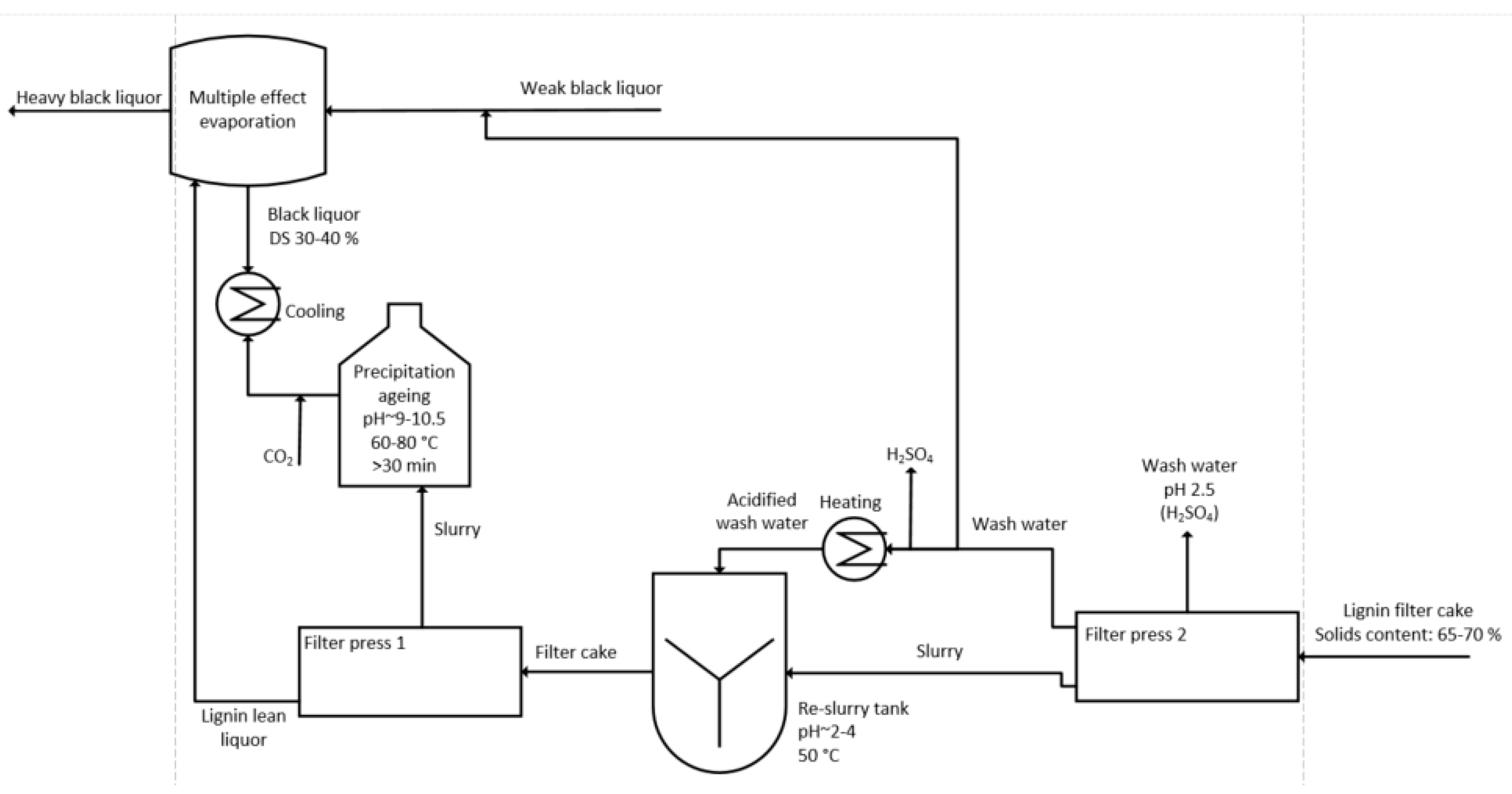
2.4. Sequential Liquid-Lignin Recovery and Purification (SLRP)
2.5. Factors Influencing the Precipitation and Filterability of Lignin from Black Liquor
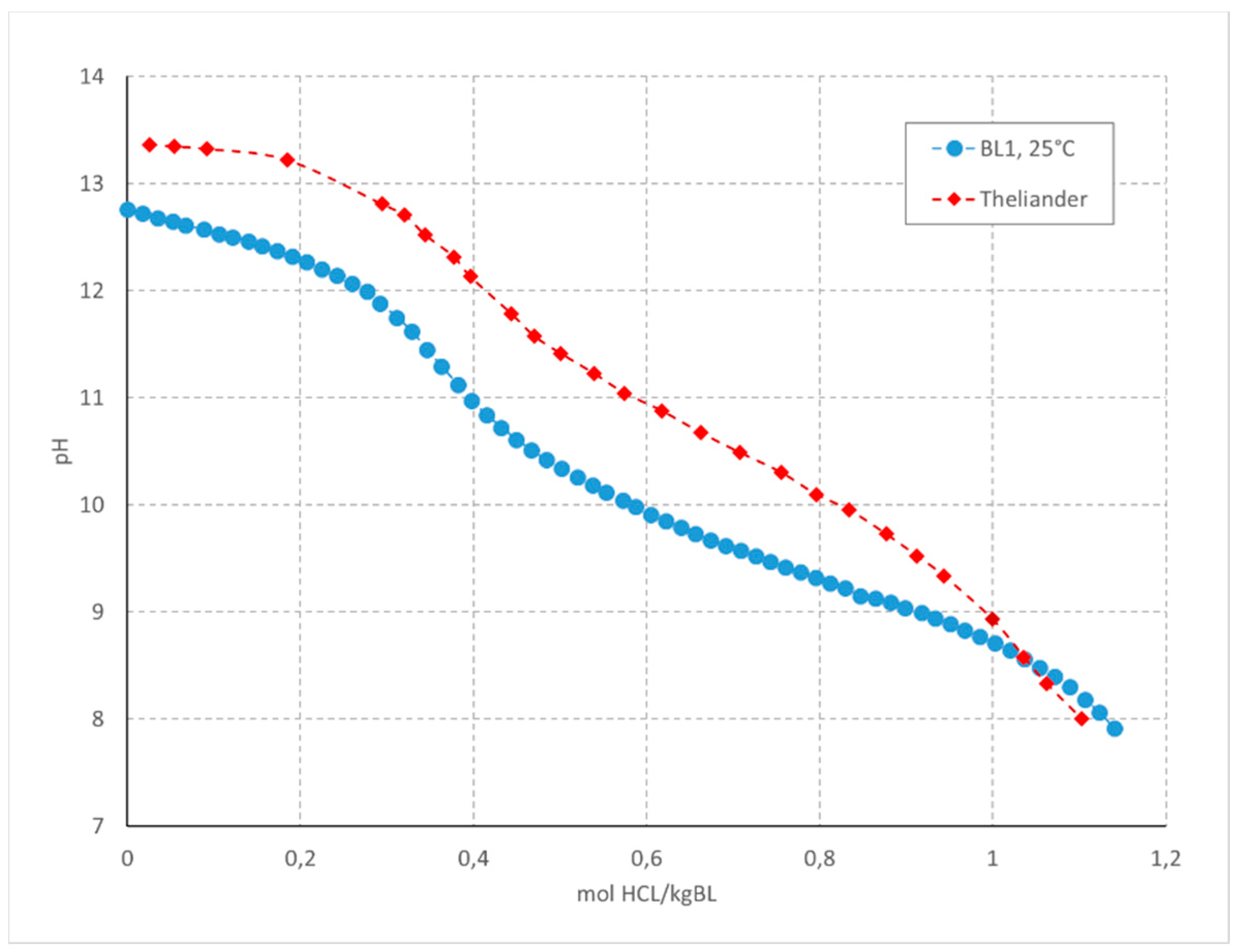
2.5.1. Acid Type
2.5.2. CO2 Concentration
2.5.3. Black Liquor Composition
2.5.4. Process Conditions during Precipitation
2.5.5. Resource Structure
2.5.6. Hydrodynamics
2.5.7. Other Influencing Factors
2.5.8. Economics
2.6. Comparison of Lignin Washing in the LignoBoost Process, the LignoForce SystemTM and the SLRP Process
- The lignin formed has the same properties in terms of filterability, filter cake porosity etc. for all three processes.
- The amount of produced lignin is defined with 0.83 m3 of dry lignin, all streams and parameters are defined accordingly.
- Input black liquor has the same solids content and ash content for all three processes.
- The lignin content in the filter cake remains stable during washing.
- Pure water is used for the washing with a density of 1 kg·L−1.
- The acidification with CO2 (1st acidification step) does not influence the overall ash content of the model.
- The acidification with H2SO4 (2nd acidification step) is taken into account in the overall ash balance.
- Based on washing data published by Öhman et al. three theoretical mixing cells are assumed [34].
- The ratio of wash liquid to pore volume in the filter cake equals 1.1.
- Dilution effects by addition of CO2, H2SO4 or O2 and concentration effects for example by the evaporation or the liberation of H2S and CO2 are neglected.
- Black liquor, lignin, and lignin lean liquor densities are equal.
- Inorganics are treated as a single substance.
- Values for H2SO4 demand for the second acidification are the average values from published data.
2.7. Critical Discussion of the Four Processes and Conclusions
3. State of the Art Isolation Processes for Lignosulfonates
4. Conclusions
Author Contributions
Funding
Institutional Review Board Statement
Informed Consent Statement
Acknowledgments
Conflicts of Interest
References
- Sandborn, L.T.; Richter, S.J.; Clemens, H.G. Process for Making Vanillin. U.S. Patent Application No. 663,180, 13 October 1936. [Google Scholar]
- Sande, W.E.; Sears, K.D. Method for Preparing Vanillin from Old Newsprint. U.S. Patent Application No. 350,835, 31 December 1996. [Google Scholar]
- Wang, Y.; Sun, S.; Li, F.; Cao, X.; Sun, R. Production of vanillin from lignin: The relationship between β-O-4 linkages and vanillin yield. Ind. Crop. Prod. 2018, 116, 116–121. [Google Scholar] [CrossRef]
- Mainka, H.; Täger, O.; Körner, E.; Hilfert, L.; Busse, S.; Edelmann, F.T.; Herrmann, A.S. Lignin—An alternative precursor for sustainable and cost-effective automotive carbon fiber. J. Mater. Res. Technol. 2015, 4, 283–296. [Google Scholar] [CrossRef]
- Baker, D.A.; Gallego, N.C.; Baker, F.S. On the characterization and spinning of an organic-purified lignin toward the manufacture of low-cost carbon fiber. J. Appl. Polym. Sci. 2012, 124, 227–234. [Google Scholar] [CrossRef]
- Kadla, J.F.; Kubo, S.; Venditti, R.A.; Gilbert, R.D.; Compere, A.L.; Griffith, W. Lignin-based carbon fibers for composite fiber applications. Carbon 2002, 40, 2913–2920. [Google Scholar] [CrossRef]
- Otani, S.; Fukuoka, Y.; Igarashi, I.; Sasaki, K. Method for Prqducing Carbonezed Lignin Fiber. U.S. Patent Application No. 492,878, 12 August 1969. [Google Scholar]
- Baker, D.A.; Rials, T.G. Recent advances in low-cost carbon fiber manufacture from lignin. J. Appl. Polym. Sci. 2013, 130, 713–728. [Google Scholar] [CrossRef]
- Williams, C.H.; Rubin, D.H.; Hao, J.; Bar, B.; Frist, A. Composition Comprising Lignosulfonates for Crop Protection and Crop Improvement. U.S. Patent Application No. US 2006/0247130 A1, 02 November 2006. [Google Scholar]
- Meier, J.N.; Fyles, J.W.; MacKenzie, A.F.; O’Halloran, I.P. Effects of lignosulfonate-fertilizer applications on soil respiration and nitrogen dynamics. Can. J. Soil Sci. 1993, 73, 233–242. [Google Scholar] [CrossRef]
- Detroit, W.J. Lignosulfonate Treatment Fertilizer Particles. U.S. Patent Application No. 24,044, 11 July 1989. [Google Scholar]
- Alonso, M.V.; Oliet, M.; Rodriguez, F.; Astarloa, G.; Echeverría, J.M. Use of a methylolated softwood ammonium lignosulfonate as partial substitute of phenol in resol resins manufacture. J. Appl. Polym. Sci. 2004, 94, 643–650. [Google Scholar] [CrossRef]
- Hemmilä, V.; Adamopoulos, S.; Karlsson, O.; Kumar, A. Development of sustainable bio-adhesives for engineered wood panels – A Review. RSC Adv. 2017, 7, 38604–38630. [Google Scholar] [CrossRef]
- Hemmilä, V.; Adamopoulos, S.; Hosseinpourpia, R.; Ahmed, S.A. Ammonium Lignosulfonate Adhesives for Particleboards with pMDI and Furfuryl Alcohol as Crosslinkers. Polymers 2019, 11, 1633. [Google Scholar] [CrossRef] [PubMed]
- Antov, P.; Savov, V.; Krišťák, Ľ.; Réh, R.; Mantanis, G.I. Eco-Friendly, High-Density Fiberboards Bonded with Urea-Formaldehyde and Ammonium Lignosulfonate. Polymers 2021, 13, 220. [Google Scholar] [CrossRef]
- Laurijssen, J.; Faaij, A.; Worrell, E. Benchmarking energy use in the paper industry: A benchmarking study on process unit level. Energy Effic. 2013, 6, 49–63. [Google Scholar] [CrossRef]
- Levi, P.; Vass, T.; Mandová, H.; Gouy, A.; Schröder, A. International Engery Agency (IEA). Available online: https://www.iea.org/reports/pulp-and-paper (accessed on 19 April 2021).
- Vakkilainen, E.; Välimäki, E. Effect of Lignin Separation to Black Liquor and Recovery Boiler Operation. In Proceedings of the TAPPI Press-TAPPI Engineering, Pulping and Environmental Conference 2009-Innovations in Energy, Fiber and Compliance, Memphis, TN, USA, 11–14 October 2009; pp. 1515–1556. [Google Scholar] [CrossRef]
- Hubbe, M.; Alén, R.; Paleologou, M.; Kannangara, M.; Kihlman, J. Lignin recovery from spent alkaline pulping liquors using acidification, membrane separation, and related processing steps: A review. Bioresource 2019, 14, 2300–2351. [Google Scholar] [CrossRef]
- Aro, T.; Fatehi, P. Production and Application of Lignosulfonates and Sulfonated Lignin. ChemSusChem 2017, 10, 1861–1877. [Google Scholar] [CrossRef]
- Confederation of European Paper Industries. Key Statistics 2017-European Pulp & Paper Industry; Confederation of European Paper Industries: Northhamptonshire, UK, 2017. [Google Scholar]
- Kihlman, J. The Sequential Liquid-Lignin Recovery and Purification process: Analysis of integration aspects for a kraft pulp mill. Nord. Pulp Pap. Res. J. 2016, 31, 573–582. [Google Scholar] [CrossRef]
- Loutfi, H.; Blackwell, B.; Uloth, V. Lignin Recovery from Kraft Black Liquor: Preliminary Process Design. Tappi J. 1991, 74, 1–8. [Google Scholar]
- Zhu, W. Precipitation of Kraft Lignin Yield and Equilibrium; Chalmers University: Gothenburg, Sweden, 2015. [Google Scholar]
- Wallmo, H. Lignin Extraction from Black Liquor-Precipitation, Filtration and Washing; University of Götteborg: Gothenburg, Sweden, 2008. [Google Scholar]
- Brauns, F.E.; Brauns, D.A. The Chemistry of Lignin, Supplement Volume Covering the Literature for the Years 1949–1958; Academic Press: London, UK, 1960. [Google Scholar]
- Pollak, A.; Keilen, J.J.; Drum, L.F. Method of Producing Lignin from Black Liquor. U.S. Patent Application No. 8486224B2, 16 July 2013. [Google Scholar]
- Beis, S.H.; Mukkamala, S.; Hill, N.; Joseph, J.; Baker, C.; Jensen, B.; Stemmler, E.A.; Wheeler, M.C.; Frederick, B.G.; van Heiningen, A.; et al. Fast Pyrolysis Lignins. BioResources 2010, 5, 1408–1424. [Google Scholar] [CrossRef]
- Keilen, J.J.; Ball, F.J.; Gressang, R.W. Method of Coagulating Colloidal Lignates in Aqueous Dispersions. U.S. Patent Application No. US2623040, 23 December 1952. [Google Scholar]
- Ball, F.J.; Vardell, C.; Vardell, W.G. Decantation of Lignin. U.S. Patent Application No. 2997466, 22 August 1961. [Google Scholar]
- Ball, F.J.; Vardell, W.G. Continuous Acidulation and Coagulation of Lignin in Black Liquor. U.S. Patent Application No. 3048576, 7 August 1962. [Google Scholar]
- Öhman, F.; Wallmo, H.; Theliander, H. Precipitation and filtration of lignin from black liquor of different origin. Nord. Pulp Pap. Res. J. 2007, 22, 188–193. [Google Scholar] [CrossRef]
- Kannangara, M.; Marinova, M.; Fradette, L.; Paris, J. Effect of mixing hydrodynamics on the particle and filtration properties of precipitated lignin. Chem. Eng. Res. Des. 2016, 105, 94–106. [Google Scholar] [CrossRef]
- Öhman, F.; Wallmo, H.; Theliander, H. A novel method for washing lignin precipitated from kraft black liquor–Laboratory trials. Nord. Pulp Pap. Res. J. 2007, 22, 9–16. [Google Scholar] [CrossRef]
- Ziesig, R.; Sedin, M.; Tomani, P.; Theliander, H. Production of a pure lignin product, Part 3: Distribution and removal of inorganics from softwood lignin. Nord. Pulp Pap. Res. J. 2015, 30, 199–206. [Google Scholar] [CrossRef]
- Tomani, P. The Ligno Boost Process. Cellul. Chem. Technol. 2010, 44, 53–58. [Google Scholar]
- Tomani, P. Lignin Extraction from Black Liquor. In 43rd Pulp and Paper International Congress and Exhibition; Associacao Brasileira Tecnica de Celulose e Papel (ABTCP): Sao Paolo, Brazil, 2010. [Google Scholar]
- Tomani, P.; Axegård, P.; Berglin, N.; Lovell, A.; Nordgren, D.; Ab, I. Integration of Lignin Removal into a Kraft Pulp Mill and Use of Lignin as a Biofuel. Cellul. Chem. Technol. 2011, 2, 533–540. [Google Scholar]
- Zhu, W.; Hans, T. Precipitation of Lignin from Softwood Black Liquor: An Investigation of the Equilibrium and Molecular Properties of Lignin. BioResources 2015, 10, 1696–1714. [Google Scholar] [CrossRef]
- Kouisni, L.; Holt-Hindle, P.; Maki, K.; Paleologou, M. The LignoForce System TM: A New Process for the Production of High-Quality Lignin from Black Liquor. J. Sci. Technol. For. Prod. Process. 2012, 2, 6–10. [Google Scholar]
- Kouisni, L.; Gagné, A.; Maki, K.; Holt-Hindle, P.; Paleologou, M. LignoForce System for the Recovery of Lignin from Black Liquor: Feedstock Options, Odor Profile, and Product Characterization. ACS Sustain. Chem. Eng. 2016, 4, 5152–5159. [Google Scholar] [CrossRef]
- Kouisni, L.; Paleologou, M. Method for Separating Lignin from Black Liquor. U.S. Patent Application No. US2011/0297340A1, 16 July 2013. [Google Scholar]
- Wells, K.; Pors, D.; Foan, J.; Chan, C.; Maki, K.; Kouisni, L.; Paleologou, M. CO2 Impacts of Commercial Scale Lignin Extraction at Hinton Pulp Using the LignoForce Process & Lignin Substitution into Petroleum-Based Products. In Proceedings of the PACWEST Conference, Whistler, BC, Canada, 1 June 2015. [Google Scholar]
- Lake, M.A.; Blackburn, J.C.; Devon, S. LiquidLignin. Available online: http://www.liquidlignin.com/ (accessed on 28 June 2018).
- Lake, M.A.; Blackburn, J.C. P TM–An Innovative Lignin-Recovery Technology. Cellul. Chem. Technol. 2014, 48, 799–804. [Google Scholar]
- Wallmo, H.; Theliander, H.; Richards, T. Lignin Precipitation from Kraft Black Liquors: Kinetics and Carbon Dioxide Absorp-tion. Paperi ja Puu-Paper Timber. 2007, 89, 436–442. [Google Scholar]
- Wallmo, H.; Richards, T.; Theliander, H.; Richards, W. An Investigation of Process Parameters during Lignin Precipitation from Kraft Black Liquors: A Step towards an Optimised Precipitation Operation. Nord. Pulp Pap. Res. J. 2009, 24, 158–164. [Google Scholar] [CrossRef]
- Chao, S.-H.; Vermeire, L.; Laxen, T. Understanding the Foaming and Dynamic Behaviour of Black Liquor Components. In Proceedings of the 12th African Pulp&Paper Week (APPW), Durban, South Africa, 26 June 2007; pp. 1–9. [Google Scholar]
- Bikerman, J.J. Foams, 1st ed.; Springer: New York, NY, USA, 1973. [Google Scholar]
- Allen, S.L.; Allen, L.H.; Flaherty, T.H. Defoaming in the Pulp and Paper Industry. In Defoaming-Theory and Industrial Applications; Garrett, P.R., Ed.; Taylor & Francis Group, LLC: Everett, MA, USA, 1992; pp. 151–176. [Google Scholar]
- Öhman, F.; Theliander, H.; Norgren, M.; Tomani, P.; Axegard, P. Method for Separating Lignin from a Lignin Containing Liquid/ Slurry. International Patent Application No. 2580834C, 26 August 2014. [Google Scholar]
- Stoklosa, R.J.; Velez, J.; Kelkar, S.; Saffron, C.M.; Thies, M.C.; Hodge, D.B. Correlating lignin structural features to phase partitioning behavior in a novel aqueous fractionation of softwood Kraft black liquor. Green Chem. 2013, 15, 2904–2912. [Google Scholar] [CrossRef]
- Wallmo, H.; Theliander, H.; Univerity, C.; Jönsson, A.; Wallberg, O. The Influence of Hemicelluloses during the Precipitation of Lignin in Kraft Black Liquor. Chem. Pulping 2009, 24, 165–171. [Google Scholar]
- Maitz, S. Process and Product Analysis of CO2 Precipitated Kraft Lignin. Master’s Thesis, Graz University of Technology, Graz, Austria, 2017. [Google Scholar]
- Ortiz-Serna, P.; Carsí, M.; Culebras, M.; Collins, M.; Sanchis, M. Exploring the role of lignin structure in molecular dynamics of lignin/bio-derived thermoplastic elastomer polyurethane blends. Int. J. Biol. Macromol. 2020, 158, 1369–1379. [Google Scholar] [CrossRef] [PubMed]
- Jiang, X.; Savithri, D.; Du, X.; Pawar, S.; Jameel, H.; Chang, H.-M.; Zhou, X. Fractionation and Characterization of Kraft Lignin by Sequential Precipitation with Various Organic Solvents. ACS Sustain. Chem. Eng. 2016, 5, 835–842. [Google Scholar] [CrossRef]
- Wang, Y.-Y.; Wyman, C.E.; Cai, C.M.; Ragauskas, A.J. Lignin-Based Polyurethanes from Unmodified Kraft Lignin Fractionated by Sequential Precipitation. ACS Appl. Polym. Mater. 2019, 1, 1672–1679. [Google Scholar] [CrossRef]
- Huang, C.; He, J.; Narron, R.; Wang, Y.; Yong, Q. Characterization of Kraft Lignin Fractions Obtained by Sequential Ultrafiltration and Their Potential Application as a Biobased Component in Blends with Polyethylene. ACS Sustain. Chem. Eng. 2017, 5, 11770–11779. [Google Scholar] [CrossRef]
- Araújo, L.C.P.; Yamaji, F.M.; Lima, V.H.; Botaro, V.R. Kraft lignin fractionation by organic solvents: Correlation between molar mass and higher heating value. Bioresour. Technol. 2020, 314, 123757. [Google Scholar] [CrossRef] [PubMed]
- Howell, J.F.; Thring, R.W. Hardwood Lignin Recovery Using Generator Waste Acid. Statistical Analysis and Simulation. Ind. Eng. Chem. Res. 2000, 39, 2534–2540. [Google Scholar] [CrossRef]
- Ball, F.J.; Pueschel, C. Treatment of Kraft Black Liquor and Product. U.S. Patent Application No. 2976273, 24 March 1961. [Google Scholar]
- Olsson, M.R.; Axelsson, E.; Berntsson, T. Exporting lignin or power from heat-integrated kraft pulp mills: A techno-economic comparison using model mills. Nord. Pulp Pap. Res. J. 2006, 21, 476–484. [Google Scholar] [CrossRef]
- Benali, M.; Périn-Levasseur, Z.; Savulescu, L.; Kouisni, L.; Jemaa, N.; Kudra, T.; Paleologou, M. Implementation of lignin-based biorefinery into a Canadian softwood kraft pulp mill: Optimal resources integration and economic viability assessment. Biomass- Bioenergy 2014, 67, 473–482. [Google Scholar] [CrossRef]
- Benali, M.; Ajao, O.; Jeaidi, J.; Gilani, B.; Mansoornejad, B. Integrated Lignin-Kraft Pulp Biorefinery for the Production of Lignin and Its Derivatives: Economic Assessment and LCA-Based Environmental Footprint. In Production of Biofuels and Chemicals from Lignin; Springer Science and Business Media LLC: New York, NY, USA, 2016; pp. 379–418. [Google Scholar]
- Tosun, I. Washing theory for nonequilibrium stages. AIChE J. 1996, 42, 1627–1632. [Google Scholar] [CrossRef]
- Kannangara, M.; Marinova, M.; Fradette, L.; Paris, J. Lignin Recovery by Acid Precipitation in a Kraft Mill: An Energy Per-spective. J. Sci. Technol. For. Prod. Process. 2012, 2, 28–32. [Google Scholar]
- Chagas, B.D.O.; Wolski, T.R.; Vieira, O. Influence of the Chemical Properties of Wood on the Odor Produced by the Kraft Pulping Process. Int. J. Adv. Eng. Res. Sci. 2019, 6, 1–6. [Google Scholar] [CrossRef]
- Chenna, N.; Smolander, E.; Humalajoki, A.; Juutilainen, T.; Välimäki, E.; Pietarinen, V.M. Production of Sulfuric Acid from the Incineration of Pulp Mill Non-Condensable Gases-A Biorefinery Concept. Available online: https://www.valmet.com/globalassets/media/downloads/white-papers/power-and-recovery/sulfuric_acid_from_pulp_mill_ncg_whitepaper.pdf (accessed on 26 April 2021).
- Hult, E.-L.; Ropponen, J.; Poppius-Levlin, K.; Ohra-Aho, T.; Tamminen, T. Enhancing the barrier properties of paper board by a novel lignin coating. Ind. Crop. Prod. 2013, 50, 694–700. [Google Scholar] [CrossRef]
- Norgren, M.; Edlund, H.; Javed, A.; Ullsten, H.; Rättö, P.; Järnström, L. Lignin: Recent Advances and Emerging Applications. Curr. Opin. Colloid Interface Sci. 2014, 33, 548–556. [Google Scholar] [CrossRef]
- Ringena, O.; Saake, B.; Lehnen, R. Isolation and fractionation of lignosulfonates by amine extraction and ultrafiltration: A comparative study. Holzforschung 2005, 59, 405–412. [Google Scholar] [CrossRef]
- Liu, L.; Ren, J.; Zhang, Y.; Liu, X.; Ouyang, J. Simultaneously separation of xylo-oligosaccharide and lignosulfonate from wheat straw magnesium bisulfite pretreatment spent liquor using ion exchange resin. Bioresour. Technol. 2018, 249, 189–195. [Google Scholar] [CrossRef] [PubMed]
- Kienberger, M.; Demmelmayer, P.; Weißl, M.; Zankl, A.; Spirk, S. Biobased Support Layers for the Fractionation and Selective Extraction of Lignosulfonates. Solvent Extr. Ion Exch. 2019, 38, 132–141. [Google Scholar] [CrossRef]
- Demmelmayer, P.; Hilgert, J.E.; Wijaya, R.; Kienberger, M. Screening of reactive extractants for the lignosulfonate extraction from lignosulfonate model solution and spent sulfite liquor. Ind. Eng. Chem. Res. 2020, 59, 16420–16426. [Google Scholar] [CrossRef]
- Delgado, N.; Ysambertt, F.; Chávez, G.; Bravo, B.; García, D.E.; Santos, J. Valorization of Kraft Lignin of Different Molecular Weights as Surfactant Agent for the Oil Industry. Waste Biomass Valorization 2018, 10, 3383–3395. [Google Scholar] [CrossRef]
- de Oliveira, D.R.; Avelino, F.; Mazzetto, S.E.; Lomonaco, D. Microwave-assisted selective acetylation of Kraft lignin: Acetic acid as a sustainable reactant for lignin valorization. Int. J. Biol. Macromol. 2020, 164, 1536–1544. [Google Scholar] [CrossRef] [PubMed]
- Maitz, S.; Schlemmer, W.; Hobisch, M.A.; Hobisch, J.; Kienberger, M. Preparation and Characterization of a Water-Soluble Kraft Lignin. Adv. Sustain. Syst. 2020, 4. [Google Scholar] [CrossRef]
- Sosa, F.H.B.; Abranches, D.O.; Da Costa Lopes, A.M.; Coutinho, J.A.P.; Da Costa, M.C. Kraft Lignin Solubility and Its Chemical Modification in Deep Eutectic Solvents. ACS Sustain. Chem. Eng. 2020, 8, 18577–18589. [Google Scholar] [CrossRef]
- Karunarathna, M.S.; Smith, R.C. Valorization of Lignin as a Sustainable Component of Structural Materials and Composites: Advances from 2011 to 2019. Sustainability 2020, 12, 734. [Google Scholar] [CrossRef]
- Gomes, E.D.; Rodrigues, A.E. Recovery of vanillin from kraft lignin depolymerization with water as desorption eluent. Sep. Purif. Technol. 2020, 239, 116551. [Google Scholar] [CrossRef]
- Xie, S.; Li, Q.; Karki, P.; Zhou, F.; Yuan, J.S. Lignin as Renewable and Superior Asphalt Binder Modifier. ACS Sustain. Chem. Eng. 2017, 5, 2817–2823. [Google Scholar] [CrossRef]
- Zhou, H.; Wang, H.; Perras, F.A.; Naik, P.; Pruski, M.; Sadow, A.D.; Slowing, I.I. Two-step conversion of Kraft lignin to nylon precursors under mild conditions. Green Chem. 2020, 22, 4676–4682. [Google Scholar] [CrossRef]







| Basic Data | Unit |
|---|---|
| Total lignin volume | 0.83 m3 |
| Lignin cake porosity during washing | 65% |
| % dry substance feed black liquor | 40% |
| % ash in dry substance of feed black liquor | 40% |
| Final lignin cake porosity after washing | 35% |
| Total volume of clean wash water | 1.7 m3 |
Publisher’s Note: MDPI stays neutral with regard to jurisdictional claims in published maps and institutional affiliations. |
© 2021 by the authors. Licensee MDPI, Basel, Switzerland. This article is an open access article distributed under the terms and conditions of the Creative Commons Attribution (CC BY) license (https://creativecommons.org/licenses/by/4.0/).
Share and Cite
Kienberger, M.; Maitz, S.; Pichler, T.; Demmelmayer, P. Systematic Review on Isolation Processes for Technical Lignin. Processes 2021, 9, 804. https://doi.org/10.3390/pr9050804
Kienberger M, Maitz S, Pichler T, Demmelmayer P. Systematic Review on Isolation Processes for Technical Lignin. Processes. 2021; 9(5):804. https://doi.org/10.3390/pr9050804
Chicago/Turabian StyleKienberger, Marlene, Silvia Maitz, Thomas Pichler, and Paul Demmelmayer. 2021. "Systematic Review on Isolation Processes for Technical Lignin" Processes 9, no. 5: 804. https://doi.org/10.3390/pr9050804
APA StyleKienberger, M., Maitz, S., Pichler, T., & Demmelmayer, P. (2021). Systematic Review on Isolation Processes for Technical Lignin. Processes, 9(5), 804. https://doi.org/10.3390/pr9050804

