Next Article in Journal
Adjustment of Olive Fruit Temperature before Grinding for Olive Oil Extraction. Experimental Study and Pilot Plant Trials
Previous Article in Journal
Non-Immersion Ultrasonic Cleaning: An Efficient Green Process for Large Surfaces with Low Water Consumption
 
 
Font Type:
Arial Georgia Verdana
Font Size:
Aa Aa Aa
Line Spacing:
Column Width:
Background:
Article

Biosynthesis of Silver Nanoparticles from Bacillus licheniformis TT01 Isolated from Quail Manure Collected in Vietnam

1
NTT Hi-Tech Institute, Nguyen Tat Thanh University, Ho Chi Minh City 70000, Vietnam
2
Institute of Environmental Sciences, Nguyen Tat Thanh University, Ho Chi Minh City 70000, Vietnam
3
Faculty of Biology and Environmental Science, The University of Education, Danang University, Da Nang City 92026, Vietnam
*
Author to whom correspondence should be addressed.
Processes 2021, 9(4), 584; https://doi.org/10.3390/pr9040584
Submission received: 11 February 2021 / Revised: 18 March 2021 / Accepted: 23 March 2021 / Published: 26 March 2021

Abstract

Silver nanoparticles (AgNPs) find a wide range of use in many fields, and the biosynthesis of AgNPs via biological routines has recently gained currency. In this study, Bacillus licheniformis TT01 strain was isolated from quail feces collected in Vietnam and evaluated for its ability to synthesize AgNPs. Through visual confirmation and ultraviolet and visible (UV–Vis) spectrum analysis, we found that the biosynthesis of AgNPs was realized in the process in which biomass of B. licheniformis TT01 was incubated with AgNO3 solution. Obtained AgNPs were then assayed for antibacterial activity against three species of bacteria, namely Escherichia coli, Bacillus cereus and Ralstonia solanacearum, showing better inhibitory action than the AgNO3 solution and the bacterial extracellular fluid. The minimum inhibitory concentration (MIC) of AgNP solution was 206 ppm against E. coli and R. solanacearum and 343.3 against B. cereus. X-ray diffraction (XRD) and transmission electron microscopy (TEM) revealed that the obtained AgNPs had a spherical shape and sizes ranging from 2 to 22 nm, in which particles from 2 to 10 nm appeared with the highest frequency.

1. Introduction

Silver nanoparticles (AgNPs) offer a great bioavailability in medical applications due to their capability to permeate human organs and penetrate cell membranes [1,2,3,4]. In recent years, AgNPs have been widely used in biotechnology, medicine, electronics, agriculture and environmental treatment; this has been accompanied by fruitful developments in AgNP synthesis methods, including chemical, physical and biological procedures. A typical technique for the chemical routine is the use of agents to reduce silver ions to metals [5]. For the particles to have good dispersion in the solvent without agglomeration, an electrostatic charge is applied to the surface of the nanoparticles, or an anticlumping agent is used to enclose the nanoparticles [6]. The nanoparticles produced by this method might have a wide size distribution, ranging from a few nanometers to 100 nm [5,7]. In physical methods, high-energy electromagnetic waves such as gamma rays, ultraviolet rays and lasers are used to reduce silver ions to metals. Under the effect of electromagnetic waves, there are many processes of converting solvents and additives in the solvent to produce chemical radicals that reduce ions to metals [8,9]. Besides, it is possible to use the electrolysis method combined with ultrasonic nanoparticle generation [10] or bacteria as metal-deionizing agents [11].
In the biosynthesis pathway, the focus has shifted to using microorganisms that are capable of synthesizing AgNPs. This strategy also addresses two shortcomings of the chemical synthesis methods: (a) the potential environmental consequences and (b) health risks arising from the use of AgNPs exposed to different harmful media. Bacterial species that are capable of producing extracellular AgNPs have been extensively documented, such as Bacillus subtilis [12], Fusarium oxysporum [13], Pseudomonas stutzeri AG259 [14], Penicillium fellutanum [15], Fusarium oxysporum PTCC 5115 [16], Klebsiella pneumonia [17], Escherichia coli [18], Bacillus licheniformis [19] and Pseudomonas sp. THG-LS1 [20]. Additionally, some microorganisms have been shown to possess the ability to synthesize intracellular silver nanoparticles, including Aneurinibacillus migulanus 141 [21], Aspergillus fumigatus NCIM 902 [22], Bacillus licheniformis [12] and Streptomyces sp. ERI-3 [23]. In the biosynthesis approach, strains of microorganisms are cultured under optimal growth and development conditions. When the number of microorganisms in the growth phase is balanced in the proliferating fluid, the cell and supernatant are recovered by centrifugation and then incubated with AgNO3, usually as silver nitrate solution with varying concentrations of about 1 mM [12,15,17,19,24], 3 mM [19] or 5 mM [25] depending on the study.
One advantage of synthesizing AgNPs using microbial sources is that they can produce small-sized AgNPs, which have favorable mechanical and biological properties (i.e., conductivity, chemical stability, catalysis and antimicrobial activity). AgNPs of reduced sizes also show better cytotoxicity against microorganisms since the nanoscaled size facilitates the binding and passing of AgNPs to the bacterial cells and their interaction with the cell’s enzymes [19]. This was demonstrated in a previous study where biosynthesized AgNPs showed approximately 31% better antibacterial activity against E. coli compared to AgNPs obtained in a chemical reduction pathway [2]. Syed et al. (2019) found that Aneurinibacillus migulanus 141, an endophyte isolated from Mimosa pudica L., was able to perform biosynthesis of nanocrystalline silver from silver nitrate [21]. The obtained nanobactericides also displayed significant inhibitory activities against some pathogens due to their small size of around 20–25 nm. Regarding in vitro antifungal capabilities of AgNPs synthesized via biological processes, previous studies have highlighted their efficacy against crop pathogens, including Bipolaris sorokiniana and Magnapothe grisea [26], and fruit pathogens, including Alternaria alternata, Sclerotinia sclerotiorum, Macrophomina phaseolina, Rhizoctonia solani, Botrytis cinerea and Curvularia lunata [27].
In this study, we attempted to extend the AgNP biosynthesis pathway by examining the AgNP synthesis capability of Bacillus licheniformis, a bacterial strain of great significance in the poultry industry due to its ability to aid in quail manure composting, treat odors in quail farms and control pests and diseases. In addition, B. licheniformis is heat-resistant and has been shown to produce many valuable extracellular enzymes, such as protease, amylase and cellulase [3]. We first isolated a particular strain of B. licheniformis from composted quail manure. Then, the cultured bacteria were examined for AgNP synthesis capability in three different incubation processes. Lastly, AgNPs obtained from the most productive process were assayed for antimicrobial activities against some pathogenic strains, including E. coli, Bacillus cereus and Ralstonia solanacearum. Current results are expected to aid in further developments in processing and utilizing quail feces for practical uses.

2. Materials and Methods

2.1. Isolation of the B. licheniformis Strain

Quail feces were collected in the Dien Thang commune, Dien Ban town, Quang Nam province, Vietnam. The raw manure was first piled up outdoor and allowed to compost naturally for 25 to 30 days. From the obtained compost, a particular strain of B. licheniformis (TT01) was then isolated and identified following the procedure of an earlier report [28]. The culture medium was the Luria–Bertani (LB) (HiMedia, Mumbai, India) agar medium at pH 7.0. The strain was stored at 0–4 °C for regular use. To preserve the strains, we stored them in a 15% solution of glycerol in Eppendorf tubes held in a −80 °C soundproof cabinet.
The isolated bacteria were allowed to grow optimally in the liquid LB medium at 40 °C in pH from 7.0 to 7.5 for 2 days under shaking at 150 rpm (SI500, Staffordshire, UK) [19]. The culture liquid was then centrifuged (Hettich MIKRO 120, Hettich, Westfalen, Germany) at 6000 rpm for 15 min to separate the supernatant (upper layer) from the biomass (bottom layer). Both layers were then used in three different processes for the biosynthesis of AgNPs.

2.2. Biosynthesis of AgNPs

The established mechanism for bacterial synthesis of nanosilver is via NADH-dependent nitrate reductase [12]. However, there is no agreement about the optimal experimental strategy for the effective utilization of this mechanism in earlier studies. Regarding bacterium B. licheniformis, while some studies suggested the use of bacterial biomass for synthesis, others succeeded in synthesizing nanosilver from extracellular fluid or a combination thereof [12,19]. In this investigation with the new strain of B. licheniformis (TT01), we conducted three different experimental procedures in parallel to identify the most productive biosynthesis routine for this strain.
In the first routine (process A), the supernatant from the material preparation process was mixed with 100 mL of AgNO3 (99.0% purity, Merck, Darmstadt, Germany) of either 1 or 2 mM in a 250 mL glass narrow-mouth bottle. The bottle was then covered with silver foil and incubated for 6 days under shaking at 150 rpm (SI500, Stuart Equipment, Staffordshire, UK). After 2, 4, 5, and 6 days, a liquid sample (0.5 mL) was taken from the bottles for analysis.
In the second procedure (process B), 5 g of wet biomass from the material preparation process was mixed with 100 mL of AgNO3 (1 or 2 mM) in a 250 mL glass narrow-mouth bottle. The bottle was then covered with silver foil and incubated for 6 days under shaking at 150 rpm. Sample withdrawal was performed identically to process A. However, the obtained sample was subjected to ultrasonic treatment (Elmasonic S 180, Elma, Germany) (5 cycles, 3 min each, frequency of 37 kHz) to break down the bacterial cells before analysis.
In the third procedure (process C), 5 g of wet biomass was introduced into 100 mL of distilled water. The suspension was incubated for 24 h (Memmert IN30 Plus, Schwabach, Germany) before being centrifuged. Afterward, the supernatant was mixed with 100 mL of AgNO3 (1 or 2 mM) in 250 mL glass narrow-mouth bottles. The bottle was then covered with silver foil and incubated for 6 days under shaking at 150 rpm at 40 °C. The liquid samples were withdrawn for analysis using the same procedure as process A.

2.3. Ultraviolet–Visible (UV–Vis) Spectroscopy Analysis

The formation of AgNPs was confirmed by a UV–Vis absorption spectrometer (Jasco V-750, Deutschland GmbH, Föhren, Germany). Samples were scanned with the UV–Vis spectra at 300 to 700 nm. The blank sample was placed in an AgNO3 solution at an appropriate concentration.

2.4. Evaluation of the Antimicrobial Activity of Synthesized AgNPs

The antimicrobial activity of synthesized AgNPs, AgNO3 solution and extracellular fluid of B. licheniformis TT01 was performed according to the well diffusion assay method. The strains of microorganisms used for testing were Escherichia coli (Institute of Microbiology and Biotechnology, VNU-Hanoi, Vietnam), Bacillus cereus (ATCC 11778) and Ralstonia solanacearum (self-isolated), grown separately in liquid LB medium in conical flasks. Then, 100 μL of bacterial liquid (108 CFU/mL) was spread on the Petri dishes containing agar. Two wells with a diameter of about 1 cm were perforated symmetrically under sterile conditions on each agar plate. Afterward, 300–400 µL of liquid sample was pipetted from the AgNP-containing bottles into the wells. The agar plates were first placed in a fridge (4 °C) for 90 min and then incubated in an incubator at a temperature of 30 °C. After 24 h, the inhibitory zone was measured and recorded. The antibacterial zone diameter was calculated by subtracting the well’s diameter from the diameter of the whole inhibitory region.
The antimicrobial activity of biosynthesized AgNPs against the three microorganisms was then confirmed via a minimum inhibitory concentration (MIC) assay. Briefly, a 24 h culture of E. coli, B. cereus and R. solanacearum was placed in a liquid LB medium to obtain a density of 108 CFU/mL (0.5 McFarland) [29]. The prepared liquid cultures were then diluted with NaCl 0.9% to a density of 106 CFU/mL. The tested AgNP solution was diluted with Tween 80 (Sigma-Aldrich) solution (2%) to different ratios of 1/2, 1/3, 1/4, 1/5, 1/6, 1/8 and 1/10. Tween 80 (2%) was used as control.
A total of 10 mL of prepared AgNP solutions was added to the liquid bacterial culture (90 mL) in 250 mL conical flasks and incubated with agitation (150 rpm/min) for 24 h. The samples were collected after 0, 10 and 24 h and then diluted with distilled water. The diluted samples (1 mL) were spread onto a Petri dish containing LB agar and subjected to incubation at 30 °C for 24 h. The number of bacterial colonies grown on agar surfaces was counted to determine the MIC value.

2.5. Morphological Analysis of AgNPs Using X-ray Diffraction (XRD) and Transmission Electron Microscopy (TEM)

The sample was first dried to powder form before being analyzed by XRD and TEM. An X-ray diffraction pattern elucidated the crystalline structure of the AgNPs in the sample. The instrument was the BTX III Benchtop XRD Analyzer (Olympus, Center Valley, VA, USA). The obtained spectral peaks were compared with the standard peaks of the silver element to precisely confirm the existence of silver nanocrystals.
The nanoparticle size and size distribution were determined by analyzing TEM images. The TEM instrument was the JEM-2010 (Jeol Ltd., Tokyo, Japan) operating at 200 kV. The AgNP-containing sample was dripped on a carbon-coated copper mesh and allowed to dry naturally for 15 min. The image of the powder sample was taken on the transmission electron microscope. Photos and data from TEM were analyzed using ImageJ software. The particle size distribution of AgNPs was plotted using the R Core Team 2017 software.

2.6. Statistical Analysis

Disk diffusion assay and UV–Vis measurement were performed in triplicate. The Duncan’s test (p < 0.05) was used to compare the results in the Origin 2019 software.

3. Results and Discussion

3.1. Visual Confirmation of AgNP Formation

AgNPs are formed when the microorganism strains reach their maximum growth rate. The B. licheniformis TT01 strain was cultured in a liquid LB medium at a constant temperature of 40 °C, with pH adjusted to the range from 7.0 to 7.5 over 15 to 25 h [30]. Figure 1 shows images of the culture media obtained after 6 days of incubation. After incubation, only the culture media resulting from process B showed a color change from milky white (image not shown) to a yellow-brown color (Figure 1C,D). According to previous reports [15,30], the color change is indicative of the presence of nanosilver and its surface plasmon resonance stimulation [2,18]. In the subsequent analysis, further UV–Vis characterizations were made to confirm the presence of nanosilver in the solution after synthesis in these experimental procedures.

3.2. UV–Visible Spectrophotometry

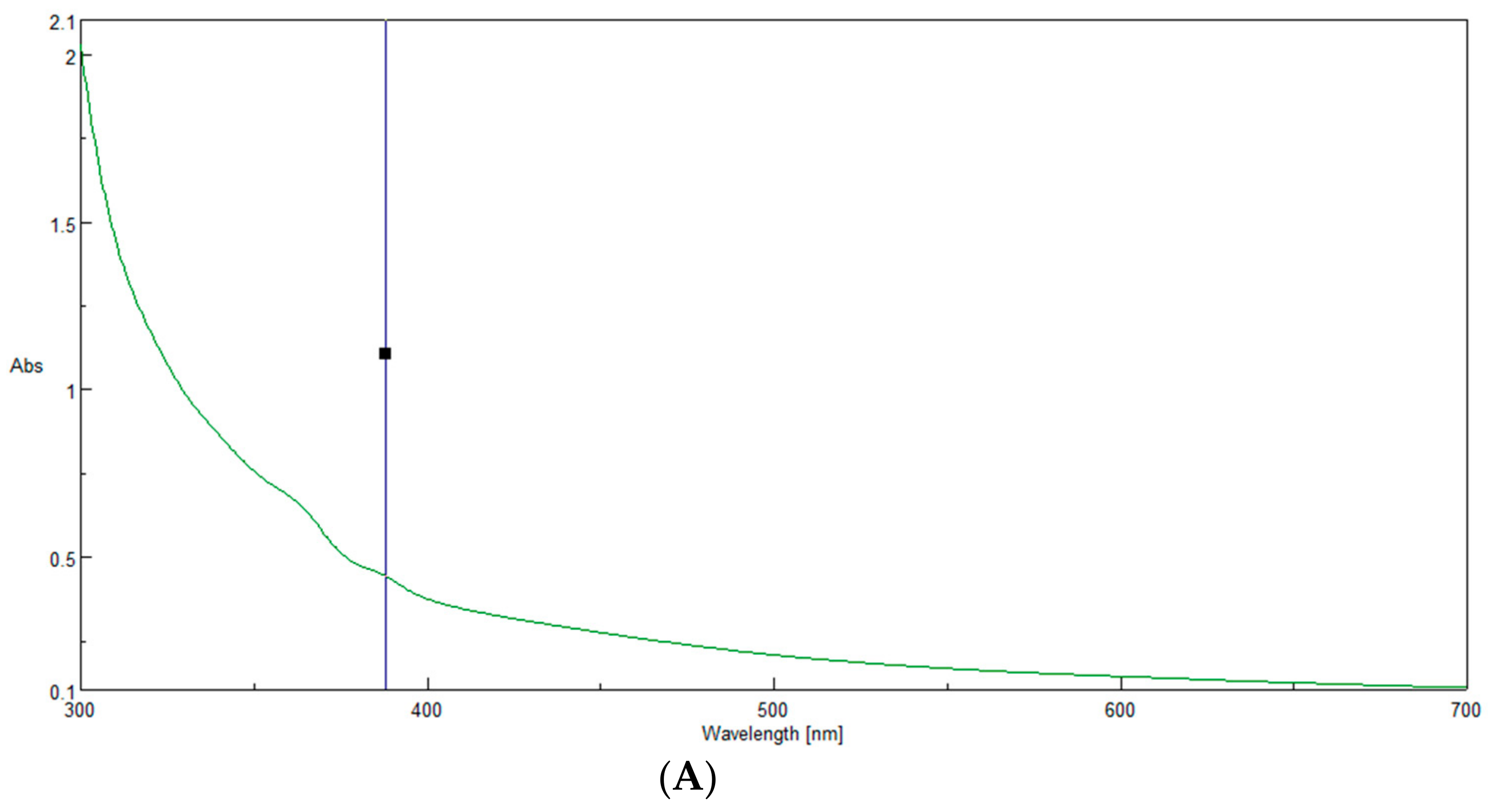
UV–Vis scanning was performed at wavelengths from 300 to 700 nm for samples obtained from the three processes after 6 incubation days. The obtained UV–Vis spectra corresponding to the processes A and C showed no presence of characteristic spectral peaks of nanosilver, suggesting that the AgNP synthesis performance of extracellular fluid incubated with AgNO3 was negligible (Figure 2). This could be explained by the absence of extracellular nitrate reductase or the interference of metabolism products with electron shuttle processes that caused the reduction of Ag+ into Ag0. The absence of AgNPs in the third process also suggests that the biosynthesis of silver nanoparticles of the B. licheniformis TT01 strain is independent of culture conditions and that the strain was unable to secrete enzyme nitrate reductase and NADH (an electron donor) [2].
In contrast, the occurrence of intracellular reduction processes in process B was confirmed by the second UV–Vis spectrum (Figure 2B,C). In this experiment, wet biomass was introduced into AgNO3 at two concentrations (1 mM and 2 mM), and the obtained sample was ultrasonicated to break down bacterial cells. Further UV–Vis results of process B are presented in Table 1.
The results in Table 1 indicate the presence of AgNPs after 2 days of incubation at both AgNO3 concentrations. The UV–Vis measurement was performed in triplicate, and the results showed a low absorption intensity of AgNPs in the initial 4-day period. This might be attributed to the coverage of protein around particles. There was a small fluctuation in the intensity of the adsorption peak as the incubation time was prolonged from 2 to 6 days. Specifically, in samples incubated with 1 mM of AgNO3, the peak position ranged from 416 to 420.5 nm. In contrast, a less considerable fluctuation, from 416.5 to 418 nm, was detected in samples incubated with 2 mM of AgNO3. The fluctuation of peak intensity could be attributed to the dielectric medium and surface-adsorbed species [31,32]. After 5 days, the AgNP biosynthesis in process B was almost complete and produced particles of a stable size [12,13,19]. The range of wavelength corresponding to the peak with high intensity was between 416 and 420.5 nm, which is in close agreement with the ranges reported by Kalimuthu et al. (2008) (420–440 nm), Gurunathan et al. (2009) (420 nm) and Sarangadharan and Nallusamy (2015) (400–500 nm) [12,18,19]. This outcome suggests that microbial biosynthesis might be more advantageous than chemical reduction methods where shifts with larger wavelengths are frequently observed in prolonged incubation times and aggregation often takes place [2]. The observed phenomena are consistent with evidence shown in some studies that also recommended biological processes for AgNP synthesis because they can produce AgNPs with a smaller size compared to chemical methods [18,28].
To summarize, only the samples prepared following process B at both 1 mM AgNO3 and 2 mM AgNO3 concentrations showed characteristic peak spectra of AgNPs. The sample synthesized at the concentration of 1 mM AgNO3 showed a stronger absorption intensity than the sample incubated with 2 mM AgNO3 concentration. Therefore, subsequent investigations evaluated the AgNPs produced by process B (bacterial biomass incubated with 100 mL of 1 mM AgNO3 solution and 2 mM for 6 days).

3.3. Antibacterial Activity of Synthesized AgNPs

AgNPs synthesized from process B were recovered and tested for antibacterial activity against some microorganisms. On each dish, around 300–400 µL of AgNP-containing fluid was transferred into two wells, and 100 µL of microorganism solution was uniformly spread on the LB medium agar surface plate. The dishes were incubated in incubators at a temperature of 30 °C for 24 h. Inhibition zones are shown in the Supplementary Materials (Figures S1–S5), and data are presented in Table 2.
The antibacterial data revealed that the inhibition zone created by the AgNP-containing solution was larger than that created by the extracellular fluid for all three tested microorganisms: E. coli, B. cereus and R. solanacearum. Among all tested samples, the 1 mM AgNO3 solution showed the weakest antagonistic effects, while the biosynthesized AgNP solution produced when incubating B. licheniformis TT01 biomass with 1 mM AgNO3 exhibited the largest inhibitory zone. The differences in zone diameter between the control solutions and the AgNP extracellular fluid from B. licheniformis TT01 were statistically significant, suggesting an interaction between the bacterial biomass and the AgNO3 solution to produce a new product that could be presumed to be AgNP, which is capable of inhibiting the growth of the tested microorganisms.
Synthesized AgNPs at a concentration of 1 mM AgNO3 showed a larger antibacterial ring than AgNPs synthesized at a concentration of 2 mM. This could be explained by the smaller shape of AgNPs when being biosynthesized at lower AgNO3 concentrations, leading to enhanced antibacterial activities [17,19]. The antimicrobial activity of AgNPs is possibly explained by their soft acidity when existing in bacterial cells, which damages DNA and membrane, in turn causing cell death [3,33,34,35]. The current results highlight the antagonistic activity of AgNPs formed via the biosynthesis process with B. licheniformis TT01 and are in line with evidence shown in a previous study where AgNPs synthesized via Pseudomonas sp. THG-LS1.4 were found to possess increased antibacterial and antibiofilm activities against pathogenic bacteria [20]. Based on the results, the sample obtained via process B under incubation with 1 mM AgNO3 was selected for use in MIC assay, XRD and TEM studies.
The antimicrobial activity of AgNP solution obtained under incubation with 1 mM AgNO3 was determined by using MIC assay. The MIC value is defined as the lowest AgNP concentration at which no bacterial colonies are observed. The results are shown in Table 3.
The MIC results of the control remained unchanged across the different tested bacteria at around 106 CFU/mL, implying that Tween 80 solution (2%) did not affect the growth of the bacteria. The MIC value of the AgNP sample against E. coli and R. solanacearum was 206 ppm. Samples that were diluted with a concentration of lower than 171.7 ppm were unable to completely kill the two species of bacteria. For B. cereus, the MIC value was 343.3 ppm, suggesting that B. cereus is more resistant against AgNPs. This is corroborated by the previous agar diffusion result where the inhibition zone of B. cereus was the smallest compared to those of the other two species of bacteria.

3.4. XRD Results

Figure 3 shows the diffraction spectra of the sample obtained via process B at 1 mM AgNO3. Four characteristic peaks of silver nanoparticles with angles of 2θ of 38.2, 44, 64.5 and 77.5° appeared on the spectrum peak arrays. These peaks corresponded to the planes (111), (200), (220) and (311) of the silver metal’s face-centered cubic lattice (FCC), which is in accordance with previously reported works [1,23]. The above peak results confirmed the presence of AgNPs in the sample.

3.5. TEM Results

A morphological analysis of nanoparticles was carried out by taking TEM images on the transmission electron microscope. The diameters (nm) of AgNPs were measured from TEM images by using the ImageJ software.
The TEM image results and the frequency distribution of the particle size are presented in Figure 4 and Figure 5, respectively. Visually, nanoparticles are distinctly distributed, and no aggregation occurred in the solution. The stability of the solution is possibly due to the presence of proteins in the biomass bound to the nanoparticles, which encapsulates AgNPs and therefore stabilizes them in the water environment [24].
AgNP morphology was spherical with a frequency of size mainly within the range of 2–10 nm, averaged at 8 ± 5.43 nm. Both the size and the shape of AgNPs have been proven as contributing factors in determining their bactericidal activities. To be specific, Pal et al. (2007) [3] and Dong et al. (2012) [4] proposed that the antibacterial activity of AgNPs is in part due to the high-atomic-density {111} crystal plane. In our case, the XRD peak with the greatest intensity was located at {111} lattice plane, at 2θ = 38.2°, indicating that the sphere of AgNPs had the top basal plane with {111} facets. Previous reports also found that spherical AgNPs with 50 nm diameter exhibited a moderately better permeability against skin cells when compared to triangular AgNPs with 50 nm side length [36] and suggested that a small, spherical shape is the most suitable morphology for AgNPs to act as an antibacterial agent [37].
The current size distribution (8 ± 5.43 nm) shows clear advantages over the results of other studies using B. licheniformis strains. To be specific, Sarangadharan and Nallusamy (2015) reported that the size range of AgNPs produced by B. licheniformis supernatant that contained both fluid and biomass under incubation with 1 mM AgNO3 and 3 mM AgNO3 was 3–130 nm and 45–170 nm, respectively [19]. Similar results were also obtained in the same study when the supernatant was substituted with B. licheniformis biomass. In another study, the mean size of AgNPs reached approximately 50 nm when incubating biomass of B. licheniformis with 1 mM AgNO3 [12]. However, it is worth noting that both studies did not consider the possibility of intracellular biosynthesis of AgNPs because bacterial cells were not broken after incubation. Therefore, ultrasonic treatment is suggested as an additional step to reduce the size of AgNPs synthesized by biomass of B. licheniformis.

4. Conclusions

A particular strain of B. licheniformis bacteria (TT01) was isolated from quail feces, and its AgNP biosynthesis capability was evaluated. Different biosynthesis processes utilizing bacterial biomass and extracellular fluids were tested. The results indicated that only the use of B. licheniformis biomass resulted in successful AgNP synthesis. The obtained AgNPs were able to inhibit various pathogenic bacteria, including E. coli, B. cereus and R. solanacearum. AgNPs collected via bacterial biomass incubation with AgNO3 1 mM solution showed stronger antibacterial activity than AgNPs recovered from the same process but at the AgNO3 concentration of 2 mM. Through XRD analysis, it was demonstrated that the obtained AgNPs exhibited the planes (111), (200), (220) and (311) of the face-centered cubic network (FCC). TEM analysis revealed that the AgNPs were spherical, with a size distribution ranging from 2 to 22 nm. Notably, the AgNPs smaller than 10 nm appeared at the highest frequency, accounting for 24.14% of the total number of particles. The current results suggest that quail manure could act as a material source for the biosynthesis of AgNPs with favorable bioactivity. To contribute to the management of poultry waste, further studies should contemplate the possibility of scalability and the further optimization of the biosynthesis process.

Supplementary Materials

The following are available online at https://www.mdpi.com/article/10.3390/pr9040584/s1. Figure S1: Inhibition of AgNPs produced with incubation under 1 mM AgNO3 against (a) E. coli; (b) Bacillus cereus; (c) Ralstonia solanacearum. Figure S2. Inhibition of AgNPs produced with incubation under 2 mM AgNO3 against (a) E. coli; (b) Bacillus cereus; (c) Ralstonia solanacearum. Figure S3. Inhibition of 2 mM AgNO3 against (a) E. coli; (b) Bacillus cereus; (c) Ralstonia solanacearum. Figure S4. Inhibition of 1 mM AgNO3 against (a) E. coli; (b) Bacillus cereus; (c) Ralstonia solanacearum. Figure S5. Inhibition extracellular fluid of Bacillus licheniformis TT01 against (a) E. coli; (b) Bacillus cereus; (c) Ralstonia solanacearum.

Author Contributions

Investigation, L.V.T., T.T. and V.D.T.; writing—original draft, L.V.T. and V.D.T. All authors have read and agreed to the published version of the manuscript.

Funding

The research was funded by Da Nang University, Vietnam under the grant number B2019-DN03-45.

Institutional Review Board Statement

Not applicable.

Informed Consent Statement

Not applicable.

Data Availability Statement

The data presented in this study are available on request from the corresponding author.

Conflicts of Interest

The authors declare no conflict of interest.

References

  1. Reddy, A.S.; Chen, C.-Y.; Baker, S.C.; Chen, C.-C.; Jean, J.-S.; Fan, C.-W.; Chen, H.-R.; Wang, J.-C. Synthesis of Silver Nanoparticles Using Surfactin: A Biosurfactant as Stabilizing Agent. Mater. Lett. 2009, 63, 1227–1230. [Google Scholar] [CrossRef]
  2. Quan, N.P.; Vinh, T.Q.; Yen, K.T.M.; Trang, L.V.K.; Ly, N.M.; Khanh, T.C. Comparison of the Antibacterial Activity against Escherichia Coli of Silver Nanoparticle Produced by Chemical Synthesis with Biosynthesis. Mater. Sci. Mater. Rev. 2018, 2. [Google Scholar] [CrossRef]
  3. Pal, S.; Tak, Y.K.; Song, J.M. Does the Antibacterial Activity of Silver Nanoparticles Depend on the Shape of the Nanoparticle? A Study of the Gram-Negative Bacterium Escherichia Coli. Appl. Environ. Microbiol. 2007, 73, 1712–1720. [Google Scholar] [CrossRef] [PubMed]
  4. Van Dong, P.; Ha, C.H.; Binh, L.T.; Kasbohm, J. Chemical Synthesis and Antibacterial Activity of Novel-Shaped Silver Nanoparticles. Int. Nano Lett. 2012, 2, 9. [Google Scholar] [CrossRef]
  5. Lee, D.K.; Kang, Y.S. Synthesis of Silver Nanocrystallites by a New Thermal Decomposition Method and Their Characterization. ETRI J. 2004, 26, 252–256. [Google Scholar] [CrossRef]
  6. Khanna, P.K.; Gokhale, R.; Subbarao, V.V.V.S. Poly(Vinyl Pyrolidone) Coated Silver Nano Powder via Displacement Reaction. J. Mater. Sci. 2004, 39, 3773–3776. [Google Scholar] [CrossRef]
  7. Gautam, A.; Singh, G.P.; Ram, S. A Simple Polyol Synthesis of Silver Metal Nanopowder of Uniform Particles. Synth. Met. 2007, 157, 5–10. [Google Scholar] [CrossRef]
  8. Jiang, H.; Moon, K.; Zhang, Z.; Pothukuchi, S.; Wong, C.P. Variable Frequency Microwave Synthesis of Silver Nanoparticles. J. Nanoparticle Res. 2006, 8, 117–124. [Google Scholar] [CrossRef]
  9. Lu, Y.-C.; Chou, K.-S. A Simple and Effective Route for the Synthesis of Nano-Silver Colloidal Dispersions. J. Chin. Inst. Chem. Eng. 2008, 39, 673–678. [Google Scholar] [CrossRef]
  10. Taneja, P.; Ayyub, P.; Chandra, R. Size Dependence of the Optical Spectrum in Nanocrystalline Silver. Phys. Rev. B 2002, 65, 245412. [Google Scholar] [CrossRef]
  11. Martínez-Gutierrez, F.; Thi, E.P.; Silverman, J.M.; de Oliveira, C.C.; Svensson, S.L.; Hoek, A.V.; Sánchez, E.M.; Reiner, N.E.; Gaynor, E.C.; Pryzdial, E.L.G.; et al. Antibacterial Activity, Inflammatory Response, Coagulation and Cytotoxicity Effects of Silver Nanoparticles. Nanomed. Nanotechnol. Biol. Med. 2012, 8, 328–336. [Google Scholar] [CrossRef]
  12. Kalimuthu, K.; Suresh Babu, R.; Venkataraman, D.; Bilal, M.; Gurunathan, S. Biosynthesis of Silver Nanocrystals by Bacillus Licheniformis. Colloids Surf. B Biointerfaces 2008, 65, 150–153. [Google Scholar] [CrossRef] [PubMed]
  13. Durán, N.; Marcato, P.D.; Alves, O.L.; De Souza, G.I.; Esposito, E. Mechanistic Aspects of Biosynthesis of Silver Nanoparticles by Several Fusarium Oxysporum Strains. J. Nanobiotechnol. 2005, 3, 8. [Google Scholar] [CrossRef] [PubMed]
  14. Klaus, T.; Joerger, R.; Olsson, E.; Granqvist, C.-G. Silver-Based Crystalline Nanoparticles, Microbially Fabricated. Proc. Natl. Acad. Sci. USA 1999, 96, 13611–13614. [Google Scholar] [CrossRef] [PubMed]
  15. Kathiresan, K.; Manivannan, S.; Nabeel, M.A.; Dhivya, B. Studies on Silver Nanoparticles Synthesized by a Marine Fungus, Penicillium Fellutanum Isolated from Coastal Mangrove Sediment. Colloids Surf. B Biointerfaces 2009, 71, 133–137. [Google Scholar] [CrossRef] [PubMed]
  16. Karbasian, M.; Atyabi, S.M.; Siadat, S.D.; Momen, S.B.; Norouzian, D. Optimizing Nano-Silver Formation by Fusarium Oxysporum PTCC 5115 Employing Response Surface Methodology. Am. J. Agric. Biol. Sci. 2008, 3, 433–437. [Google Scholar] [CrossRef]
  17. Mokhtari, N.; Daneshpajouh, S.; Seyedbagheri, S.; Atashdehghan, R.; Abdi, K.; Sarkar, S.; Minaian, S.; Shahverdi, H.R.; Shahverdi, A.R. Biological Synthesis of Very Small Silver Nanoparticles by Culture Supernatant of Klebsiella Pneumonia: The Effects of Visible-Light Irradiation and the Liquid Mixing Process. Mater. Res. Bull. 2009, 44, 1415–1421. [Google Scholar] [CrossRef]
  18. Gurunathan, S.; Kalishwaralal, K.; Vaidyanathan, R.; Venkataraman, D.; Pandian, S.R.K.; Muniyandi, J.; Hariharan, N.; Eom, S.H. Biosynthesis, Purification and Characterization of Silver Nanoparticles Using Escherichia Coli. Colloids Surf. B Biointerfaces 2009, 74, 328–335. [Google Scholar] [CrossRef]
  19. Sarangadharan, S.; Nallusamy, S. Biosynthesis and characterization of silver nanoparticles produced by Bacillus licheniformis. Int. J. Pharma Med. Biol. Sci. 2015, 4, 236. [Google Scholar]
  20. Singh, H.; Du, J.; Singh, P.; Yi, T.H. Extracellular Synthesis of Silver Nanoparticles by Pseudomonas sp. THG-LS1.4 and Their Antimicrobial Application. J. Pharm. Anal. 2018, 8, 258–264. [Google Scholar] [CrossRef]
  21. Syed, B.; Nagendra Prasad, M.N.; Satish, S. Synthesis and Characterization of Silver Nanobactericides Produced by Aneurinibacillus Migulanus 141, a Novel Endophyte Inhabiting Mimosa pudica L. Arab. J. Chem. 2019, 12, 3743–3752. [Google Scholar] [CrossRef]
  22. Bhainsa, K.C.; D’Souza, S.F. Extracellular Biosynthesis of Silver Nanoparticles Using the Fungus Aspergillus Fumigatus. Colloids Surf. B Biointerfaces 2006, 47, 160–164. [Google Scholar] [CrossRef] [PubMed]
  23. Faghri Zonooz, N.; Salouti, M. Extracellular Biosynthesis of Silver Nanoparticles Using Cell Filtrate of Streptomyces sp. ERI-3. Sci. Iran. 2011, 18, 1631–1635. [Google Scholar] [CrossRef]
  24. Saifuddin, N.; Wong, C.W.; Yasumira, A.A.N. Rapid Biosynthesis of Silver Nanoparticles Using Culture Supernatant of Bacteria with Microwave Irradiation. E-J. Chem. 2009, 6, 61–70. [Google Scholar] [CrossRef]
  25. Moharrer, S. Biological Synthesis of Silver Nanoparticles by Aspergillus Flavus, Isolated from Soil of Ahar Copper Mine. Indian J. Sci. Technol. 2012, 5, 1–2. [Google Scholar] [CrossRef]
  26. Jo, Y.-K.; Kim, B.H.; Jung, G. Antifungal Activity of Silver Ions and Nanoparticles on Phytopathogenic Fungi. Plant Dis. 2009, 93, 1037–1043. [Google Scholar] [CrossRef]
  27. Krishnaraj, C.; Ramachandran, R.; Mohan, K.; Kalaichelvan, P.T. Optimization for Rapid Synthesis of Silver Nanoparticles and Its Effect on Phytopathogenic Fungi. Spectrochim. Acta Part A Mol. Biomol. Spectrosc. 2012, 93, 95–99. [Google Scholar] [CrossRef]
  28. Doan Thi, V.; Vo Chau, T.; le Vu Khanh, T. Isolation of Bacillus Licheniformis TT01 to Apply It in Compost Production from Quail Manure. Biotekhnologiya 2018, 34, 53–58. [Google Scholar] [CrossRef]
  29. Oonmetta-aree, J.; Suzuki, T.; Gasaluck, P.; Eumkeb, G. Antimicrobial Properties and Action of Galangal (Alpinia galanga Linn.) on Staphylococcus Aureus. LWT Food Sci. Technol. 2006, 39, 1214–1220. [Google Scholar] [CrossRef]
  30. Syed, A.; Ahmad, A. Extracellular Biosynthesis of Platinum Nanoparticles Using the Fungus Fusarium oxysporum. Colloids Surf. B Biointerfaces 2012, 97, 27–31. [Google Scholar] [CrossRef]
  31. Kreibig, U.; Vollmer, M. Experimental Results and Discussion. In Optical Properties of Metal Clusters; Kreibig, U., Vollmer, M., Eds.; Springer Series in Materials Science; Springer: Berlin/Heidelberg, Germany, 1995; pp. 275–436. ISBN 9783662091098. [Google Scholar]
  32. Mulvaney, P. Surface Plasmon Spectroscopy of Nanosized Metal Particles. Langmuir 1996, 12, 788–800. [Google Scholar] [CrossRef]
  33. Agnihotri, S.; Mukherji, S.; Mukherji, S. Size-Controlled Silver Nanoparticles Synthesized over the Range 5–100 Nm Using the Same Protocol and Their Antibacterial Efficacy. RSC Adv. 2014, 4, 3974–3983. [Google Scholar] [CrossRef]
  34. Morones, J.R.; Elechiguerra, J.L.; Camacho, A.; Holt, K.; Kouri, J.B.; Ramírez, J.T.; Yacaman, M.J. The Bactericidal Effect of Silver Nanoparticles. Nanotechnology 2005, 16, 2346–2353. [Google Scholar] [CrossRef]
  35. Bragg, P.D.; Rainnie, D.J. The Effect of Silver Ions on the Respiratory Chain of Escherichia coli. Can. J. Microbiol. 1974, 20, 883–889. [Google Scholar] [CrossRef]
  36. Tak, Y.K.; Pal, S.; Naoghare, P.K.; Rangasamy, S.; Song, J.M. Shape-Dependent Skin Penetration of Silver Nanoparticles: Does It Really Matter? Sci. Rep. 2015, 5, 16908. [Google Scholar] [CrossRef]
  37. Raza, M.A.; Kanwal, Z.; Rauf, A.; Sabri, A.N.; Riaz, S.; Naseem, S. Size- and Shape-Dependent Antibacterial Studies of Silver Nanoparticles Synthesized by Wet Chemical Routes. Nanomaterials 2016, 6, 74. [Google Scholar] [CrossRef] [PubMed]
Figure 1. Images of silver nanoparticle (AgNP) solutions produced by (A) process A + 1 mM AgNO3, (B) process A + 2 mM AgNO3, (C) process B + 1 mM AgNO3, (D) process B + 2 mM AgNO3, (E) process C + 1 mM AgNO3 and (F) process C + 2 mM AgNO3.
Figure 1. Images of silver nanoparticle (AgNP) solutions produced by (A) process A + 1 mM AgNO3, (B) process A + 2 mM AgNO3, (C) process B + 1 mM AgNO3, (D) process B + 2 mM AgNO3, (E) process C + 1 mM AgNO3 and (F) process C + 2 mM AgNO3.
Processes 09 00584 g001
Figure 2. Ultraviolet and visible (UV–Vis) spectra of AgNP solutions produced by (A) process A + 1 mM AgNO3, (B) process A + 2 mM AgNO3, (C) process B + 1 mM AgNO3, (D) process B + 2 mM AgNO3, (E) process C + 1 mM AgNO3 and (F) process C + 2 mM AgNO3.
Figure 2. Ultraviolet and visible (UV–Vis) spectra of AgNP solutions produced by (A) process A + 1 mM AgNO3, (B) process A + 2 mM AgNO3, (C) process B + 1 mM AgNO3, (D) process B + 2 mM AgNO3, (E) process C + 1 mM AgNO3 and (F) process C + 2 mM AgNO3.
Processes 09 00584 g002aProcesses 09 00584 g002bProcesses 09 00584 g002c
Figure 3. The XRD spectrum of the AgNPs produced in process B under incubation with 1 mM AgNO3.
Figure 3. The XRD spectrum of the AgNPs produced in process B under incubation with 1 mM AgNO3.
Processes 09 00584 g003
Figure 4. TEM images of the AgNPs produced under incubation in process B with 1 mM AgNO3.
Figure 4. TEM images of the AgNPs produced under incubation in process B with 1 mM AgNO3.
Processes 09 00584 g004
Figure 5. The size distribution of AgNPs produced under incubation in process B with 1 mM AgNO3 and calculated by measuring the diameters of 63 silver nanoparticles in the TEM result.
Figure 5. The size distribution of AgNPs produced under incubation in process B with 1 mM AgNO3 and calculated by measuring the diameters of 63 silver nanoparticles in the TEM result.
Processes 09 00584 g005
Table 1. The absorption peak positions and absorption intensity of AgNPs synthesized from process B.
Table 1. The absorption peak positions and absorption intensity of AgNPs synthesized from process B.
SamplesReaction Time (days)Absorption Peak (nm)Absorption Intensity (Abs)
AgNPs synthesized from process B (1 mM AgNO3)2416 a0.25 i
4419 b0.47 j
5419.5 c0.65 k
6420.5 d0.98 l
AgNPs synthesized from process B (2 mM AgNO3)2416.5 e0.26 n
4416.5 f0.41 m
5418 g0.55 p
6418 h0.6 q
Note: Results were obtained with triplicate measurements. Values with different superscript letters (a, b, c …) are significantly different by Duncan’s test (p < 0.05).
Table 2. The diameters of antibacterial zones (cm) against various bacterial strains generated by various samples: 1 mM AgNO3, 2 mM AgNO3, extracellular solution of B. licheniformis TT01 and AgNP solutions obtained in process B.
Table 2. The diameters of antibacterial zones (cm) against various bacterial strains generated by various samples: 1 mM AgNO3, 2 mM AgNO3, extracellular solution of B. licheniformis TT01 and AgNP solutions obtained in process B.
Tested Bacteria1 mM AgNO3 2 mM AgNO3 Extracellular Fluid of B. licheniformis TT01AgNPs Solution Incubated with 1 mM AgNO3 AgNPs Solution Incubated with 2 mM AgNO3
E. coli0.44 a1.01 b0.64 c3.75 d3.03 e
B. cereus0.31 a0.51 b0.52 b3.25 c2.63 d
R. solanacearum0.51 a1.09 b0.76 c3.67 d2.85 e
Note: In each row, values with different superscript letters (a, b, c …) are significantly different by Duncan’s test (p < 0.05).
Table 3. The densities of liquid bacterial cultures (CFU/mL) after treatment with AgNP solution biosynthesized in process B under incubation with 1 mM AgNO3.
Table 3. The densities of liquid bacterial cultures (CFU/mL) after treatment with AgNP solution biosynthesized in process B under incubation with 1 mM AgNO3.
Tested BacteriaIncubation Time (h)Concentration of AgNPs (ppm)
1030515343.3257.5206171.7126.8103
E. coli0106106106106106106106106
10000000.3 × 1031050.4 × 105
24000001031050.2 × 105
B. cereus0106106106106106106106106
10000101041051.2 × 1050.2 × 106
240001020.5 × 1041051050.3 × 106
R. solanacearum0106106106106106106106106
10000001021034.2 × 105
24000000.2 × 1020.3 × 1041.3 × 106
Publisher’s Note: MDPI stays neutral with regard to jurisdictional claims in published maps and institutional affiliations.

Share and Cite

MDPI and ACS Style

Tan, L.V.; Tran, T.; Thi, V.D. Biosynthesis of Silver Nanoparticles from Bacillus licheniformis TT01 Isolated from Quail Manure Collected in Vietnam. Processes 2021, 9, 584. https://doi.org/10.3390/pr9040584

AMA Style

Tan LV, Tran T, Thi VD. Biosynthesis of Silver Nanoparticles from Bacillus licheniformis TT01 Isolated from Quail Manure Collected in Vietnam. Processes. 2021; 9(4):584. https://doi.org/10.3390/pr9040584

Chicago/Turabian Style

Tan, Lam Van, Thanh Tran, and Van Doan Thi. 2021. "Biosynthesis of Silver Nanoparticles from Bacillus licheniformis TT01 Isolated from Quail Manure Collected in Vietnam" Processes 9, no. 4: 584. https://doi.org/10.3390/pr9040584

APA Style

Tan, L. V., Tran, T., & Thi, V. D. (2021). Biosynthesis of Silver Nanoparticles from Bacillus licheniformis TT01 Isolated from Quail Manure Collected in Vietnam. Processes, 9(4), 584. https://doi.org/10.3390/pr9040584

Note that from the first issue of 2016, this journal uses article numbers instead of page numbers. See further details here.

Article Metrics

Back to TopTop