Abstract
Catechin exhibits numerous physiological characteristics. In this study, we determined the photosensitivity of catechin to various lights under alkaline conditions, and the mechanisms by which catechin generates free radical species and polymerizes via a photoreaction. In addition to this, the application of catechin photolysis was investigated. A solution of catechin is transparent, but turns yellowish under blue light illumination (BLI) in neutral or weak alkaline solutions. When catechin is subjected to BLI, a dimeric catechin (proanthocyanidin) and a superoxide anion radical () are generated in a photolytic reaction. When ascorbic acid or gallic acid is added to catechin and the mixture is subjected to BLI at alkaline pH, fewer catechin dimers and less are produced, because both acids inhibit the photosensitive oxidation of catechin. When AlCl3 is added to catechin and the mixture is subjected to BLI at pH 8, a photolytic reaction is suppressed by AlCl3, and AlCl3 acts as a catalyst for the disconnection of proanthocyanidin during photolysis. Under alkaline conditions, catechin generates via photosensitive oxidation, which suppresses the growth of Acinetobacter baumannii (A. baumannii) by at least 4 logs, and deactivates its multi-drug-resistant strain. This study shows that catechin photolysis is a process of oxidation, and that it can be safely applied as a tool for environmental applications.
1. Introduction
Phenolic compounds are secondary metabolites within plants, and most are polyhydroxyl examples. Catechin is a member of the plant polyphenols, and it mainly exists in chocolate, grapes, green tea, and wine. The polyphenol content in green tea leaves is high, at approximately 10–30% by dry weight [1]. In green tea leaves, 80% of all polyphenols are catechin compounds, and these feature anti-oxidation, anti-aging, and anti-bacterial activities [2,3,4]. Polyphenols are composed of an aromatic component that is attached to one or more hydroxyl groups, including diverse phenolic compounds [5].
Catechin is a flavin compound, and its main frame is attached to five hydroxyl groups, as shown in Figure 1. Depending on the C3 position of catechin and the mechanism by which esterification occurs in gallic acid, there are two types of catechin-like compounds: non-esterified catechins (non-gallate-type), including catechin and epicatechin (EC), and esterified catechins (gallate-type), including epigallocate catechin (ECG) and epigallocatechin gallate (EGCG) [6].
Figure 1.
The structure of catechin.
Catechin can be easily oxidized, as it is not chemically stable in an aqueous solution [7]. During the oxidation process, a significant change in pH causes a catechin-containing beverage to undergo a non-enzymatic browning reaction [8]. Research has also reported that green tea catechins are unstable, and are degraded almost entirely after a few minutes in an alkaline solution (pH > 8), but are relatively stable in acidic conditions (pH < 4) [9]. The radical-scavenging ability of catechin compounds is a feature of tea, but tea beverages are unstable when bottled during manufacturing, because catechin is unstable [10]. The oxidative brown reaction of green tea catechin can affect the taste of the tea [8]. Ascorbic acid is often added to bottled tea in order to prevent oxidation and the browning reaction of the polyphenols; however, the taste is changed by the addition of the acid, and thus sodium carbonate is added in order to adjust the pH and maintain the flavor [4,11]. The inhibition of the non-enzymatic browning reaction in beverages containing catechin compounds is important for the tea industry. In this study, we determined the mechanism for photosensitivity in catechin, based on the instability of catechin, which was demonstrated.
2. Photoreaction of Catechin
2.1. Effect of Light Quality on the Photoreaction of Catechin
When produced using a process that does not involve fermentation, the catechin compounds in green tea remain almost intact. Research reported that there is a color change when green tea is left in a lit room or in the dark for 72 h. A sample in the lit room had a darker color, but a sample in the dark showed no significant change in color; therefore, light chemically affects the ingredients of green tea beverages [12].
Proanthocyanidin is composed of catechin. Hayashi et al. noted that the proanthocyanidin in fresh purple rice is sensitive to light irradiation, and that the color of purple rice darkens because an internal molecular bond is formed when proanthocyanidin is oxidized [13]. Catechin is also sensitive to ultraviolet (UV) light, which changes its structure. Forest et al. studied the UV-induced epimerization of EC, and showed that catechin photolysis undergoes reversible photoisomerization to produce EC [14].
Much of the chemistry of catechin photolysis is illustrated by the generation of reactive B ring quinone methide intermediates [15]. A study reported that the C ring within the flavanols of catechin and EC dissolved in methanol can be opened after irradiation by exposure to ultraviolet C for 20 h [15]. Shi et al. also noted that catechin and EC are sensitive to ultraviolet B illumination, which causes these two compounds to form yellow products [3]. The illumination of catechin and EC by UV light opens the rings of these two compounds, and causes isomerization between catechins [14,15].
Catechin is also sensitive to visible light. Liang et al. showed that catechin exhibits different reactivity under illumination by light with different properties. Catechin is more sensitive to blue light, which causes a photosensitive reaction, and shows little or no activity when it is illuminated by green or red light [11]. In neutral or alkaline conditions, and when subjected to blue light illumination, a transparent catechin solution turns yellowish, and its level of the total polyphenols and ability to scavenge remain the same, as shown by the chromatographic and spectrometric analysis of the products. When monomeric catechin is subjected to blue light illumination, it forms a dimeric proanthocyanidin compound [11].
2.2. Effect of pH on the Reaction of Catechin
The Folin–Ciocalteu (FC) assay is used for quantitative analysis in order to determine the total polyphenols in biological samples, using catechin as a standard. A mixture of Folin–Ciocalteu reagent (FCR) and polyphenols is stable in acid, but unstable in an alkaline solution. In an alkaline solution, a phenolic proton is dissociated, and a phenolate anion reduces FCR. Phenolic compounds react with FCR and change color via an electron transfer process only in an alkaline environment [16]. Phenolic compounds are determined by the reduction of Mo6+ to Mo5+, which can be measured optically at 730 nm in alkaline conditions [16,17].
Chobot et al. determined the effect of acidic and alkaline pH on catechin. Catechin changes color in an aqueous solution of pH 7.4 after 96 h, but is stable after 240 h at pH 3.6 [18]. In an aqueous solution at alkaline pH, catechin is oxidized when it loses hydrogen atoms, forms an intermediate of semi-quinone, and finally becomes an oxidized quinone compound [19,20].
Catechin is stable in acidic conditions, but unstable when subjected to heat at a neutral or an alkaline pH [21]. Chen et al. showed that, under alkaline conditions, as the temperature increases, catechin undergoes esterification with dicarboxylic acids to form a complex [17]. Heating catechin produces non-enzymatic oligomers [22]. Using chromatographic and mass analysis, Chen et al. showed that, when heated in basic conditions, the level of catechin is decreased because the ether linkage on catechin is broken due to oxidization to form an isomeric intermediate [21].
Liang et al. showed that the diminishing percentages of catechin after being subjected to blue light irradiation (BLI) at 20 W/m2 for 240 min were 17.3%, 43.8%, and 63.9% at pH 6, 7, and 8, respectively. The signal intensities for catechin and dimeric catechin (B-type proanthocyanidin), as measured by high performance liquid chromatography and mass spectrometry (HPLC-MS), were negatively correlated with the pH change, and thus catechin is unstable in alkaline or neutral conditions when subjected to BLI [11].
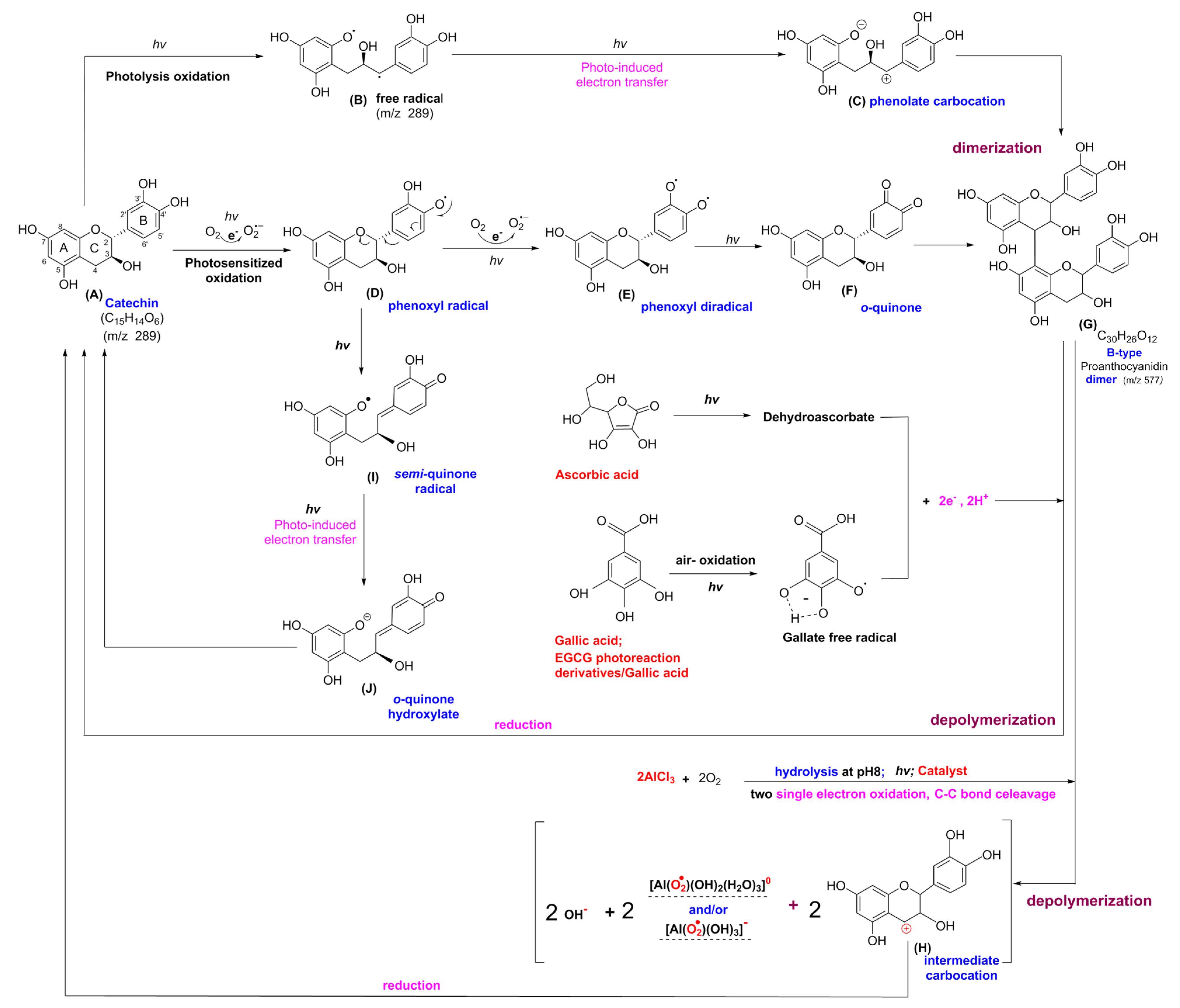
2.3. Proposed Photoreaction Mechanism for Catechin
Shishido et al. showed that when catechin is illuminated with ultraviolet A at 400 nm, its pro-oxidative mode is related to the formation of reactive oxygen species (ROS), as shown by an electron paramagnetic resonance (EPR) spin-trapping technique [23]. Under BLI and basic conditions, catechin forms a B-type proanthocyanidin, and is generated by photosensitized oxidation in a photolytic reaction and with the dimeric catechin at m/z 577 in a condensation reaction [4,24]. The proposed scheme for the photolysis of catechin is shown in Figure 2. This phenomenon shows the mechanism by which catechin generates a dimeric compound when subjected to BLI under basic conditions, and the dimer is diminished in the presence of aluminum chloride, ascorbic acid, or gallic acid [4,24,25].
Figure 2.
Proposed mechanism for the photolytic reaction of catechin treated with or without aluminum chloride, ascorbic acid, and gallic acid. Epigallocatechin gallate: EGCG. (A): catechin, (B): free radical at m/z 289, (C): catechin phenolate carbocation, (D): phenoxyl radical, (E): phenoxyl diradical, (F): o-quinone at m/z 287, (G): B-type proanthocyanidin, (H): catechin intermediate carbocation, (I): semi-quinone radical, and (J): o-quinone hydroxylate.
Two pathways are proposed for catechin’s photo-oxidation under BLI [4]. Shi et al. reported that the excitation of catechin/EC under UV irradiation occurs at the -OH bond and the oxane-like heterocyclic ring. The excitation of the bond that is linked to the OH in catechin is attributed to the formation of a quinone compound, and the heterocyclic ring (C ring) is opened preferentially via photolytic cleavage at the low-dissociation-energy C-O ether linkage, which results in the generation of a free radical species at m/z 289 [3]. For catechin and EC illuminated by UV in MeOH, Wilhelm-Mouton et al. reported that a structural change occurs because there is photolytic opening of the C ring of flavan-3-ols [15]. Figure 2B shows that the heterocyclic ring (C ring) of catechin is photolytically and exclusively broken by the cleavage of the ether bond, and a free radical species is formed at m/z 289 [4,25]. The radical species that is generated is further oxidized in a polar solvent via an electron transfer process to form a transient catechin phenolate carbocation, as shown in Figure 2C [4,25,26].
During photo-oxidation, the -OH bond of the B ring of catechin generates a quinone at m/z 287, as shown in Figure 2F. This results in the loss of an electron from the B ring, and the formation of from molecular oxygen. The quinone compound that is produced by the photo-oxidation of catechin is unstable, and it spontaneously combines with a catechin phenolate carbocation because the two have a high affinity. This process generates a dimer or polymer that rearranges via an enol-like conversion reaction by trapping two hydrogen atoms and forming new diphenols [4,25,27].
A study of the proanthocyanidin structure in terms of the major tandem mass spectrometry fragment ions at m/z 287 and 289 from B-type proanthocyanidin at m/z 577 showed that the compound is a 4→8 linked procyanidin dimer [28]. Figure 2G also shows the presence of B-type proanthocyanidin, which forms in an additional proton transfer, and the quinone compound condenses with the catechin phenolate carbocation intermediate [4,25,28,29,30]. The semi-quinone radical is quenched by photo-induced electron transfer, which generates an o-quinone intermediate, as shown in Figure 2I,J, followed by the conversion of compounds, J to A, via cyclization and protonation [4,25].
2.4. Effect of Ascorbic Acid or Gallic Acid on the Photoreaction of Catechin
Yang et al. and Huang et al. showed that, at alkaline pH, catechin or EC forms a dimeric catechin compound under BLI; however, the formation of the dimer is inhibited by the addition of ascorbic acid or gallic acid, because a photo-induced electron transfer is inhibited by these two acids [4,24]. Ascorbic acid is a strong reducing agent that is used as an antioxidant. Figure 2 shows that proanthocyanidin disconnection is caused by the cleavage of the C–C bond for the two moieties of catechin by the hydrogen ions and electrons from ascorbic acid [30].
Gallic acid (trihydroxybenzoic, GA) is an antioxidant, and it belongs to the phenolic compounds group. GA can be oxidized rapidly through the three hydroxyl groups attached to the aromatic ring in an alkaline condition, which are apt to oxidation [31], resulting in a scheme containing a two-proton, two-electron, and anionic gallate free radical oxidation [32]. Catechin and EC are isomers that are structurally similar. When EC is subjected to BLI in an alkaline solution, is produced, and monomeric, dimeric, and trimeric compounds are formed via a photosensitive redox reaction [24]. Research has reported that the disconnection within proanthocyanidins from EC under BLI treatment occurred via C–C or C–O–C bond cleavage between the moieties of dimeric B-type proanthocyanidin or the trimeric A-type proanthocyanidin via the protons or quinone methide cleavage through GA in an alkaline condition [4,30,31,33,34]. Eventually, a depolymerization procedure facilitates the generation of monomeric catechin and/or EC [24].
Huang et al. showed that the photolytic formation of non-gallate-type catechin and the gallate-type catechin under BLI was different in an alkaline solution [24]. Catechin or EC is a non-gallate-type catechin, and is unstable under BLI in an alkaline solution. Epigallocatechin gallate (EGCG) is a gallate-type catechin. It is an ester that is formed when GA reacts with non-gallate-type catechins, and is stable under BLI in an alkaline solution. If EGCG is added to EC under BLI, the photolysis decreases [24]. Huang et al. reported that the photoreaction of EGCG in a phosphate buffer solution at pH 8 subjected to BLI produced GA, as confirmed by chromatographic and mass analysis, and the carbonyl group on the gallate moiety stabilized against photo-oxidation [24].
2.5. Effect of Metal Ions on Catechin
Catechin is also unstable in the presence of metal ions. Torreggiani et al. reported that when catechin was treated with Cu2+ and Zn2+ at pH 8, a great amount of yellowish auto-oxidant was produced when the catechin polymerized. This process was produced when catechin and metal interacted for 2–6 days [35]. Using spectroscopic and pulse radiolysis, Torreggiani et al. also noted that catechin acted as a bidentate ligand, because the catechol moiety on the B ring in the reaction formed a catechin–metal complex [35]. Kumamoto et al. used an apparent acid dissociation constant (pKa1) to determine the binding strength of metal ions to EC. The pKa1 for EC was measured in the presence of Al3+, Cu2+, Fe2+, and Fe3+. The results show that the pKa1 of EC (8.68) was significantly decreased by the presence of Cu2+ (6.84), Fe2+ (6.28) and Fe3+ (6.33), but was only slightly changed in the presence of Al3+ (8.33), thereby indicating that Cu2+, Fe2+ and Fe3+ preferentially bind to EC [36]. Chen et al. reported that when aluminum chloride was added to catechin and aged for 30 days at pH 5.5, the Al reacted with the B ring of the catechin to generate a complex with a stoichiometric ratio of 1:1 [37].
Aluminum ions (Al3+) are triply charged, and belong to hard metal ions with a relatively small ionic radius. Al is non-essential, but Al3+ is reactive and harmful in biological systems, mainly due to its high charge density [38]. Al causes neurotoxicity in animals, followed by the formation of neurofibrillary tangles [39,40]. A study reported that genes encoding pro-inflammatory signaling elements were significantly up-regulated by Al [41]. Exposure to Al may increase pro-inflammatory cytokine levels [42], along with elevated gene expression of both tumor necrosis factor alpha and macrophage inflammatory protein-1alpha in a concentration-dependent manner [43,44].
Cytokines that are released due to Al exposure can recruit leukocytes, which secrete more pro-inflammatory cytokines and other chemokines, exacerbating the inflammation [43,45]. Exposure to toxic levels of Al causes immunotoxicity, leading to the inhibition of lymphocyte and macrophage functions [46]. The immunosuppression arising from oxidative stress is associated with the apoptosis of lymphocytes [47], and causes damage to thymocytes and lymphocytes [43,48].
Tea contains abundant Al, catechins, fluorine (F), and oxalate (Ox) [1,49,50,51]. Aluminum is an amphoteric species that changes in acidic and alkaline situations. After the ingestion of green tea, the Al species significantly change, because the pH changes between the stomach and the small intestine. Yokel and Florence found that the percentage of the oral bioavailability of Al from tea is 0.37% [52]. Tang et al. showed that the ratio of Al3+ to catechin was more than two, that Al–catechin complexes begin polymerization when the hydroxyl group of the C ring of catechin is chelated with Al3+ at pH 6.2, and that the Al–catechin complex decreases the concentration of aluminum that is absorbed in the intestine [53].
Aluminum ions (Al3+) form a complex with anionic fluoride (), oxalate (), or phosphate, which affects the toxicity of Al [54]. Research has reported that oxalate-Al and fluoro-Al species were the main aluminum species in green tea at pH 2.0 [55]. During the transit through the small intestine, the pH increases from 5.9–6.3 in the proximal parts to pH 7.4–7.8 in the distal parts [56]. Yang et al. reported that and had an insignificant effect on the reaction of catechin in the presence of AlCl3, with or without BLI treatment at pH 8, because Al species are either neutral or negatively charged, and do not generate a complex with anions in alkaline conditions [25]. Liang et al. used a Geochem model to measure the Al species in green tea, and showed that 85.16% of Al species at pH 7.5 exist as a solid compound with [Al(OH)3] [57]. Most aluminum hydroxide species are soluble at the pH level of the human intestine, and is produced in the absence of other ligands to generate a complex with aluminum [58,59].
2.6. Effect of Aluminum Chloride on the Photoreaction of Catechin
Tea contains abundant catechins and aluminum. Yang et al. studied the photoreaction of catechin used as a model for the investigation of the effect of AlCl3 on the changes of catechin and the alteration of aluminum species under BLI treatment in alkaline conditions, using a chromatography–mass-spectroscopy method [25]. For the catechin photolysis that occurs in the presence of AlCl3, the generation of and proanthocyanidin are simultaneously inhibited, which is achieved by the intrinsic potential of Al3+ to stabilize and catalyze the disconnection of proanthocyanidin during the process under BLI in alkaline conditions [25]. The effect of AlCl3 on the changes of catechin under BLI treatment in alkaline conditions is shown below.
Mujika et al. studied the difference in the hydrolysis of Al3+ species at different pH values: for pH < 5.0, and , , and for pH levels of 5 to 6.2 [60]. The Al species can be and/or which are intermediates in weak alkaline solutions [60]. The generation of an Al3+−superoxide complex is pH-dependent in aqueous solutions, because Al stabilizes . There is a linear relationship between the interactions between Al and [60]. The Al3+−superoxide compound is formed by the displacement of a water molecule from the first solvation shell of Al3+ in an aqueous solution, and Al3+ species are the major pathway for the formation of a superoxide complex in water [60]. The displacement of one ligand by in a weak alkaline solution is described by Equations (1) and (2) [60]:
The generation of an Al3+−superoxide complex eases electron transfer, and pro-oxidant activity is increased when an Al3+−superoxide is produced [60]. The binding of cationic species with radical anions controls the electron transfer reactivity of the substrate [61]. –metal ion complexes are formed by photo-induced electron transfer from the excited state of a dimeric organic compound, in which photolysis produces a two-electron donor, and then produces two –metal ion complex radical ions and two monomeric cations [62,63].
Ma et al. reported that flavan-3-ol and flavan-3-ol C-4 carbocation intermediates are disconnected from proanthocyanidin in diluted mineral acids [64]. Huang et al. showed that Al3+ acts as a catalyst for the disconnection of dimeric B-type proanthocyanidin (BtPA) during the photolysis of catechin under BLI in alkaline conditions, and that the Al3+−superoxide complex stabilizes [25,60]. Equation (3) shows the depolymerization of BtPA via the photolysis of catechin in a reaction in which aluminum ions act as a catalyst [25,62,65]. The catechin carbocation (Figure 2H) then forms catechin at m/z 289 (Figure 2A) [4,24,64]:
2.7. Effect of the Photoreaction of Catechin on the Deactivation of Microorganisms
Reactive oxygen species (ROS) include H2O2, , , and [66]. can be an intermediate of a redox reaction, leading to the aging of cellular tissue, inflammation, atherosclerosis, and numerous other symptoms [67,68]. Blue light causes the photo-degradation of riboflavin, followed by electron transfer to form [69]. Studies have reported that riboflavin or riboflavin-5′-monophosphate (FMN) produces under blue light illumination, which degrades crystal violet and tetracycline [70,71], damages nucleic acids [72], and deactivates microorganisms, such as Escherichia coli (E. coli), Staphylococcus aureus (S. aureus), and multi-drug-resistant S. aureus (MRSA) [72,73,74].
The generation of from a riboflavin/nitro blue tetrazolium (B2/NBT) system illuminated with blue light was studied using the NBT reduction method [75]. Yang et al. detected within a catechin/NBT system, and showed thatthe reactivity of catechin was proportional to the duration of BLI, as shown by the high level of formation [4,25]. During the photo-oxidative process, catechin forms oxidized quinone intermediates, and is formed, as shown in Figure 2. The formation of is mainly driven by the reduction of O2 in a one-electron process.
EPR spectroscopy is a method for studying materials containing unpaired electrons by which electronic transitions can be detected in an applied magnetic field [76]. The EPR spin-trapping technique enables the detection of a reactive free radical species when it is forming a stable EPR-active adduct by its reaction with spin traps, and it has become an essential tool for the detection of ROS in biological systems [76,77]. Shishido et al. identified the pro-oxidative mode for photo-irradiated catechin at 400 nm in terms of the ROS generation using the EPR spin-trapping technique [23].
A. baumannii is a Gram-negative bacterium that is an increasing threat to humans, and is a pathogen in intensive care units (ICUs) [78]. Yang et al. showed that catechin subjected to BLI formed via photosensitive oxidation inhibited the growth of A. baumannii by at least 4 logs, and deactivated the multi-drug-resistant strain of A. baumannii is [4]. Shishido et al. showed that catechin that was photo-irradiated at 400 nm for 20 min inhibited the growth of S. aureus by at least 5 logs [23]. The photo-oxidation of catechin is an efficient protocol for the deactivation of microbiological species.
2.8. Application of Catechin Photolysis
Catechins with numerous oligomeric constructions exist in nature, mainly in the condensed tannins that are known as proanthocyanidins [79]. Proanthocyanidins are oligomeric catechins. These generally exist as multimer- or monomer-linked moieties between catechin units, and are categorized as either A- or B-type proanthocyanidins [80]. Proanthocyanidins are present in many foods, including apples, blueberries, chocolate, and cranberries [11,81,82,83]. They are used as agents against cancer and inflammation, and to reduce the risk of cardiovascular mortality [84]. In clinical applications, the monomeric forms of oligomeric flavonoids are unstable when subjected to light, heat, and alkaline conditions, which results in their poor bioavailability, low membrane permeability, and a rapid metabolism [85,86,87,88,89,90,91].
As reported previously, polymeric compounds of catechin can be obtained by various reaction pathways, such as enzymatic polymerization [92,93,94], photopolymerization [11,86], HCl-catalyzed polymerization [95], polycondensation with aldehydes in the presence of acid catalysts [96,97,98], and cross-linking reactions of catechin with glycerol diglycidyl ether [99]. A study also reported that the complex condensed aromatic compounds of natural tannins result in high thermal resistance [100].
Latos-Brozio and Masek reported that a polymeric catechin complex is generated when catechin is placed in a phosphate-buffered solution, subjected to BLI, and dried at 55 °C. This process produces (+)-catechin photo-polymerization, and the polymeric catechin complex exhibits better thermal stability and a better ability to reduce transition metal ions compared with catechin [86,99]. A polymeric complex of catechin can potentially be used as a pro-ecological stabilizing agent, in addition to being applied as a functional additive for polymeric materials, and as a dressing material in medicine [86,99].
In terms of ROS, the hydroxyl radical () is an intermediate of a redox reaction that degrades contaminants [70,71]. Fenton reactions are used to treat wastewater. These reactions include Fenton-like processes and photo-Fenton-like systems that use Fe(II) and/or Fe(III) salts and peroxide in acidic conditions [101]. Photo-Fenton-like systems readily absorb UV-vis radiation, and stabilize Fe(III) over a broader pH range [101]. A photolytic Fenton-type reaction has been found to be the most effective way to remove various organic pollutants from aqueous media, soils, and sediments via the generation of the diffusible radical species [102,103,104,105].
Catechin is a natural catecholate siderophore. Fe(III) complexes, pH values, and catechin concentration affect the degradation of Inderal via the generation of from a photochemical reaction under UV irradiation in the Fe(III)–catechin system [105]. ROS are also used to degrade crystal violet and tetracycline [70,71], and to deactivate microorganisms [72,73,74]. Catechin is sensitive to blue light [11]. Future works may study the generation of in the Fe(III)–catechin system by the photoreaction of visible light.
3. Conclusions
Catechin is an antioxidant that is stable in acidic conditions and unstable in alkaline or neutral conditions. Catechin induces electron transfer via photo-oxidation when it is illuminated by blue light, whereupon it forms a colored dimeric catechin complex. Adding ascorbic acid or gallic acid inhibits the photosensitive oxidation of catechin and scavenges reactive radical species. Aluminum is an amphoteric species that stabilizes the photolysis of catechin in alkaline conditions by inhibiting the generation of and proanthocyanidin. Aluminum ions act as catalysts for this reaction in the catechin/Al system under BLI. Under blue light illumination, photosensitive catechin deactivates pathogenic microorganisms. Photosensitive catechin oxidation via blue light forms , which deactivates A. baumannii and its multi-resistant strain. Blue light was shown to allow the photosensitive oxidation of catechin.
The results of this study show that the photochemical treatment of catechin is a simple and safe tool to ensure clinical hygiene. is generated in a photochemical reaction when the Fe(III)–catechin system is subjected to UV irradiation. The wavelength of blue light is longer than that of UV light. Light of shorter wavelengths has higher energy, and so poses a greater risk to cells. Future works might study the generation of in the Fe(III)–catechin system through photoreactions under visible light. Citric acid is a tridentate ligand that is often added to tea to enhance its flavor. Tea is abundant in catechins and aluminum. For solutions in the presence of AlCl3 with a large amount of citric acid, citric acid can enhance the absorption of aluminum or compete with anions, such as or from an aluminum superoxide complex. The process of catechin photolysis could be used as a model to study the effect of citric acid on the changes in aluminum species and the alteration of catechin.
Author Contributions
Project administration, S.-Y.L. and M.-J.Y.; visualization, S.-T.H.; writing—original draft, J.-M.P.Y. and J.-Y.L.; writing—review and editing, C.-W.C. and J.-Y.L. All authors have read and agreed to the published version of the manuscript.
Funding
This research received no external funding.
Institutional Review Board Statement
Not applicable.
Informed Consent Statement
Not applicable.
Data Availability Statement
Not applicable.
Conflicts of Interest
The authors declare no conflict of interest.
References
- Pan, X.; Niu, G.; Liu, H. Microwave-assisted extraction of tea polyphenols and tea caffeine from green tea leaves. Eng. Process. 2003, 42, 129–133. [Google Scholar] [CrossRef]
- Grzesik, M.; Naparlo, K.; Bartosz, G.; Sadowska-Bartosz, I. Antioxidant properties of catechins: Comparison with other antioxidants. Food Chem. 2018, 241, 480–492. [Google Scholar] [CrossRef] [PubMed]
- Shi, M.; Nie, Y.; Zheng, X.Q.; Lu, J.L.; Liang, Y.R.; Ye, J.H. Ultraviolet B (UVB) photosensitivities of tea catechins and the relevant chemical conversions. Molecules 2016, 21, 1345. [Google Scholar] [CrossRef]
- Yang, M.J.; Hung, Y.A.; Wong, T.W.; Lee, N.Y.; Yuann, J.M.P.; Huang, S.T.; Wu, C.Y.; Chen, I.Z.; Liang, J.Y. Effects of blue-light-induced free radical formation from catechin hydrate on the inactivation of Acinetobacter baumannii, Iincluding a carbapenem-resistant strain. Molecules 2018, 23, 1631. [Google Scholar] [CrossRef] [PubMed]
- Balasundram, N.; Sundram, K.; Samman, S. Phenolic compounds in plants and agri-industrial by-products: Antioxidant activity, occurrence, and potential uses. Food Chem. 2006, 99, 191–203. [Google Scholar] [CrossRef]
- Chen, G.H.; Yang, C.Y.; Lee, S.J.; Wu, C.C.; Tzen, J.T. Catechin content and the degree of its galloylation in oolong tea are inversely correlated with cultivation altitude. J. Food Drug Anal. 2014, 22, 303–309. [Google Scholar] [CrossRef]
- Dube, A.; Ng, K.; Nicolazzo, J.A.; Larson, I. Effective use of reducing agents and nanoparticle encapsulation in stabilizing catechins in alkaline solution. Food Chem. 2010, 122, 662–667. [Google Scholar] [CrossRef]
- Ye, Q.; Chen, H.; Zhang, L.B.; Ye, J.H.; Lu, J.L.; Liang, Y.R. Effects of temperature, illumination, and sodium ascorbate on browning of green tea infusion. Food Sci. Biotechnol. 2009, 18, 932–938. [Google Scholar]
- Zhu, Q.Y.; Zhang, A.; Tsang, D.; Huang, Y.; Chen, Z.Y. Stability of green tea catechins. J. Agric. Food Chem. 1997, 45, 4624–4628. [Google Scholar] [CrossRef]
- Komatsu, Y.; Suematsu, S.; Hisanobu, Y.; Saigo, H.; Matsuda, R.; Hara, K. Effects of pH and temperature on reaction kinetics of catechins in green tea infusion. Biosci. Biotechnol. Biochem. 1993, 57, 907–910. [Google Scholar] [CrossRef]
- Liang, J.Y.; Wu, J.Y.; Yang, M.Y.; Hu, A.; Chen, L.Y. Photo-catalytic polymerization of catechin molecules in alkaline aqueous. J. Photochem. Photobiol. B Biol. 2016, 165, 115–120. [Google Scholar] [CrossRef] [PubMed]
- Lee, S.Y.; Liang, J.Y. The photochemistry of catechin. MC Trans. Biotechnol. 2020, 11, 13–21. [Google Scholar]
- Hayashi, S.; Nakano, K.; Yanase, E. Investigation of color-deepening phenomenon in catechin-(4-->8)-dimer as a proanthocyanidin model and structural determination of its derivatives by oxidation. Food Chem. 2018, 239, 1126–1133. [Google Scholar] [CrossRef] [PubMed]
- Forest, K.; Wan, P.; Preston, C.M. Catechin and hydroxybenzhydrols as models for the environmental photochemistry of tannins and lignins. Photochem. Photobiol. Sci. 2004, 3, 463–472. [Google Scholar] [CrossRef] [PubMed]
- Wilhelm-Mouton, A.; Bonnet, S.L.; Ding, Y.; Li, X.C.; Ferreira, D.; van der Westhuizen, J.H. Photochemistry synthesis. Part 2: Enantiomerically pure polyhydroxy-1, 1, 3-triarylpropan-2-ols. J. Photochem. Photobiol. A Chem. 2012, 227, 18–24. [Google Scholar] [CrossRef]
- Huang, D.; Ou, B.; Prior, R.L. The chemistry behind antioxidant capacity assays. J. Agric. Food Chem. 2005, 53, 1841–1856. [Google Scholar] [CrossRef]
- Chen, L.Y.; Cheng, C.W.; Liang, J.Y. Effect of esterification condensation on the Folin-Ciocalteu method for the quantitative measurement of total phenols. Food Chem. 2015, 170, 10–15. [Google Scholar] [CrossRef]
- Chobot, V.; Huber, C.; Trettenhahn, G.; Hadacek, F. (+/-)-catechin: Chemical weapon, antioxidant, or stress regulator? J. Chem. Ecol. 2009, 35, 980–996. [Google Scholar] [CrossRef]
- Janeiro, P.; Brett, A.M.O. Catechin electrochemical oxidation mechanisms. Anal. Chim. Acta 2004, 518, 109–115. [Google Scholar] [CrossRef]
- Mochizuki, M.; Yamazaki, S.; Kano, K.; Ikeda, T. Kinetic analysis and mechanistic aspects of autoxidation of catechins. Biochim. Biophys. Acta 2002, 1569, 35–44. [Google Scholar] [CrossRef]
- Chen, L.Y.; Wu, J.Y.; Liang, J.Y. Using chromatography and mass spectrometry to monitor isomerization of catechin in alkaline aqueous with thermal processing. J. Food Process. Preserv. 2018, 42, e13365. [Google Scholar] [CrossRef]
- Fan, F.Y.; Shi, M.; Nie, Y.; Zhao, Y.; Ye, J.H.; Liang, Y.R. Differential behaviors of tea catechins under thermal processing: Formation of non-enzymatic oligomers. Food Chem. 2016, 196, 347–354. [Google Scholar] [CrossRef] [PubMed]
- Shishido, S.; Miyano, R.; Nakashima, T.; Matsuo, H.; Iwatsuki, M.; Nakamura, K.; Kanno, T.; Egusa, H.; Niwano, Y. A novel pathway for the photooxidation of catechin in relation to its prooxidative activity. Sci. Rep. 2018, 8, 1–11. [Google Scholar] [CrossRef] [PubMed]
- Huang, S.T.; Hung, Y.A.; Yang, M.J.; Chen, I.Z.; Yuann, J.M.P.; Liang, J.Y. Effects of epigallocatechin gallate on the stability of epicatechin in a photolytic process. Molecules 2019, 24, 787. [Google Scholar] [CrossRef]
- Yang, M.J.; Lee, S.Y.; Liu, C.I.; Chen, S.H.; Chen, I.Z.; Su, T.C.; Yuann, J.M.P.; Cheng, C.W.; Huang, S.T.; Liang, J.Y. Catechin photolysis suppression by aluminum chloride under alkaline conditions and assessment with liquid chromatography–mass spectrometry. Molecules 2020, 25, 5985. [Google Scholar] [CrossRef]
- Faria, J.L.; Steenken, S. Photoionization (lambda. = 248 or 308 nm) of triphenylmethyl radical in aqueous solution. Formation of triphenylmethyl carbocation. J. Am. Chem. Soc. 1990, 112, 1277–1279. [Google Scholar] [CrossRef]
- Li, H.; Guo, A.; Wang, H. Mechanisms of oxidative browning of wine. Food Chem. 2008, 108, 1–13. [Google Scholar] [CrossRef]
- Ojwang, L.O.; Yang, L.; Dykes, L.; Awika, J. Proanthocyanidin profile of cowpea (Vigna unguiculata) reveals catechin-O-glucoside as the dominant compound. Food Chem. 2013, 139, 35–43. [Google Scholar] [CrossRef]
- Dixon, R.A.; Xie, D.Y.; Sharma, S.B. Proanthocyanidins—A final frontier in flavonoid research? New Phytol. 2005, 165, 9–28. [Google Scholar] [CrossRef]
- Jiang, X.; Liu, Y.; Wu, Y.; Tan, H.; Meng, F.; Wang, Y.S.; Li, M.; Zhao, L.; Liu, L.; Qian, Y.; et al. Analysis of accumulation patterns and preliminary study on the condensation mechanism of proanthocyanidins in the tea plant [Camellia sinensis]. Sci. Rep. 2015, 5, 8742. [Google Scholar] [CrossRef]
- Badhani, B.; Sharma, N.; Kakkar, R. Gallic acid: A versatile antioxidant with promising therapeutic and industrial applications. RSC Adv. 2015, 5, 27540–27557. [Google Scholar] [CrossRef]
- Eslami, A.C.; Pasanphan, W.; Wagner, B.A.; Buettner, G.R. Free radicals produced by the oxidation of gallic acid: An electron paramagnetic resonance study. Chem. Cent. J. 2010, 4, 1–4. [Google Scholar] [CrossRef]
- Gunckel, S.; Santander, P.; Cordano, G.; Ferreira, J.; Munoz, S.; Nunez-Vergara, L.J.; Squella, J.A. Antioxidant activity of gallates: An electrochemical study in aqueous media. Chem. Biol. Interact. 1998, 114, 45–59. [Google Scholar] [CrossRef]
- Liu, H.; Zou, T.; Gao, J.M.; Gu, L. Depolymerization of cranberry procyanidins using (+)-catechin, (-)-epicatechin, and (-)-epigallocatechin gallate as chain breakers. Food Chem. 2013, 141, 488–494. [Google Scholar] [CrossRef] [PubMed]
- Torreggiani, A.; Jurasekova, Z.; Sanchez-Cortes, S.; Tamba, M. Spectroscopic and pulse radiolysis studies of the antioxidant properties of (+) catechin: Metal chelation and oxidizing radical scavenging. J. Raman Spectrosc. 2008, 39, 265–275. [Google Scholar] [CrossRef]
- Kumamoto, M.; Sonda, T.; Nagayama, K.; Tabata, M. Effects of pH and metal ions on antioxidative activities of catechins. Biosci. Biotechnol. Biochem. 2001, 65, 126–132. [Google Scholar] [CrossRef]
- Chen, Y.M.; Wang, M.K.; Huang, P.M. Catechin transformation as influenced by aluminum. J. Agric. Food Chem. 2006, 54, 212–218. [Google Scholar] [CrossRef]
- Exley, C. The toxicity of aluminium in humans. Morphologie 2016, 100, 51–55. [Google Scholar] [CrossRef] [PubMed]
- Mold, M.J.; O’Farrell, A.; Morris, B.; Exley, C. Aluminum and neurofibrillary tangle co-localization in familial Alzheimer’s disease and related neurological disorders. J. Alzheimers Dis. 2020, 78, 139–149. [Google Scholar] [CrossRef]
- Walton, J.R. Evidence for participation of aluminum in neurofibrillary tangle formation and growth in Alzheimer’s disease. J. Alzheimers Dis. 2010, 22, 65–72. [Google Scholar] [CrossRef]
- Lukiw, W.J.; Percy, M.E.; Kruck, T.P. Nanomolar aluminum induces pro-inflammatory and pro-apoptotic gene expression in human brain cells in primary culture. J. Inorg. Biochem. 2005, 99, 1895–1898. [Google Scholar] [CrossRef]
- Jangra, A.; Kasbe, P.; Pandey, S.N.; Dwivedi, S.; Gurjar, S.S.; Kwatra, M.; Mishra, M.; Venu, A.K.; Sulakhiya, K.; Gogoi, R. Hesperidin and silibinin ameliorate aluminum-induced neurotoxicity: Modulation of antioxidants and inflammatory cytokines level in mice hippocampus. Biol. Trace Elem. Res. 2015, 168, 462–471. [Google Scholar] [CrossRef]
- Igbokwe, I.O.; Igwenagu, E.; Igbokwe, N.A. Aluminium toxicosis: A review of toxic actions and effects. Interdiscip. Toxicol. 2019, 12, 45–70. [Google Scholar] [CrossRef]
- Johnson, V.J.; Sharma, R.P. Aluminum disrupts the pro-inflammatory cytokine/neurotrophin balance in primary brain rotation-mediated aggregate cultures: Possible role in neurodegeneration. Neurotoxicology 2003, 24, 261–268. [Google Scholar] [CrossRef]
- Milnerowicz, H.; Ściskalska, M.; Dul, M. Pro-inflammatory effects of metals in persons and animals exposed to tobacco smoke. J. Trace Elem. Electrolytes Health Dis. 2015, 29, 1–10. [Google Scholar] [CrossRef]
- Zhu, Y.; Li, Y.; Miao, L.; Wang, Y.; Liu, Y.; Yan, X.; Cui, X.; Li, H. Immunotoxicity of aluminum. Chemosphere 2014, 104, 1–6. [Google Scholar] [CrossRef]
- Yu, H.; Zhang, J.; Ji, Q.; Yu, K.; Wang, P.; Song, M.; Cao, Z.; Zhang, X.; Li, Y. Melatonin alleviates aluminium chloride-induced immunotoxicity by inhibiting oxidative stress and apoptosis associated with the activation of Nrf2 signaling pathway. Ecotoxicol. Environ. Saf. 2019, 173, 131–141. [Google Scholar] [CrossRef]
- Kamalov, J.; Carpenter, D.O.; Birman, I. Cytotoxicity of environmentally relevant concentrations of aluminum in murine thymocytes and lymphocytes. J. Toxicol. 2011, 2011, 796719. [Google Scholar] [CrossRef]
- Lee, S.Y.; Liang, J.Y. The study of aluminum influence on tea. MC Trans. Biotechnol. 2021, 12, e1. [Google Scholar]
- Li, Q.S.; Lin, X.M.; Qiao, R.Y.; Zheng, X.Q.; Lu, J.L.; Ye, J.H.; Liang, Y.R. Effect of fluoride treatment on gene expression in tea plant (Camellia sinensis). Sci. Rep. 2017, 7, 1–8. [Google Scholar] [CrossRef]
- Libert, B.; Franceschi, V.R. Oxalate in crop plants. J. Agric. Food Chem. 1987, 35, 926–938. [Google Scholar] [CrossRef]
- Yokel, R.A.; Florence, R.L. Aluminum bioavailability from tea infusion. Food Chem. Toxicol. 2008, 46, 3659–3663. [Google Scholar] [CrossRef] [PubMed]
- Tang, D.S.; Shen, S.R.; Chen, X.; Zhang, Y.Y.; Xu, C.Y. Interaction of catechins with aluminum in vitro. J. Zhejiang Univ. Sci. 2004, 5, 668–675. [Google Scholar] [CrossRef] [PubMed]
- Martin, R.B. The chemistry of aluminum as related to biology and medicine. Clin. Chem. 1986, 32, 1797–1806. [Google Scholar] [CrossRef] [PubMed]
- Liang, J.Y.; Yen, C.H.; Lin, H.C. A study on aluminum species in green tea infusion by ion chromatography. J. Chin. Agric. Chem. Soc. 1998, 36, 344–352. [Google Scholar]
- Koziolek, M.; Grimm, M.; Becker, D.; Iordanov, V.; Zou, H.; Shimizu, J.; Wanke, C.; Garbacz, G.; Weitschies, W. Investigation of pH and temperature profiles in the GI tract of fasted human subjects using the Intellicap® system. J. Pharm. Sci. 2015, 104, 2855–2863. [Google Scholar] [CrossRef]
- Liang, J.Y.; Chung, R.S.; Lin, H.C. Speciation of aluminum and fluorine in a blend of green tea infusion and human gastric juice by ion chromatography and 19F-NMR. Food Sci. Agric. Chem. 1999, 1, 215–222. [Google Scholar]
- Harris, W.R.; Berthon, G.; Day, J.P.; Exley, C.; Flaten, T.P.; Forbes, W.F.; Kiss, T.; Orvig, C.; Zatta, P.F. Speciation of aluminum in biological systems. J. Toxicol. Environ. Health 1996, 48, 543–568. [Google Scholar]
- Krewski, D.; Yokel, R.A.; Nieboer, E.; Borchelt, D.; Cohen, J.; Harry, J.; Kacew, S.; Lindsay, J.; Mahfouz, A.M.; Rondeau, V. Human health risk assessment for aluminium, aluminium oxide, and aluminium hydroxide. J. Toxicol. Environ. Health B Crit. Rev. 2007, 10, 1–269. [Google Scholar] [CrossRef]
- Mujika, J.I.; Ruiperez, F.; Infante, I.; Ugalde, J.M.; Exley, C.; Lopez, X. Pro-oxidant activity of aluminum: Stabilization of the aluminum superoxide radical ion. J. Phys. Chem. A 2011, 115, 6717–6723. [Google Scholar] [CrossRef]
- Fukuzumi, S. Catalytic control of electron-transfer processes. Pure Appl. Chem. 2003, 75, 577–587. [Google Scholar] [CrossRef]
- Fukuzumi, S. Catalysis in electron transfer reactions: Facts and mechanistic insights. J. Phys. Org. Chem. 2002, 15, 448–460. [Google Scholar] [CrossRef]
- Fukuzumi, S.; Ohtsu, H.; Ohkubo, K.; Itoh, S.; Imahori, H. Formation of superoxide–metal ion complexes and the electron transfer catalysis. Coord. Chem. Rev. 2002, 226, 71–80. [Google Scholar] [CrossRef]
- Ma, L.; Watrelot, A.A.; Addison, B.; Waterhouse, A.L. Condensed tannin reacts with SO2 during wine aging, yielding flavan-3-ol sulfonates. J. Agric. Food Chem. 2018, 66, 9259–9268. [Google Scholar] [CrossRef] [PubMed]
- Patz, M.; Kuwahara, Y.; Suenobu, T.; Fukuzumi, S. Oxidation mechanism of NAD dimer model compounds. Chem. Lett. 1997, 26, 567–568. [Google Scholar] [CrossRef]
- Yuann, J.M.P.; Wang, J.S.; Jian, H.L.; Lin, C.C.; Liang, J.Y. Effects of Clinacanthus nutans (Burm. f) Lindau leaf extracts on protection of plasmid DNA from riboflavin photoreaction. MC Trans. Biotechnol. 2012, 4, e5. [Google Scholar]
- Halliwell, B.; Gutteridge, J.M. Role of free radicals and catalytic metal ions in human disease: An overview. Methods Enzymol. 1990, 186, 1–85. [Google Scholar]
- Juen, J.W.; Jian, H.L.; Liang, J.Y. The effect of illuminance on light induced reduction of nitro blue tetrazolium. MC Trans. Biotechnol. 2010, 2, e2. [Google Scholar]
- Lin, Y.; Eitenmiller, R.R.; Landen, W.O. Riboflavin. In Vitamin Analysis for the Health and Food Sciences, 2nd ed.; CRC Press: Boca Raton, FL, USA, 2008; pp. 329–360. [Google Scholar]
- Huang, S.T.; Lee, S.Y.; Wang, S.H.; Wu, C.Y.; Yuann, J.P.; He, S.; Cheng, C.W.; Liang, J.Y. The influence of the degradation of tetracycline by free radicals from riboflavin-5’-phosphate photolysis on microbial viability. Microorganisms 2019, 7, 500. [Google Scholar] [CrossRef]
- Liang, J.Y.; Yuann, J.P.; Hsie, Z.J.; Huang, S.T.; Chen, C.C. Blue light induced free radicals from riboflavin in degradation of crystal violet by microbial viability evaluation. J. Photochem. Photobiol. B Biol. 2017, 174, 355–363. [Google Scholar] [CrossRef]
- Liang, J.Y.; Yuann, J.M.; Cheng, C.W.; Jian, H.L.; Lin, C.C.; Chen, L.Y. Blue light induced free radicals from riboflavin on E. coli DNA damage. J. Photochem. Photobiol. B Biol. 2013, 119, 60–64. [Google Scholar] [CrossRef] [PubMed]
- Liang, J.Y.; Cheng, C.W.; Yu, C.H.; Chen, L.Y. Investigations of blue light-induced reactive oxygen species from flavin mononucleotide on inactivation of E. coli. J. Photochem. Photobiol. B Biol. 2015, 143, 82–88. [Google Scholar] [CrossRef] [PubMed]
- Wong, T.W.; Cheng, C.W.; Hsieh, Z.J.; Liang, J.Y. Effects of blue or violet light on the inactivation of Staphylococcus aureus by riboflavin-5′-phosphate photolysis. J. Photochem. Photobiol. B Biol. 2017, 173, 672–680. [Google Scholar] [CrossRef] [PubMed]
- Cheng, C.W.; Chen, L.Y.; Chou, C.W.; Liang, J.Y. Investigations of riboflavin photolysis via coloured light in the nitro blue tetrazolium assay for superoxide dismutase activity. J. Photochem. Photobiol. B Biol. 2015, 148, 262–267. [Google Scholar] [CrossRef]
- Suzen, S.; Gurer-Orhan, H.; Saso, L. Detection of reactive oxygen and nitrogen species by electron paramagnetic resonance (EPR) technique. Molecules 2017, 22, 181. [Google Scholar] [CrossRef]
- Griendling, K.K.; Touyz, R.M.; Zweier, J.L.; Dikalov, S.; Chilian, W.; Chen, Y.R.; Harrison, D.G.; Bhatnagar, A. Measurement of reactive oxygen species, reactive nitrogen species, and redox-dependent signaling in the cardiovascular system: A scientific statement from the American Heart Association. Circ. Res. 2016, 119, e39–e75. [Google Scholar] [CrossRef]
- Osterburg, A.; Gardner, J.; Hyon, S.H.; Neely, A.; Babcock, G. Highly antibiotic-resistant Acinetobacter baumannii clinical isolates are killed by the green tea polyphenol (-)-epigallocatechin-3-gallate (EGCG). Clin. Microbiol. Infect. 2009, 15, 341–346. [Google Scholar] [CrossRef]
- Quideau, S.; Deffieux, D.; Douat-Casassus, C.; Pouysegu, L. Plant polyphenols: Chemical properties, biological activities, and synthesis. Angew. Chem. Int. Ed. Engl. 2011, 50, 586–621. [Google Scholar] [CrossRef]
- Huvaere, K.; Sinnaeve, B.; van Bocxlaer, J.; Skibsted, L.H. Flavonoid deactivation of excited state flavins: Reaction monitoring by mass spectrometry. J. Agric. Food Chem. 2012, 60, 9261–9272. [Google Scholar] [CrossRef]
- Hammerstone, J.F.; Lazarus, S.A.; Schmitz, H.H. Procyanidin content and variation in some commonly consumed foods. J. Nutr. 2000, 130, 2086S–2092S. [Google Scholar] [CrossRef]
- Prior, R.L.; Lazarus, S.A.; Cao, G.; Muccitelli, H.; Hammerstone, J.F. Identification of procyanidins and anthocyanins in blueberries and cranberries (Vaccinium spp.) using high-performance liquid chromatography/mass spectrometry. J. Agric. Food Chem. 2001, 49, 1270–1276. [Google Scholar] [CrossRef] [PubMed]
- Wollgast, J.; Pallaroni, L.; Agazzi, M.E.; Anklam, E. Analysis of procyanidins in chocolate by reversed-phase high-performance liquid chromatography with electrospray ionisation mass spectrometric and tandem mass spectrometric detection. J. Chromatogr. A. 2001, 926, 211–220. [Google Scholar] [CrossRef]
- Cos, P.; Bruyne, T.D.; Hermans, N.; Apers, S.; Berghe, D.V.; Vlietinck, A. Proanthocyanidins in health care: Current and new trends. Curr. Med. Chem. 2004, 11, 1345–1359. [Google Scholar] [CrossRef] [PubMed]
- Hong, J.; Lu, H.; Meng, X.; Ryu, J.H.; Hara, Y.; Yang, C.S. Stability, cellular uptake, biotransformation, and efflux of tea polyphenol (−)-epigallocatechin-3-gallate in HT-29 human colon adenocarcinoma cells. Cancer Res. 2002, 62, 7241–7246. [Google Scholar]
- Latos-Brozio, M.; Masek, A. Natural polymeric compound based on high thermal stability catechin from green tea. Biomolecules 2020, 10, 1191. [Google Scholar] [CrossRef] [PubMed]
- Manach, C.; Scalbert, A.; Morand, C.; Rémésy, C.; Jiménez, L. Polyphenols: Food sources and bioavailability. Am. J. Clin. Nutr. 2004, 79, 727–747. [Google Scholar] [CrossRef]
- Manach, C.; Williamson, G.; Morand, C.; Scalbert, A.; Rémésy, C. Bioavailability and bioefficacy of polyphenols in humans. I. Review of 97 bioavailability studies. Am. J. Clin. Nutr. 2005, 81, 230S–242S. [Google Scholar] [CrossRef]
- Mereles, D.; Hunstein, W. Epigallocatechin-3-gallate (EGCG) for clinical trials: More pitfalls than promises? Int. J. Mol. Sci. 2011, 12, 5592–5603. [Google Scholar] [CrossRef] [PubMed]
- Saadeh, R.; Al-Jabari, M.; Abdoh, A.; Al-Bawab, A.F. Stability study of green tea natural extract in aqueous solutions and its chemical kinetics. Dirasat. Pure Sci. 2009, 36, 62–75. [Google Scholar]
- Williamson, G.; Manach, C. Bioavailability and bioefficacy of polyphenols in humans. II. Review of 93 intervention studies. Am. J. Clin. Nutr. 2005, 81, 243S–255S. [Google Scholar] [CrossRef]
- Hosny, M.; Rosazza, J.P. Novel oxidations of (+)-catechin by horseradish peroxidase and laccase. J. Agric. Food Chem. 2002, 50, 5539–5545. [Google Scholar] [CrossRef] [PubMed]
- Kurisawa, M.; Chung, J.E.; Kim, Y.J.; Uyama, H.; Kobayashi, S. Amplification of antioxidant activity and xanthine oxidase inhibition of catechin by enzymatic polymerization. Biomacromolecules 2003, 4, 469–471. [Google Scholar] [CrossRef] [PubMed]
- Kurisawa, M.; Chung, J.E.; Uyama, H.; Kobayashi, S. Laccase-catalyzed synthesis and antioxidant property of poly (catechin). Macromol. Biosci. 2003, 3, 758–764. [Google Scholar] [CrossRef]
- Oliver, S.; Hook, J.M.; Boyer, C. Versatile oligomers and polymers from flavonoids—A new approach to synthesis. Polym. Chem. 2017, 8, 2317–2326. [Google Scholar] [CrossRef]
- Chung, J.E.; Kurisawa, M.; Kim, Y.J.; Uyama, H.; Kobayashi, S. Amplification of antioxidant activity of catechin by polycondensation with acetaldehyde. Biomacromolecules 2004, 5, 113–118. [Google Scholar] [CrossRef]
- Kim, Y.J.; Chung, J.E.; Kurisawa, M.; Uyama, H.; Kobayashi, S. Regioselective synthesis and structures of (+)-catechin-aldehyde polycondensates. Macromol. Chem. Phys. 2003, 204, 1863–1868. [Google Scholar] [CrossRef]
- Kim, Y.J.; Uyama, H.; Kobayashi, S. Inhibition effects of (+)-catechin–aldehyde polycondensates on proteinases causing proteolytic degradation of extracellular matrix. Biochem. Biophys. Res. Commun. 2004, 320, 256–261. [Google Scholar] [CrossRef]
- Latos-Brozio, M.; Masek, A.; Piotrowska, M. Thermally stable and antimicrobial active poly(catechin) obtained by reaction with a cross-lnking agent. Biomolecules 2021, 11, 50. [Google Scholar] [CrossRef]
- Lisperguer, J.; Saravia, Y.; Vergara, E. Structure and thermal behavior of tannins from Acacia dealbata bark and their reactivity toward formaldehyde. J. Chil. Chem. Soc. 2016, 61, 3188–3190. [Google Scholar] [CrossRef]
- Wang, N.; Zheng, T.; Zhang, G.; Wang, P. A review on Fenton-like processes for organic wastewater treatment. J. Environ. Chem. Eng. 2016, 4, 762–787. [Google Scholar] [CrossRef]
- Durán, A.; Monteagudo, J.; Amores, E. Solar photo-Fenton degradation of Reactive Blue 4 in a CPC reactor. Appl. Catal. B Environ. 2008, 80, 42–50. [Google Scholar] [CrossRef]
- Ge, L.; Deng, H.; Wu, F.; Deng, N. Microalgae-promoted photodegradation of two endocrine disrupters in aqueous solutions. J. Chem. Technol. Biotechnol. 2009, 84, 331–336. [Google Scholar] [CrossRef]
- Liu, S.Q.; Feng, L.R.; Xu, N.; Chen, Z.G.; Wang, X.M. Magnetic nickel ferrite as a heterogeneous photo-Fenton catalyst for the degradation of rhodamine B in the presence of oxalic acid. Chem. Eng. J. 2012, 203, 432–439. [Google Scholar] [CrossRef]
- Wang, Z.; Guo, Y.; Liu, Z.; Feng, X.; Chen, Y.; Tao, T. Catechin as a new improving agent for a photo-Fenton-like system at near-neutral pH for the removal of inderal. Photochem. Photobiol. Sci. 2015, 14, 473–480. [Google Scholar] [CrossRef] [PubMed]
Publisher’s Note: MDPI stays neutral with regard to jurisdictional claims in published maps and institutional affiliations. |
© 2021 by the authors. Licensee MDPI, Basel, Switzerland. This article is an open access article distributed under the terms and conditions of the Creative Commons Attribution (CC BY) license (http://creativecommons.org/licenses/by/4.0/).

