Effects of a Single Blade Incidence Angle Offset on Adjacent Blades in a Linear Cascade
Abstract
1. Introduction
2. Materials and Methods
2.1. Formulation of the Problem
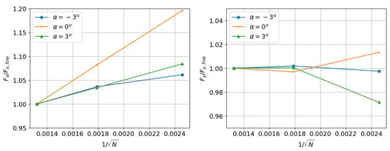
2.2. Numerical Simulations
2.3. Experimental Investigation
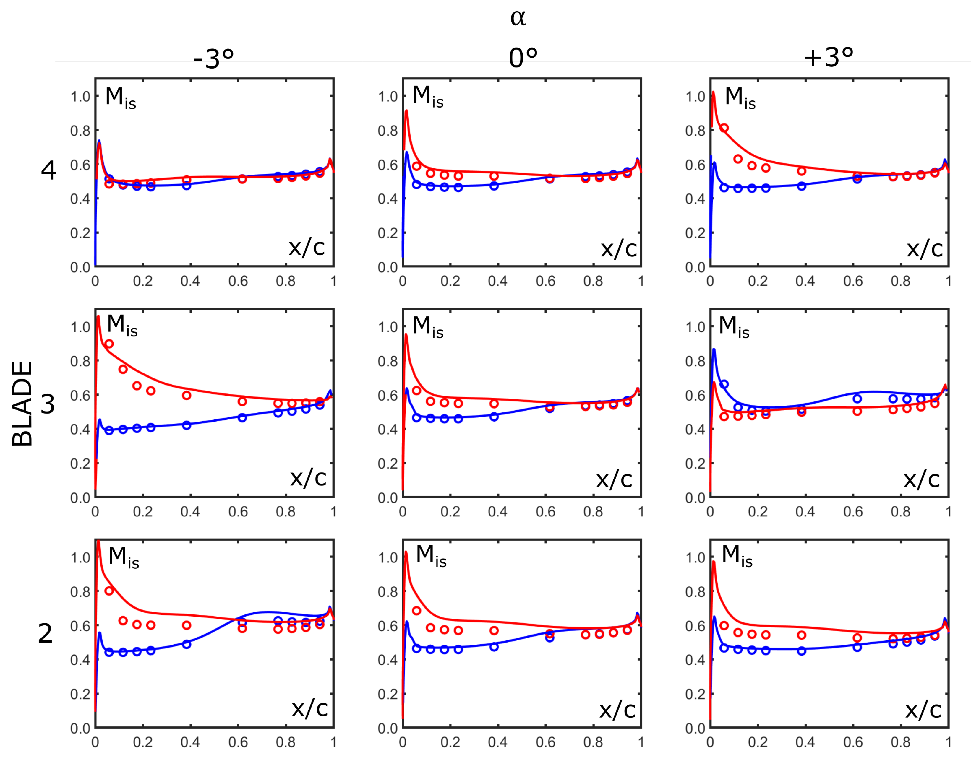
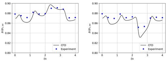
3. Results
4. Discussion
Supplementary Materials
Author Contributions
Funding
Data Availability Statement
Conflicts of Interest
References
- Srinivasan, A.V. Flutter and Resonant Vibration Characteristics of Engine Blades. In ASME Turbo Expo: Power for Land, Sea and Air; Number 97-GT-533; American Society of Mechanical Engineers: New York, NY, USA, 1997; Volume 4. [Google Scholar] [CrossRef]
- McBean, I.; Hourigan, K.; Thompson, M.; Liu, F. Prediction of Flutter of Turbine Blades in a Transonic Annular Cascade. J. Fluids Eng. 2005, 127, 1053–1058. [Google Scholar] [CrossRef]
- Megerle, B. Unsteady Aerodynamics of Low-Pressure Steam Turbines Operating under Low Volume Flow Conditions. Ph.D. Thesis, EPFL, Lausanne, Switzerland, 2014. [Google Scholar] [CrossRef]
- El-Aini, Y.; deLaneuville, R.; Stoner, A.; Capece, V.; El-Aini, Y.; deLaneuville, R.; Stoner, A.; Capece, V. High cycle fatigue of turbomachinery components—Industry perspective. In Proceedings of the 33rd Joint Propulsion Conference and Exhibit, Seattle, WA, USA, 6–9 July 1997. [Google Scholar] [CrossRef]
- Chen, X.; Zha, G.C.; Hu, Z. Flutter Prediction Based on Fully CoupledFluid-Structural Interactions. In Proceedings of the 9th National Turbine Engine High Cycle Fatigue Conference, Pinehurst, NC, USA, 16–19 March 2004. [Google Scholar]
- May, M.; Mauffrey, Y.; Sicot, F. Numerical flutter analysis of turbomachinery bladings based on time-linearized, time-spectral and time-accurate simulations. In Proceedings of the 15th International Forum on Aeroelasticity and Structural Dynamics, Como, Italy, 25–28 June 2017. [Google Scholar]
- Höhn, W. Numerical Investigation of Blade FLutter at or Near Stall in Axial Turbomachines. Ph.D. Thesis, KTH, Stockholm, Sweden, 2000. [Google Scholar]
- Casoni, M.; Benini, E. A Review of Computational Methods and Reduced Order Models for Flutter Prediction in Turbomachinery. Aerospace 2021, 8, 242. [Google Scholar] [CrossRef]
- Bölcs, A. Volume 1: Turbomachinery. In A Test Facility for the Investigation of Steady and Unsteady Transonic Flows in Annular Cascades; American Society of Mechanical Engineers: NewYork, NY, USA, 1983. [Google Scholar] [CrossRef]
- Rottmeier, F. Experimental Investigation of a Vibrating Axial Turbine Cascade in Presence of Upstream Generated Aerodynamic Gusts. Ph.D. Thesis, EPFL, Lausanne, Switzerland, 2007. [Google Scholar] [CrossRef]
- Vogt, D.M.; Fransson, T.H. A New Turbine Cascade for Aeromechanical Testing. In Proceedings of the 16th Symposium on Measuring Techniques in Transonic and Supersonic Flow in Cascades and Turbomachines, Cambridge, UK, 23–24 September 2002. [Google Scholar]
- Vogt, D.M.; Fransson, T.H. Experimental Investigation of Mode Shape Sensitivity of an Oscillating Low-Pressure Turbine Cascade at Design and Off-Design Conditions. J. Eng. Gas Turbines Power 2007, 129, 530–541. [Google Scholar] [CrossRef]
- Glodic, N.; Guerrero, C.T.; Salas, M.G. Blade oscillation mechanism for aerodynamic damping measurements at high reduced frequencies. In Proceedings of the XXV Biennial Symposium on Measuring Techniques in Turbomachinery, Santorini, Greece, 21–23 September 2020. [Google Scholar]
- Lepicovsky, J. Investigation of flow separation in a transonic-fan linear cascade using visualization methods. Exp. Fluids 2008, 44, 939–949. [Google Scholar] [CrossRef][Green Version]
- Lepicovsky, J.; Šidlof, P.; Šimurda, D.; Štěpán, M.; Luxa, M. New test facility for forced blade flutter research. AIP Conf. Proc. 2021, 2323, 030001. [Google Scholar] [CrossRef]
- Vedeneev, V.V.; Kolotnikov, M.; Makarov, P. Experimental Validation of Numerical Blade Flutter Prediction. J. Propuls. Power 2015, 31, 1281–1291. [Google Scholar] [CrossRef]
- Vimmr, J.; Bublík, O.; Prausová, H.; Hála, J.; Pešek, L. Numerical simulation of fluid flow through simplified blade cascade with prescribed harmonic motion using discontinuous Galerkin method. EPJ Web Conf. 2018, 180, 1–6. [Google Scholar] [CrossRef]
- Vimmr, J.; Bublík, O.; Pecka, A.; Pešek, L.; Procházka, P. Numerical and experimental study of fluid flow in simplified blade cascade with prescribed harmonic motion. EPJ Web Conf. 2018, 180, 1–5. [Google Scholar] [CrossRef]
- Menter, F.R. Two-equation eddy-viscosity turbulence models for engineering applications. AIAA J. 1994, 32, 1598–1605. [Google Scholar] [CrossRef]
- Menter, F.R.; Smirnov, P.E.; Liu, T.; Avancha, R. A one-equation local correlation-based transition model. Flow Turbul. Combust. 2015, 95, 583–619. [Google Scholar] [CrossRef]
- Weller, H.G.; Tabor, G.; Jasak, H.; Fureby, C. A tensorial approach to computational continuum mechanics using object-oriented techniques. Comput. Phys. 1998, 12, 620–631. [Google Scholar] [CrossRef]
- Fürst, J. Development of a coupled matrix-free LU-SGS solver for turbulent compressible flows. Comput. Fluids 2018, 172, 332–339. [Google Scholar] [CrossRef]
- Cantwell, C.D.; Moxey, D.; Comerford, A.; Bolis, A.; Rocco, G.; Mengaldo, G.; De Grazia, D.; Yakovlev, S.; Lombard, J.E.; Ekelschot, D.; et al. Nektar++: An open-source spectral/hp element framework. Comput. Phys. Commun. 2015, 192, 205–219. [Google Scholar] [CrossRef]
- Fürst, J.; Lasota, M.; Musil, J.; Pech, J. Numerical Investigation of Aeroelastic Flutter in Two-Dimensional Cascade of Compressor Blades. MATEC Web Conf. 2020, 328, 02020. [Google Scholar] [CrossRef]




















| 0 | 1 | 2 | 3 | ||||
| 0.540 | 0.536 | 0.532 | 0.529 | 0.526 | 0.524 | 0.522 |
Publisher’s Note: MDPI stays neutral with regard to jurisdictional claims in published maps and institutional affiliations. |
© 2021 by the authors. Licensee MDPI, Basel, Switzerland. This article is an open access article distributed under the terms and conditions of the Creative Commons Attribution (CC BY) license (https://creativecommons.org/licenses/by/4.0/).
Share and Cite
Fürst, J.; Lasota, M.; Lepicovsky, J.; Musil, J.; Pech, J.; Šidlof, P.; Šimurda, D. Effects of a Single Blade Incidence Angle Offset on Adjacent Blades in a Linear Cascade. Processes 2021, 9, 1974. https://doi.org/10.3390/pr9111974
Fürst J, Lasota M, Lepicovsky J, Musil J, Pech J, Šidlof P, Šimurda D. Effects of a Single Blade Incidence Angle Offset on Adjacent Blades in a Linear Cascade. Processes. 2021; 9(11):1974. https://doi.org/10.3390/pr9111974
Chicago/Turabian StyleFürst, Jiří, Martin Lasota, Jan Lepicovsky, Josef Musil, Jan Pech, Petr Šidlof, and David Šimurda. 2021. "Effects of a Single Blade Incidence Angle Offset on Adjacent Blades in a Linear Cascade" Processes 9, no. 11: 1974. https://doi.org/10.3390/pr9111974
APA StyleFürst, J., Lasota, M., Lepicovsky, J., Musil, J., Pech, J., Šidlof, P., & Šimurda, D. (2021). Effects of a Single Blade Incidence Angle Offset on Adjacent Blades in a Linear Cascade. Processes, 9(11), 1974. https://doi.org/10.3390/pr9111974

