Gain-Scheduled Equivalent-Cascade IMC Tuning Method for Water Level Control System of Nuclear Steam Generator
Abstract
1. Introduction
2. Problem Formulation
2.1. AP1000 Steam Generator
2.2. Control Problems of Steam Generator Water Level
- The open-loop dynamics of SG exhibit unstable behavior;
- The shrink and swell effects lead to strong inverse response behavior, which is remarkable at low power;
- Highly nonlinear characteristics, i.e., the dynamics of the process, vary with changes in operating power.
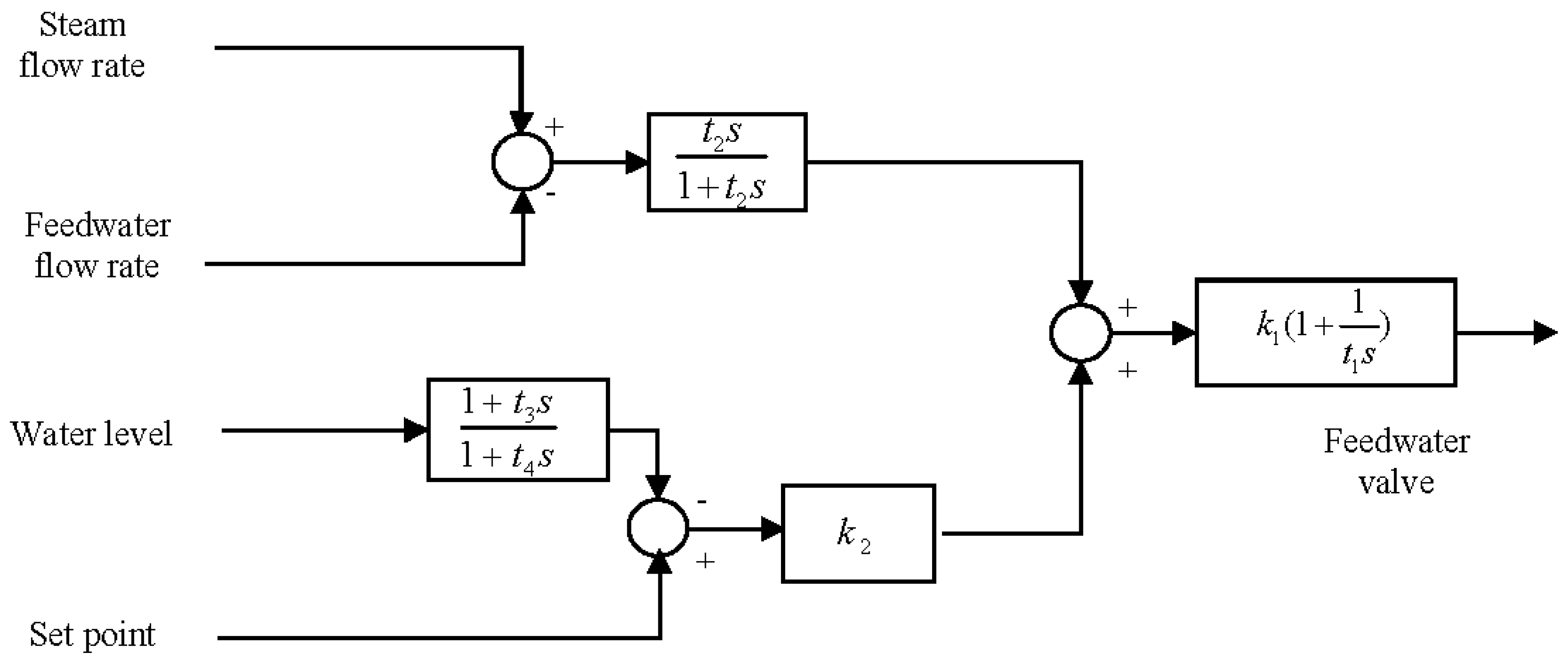
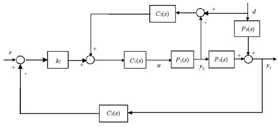
2.3. AP1000 Water Level Control System
3. Equivalent-Cascade IMC Tuning Method
3.1. IMC-PID Tuning Theory
- Step 1.
- The process model can be expressed as , where contains any time delays and the right-half plane zeros with a steady-state gain of 1, and is the rest of .
- Step 2.
- The IMC controller is specified as , where f represents a low pass filter with a gain of 1. The filter f typically has the form , where r is sufficiently large to guarantee that the IMC controller is a proper transfer function. The parameter is the desired closed-loop time constant, which determines the speed of the response. The closed-loop transfer function for set-point changes is .
- Step 3.
- The equivalent feedback controller can be derived from Equation (1) and rearranged into the PID controller form.
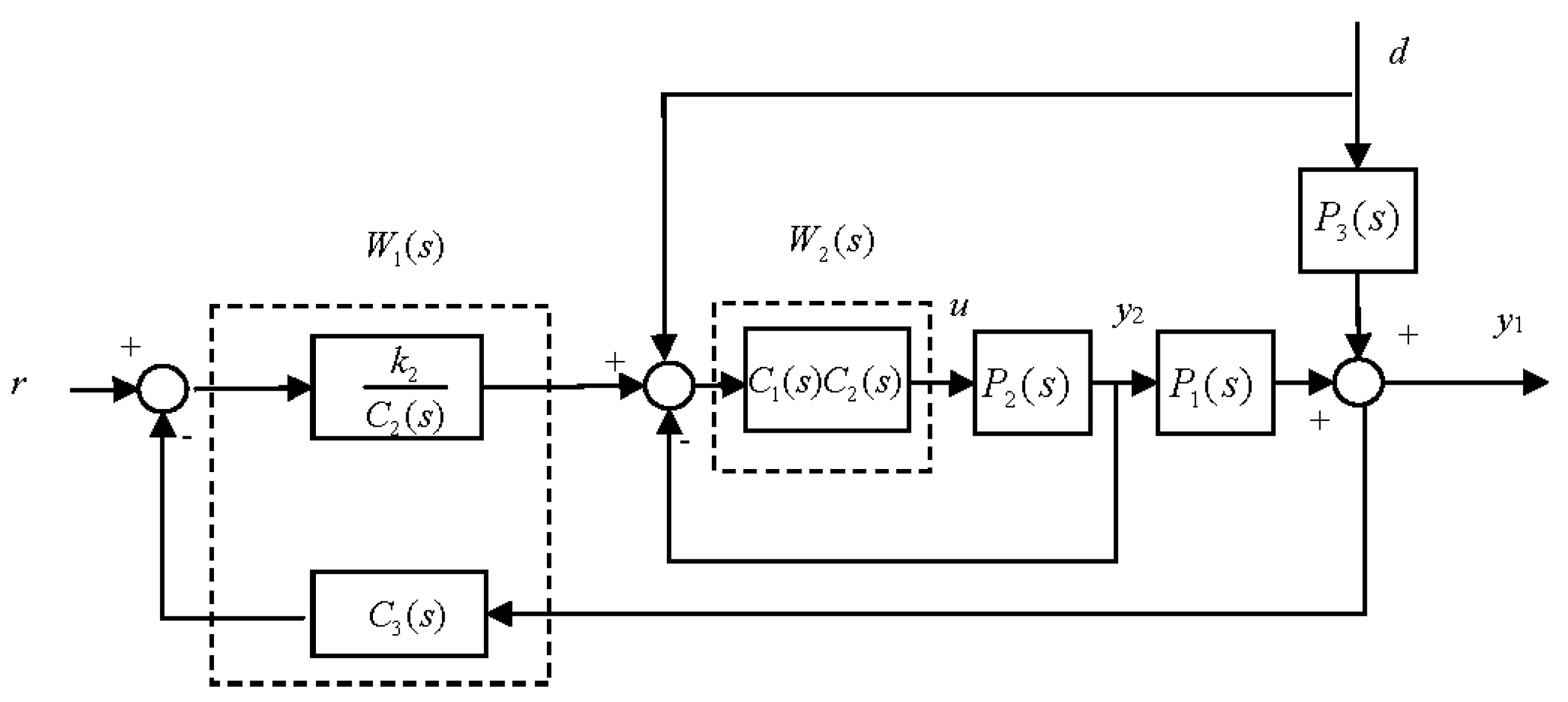
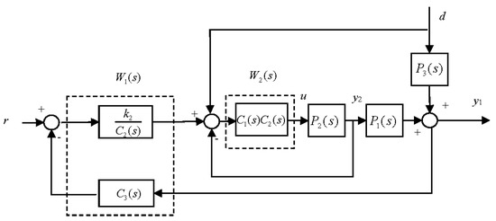
3.2. Structure Analysis of Water Level Control System
3.3. Equivalent-Cascade IMC-PID Tuning Method
- Step 1.
- Designing an equivalent secondary controller
- Step 2.
- Designing of an equivalent primary controller
- Step 3.
- By using Equation (5), controller parameters of the AP1000 water level control system are obtained as follows:
3.4. Summary
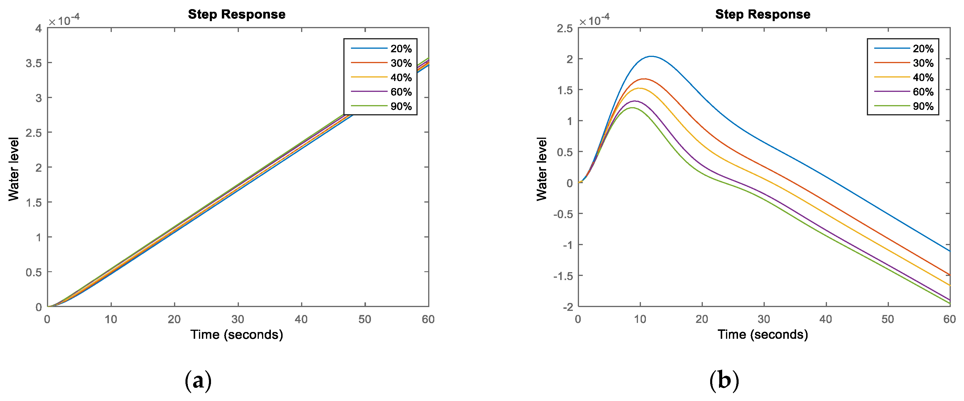
- Step 1.
- The operating power level is discretized by 10% from 20% to 100% and the linearized model of nuclear SG at each power level is identified;
- Step 2.
- Using the equivalent-cascade IMC-PID tuning method, local controller parameters at each power level are obtained based on the linearized model;
- Step 3.
- Piecewise linear function is utilized to construct a gain-scheduling module of controller parameters, in which the scheduling variable is the operating power level.
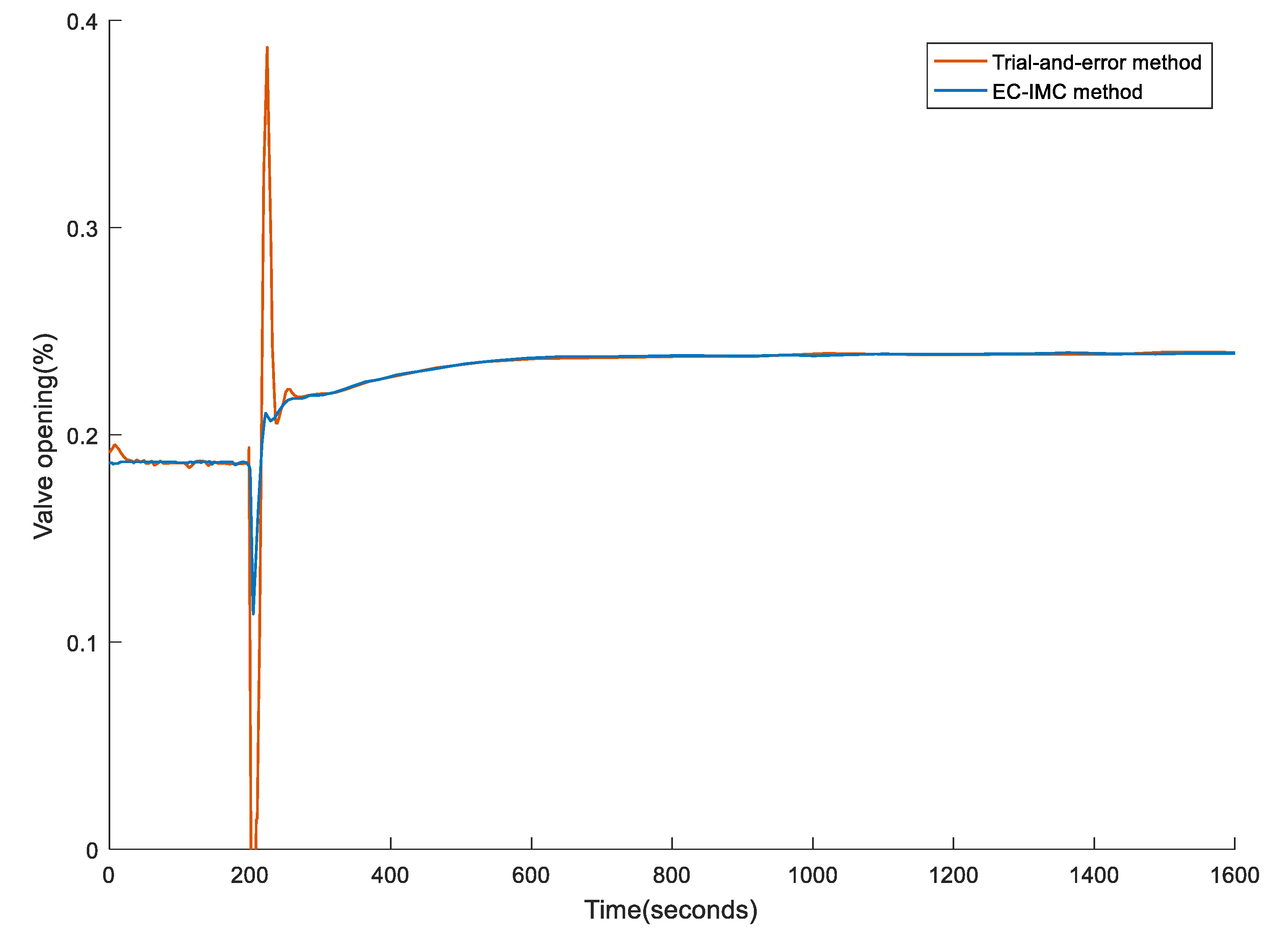
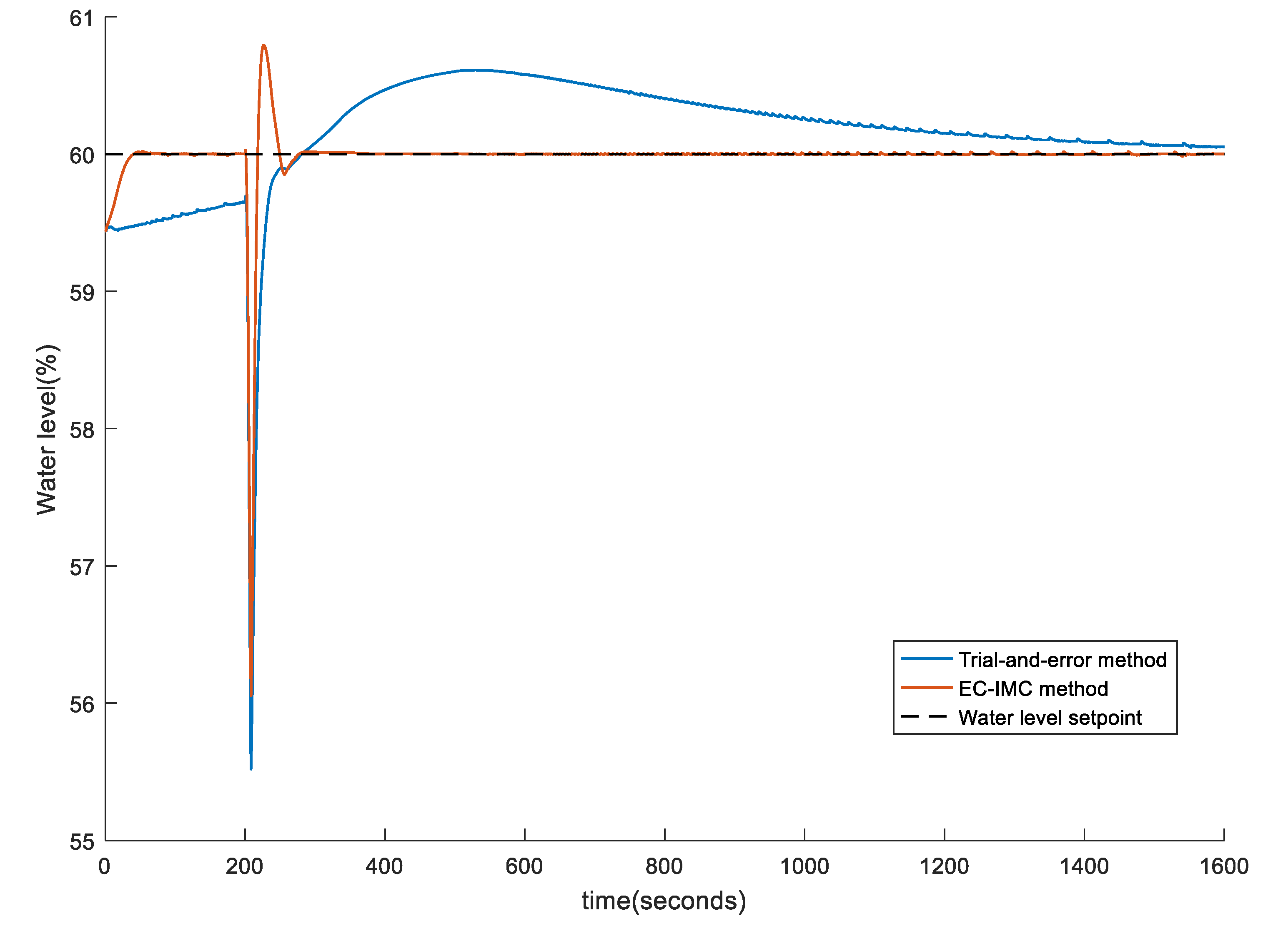
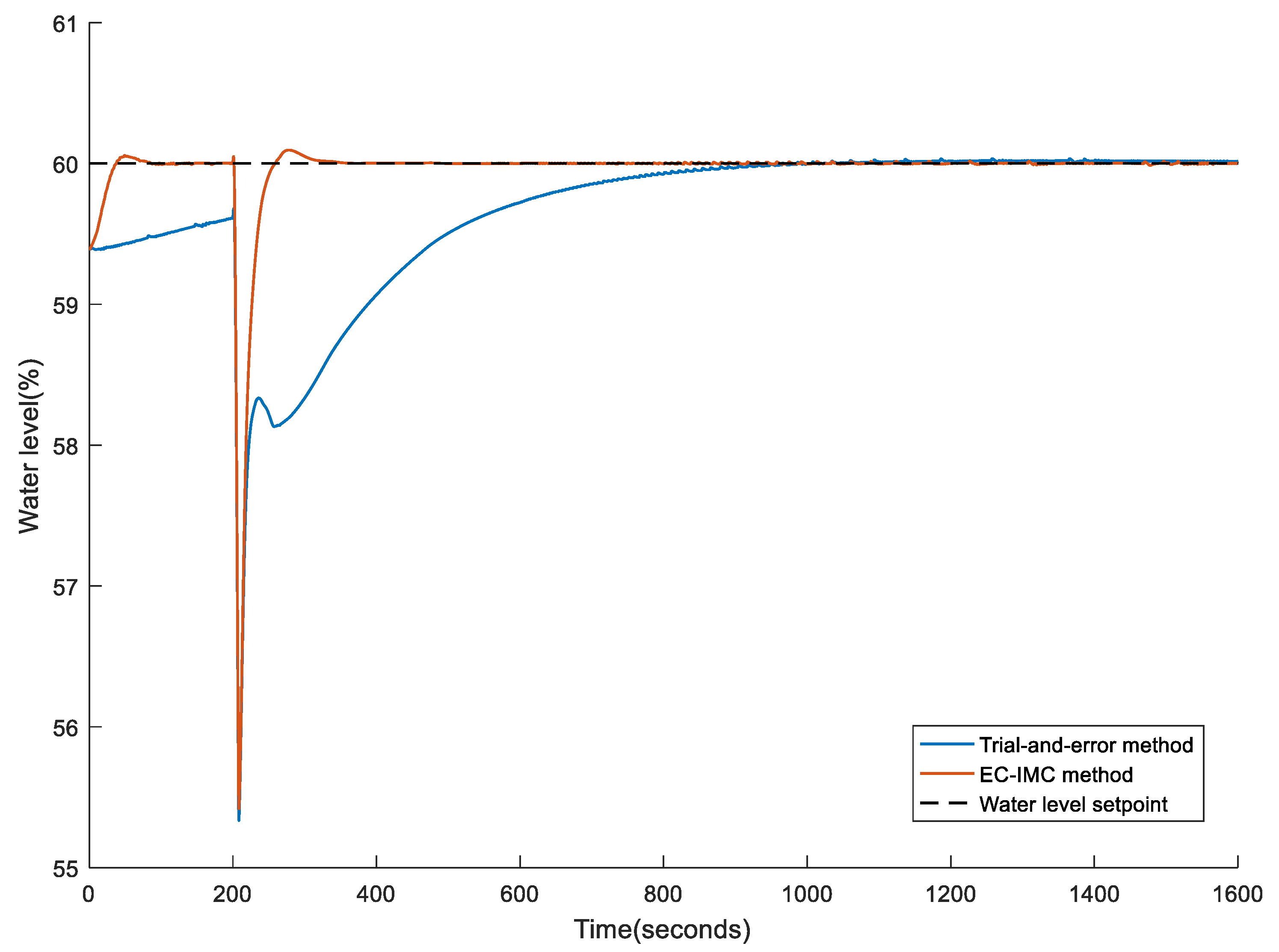
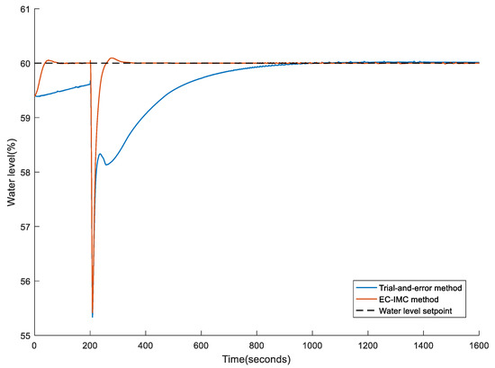
4. Experiment Result
5. Conclusions
Author Contributions
Funding
Conflicts of Interest
References
- Wang, J.S.; Song, H.B.; Yan, S.J.; Sun, J.; Zhao, F.Y. Development of a simulation platform for dynamic simulation and control studies of AP1000 nuclear steam supply system. Ann. Nucl. Energy 2015, 85, 704–716. [Google Scholar]
- Kothare, M.V.; Mettler, B.; Morari, M.; Bendotti, P. Level control in the steam generator of a nuclear power plant. IEEE Trans. Control Syst. Technol. 2000, 8, 55–69. [Google Scholar] [CrossRef]
- Fang, F.; Xiong, Y. Event-driven-based water level control for nuclear steam generators. IEEE Trans. Ind. Electron. 2014, 61, 5480–5489. [Google Scholar] [CrossRef]
- Akkawi, M.; Jiang, J. An inverse control-based set-point function for steam generator level in nuclear power plants. IEEE Trans. Nucl. Sci. 2011, 58, 3291–3304. [Google Scholar] [CrossRef]
- Parlos, A.G.; Rais, O.T. Nonlinear control of U-tube steam generators via H∞ control. Control Eng. Pract. 2000, 8, 921–936. [Google Scholar] [CrossRef]
- Na, M.G.; Sim, Y.R. Design of an adaptive predictive controller for Steam Generators. IEEE Trans. Nucl. Sci. 2003, 50, 186–193. [Google Scholar]
- Amin, F.; Mehrdad, B. Adaptive critic-based neurofuzzy controller for the steam generator water level. IEEE Trans. Nucl. Sci. 2008, 55, 1678–1685. [Google Scholar]
- Ansarifar, G.R.; Davilu, H.; Talebi, H.A. Gain scheduled dynamic sliding mode control for nuclear steam generators. Prog. Nucl. Energy 2011, 53, 651–663. [Google Scholar] [CrossRef]
- Safarzadeh, O.; Khaki-Sedigh, A.; Shirani, A.S. Identification and robust water level control of horizontal steam generators using quantitative feedback theory. Energy Convers. Manag. 2011, 52, 3103–3111. [Google Scholar] [CrossRef]
- Wei, L.; Fang, F.; Shi, Y. Adaptive backstepping-based composite nonlinear feedback water level control for the nuclear U-tube steam generator. IEEE Trans. Control Syst. Technol. 2014, 22, 369–377. [Google Scholar] [CrossRef]
- Carli, R.; Dotoli, M.A. A distributed control algorithm for waterfilling of networked control systems via consensus. IEEE Contr. Syst. Mag. 2017, 1, 334–339. [Google Scholar] [CrossRef]
- He, P.; Li, M.S.; Zhao, L.; Venkatesh, B.; Li, H.W. Water-filling exact solutions for load balancing of smart power grid systems. IEEE Trans. Smart Grid 2018, 9, 1397–1407. [Google Scholar] [CrossRef]
- Liu, X.; Jiang, D.; Lee, K.Y. Quasi-min-max fuzzy MPC of UTSG water level based on off-line invariant set. IEEE Trans. Nucl. Sci. 2015, 62, 2266–2272. [Google Scholar] [CrossRef]
- Ansarifar, G.R. Control of the nuclear steam generators using adaptive dynamic sliding mode method based on the nonlinear model. Ann. Nucl. Energy 2016, 88, 280–300. [Google Scholar] [CrossRef]
- Astrom, K.J.; Hagglund, T. PID Controllers: Theory, Design and Tuning; Instrument Society of America: Research Triangle Park, NC, USA, 1995. [Google Scholar]
- Schulz, T.L. Westinghouse AP1000 advanced passive plant. Nucl. Eng. Des. 2006, 236, 1547–1557. [Google Scholar] [CrossRef]
- Matzie, R.A. AP1000 will meet the challenges of near-term deployment. Nucl. Eng. Des. 2008, 238, 1856–1862. [Google Scholar] [CrossRef]
- Irving, E.; Miossec, C.; Tassart, J. Towards efficient full automatic operation of the PWR steam generator with water level adaptive control. In Boiler Dynamics and Control in Nuclear Power Stations; Thomas Telford Publishing: London, UK, 1980. [Google Scholar]
- Sun, H.H. Generation III Nuclear Power Technology AP1000; China Electric Power Press: Beijing, China, 2010. [Google Scholar]
- Rivera, D.E.; Morari, M.; Skogestad, S. Internal model control. 4. PID controller design. Ind. Eng. Chem. Res. 1986, 25, 252–265. [Google Scholar] [CrossRef]
- Morari, M.; Zafiriou, E. Robust Process Control; Prentice-Hall: Englewood Cliffs, NJ, USA, 1989. [Google Scholar]
- Chien, I.-L.; Fruehauf, P.S. Consider IMC tuning to improve controller performance. Chem. Eng. Prog. 1990, 86, 33–41. [Google Scholar]
- Seborg, D.E.; Edgar, T.F.; Mellichamp, D.A.; Doyle, F.J.D., III. Process Dynamics and Control; John Wiley & Sons, Inc.: Hoboken, NJ, USA, 2011. [Google Scholar]
- Skogestad, S. Simple analytic rules for model reduction and PID controller tuning. J. Process Control 2003, 13, 291–309. [Google Scholar] [CrossRef]
- Chen, D.; Seborg, D. PI/PID controller design on direct synthesis and disturbance rejection. Ind. Eng. Chem. Res. 2002, 41, 4807–4822. [Google Scholar] [CrossRef]
- Pai, N.S.; Chang, S.C.; Huang, C.T. Tuning PI/PID controllers for integrating processes with deadtime and inverse response by simple calculations. J. Process Control 2010, 20, 726–733. [Google Scholar] [CrossRef]
- Nocedal, J.; Wright, S.J. Numerical Optimization; Springer: New York, NY, USA, 2006. [Google Scholar]
- Rugh, W.J.; Shamma, J.S. Research on gain scheduling. Automatica 2000, 36, 1401–1425. [Google Scholar] [CrossRef]
- Zhu, Y.C. Multivariable System Identification for Process Control; Elsevier: London, UK, 2001. [Google Scholar]



















| Case | Model | Controller | Kc | ti | td |
|---|---|---|---|---|---|
| A | |||||
| B | |||||
| C |
| Power | k1 | k2 | t1 | t2 | t3 | t4 | ||
|---|---|---|---|---|---|---|---|---|
| 20% | 4.5101 | 0.1827 | 1.4846 | 5.4187 | 0.3000 | 1.4376 | 9.1116 | 0.9112 |
| 30% | 5.6275 | 0.1857 | 1.5352 | 3.5098 | 0.3000 | 1.4391 | 11.3479 | 1.1348 |
| 40% | 6.8527 | 0.1887 | 1.5922 | 2.3823 | 0.3000 | 1.4406 | 13.7997 | 1.3800 |
| 50% | 8.1047 | 0.1920 | 1.6538 | 1.7115 | 0.3000 | 1.4423 | 16.3055 | 1.6305 |
| 60% | 9.2895 | 0.1956 | 1.7213 | 1.3078 | 0.3000 | 1.4441 | 18.6767 | 1.8677 |
| 70% | 10.5954 | 0.1994 | 1.7973 | 1.0088 | 0.3000 | 1.4460 | 21.2904 | 2.1290 |
| 80% | 11.3089 | 0.2034 | 1.8823 | 0.8875 | 0.3000 | 1.4480 | 22.7195 | 2.2720 |
| 90% | 12.0898 | 0.2078 | 1.9786 | 0.7784 | 0.3000 | 1.4502 | 24.2834 | 2.4283 |
| 100% | 12.8437 | 0.2126 | 2.0877 | 0.6912 | 0.3000 | 1.4526 | 25.7937 | 2.5794 |
© 2020 by the authors. Licensee MDPI, Basel, Switzerland. This article is an open access article distributed under the terms and conditions of the Creative Commons Attribution (CC BY) license (http://creativecommons.org/licenses/by/4.0/).
Share and Cite
Xu, Z.; Fan, Q.; Zhao, J. Gain-Scheduled Equivalent-Cascade IMC Tuning Method for Water Level Control System of Nuclear Steam Generator. Processes 2020, 8, 1160. https://doi.org/10.3390/pr8091160
Xu Z, Fan Q, Zhao J. Gain-Scheduled Equivalent-Cascade IMC Tuning Method for Water Level Control System of Nuclear Steam Generator. Processes. 2020; 8(9):1160. https://doi.org/10.3390/pr8091160
Chicago/Turabian StyleXu, Zuhua, Qingli Fan, and Jun Zhao. 2020. "Gain-Scheduled Equivalent-Cascade IMC Tuning Method for Water Level Control System of Nuclear Steam Generator" Processes 8, no. 9: 1160. https://doi.org/10.3390/pr8091160
APA StyleXu, Z., Fan, Q., & Zhao, J. (2020). Gain-Scheduled Equivalent-Cascade IMC Tuning Method for Water Level Control System of Nuclear Steam Generator. Processes, 8(9), 1160. https://doi.org/10.3390/pr8091160

