Improving the Imazapyr Degradation by Photocatalytic Ozonation: A Comparative Study with Different Oxidative Chemical Processes
Abstract
1. Introduction
2. Materials and Methods
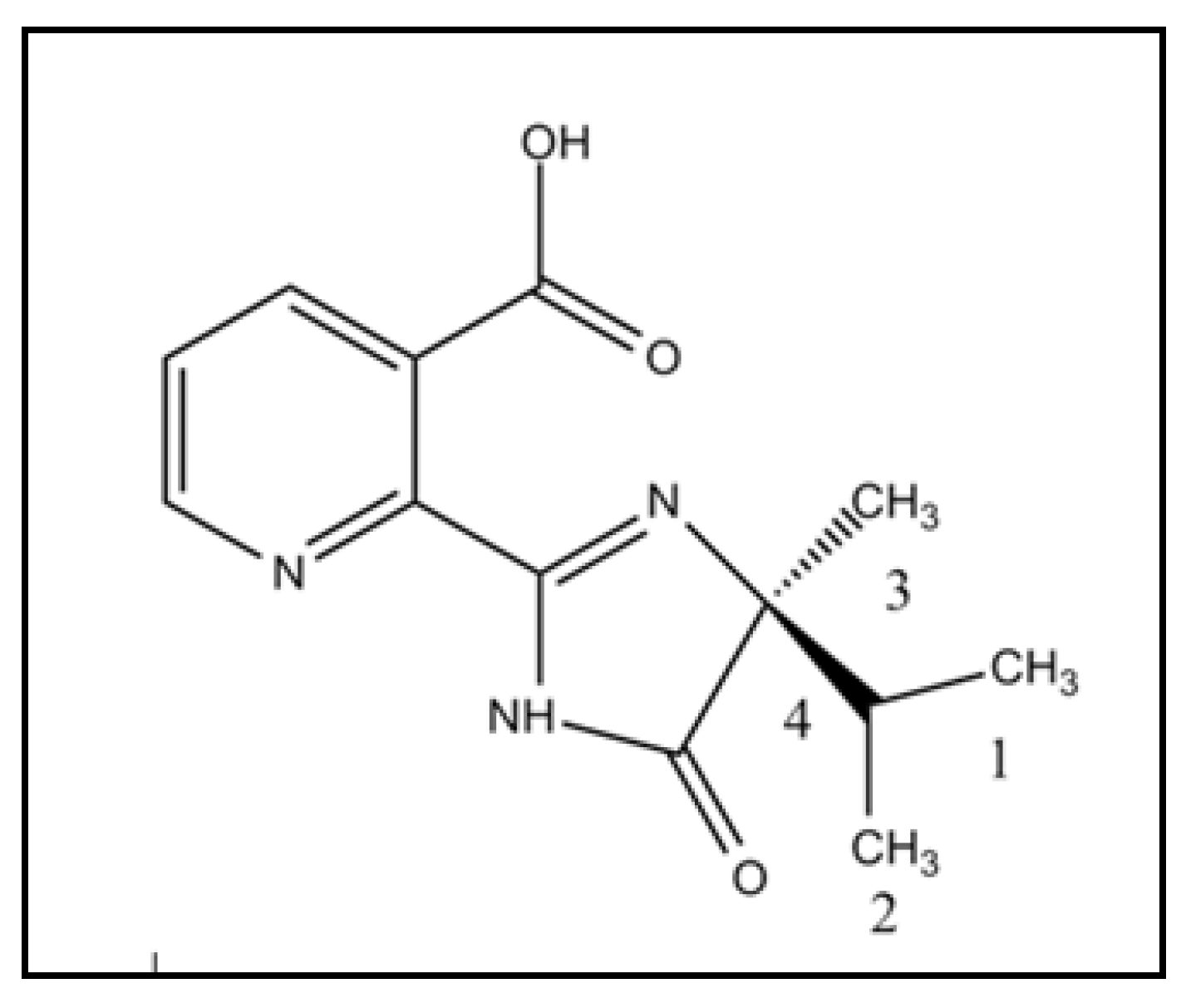
2.1. Material
2.2. Methods
2.3. Photocatalytic Experiments
2.4. Photolysis Experiment
2.4.1. Ozonation Experiment
2.4.2. Photocatalytic Ozonation Experiment
3. Results and Discussion
3.1. Photocatalytic Degradation of Imazapyr
3.2. Effects of Parameters on the Degradation of Imazapyr
3.2.1. Effect of TiO2 Dosage on Imazapyr Degradation
3.2.2. Effect of Initial Concentration of Ozone
3.2.3. Effect of Initial Concentration of Herbicide on Imazapyr Degradation
3.2.4. Influence of pH on Imazapyr Degradation
3.2.5. Recyclability of Catalyst TiO2
4. Conclusions
Author Contributions
Funding
Acknowledgments
Conflicts of Interest
References
- Crittenden, J.C.; Trussell, R.R.; Hand, D.W.; Howe, K.J.; Tchobanoglous, G. Water Treatment: Principles and Design, 3rd ed.; DFG form 53.01–05/16; Wiley: Hoboken, NJ, USA, 2012; pp. 8–11. [Google Scholar]
- Tchobanoglous, G.; Stensel, H.D.; Tsuchihashi, R.; Burton, F.L. Wastewater Engineering: Treatment and Resource Recovery, 5th ed.; McGraw Hill: Singapore, 2014. [Google Scholar]
- Richardson, S.D.; Ternes, T.A. Water Analysis: Emerging Contaminants and Current Issues. Anal. Chem. 2018, 90, 398–428. [Google Scholar] [CrossRef]
- Loos, R.; Carvalho, R.; António, D.C.; Comero, S.; Locoro, G.; Tavazzi, S.; Paracchini, B.; Ghiani, M.; Lettieri, T.; Blaha, L.; et al. EU-wide monitoring survey on emerging polar organic contaminants in wastewater treatment plant effluents. Water Res. 2013, 47, 6475–6487. [Google Scholar] [CrossRef]
- Kadi, M.W.; Ismail, A.A.; Mohamed, R.M.; Bahnemann, D.W. Photodegradation of the herbicide imazapyr over mesoporous In2O3-TiO2 nanocomposites with enhanced photonic efficiency. Sep. Purif. Technol. 2018, 205, 66–73. [Google Scholar] [CrossRef]
- Bielan, Z.; Dudziak, S.; Sulowska, A.; Pelczarski, D.; Ryl, J.; Zielińska-Jurek, A. Preparation and Characterization of Defective TiO2. The Effect of the Reaction Environment on Titanium Vacancies Formation. Materials 2020, 13, 2763. [Google Scholar] [CrossRef]
- Bougarrani, S.; El Azzouzi, L.; Akel, S.; Latrach, L.; Bouziani, A.; El Azzouzi, M. Factors Influencing Imazapyr Herbicide Removal from Wastewater Using Photocatalytic Ozonation. Acta Chim. Slov. 2018, 65, 470–474. [Google Scholar] [CrossRef]
- Asano, T.; Burton, F.L.; Leverenz, H.L.; Tsuchihashi, R.; Tchobanoglous, G. Water Reuse: Issues, Technologies, and Applications; McGraw Hill: New York, NY, USA, 2007. [Google Scholar]
- Atitar, M.F.; Dillert, R.; Bahnemann, D.W. Surface Interactions between Imazapyr and the TiO2 Surface: An in Situ ATR-FTIR. J. Phys. Chem. C 2017, 121, 4293–4303. [Google Scholar] [CrossRef]
- Boggard, O.K.; Gimsing, A.L. Fate of glyphosate in soil and possibility of leading to ground and surface water—A review. Pest Manag. Sci. 2008, 64, 441–456. [Google Scholar] [CrossRef] [PubMed]
- Fujishima, A.; Honda, K. Electrochemical Photolysis of Water at a Semiconductor Electrode. Nature 1972, 238, 37–38. [Google Scholar] [CrossRef] [PubMed]
- Bamba, D.; Atheba, P.; Robert, D.; Trokourey, A.; Dongui, B. Photocatalytic degradation of the diuron pesticide. Environ. Chem. Lett. 2008, 6, 163–167. [Google Scholar] [CrossRef]
- Langlais, B.; Reckhow, D.A.; Brink, D.R. Ozone in Water Treatment: Application and Engineering; Lewis Publishers: Boca Raton, FL, USA, 1991; pp. 3–8. [Google Scholar]
- Lee, Y.; von Gunten, U. Oxidative transformation of micropollutants during municipal wastewater treatment: Comparison of kinetic aspects of selective (chlorine, chlorinedioxide, ferrate(VI), and ozone) and non-selective oxidants (hydroxyl radical). Water Res. 2010, 44, 555–566. [Google Scholar] [CrossRef] [PubMed]
- Oller, I.; Gernjak, W.; Maldonado, M.I.; Pérez-Estrada, L.A.; Sanchez-Pérez, J.A.; Malato, S. Solar photocatalytic degradation of some hazardous water-soluble pesticides at pilot-plant scale. J. Hazard. Mater B 2006, 138, 507–517. [Google Scholar] [CrossRef] [PubMed]
- Bougarrani, S.; Sharma, P.K.; Hamilton, J.W.; Singh, A.; Canle, M.; El Azzouzi, M.; Byrne, J.A. Enhanced Photocatalytic Degradation of the Imidazolinone Herbicide Imazapyr upon UV/Vis Irradiation in the Presence of CaxMnOy-TiO2 Hetero-Nanostructures: Degradation Pathways and Reaction Intermediates. Nanomaterials (Basel) 2020, 10, 896. [Google Scholar] [CrossRef] [PubMed]
- Ebrahimi, H.; Shahna, F.G.; Bahrami, A.; Jaleh, B.; Abedi, K.D. Photocatalytic degradation of volatile chlorinated organic compounds with ozone addition. Arch. Environ. Prot. 2017, 43, 165–172. [Google Scholar] [CrossRef]
- Assalin, M.R.; De Moraes, S.G.; Queiroz, S.C.N.; Ferracini, V.L.; Duran, N. Studies on degradation of glyphosate by several oxidative chemical processes: Ozonation, photolysis and heterogeneous photocatalysis. J. Environ. Sci. Health B 2009, 45, 89–94. [Google Scholar] [CrossRef]
- Kaichouh, G.; Oturan, N.; Oturan, A.M.; El Hourch, A.; El Kacemi, K. Mineralization of herbicides imazapyr and imazaquin in aqueous medium by, Fenton, photo-Fenton and électro-Fenton processes. Environ. Technol. 2008, 29, 489–496. [Google Scholar] [CrossRef]
- Ikehata, K.; El-Din, M.G. Aqueous Pesticide Degradation by Ozonation and Ozone-Based Advanced Oxidation Processes: A Review (Part II). Ozone Sci. Eng. 2005, 27, 173–202. [Google Scholar] [CrossRef]
- Pizarro, P.; Guillard, C.; Perol, N.; Herrmann, J.M. Photo catalytic degradation of imazapyr in water: Comparison of activities of different supported and unsupported TiO2-based catalysts. Catal. Today 2005, 101, 211–218. [Google Scholar] [CrossRef]
- Ismail, A.A.; Abdelfattah, I.; Faisal, M.; Helal, A. Efficient photodecomposition of herbicide imazapyr over mesoporous Ga2O3-TiO2 nanocomposites. J. Hazard. Mater. 2018, 342, 519–526. [Google Scholar] [CrossRef]
- Shifu, C.; Yunzhang, L. Study on the photocatalytic degradation of glyphosate by TiO2 photocatalyst. Chemosphere 2007, 67, 1010–1017. [Google Scholar]
- Maddila, S.; Rana, S.; Pagadala, R.; Jonnalagadda, S.B. Photocatalyzed ozonation: Effective degradation and mineralization of pesticide, chlorothalonil. Desalin. Water Treat 2015, 57, 14506–14517. [Google Scholar] [CrossRef]
- Maddila, S.; Ndabankulu, V.O.; Jonnalagadda, S.B. Photocatalytic ozonation for the degradation of tetradifon pesticide on Mn/TiO2 under visible light. Global NEST J. 2016, 18, 269–278. [Google Scholar]
- Sanchez, L.; Peral, J.; Domenech, X. Aniline degradation by combined photocatalysis and ozonation. Appl. Catal. B 1998, 19, 59–65. [Google Scholar] [CrossRef]
- Usharani, K.; Muthukumar, M.; Kadirvelu, K. Effect of pH on the Degradation of Aqueous Organophosphate (methylparathion) in Wastewater by Ozonation. Int. J. Environ. Res. 2012, 6, 557–564. [Google Scholar]
- Gar Alalm, M.; Tawfik, A.; Ookawara, S. Comparison of solar TiO2 photocatalysis and solar photo-Fenton for treatment of pesticides industry wastewater: Operational conditions, kinetics, and costs. J. Water Proc. Eng. 2015, 8, 55–63. [Google Scholar] [CrossRef]
- Bougarrani, S.; Skadell, K.; Arndt, R.; Azzouzi, M.; El Gläser, R. Novel CaxMnOy/TiO2 composites for efficient photocatalytic degradation of methylene blue and the herbicide imazapyr in aqueous solution under visible light irradiation. J. Environ. Chem. Eng. 2018, 6, 1934–1942. [Google Scholar] [CrossRef]
- Akpan, U.G.; Hameed, B.H. Parameters affecting the photocatalytic degradation of dyes using TiO2-based photocatalysts: A review. J. Hazard. Mater. 2009, 170, 520–529. [Google Scholar] [CrossRef]
- Zhang, G.; Wang, Q.; Zhang, W.; Li, T.; Yuan, Y.; Wang, P. Effects of organic acids and initial solution pH 1 on photocatalytic degradation of bisphenol A (BPA) in a photo-Fenton-like process using Goethite (α-FeOOH). Photochem. Photobiol. Sci. 2016, 15, 1045–1053. [Google Scholar] [CrossRef]
- Ismail, A.A.; Abdelfattah, I.; Atitar, M.F.; Robben, L.; Bouzid, H.; Al-Sayari, S.A.; Bahnemann, D.W. Photocatalytic degradation of imazapyr using mesoporous Al2O3–TiO2 nanocomposites. Sep. Purif. Technol. 2015, 145, 147–153. [Google Scholar] [CrossRef]
- Atitar, M.F.; Ismail, A.A.; Dillert, R.; Bahnemann, D.W. Photodegradation of Herbicide Imazapyr and Phenol over Mesoporous Bicrystalline Phases TiO2: A Kinetic Study. Catalysts 2019, 9, 640. [Google Scholar] [CrossRef]










| pH | Photocatalytic Ozonation | Photocatalysis (TiO2) | Ozone | |||
|---|---|---|---|---|---|---|
| Rate Constant K | R2 | Rate Constant K | R2 | Rate Constant K | R2 | |
| 3 | 0.107 (min−1) | 0.997 | 0.188 (min−1) | 0.998 | 0.036 (mol L−1 min−1) | 0.973 |
| 7 | 0.247 (min−1) | 0.997 | 0.128 (min−1) | 0.989 | 0.053 (mol L−1 min−1) | 0.975 |
| 10 | 0.134 (min−1) | 0.995 | 0.095 (min−1) | 0.994 | 0.140 (min-−1) | 0.994 |
Publisher’s Note: MDPI stays neutral with regard to jurisdictional claims in published maps and institutional affiliations. |
© 2020 by the authors. Licensee MDPI, Basel, Switzerland. This article is an open access article distributed under the terms and conditions of the Creative Commons Attribution (CC BY) license (http://creativecommons.org/licenses/by/4.0/).
Share and Cite
Bougarrani, S.; Baicha, Z.; Latrach, L.; Mahi, M.E.; Hernandez Fernandez, F.J. Improving the Imazapyr Degradation by Photocatalytic Ozonation: A Comparative Study with Different Oxidative Chemical Processes. Processes 2020, 8, 1446. https://doi.org/10.3390/pr8111446
Bougarrani S, Baicha Z, Latrach L, Mahi ME, Hernandez Fernandez FJ. Improving the Imazapyr Degradation by Photocatalytic Ozonation: A Comparative Study with Different Oxidative Chemical Processes. Processes. 2020; 8(11):1446. https://doi.org/10.3390/pr8111446
Chicago/Turabian StyleBougarrani, Salma, Zakarya Baicha, Lahbib Latrach, Mohammed El Mahi, and Francisco José Hernandez Fernandez. 2020. "Improving the Imazapyr Degradation by Photocatalytic Ozonation: A Comparative Study with Different Oxidative Chemical Processes" Processes 8, no. 11: 1446. https://doi.org/10.3390/pr8111446
APA StyleBougarrani, S., Baicha, Z., Latrach, L., Mahi, M. E., & Hernandez Fernandez, F. J. (2020). Improving the Imazapyr Degradation by Photocatalytic Ozonation: A Comparative Study with Different Oxidative Chemical Processes. Processes, 8(11), 1446. https://doi.org/10.3390/pr8111446
