Abstract
In order to reveal the evolution law of heat transfer during phase change in a corrugated plate flow passage of a plate heat exchanger, a two-dimensional two-channel model was established to simulate the process of heat transfer during phase change in an unsteady flow passage. The results show that when the time was <3/5T, the average Nusselt number and average heat flux of the heat exchange wall surface decreased with time, the average temperature of the cold fluid outlet increased, the average temperature of the hot fluid outlet decreased, and the volume fraction of the gas phase was no higher than 0.2. When the time was >3/5T, the average Nusselt number and the average heat flux of the heat exchange wall, as well as the outlet average temperature of the cold and hot fluid, reached stability, while the volume fraction of the gas phase increased rapidly. During the whole heat transfer process, the change in Nusselt number and heat flux along the heat transfer wall surface was basically the same, and its value fluctuated along the wall surface, displaying extrema at the exit, entrance, and corrugated corner. The temperature of the heat exchange wall fluctuated and increased along the Y-axis, and began stabilizing after a time >3/5T. As time went on, the temperature gradient of the hot and cold fluid outlet and the temperature difference between the two sides of the heat exchange wall decreased, whereas the relative parameters of the heat flow inlet section of the corrugated passage reached stability before those of the cold flow inlet section. The whole simulation process fully reflects the heat transfer mechanism during phase change in a corrugated plate flow passage of a plate heat exchanger.
1. Introduction
The plate heat exchanger (PHE) was first introduced in the dairy industry at the end of the 19th century [1]. Later, the plate heat exchanger was improved in terms of plate design and seal, so that it could be successfully applied in many industries for heating, refrigeration, and air conditioning and food processing, as well as in the chemical and marine industry, and for energy generation systems [2,3]. The plate heat exchanger structure is highly compact, allowing turbulence to form easily, and the heat transfer requires a larger surface area compared to other types of heat exchanger. It can be used in high-temperature and high-pressure environments, such as for evaporator heating, condenser refrigeration, and waste heat recovery [4,5,6,7,8,9,10,11,12,13,14].
Evaporative heat transfer in a PHE is caused by nucleate boiling and forced convection boiling, and the heat transfer coefficient is related to both. Due to the limited data on boiling heat transfer in a PHE, it is not clear which boiling mechanism is dominant. Grabenstein [15] presented a summary of single-phase flows in a PHE, concluding the correlation of two-phase flows based on a large number of experimental data, including R22 and ammonia as the working fluids. Manglik et al. [16] provided a material library for the design of single-phase and two-phase PHEs. Khan et al. [17] established a set of correlation equations for a two-phase evaporator with ammonia as the working medium, and they verified the influence of the chevron angle on the thermal and hydraulic performance of the evaporator. Li et al. [18] simulated the heat transfer during phase change and flow of a herringbone corrugated PHE, and they compared the results with single-phase flow under the same corrugated parameters. They found that the heat transfer coefficient of phase change flow was increased by 20–100%, and a greater inclination angle of the corrugated plate led to an enhanced heat transfer effect. Huang et al. [19] used R134a and R507a as working media and conducted experiments in a PHE with three different geometric structures, showing that the heat flux had a greater influence on the heat transfer coefficient and a smaller influence on the pressure drop. Parameters such as mass flow rate, vapor dryness, and ripple angle have little effect on the heat transfer but great influence on the pressure drop.
Similar to evaporation, condensation in a plate heat exchanger is a function of mass, mass flow rate, heat flux, fluid properties, plate surface geometry, and local flow state. Longo [20,21,22,23,24] established a numerical model based on 338 experimental data, and he obtained two kinds of correlation relationships between the equivalent Reynolds number below 1600 and the equivalent Reynolds number above 1600 for forced convection condensation. The model was compared with 516 experimental data, and the absolute average percentage deviation was 16%. Han et al. [25] conducted experiments on R410A and R22, and the angles of the corrugated herringbone plate were 45°, 35°, and 20°. Unlike the previous correlation, they included the influence of plate geometry, and the conclusion showed that the heat transfer coefficient and pressure drop increased with the increase in mass flow and steam mass, while they decreased with the decrease in saturation temperature and chevron angle. Mancin et al. [26,27] studied the partial condensation of R410A and R407C in two PHE geometric structures with different aspect ratios and channel numbers. The experimental results showed that the heat transfer coefficient increased with the increase in steam mass, while it decreased with the increase in saturation temperature difference.
The phase change mechanism of a plate heat exchanger is relatively complex, and many problems in the process of flow heat transfer still need to be further explored [28]. At present, studies are mainly carried out using experimental methods, while numerical simulations mostly involve single-phase flow heat transfer. Further exploration is needed to study the heat transfer characteristics of a PHE when gas–liquid phase change occurs. In this paper, the process of heat transfer during phase change in a herringbone corrugated plate heat transfer channel was numerically simulated, and the User Defined Feature (UDF) program was imported into the Volume of Fluid (VOF) model to calculate the mass transfer and energy transfer between the gas and liquid. The change law of fluid temperature, phase volume distribution, Nusselt number, heat flux, and heat transfer wall parameters were studied to reveal the mechanism of heat transfer during phase change in the PHE corrugated passage, which can provide some reference for the design and optimization of a plate heat exchanger.
2. Calculation Model
The section introduces the establishment of the physical model of corrugated channel of herringbone plate heat exchanger, the division of grid, the selection of mathematical model and boundary conditions, and the verification of grid independence and model verification. It is prepared for the discussion of numerical simulation.
2.1. Physical Model and Mesh Generation
The flow in a PHE channel is extremely complex. In order to reflect the internal heat transfer during phase change state, the three dimensional flow problem is reduced into a two dimensional flow problem. The number of corrugated plates in the PHE channel is large, and the three-section corrugated unit double-channel structure is adopted to reflect the flow heat transfer in the whole heat exchanger channel. The first unit represents the inlet part, the second unit represents heat transfer part of the intermediate flow, and the third unit represents the outlet part. The main geometric parameters of the plate [29] include the spacing of the ripples λ, the height of the ripples H and the Angle of the ripples β, which are reflected in the two-dimensional structure as the spacing of the ripples λ and the height of the ripples H. ICEM software is used to establish a two-dimensional geometric model and grid division, the selected geometric size is λ = 8 mm, H = 4 mm. The upper flow channel is a cold fluid, the lower flow channel is the hot fluid, and the middle of the upper and lower flow channel is the heat exchanger plate. The extension of the entrance and exit is the transition section. The model is shown in Figure 1.
Figure 1.
Physical model.
We use a structured grid to divide the model to get high quality grid. Due to the large temperature and velocity gradient at the near wall surface, the grid is refined at the near wall surface [30]. The grid division is shown in Figure 2. In the pre-processing software ICEM, the parameter used to evaluate the grid quality is “determinant 2 × 2 × 2”, and the display quality is 1, so the grid quality is the best. In order to ensure the accuracy of numerical simulation, the grid independence is verified. Figure 3 shows the change curve of with the increase of mesh number. When the number of grids is 93,412, the value of basically remains unchanged, indicating that the number of grids meets the requirements of calculation accuracy. Therefore, 93,412 is selected as the number of grids used for calculation.
Figure 2.
Meshing generation.
Figure 3.
Grid independence verification.
2.2. Mathematical Model
In the calculation of multiphase flow, the heat and mass transfer model proposed by Schepper [31] is adopted to realize the gas-liquid phase change process between fluids. The mathematical model of the heat transfer during phase change process in plate heat exchanger was established.
Hypothesis:
(1) fluid is incompressible; (2) ignoring gravity and surface tension; (3) the viscous dissipative heat effect when fluid flow is ignored. The mathematical model equation is as follows:
(1) Governing equation of heat and mass transfer
Mass transfer equations:
Evaporation:
Condensation:
Energy transfer equations:
Evaporation:
Condensation:
where SM—the mass source term of evaporation and condensation, SE—energy source term, αv—vapor phase volume fraction, ρv—vapor phase density, αl—liquid phase volume fraction, ρl—liquid phase density, ΔH—enthalpy, u—vapor phase velocity, Tl—liquid phase temperature, Tsat—phase transition temperature, Tv—vapor phase temperature, β—relaxation factor.
(2) Three conservation equations
Mass conservation equation:
Momentum conservation equation:
where ρ—density, μ—dynamic viscosity; ρ and μ depend on the volume fraction of all phases.
Energy conservation equation
where Eq—function of the specific heat capacity and temperature of the phase, keff—effective heat transfer coefficient.
The Nusselt number represents a standard number of the intensity of convection heat transfer, and also represents the ratio of heat conduction resistance at the bottom of fluid laminar flow to convection heat transfer resistance. The friction coefficient f represents the resistance of fluid in the flow channel. The calculation formula [32] is as follows:
The modeled transport equations for κ and ε in the realizable κ-ε model are:
where .
In these equations, Gk represents the generation of turbulence kinetic energy due to the mean velocity gradients. Gb is the generation of turbulence kinetic energy due to buoyancy. YM represents the contribution of the fluctuating dilatation in compressible turbulence to the overall dissipation rate. C2 and C1ε are constants. σε and σk are the turbulent Prandtl numbers for κ and ε, respectively. Sk and Sε are user-defined source terms.
2.3. Boundary Conditions and Calculation Settings
Set the upper flow channel as cold fluid and the lower flow channel as hot fluid. Adopt speed inlet and pressure outlet. The cold fluid is water, density 998.2 kg/m3, viscosity 0.001 kg/m·s, specific heat capacity 4182 J/kg·k, thermal conductivity 0.6 W/m·k. The hot fluid is liquid sulfur, density 2000 kg/m3, specific heat capacity 23.525 J/kg·k, thermal conductivity 0.269 W/m·k. The velocity of working fluids is 0.01 m/s. The temperature of hot fluid is 450 K, the inlet state is liquid phase, no phase transition occurs. The temperature of the cold fluid is 350 K, the inlet is liquid phase, the second phase is gas phase, and the phase transition occurs when the temperature is 373.15 K.The middle wall is the heat exchange wall, and the uppermost and lower most walls is set as adiabatic walls. The initial fluid flow parameters: Prandtl number = 2.55, Reynolds number = 5000, the hydraulic diameter = 5mm, the turbulence intensities = 2.84525%.
ANSYS software was used to calculate the heat exchanger model. Pressure base solver, transient time, VOF multiphase flow model, Realizeable κ-ε turbulence model were selected, the realizable k-epsilon model has better performance than the standard k-epsilon model in strong streamline bending, vortex and rotation, and is more suitable for flow simulation in plate heat exchanger. The second order upwind scheme is adopted to discretize each governing equation. The relative residual control of the energy governing equation is less than 10−6, and the other governing equations converges on 10−5.
2.4. Model Validation
In order to verify the reliability of the model, numerical simulation of Nu and friction coefficient f was carried out in this paper, which was compared with the experiment of Djordjevic et al. [33]. A unified model of the structure used in the literature experiment was established, and the simulation was carried out with the same inlet Reynolds number. The comparison results between simulation and experiment are shown in Figure 4.
Figure 4.
Comparison of simulation result with experiment data for average Nusselt number and friction factor.(a) The curve of the Nusselt number (b) The curve of the friction factor
Figure 4a is the comparison between Nu simulation results and experimental results, and Figure 4b is the comparison between f simulation results and experimental results. There is a certain deviation between the simulation and the experiment, which mainly comes from the different dimension of the numerical simulation and the wall surface is more ideal. Compared with the experiment, the deviation of the numerical simulation Nu and f is less than 5%, which is within the allowable range and the model is reliable.
3. Analysis of Calculation Results
From the time when the fluid starts to flow until the fluid reaches a steady state, the phase transition gradually develops and changes with the increase of time. Therefore, the model of double channel corrugated heat transfer channel was established and the transient simulation was carried out. The time of a fluid from initial to steady state takes T, the steady (the physical process reaches steady state) is when the average temperature of hot and cold fluid outlets no longer changes. The change of phase transition, flow and heat transfer parameters with time in T process was studied.
3.1. Distribution of Fluid Temperature and Phase Volume Distribution
Figure 5 is the temperature distribution diagram in the flow passage at different times. As can be seen from Figure 5, at the initial state of t = 0, hot and cold fluid filled the upper and lower flow channels simultaneously, the heat hasn’t been transferred yet. The heat of the hot fluid is transferred to the cold fluid through the heat exchange wall. The temperature gradient in the concave corner of the lower wall of the cold fluid passage is denser than that in other regions. As time goes by, the hot fluid flows, and the heat is simultaneously transferred through the wall to the cold fluid. Cold fluid from the inlet to the outlet, the whole process temperature is rising, hot fluid vice versa. The temperature of hot and cold fluid varies in gradient along the channel direction. When t = 2/3T, the heat transfer is close to steady, and the temperature change in each region gradually becomes steady. The temperature in the wavy region of the second section of the cold fluid channel first enters the equilibrium state. Throughout the heat transfer process, the cold fluid flowing in first absorbing heat from the hot fluid and transfers it to the cold fluid flowing in later.
Figure 5.
Temperature distribution at different time.
Figure 6 shows the distribution of gas phase volume fraction in the flow passage of different moments. Figure 6a is the initial time of phase transition. Since the temperature was first transferred to the vicinity of the lower wall surface of the cold flow passage, the gas phase was first generated on the lower wall surface. As can be seen from the figure, the gas phase only exists on the first half of each ripple on the lower wall surface, mainly because the fluid flow process is obstructed here, causing disorder, and the phase change is easy to occur and gather. At the same time, there is a vortex at the concave angle of the ripple, which is more likely to form a gasified core, and the gas phase will also be trapped and collected here. As time grows, the temperature is transferred to the upper wall, the phase transition occurs when the temperature of the fluid flowing near the upper wall reaches the critical temperature.

Figure 6.
Gas phase volume fraction distribution at different time.
It can be seen that the gasified core is formed near the wall surface during the boiling flow. The gas phase in the channel moves slowly towards the exit and gathers along the wall, and the volume fraction of the gas phase increases. The gas phase microparticles at the convex corner were significantly more than those on the straight wall, and the volume fraction was higher than that in other regions.
Figure 7 shows the distribution of velocity vectors in the flow passage of different moments. As can be seen from the figure, when t = 1/4T, severe eddies occur in a small range in the flow passage, and the flow velocity in the main flow area is low. When t = 1/2T, the range of violent eddies in the flow passage becomes larger and the velocity of eddies becomes larger, and the eddies gradually move to the outlet. Moreover, the flow velocity in the main flow area is significantly higher than when t = 1/2T. When t = 3/4TT, the range of violent eddies on the upper side of the channel becomes smaller, and the center moves to the near exit. At this point, the flow velocity in the main flow area basically reaches stability. When t = T, there is no violent eddy on the upper side of the channel, and the whole fusion becomes a large range of low-velocity reflux.
Figure 7.
Velocity vectors distribution at different time.
3.2. The Change Rule of Fluid Mean Value Parameters
Figure 8 shows the curve of and on the heat exchange wall with time. As can be seen from the figure, the change trend of and on the heat exchange wall is basically consistent. In the process of time t = 1/5T–3/5T, as the temperature difference between hot and cold fluid decreases with the increase of time and the heat transfer decreases, the values of these two average parameters continue to decrease. There is a trough between t = 3/5T–4/5T, because the temperature difference before the trough is large and the heat exchange is intense. When the time trough occurs, the gas phase slowly increases and accumulates to a certain amount, and the latent heat of phase transition begins to affect heat transfer. When t = 4/5T, and begin to become steady, and the temperature difference fluctuations of cold and hot fluids on both sides of the heat exchange wall gradually decrease, and the heat transfer during phase change also enters a steady state. At the beginning, the heat exchange is more intense, the bubbles are less generated, the heat transfer coefficient is larger, and the Nusselt number and the heat flux are larger. Then the bubble slowly increases, forming a vapor film on the wall to form a thermal resistance. As time went on, more and more bubbles are generated along the wall, the vapor film is thickened, the thermal resistance is increased, the convective heat transfer coefficient decreases, and the Nusselt number and heat flux are reduced. When the heat transfer reaches a stable stage, the vapor film thickness no longer increases, the thermal resistance no longer changes, and the Nusselt number and heat flux do not change.
Figure 8.
The curve of and on the heat exchange wall with time
Figure 9 shows the curve of the average temperature at the outlet of the hot and cold fluid with time and the curve of the maximum volume fraction of wet saturated steam at the outlet of the phase change passage with time. Outlet 1 is the cold fluid outlet, and outlet 2 is the hot fluid outlet. The average temperature of cold fluid outlet is 406 K–420 K, and the average temperature of hot fluid outlet is 366 K–390 K. In the process of time t = 1/5T–3/5T, the average temperature of the cold fluid outlet rose rapidly, the average temperature of the hot fluid outlet decreased rapidly, and the volume fraction of the gas phase only increased slightly. After t = 3/5T, the average temperature of hot and cold fluid outlet began to stabilize, while the volume fraction of the gas phase began to increase sharply. At this time, the temperature of most fluid areas in the cold passage is higher than the phase transition temperature, and the liquid along the wall surface is subjected to violent boiling and vaporization. The number of gas phases attached to the wall surface increased, and the number of gas phases converging to the outlet, which overcame the wall tension, also increased. Finally, the volume fraction of the gas phase was 1, and the vicinity of the outlet wall surface was all gas phase. When the hot and cold fluid is steady, the average temperature difference at the two outlets is similar to the average temperature difference at the initial state. Figure 7 and Figure 8 mutually demonstrate that the process of heat transfer during phase change in PHE tends to a steady state after t = 3/5T.
Figure 9.
The curve of temperature at the outlet of hot and cold fluid and the vapor maximum volume fraction of wet saturated steam at the outlet changing with time.
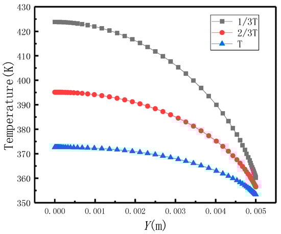
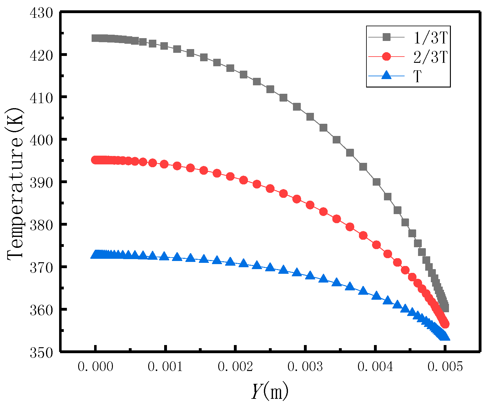
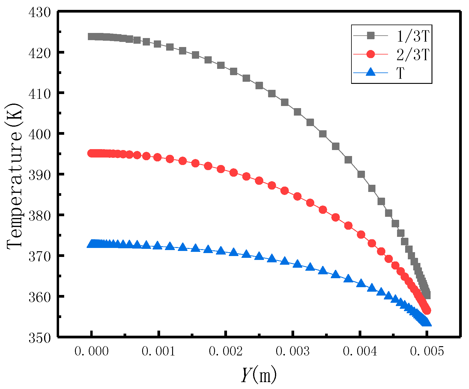
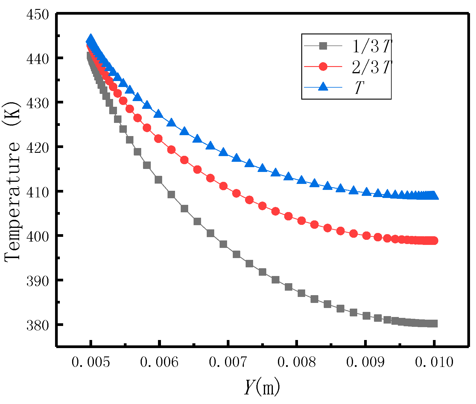
3.3. Fluid Outlet Temperature Change Rule
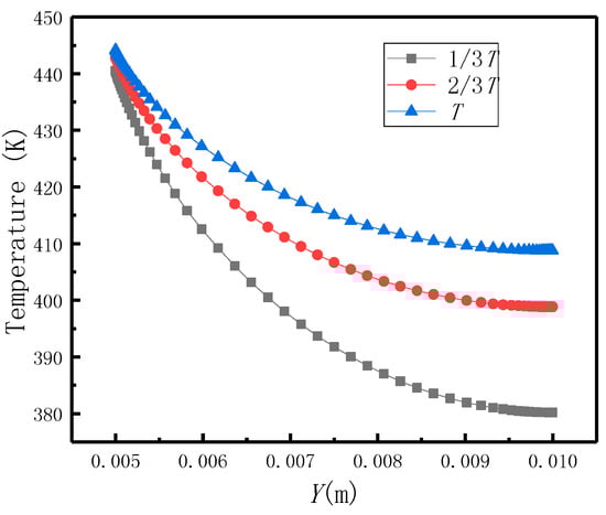
In order to verify the direction of heat transfer, the temperature distribution change of fluid outlet was investigated. Figure 10 shows the temperature distribution of the cold fluid outlet along the Y direction at different moments. Figure 11 shows the temperature distribution of the hot fluid outlet along the y-direction at different moments. At the beginning of fluid flow, the heat transfer between hot and cold fluid is larger, resulting in a larger temperature gradient at the outlet. The temperature at one end of the cold fluid outlet in contact with the heat exchange wall is higher than that at the other end of the non-heat exchange wall. As time grows, the overall temperature at the y-direction of the cold fluid outlet is rising, while the overall temperature at the Y direction of the hot fluid outlet is decreasing, and the temperature gradient of both is decreasing. The temperature difference between the heat exchange wall and the non-heat exchange wall is decreasing. Throughout the flow, in the Y direction of the channel, heat is transferred from the bottom up, from the high temperature fluid field to the low temperature fluid field.
Figure 10.
Temperature distribution along the outlet Y direction of cold fluid at different time.
Figure 11.
Temperature distribution along the outlet Y direction of thermal fluid at different time.
3.4. The Change Rule of Heat Exchange Wall Surface Parameters Along the Path
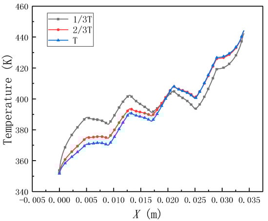
From the change of mean value parameters and fluid outlet temperature, the time to reach stability in PHE and the direction of heat transfers can be obtained, but the state of heat exchanges wall surface between cold and hot fluids cannot be reflected. Figure 12 shows the temperature distribution along the heat transfer wall of corrugated plate at different moments. As can be seen from the figure, the temperature of the heat exchange wall fluctuates and rises along the X-axis in the whole process, and the temperature fluctuation corresponds to the turning point of the corrugated plate. The temperature crest is at the concave angle of the corrugated plate structure, and the trough is at the convex angle of the corrugated plate. When t = 1/3 T, the temperature distribution of the second and third sections of the corrugated plate is consistent. Since the vortex first occurs to the concave angle between the ripples in the second and third sections, the temperature boundary layer thins and the heat transfer in the third section becomes faster. As time grows, the overall temperature of the corrugated heat transfer wall decreases slightly. The temperature at the back end reached a steady state before that at the front end, and the temperature gradient at the inlet and outlet end was significantly larger than that at the middle end, which was due to the intense heat transfer of the inlet and outlet fluid and the great change of the wall surface temperature.
Figure 12.
Temperature distribution along the heat transfer wall at different times.
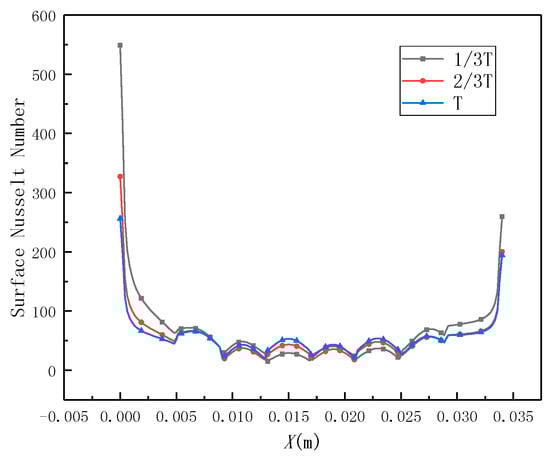
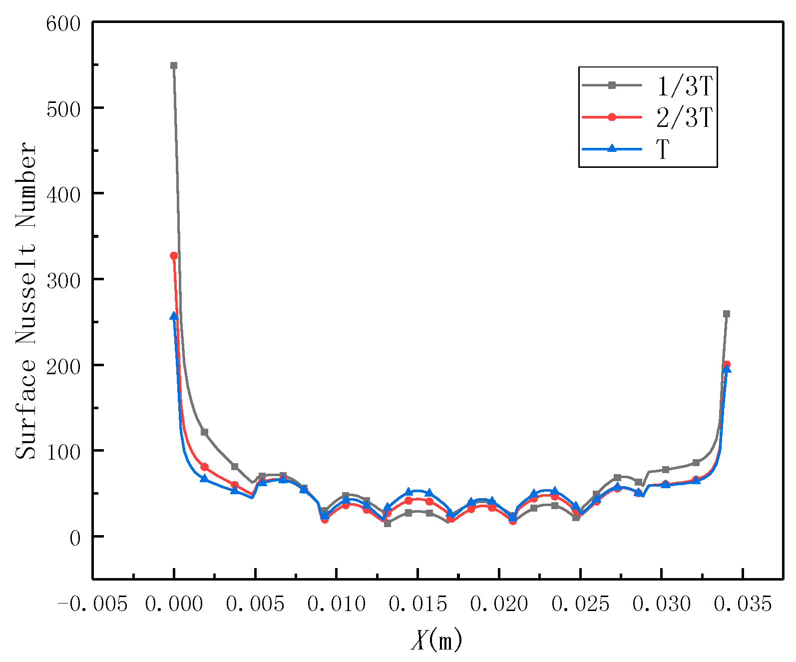
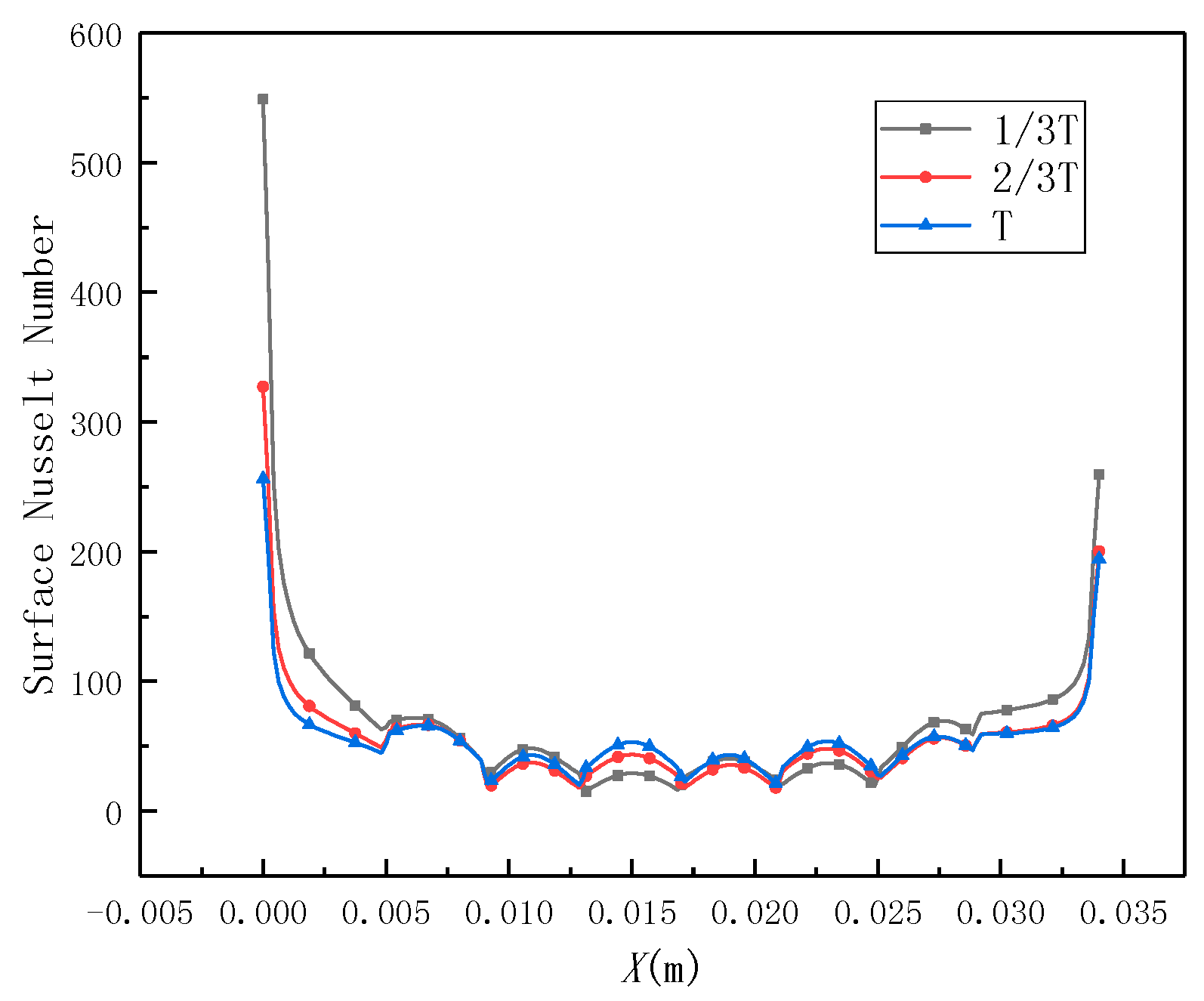
Figure 13 shows Nu distribution along the heat transfer wall of the middle corrugated plate at different times. As can be seen from the figure, the distribution of Nu along the heat exchange wall surface to fluctuate on the whole, and fluctuates violently around the corrugated corner. At different times, the change trend of Nu distribution curve is basically the same, with small local differences, and the change rate of curve is basically the same. The curve of the inlet section of the cold fluid drops steeply from the extreme value, fluctuates gently along the X-axis, and rises steeply to the extreme value at the outlet, which is greater than the peak value of the fluctuation section, but less than the maximum value of the inlet. At the entrance to the cold fluid, the entry into the cold fluid leads to the destruction of the boundary layer, where the heat is strongly mixed and diffused, and the heat exchange intensity suddenly increases. At the outlet of the cold fluid, the cold fluid flows out and the hot fluid flows in, the temperature gradient increases sharply, and the heat transfer coefficient reaches the maximum value here. As time grows, the extreme value of Nu at the inlet and outlet decreases, because the temperature difference between hot and cold fluid in the flow channel decreases, which weakens the previous effect.
Figure 13.
Nu distribution along the heat transfer wall at different times.
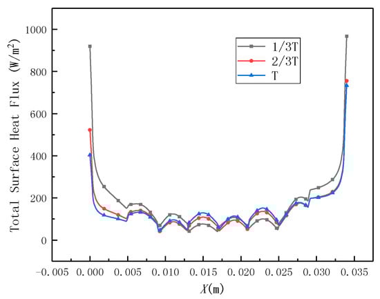
Figure 14 shows the φ distribution diagram along the heat exchange wall of the middle corrugated plate at different times. As can be seen from the figure, the change trend of φ distribution along the wall surface is close to that of Nu distribution curve, and the overall change is fluctuant, which fluctuates sharply near the corrugated corner. The curve of the inlet sections drops steeply from the maximum value, which is less than the extreme value of the outlet, because the heat flux is related to the temperature difference, and the temperature difference between the cold and hot fluid at the inlet wall is less than that at the outlet wall. At different times, the change trend of the heat flux distribution curve is basically the same, and the fluctuation distribution in the middle section increases slightly with the increase in time, because the temperature difference in both sides with the heat exchange wall is decreasing.
Figure 14.
Heat flux distribution along the heat transfer wall at different times.
4. Conclusions
In this paper, the process of heat transfer during phase change in corrugated plate heat exchanger flow passage, the change law of heat transfer during phase change average parameters and boundary local parameters at different moments are studied, and the following conclusions are drawn:
(1) The and of the heat exchange wall surface decrease with time, reaching stability at t = 3/5T. The average temperature of the cold fluid outlet increased with time, while the average temperature of the hot fluid outlet was opposite, but both reached stability when t = 3/5T. For the volume fraction of the gas phase, it was small before t = 3/5T, and then it increased dramatically.
(2) In the cold and hot fluid passages, the temperature gradient distribution is thin in the middle and dense at both ends. Heat is transferred from the bottom to up, from high temperature to low temperature.
(3) For the heat exchange wall, the temperature fluctuates along the X-axis. The peak value is at the concave angle of ripple, and the wall surface temperature in the later half tends to be steady firstly. For the cold fluid, heat transfer is faster at the concave corner of the heat exchange wall surface, and vaporization core is easier to form.
(4) Compared with the cold fluid, the temperature distribution of the hot fluid near the inlet reaches stability first. The change of heat exchange wall surface along Nu and φ is basically the same, reaching the maximum at the inlet and outlet. The middle section fluctuates along the direction of the ripples, and its value increases slightly as time.
(5) The unsteady calculation model was established, and the gas-liquid phase change process between fluids was realized by using the heat and mass transfer model. The evolution law of heat transfer during phase change was found. The method is innovative. Further study on the influencing factors of heat transfer during phase change is needed in the future.
Author Contributions
Conceptualization, H.S.; Data curation, C.H.; Formal analysis, W.Y. and Z.G.; Methodology, G.W.; Software, T.H.; Writing—original draft, H.S. and C.H.; Writing—review & editing, C.H. All authors have read and agreed to the published version of the manuscript.
Funding
This research was funded by [Science and Technology Research Project under the Educational Commission of Hubei Province of China] grant number [Q20191208].
Conflicts of Interest
The authors declare no conflict of interest.
Data Availability
The numerical data used to support the findings of this study are included within the article.
Nomenclature
| λ | The spacing of the ripples, mm |
| H | The height of the ripples, mm |
| β | The Angle of the ripples, (°) |
| Re | Reynolds number |
| f | The coefficient of friction |
| Nu | Nusselt number |
| Average Nusselt number | |
| t | Time, T |
| Heat flux, W/m2 | |
| Average heat flux, W/m2 | |
| Vapor phase volume fraction | |
| Vapor phase density, kg/m3 | |
| Liquid volume fraction | |
| Liquid density, kg/m3 | |
| u | Vapor phase velocity, m/s |
| Tl | Liquid phase temperature, K |
| Tsat | Phase transition temperature, K |
| Tv | Vapor phase temperature, K |
| β | Relaxation factor |
| SM | The quality of the source term |
| ΔH | Enthalpy |
| ρ | Density, kg/m3 |
| μ | Dynamic viscosity, m2/s |
| Eq | Function of the specific heat capacity and temperature of the phase |
| keff | Effective thermal conductivity |
| SE | Energy source term |
References
- Eldeeb, R.; Vikrant, A.; Reinhard, R. A survey of correlations for heat transfer and pressure drop for evaporation and condensation in plate heat exchangers. Int. J. Refrig. 2016, 5, 12–26. [Google Scholar] [CrossRef]
- Mcdonald, A.-G.; Magande, H.-L. Fundamentals of heat exchanger design. In Introduction to Thermo-Fluids Systems Design; John Wiley & Sons, Ltd.: Hoboken, NJ, USA, 2012. [Google Scholar]
- Mota, F.A.; Ravagnani, M.A.; Carvalho, E.P. Optimal design of plate heat exchangers. Appl. Therm. Eng. 2014, 63, 33–39. [Google Scholar] [CrossRef]
- Qiao, H.; Aute, V.; Lee, H.; Saleh, K.; Radermacher, R. A new model for plate heat exchangers with generalized flow configurations and phase change. Int. J. Refrig. 2013, 36, 622–632. [Google Scholar] [CrossRef]
- Kumar, V.; Tiwari, A.-K.; Ghosh, S.-K. Application of nanofluids in plate heat exchanger: A review. Energy Convers. Manag. 2015, 105, 1017–1036. [Google Scholar] [CrossRef]
- Gulenoglu, C.; Akturk, F.; Aradag, S.; Uzol, N.S.; Kakac, S. Experimental comparison of performances of three different plates for gasketed plate heat exchangers. Int. J. Therm. Sci. 2014, 75, 249–256. [Google Scholar] [CrossRef]
- Faizal, M.; Ahmed, M.-R. Experimental studies on a corrugated plate heat exchanger for small temperature difference applications. Exp. Therm. Fluid Sci. 2012, 36, 242–248. [Google Scholar] [CrossRef]
- Lee, J.; Lee, K.-S. Flow characteristics and thermal performance in chevron type plate heat exchangers. Int. J. Heat Mass Transf. 2014, 78, 699–706. [Google Scholar] [CrossRef]
- Tiwari, A.-K.; Ghosh, P.; Sarkar, J. Heat transfer and pressure drop characteristics of CeO2/water nanofluid in plate heat exchanger. Appl. Therm. Eng. 2013, 57, 24–32. [Google Scholar] [CrossRef]
- Goodarzi, M.; Amiri, A.; Goodarzi, M.-S.; Safaei, M.R.; Karimipour, A.; Languri, E.M.; Dahari, M. Investigation of heat transfer and pressure drop of a counter flow corrugated plate heat exchanger using MWCNT based nanofluids. Int. Commun. Heat Mass Transf. 2015, 66, 172–179. [Google Scholar] [CrossRef]
- Tiwari, A.K.; Ghosh, P.; Sarkar, J.; Dahiya, H.; Parekh, J. Numerical investigation of heat transfer and fluid flow in plate heat exchanger using nanofluids. Int. J. Therm. Sci. 2014, 85, 93–103. [Google Scholar] [CrossRef]
- Demir, H.; Dalkilic, A.-S.; Kürekci, N.-A.; Duangthongsuk, W.; Wongwises, S. Numerical investigation on the single phase forced convection heat transfer characteristics of TiO2 nanofluids in a double-tube counter flow heat exchanger. Int. Commun. Heat Mass Transf. 2011, 38, 218–228. [Google Scholar] [CrossRef]
- Guo, Z.J.; Hu, C.Q.; Liu, J.R.; Su, H.S. The Study on Internal Flow Characteristics of Magnetic Drive Pump. IEEE Access 2019, 7, 100003–100013. [Google Scholar]
- Yildiz, A.; Mustafa, A.E. Theoretical and experimental thermodynamic analyses of a chevron type heat exchanger. Renew. Sustain. Energy Rev. 2015, 42, 240–253. [Google Scholar] [CrossRef]
- Grabenstein, V.; Polzin, A.E.; Kabelac, S. Experimental investigation of the flow pattern, pressure drop and void fraction of two-phase flow in the corrugated gap of a plate heat exchanger. Int. J. Multiph. Flow 2017, 91, 155–169. [Google Scholar] [CrossRef]
- Manglik, R.-M. Plate heat exchangers: Design, applications and performance. Mech. Eng. 2007, 5, 58. [Google Scholar]
- Khan, T.S.; Khan, M.S.; Chyu, M.C.; Ayub, Z.H.; Chattha, J.A. Review of heat transfer and pressure drop correlations for evaporation of fluid flow in plate heat exchangers (RP-1352). HVACR Res. 2009, 15, 169–188. [Google Scholar] [CrossRef]
- Li, M.C.; Xiao, G.; Shi, H.C.; Liu, H.-L.; Chen, D.; Luo, Z.-Y. Study on phase change flow and heat transfer characteristics of chevron corrugated plate. J. Eng. Thermophys. 2016, 37, 581–585. [Google Scholar]
- Huang, J.; Sheer, T.-J.; Bailey-Mcewan, M. Heat transfer and pressure drop in plate heat exchanger refrigerant evaporators. Int. J. Refrig. 2011, 34, 325–335. [Google Scholar] [CrossRef]
- Longo, G.A.; Righetti, G.; Zilio, C. A new computational procedure for refrigerant condensation inside herringbone-type Brazed Plate Heat Exchangers. Int. J. Heat Mass Transf. 2015, 82, 530–536. [Google Scholar] [CrossRef]
- Longo, G.A.; Zilio, C. Condensation of the low GWP refrigerant HFC1234yf inside a brazed plate heat exchanger. Int. J. Refrig. 2013, 36, 612–621. [Google Scholar] [CrossRef]
- Longo, G.-A.; Zilio, C.; Righetti, G.; Brown, J.S. Experimental assessment of the low GWP refrigerant HFO-1234ze(Z) for high temperature heat pumps. Exp. Therm. Fluid Sci. 2014, 57, 293–300. [Google Scholar] [CrossRef]
- Longo, G.A.; Mancin, S.; Righetti, G.; Zilio, C. A new model for refrigerant boiling inside Brazed Plate Heat Exchangers (BPHEs). Int. J. Heat Mass Transf. 2015, 91, 144–149. [Google Scholar] [CrossRef]
- Longo, G.A.; Mancin, S.; Righetti, G.; Zilio, C. HFC404A condensation inside a small brazed plate heat exchanger: Comparison with the low GWP substitutes propane and propylene. Int. J. Refrig. 2017, 81, 41–49. [Google Scholar] [CrossRef]
- Han, D.-H.; Lee, K.-J.; Kim, Y.-H. Experiments on the characteristics of evaporation of R410A in brazed plate heat exchangers with different geometric configurations. Appl. Therm. Eng. 2003, 23, 1209–1225. [Google Scholar] [CrossRef]
- Mancin, S.; Del-Col, D.; Rossetto, L. Condensation of superheated vapour of R410A and R407C inside plate heat exchangers: Experimental results and simulation procedure. Int. J. Refrig. 2012, 35, 2003–2013. [Google Scholar] [CrossRef]
- Mancin, S.; Del Col, D.; Rossetto, L. R32 partial condensation inside a brazed plate heat exchanger. Int. J. Refrig. 2013, 36, 601–611. [Google Scholar] [CrossRef][Green Version]
- Wu, X.-H.; Li, C.; Gong, Y.; Zhang, J.; Zhao, M. Heat transfer and pressure drop characteristics of phase change flow in plate heat exchanger. Chin. J. Chem. Eng. 2017, 68, 133–140. [Google Scholar]
- Yu, J.Z. Principle and Design of Heat Exchanger; Beijing University of Aeronautics and Astronautics Press: Beijing, China, 2006. [Google Scholar]
- Wang, F.J. Analysis Computational Fluid Dynamics: Principles and Applications of CFD Software; Tsinghua University Press: Beijing, China, 2004. [Google Scholar]
- DE Schepper, S.C.; Heynderickx, G.J.; Marin, G.B. CFD modeling of all gas-liquid and vapor-liquid flow regimes predicted by the Baker chart. Chem. Eng. J. 2008, 138, 349–357. [Google Scholar] [CrossRef]
- Derome, D.; Blocken, B.; Carmeliet, J. Determination of surface convective heat transfer coefficients by CFD. In Proceedings of the 11th Canadian Conference on Building Science and Technology, Banff, AB, Canada, 22–23 March 2007. [Google Scholar]
- Djordjevic, E.; Kabelac, S. Flow boiling of R134a and ammonia in a plate heat exchanger. Int. J. Heat Mass Transf. 2008, 51, 6235–6242. [Google Scholar] [CrossRef]
© 2019 by the authors. Licensee MDPI, Basel, Switzerland. This article is an open access article distributed under the terms and conditions of the Creative Commons Attribution (CC BY) license (http://creativecommons.org/licenses/by/4.0/).