Synthesis of Water-Soluble Group 4 Metallocene and Organotin Polyethers and Their Ability to Inhibit Cancer
Abstract
:1. Polymer Solubility
2. Poly(Ethylene Glycol) as a Synthetic Template
3. Synthesis of Metal-Containing Polymers
4. Organotin Polyether Synthesis
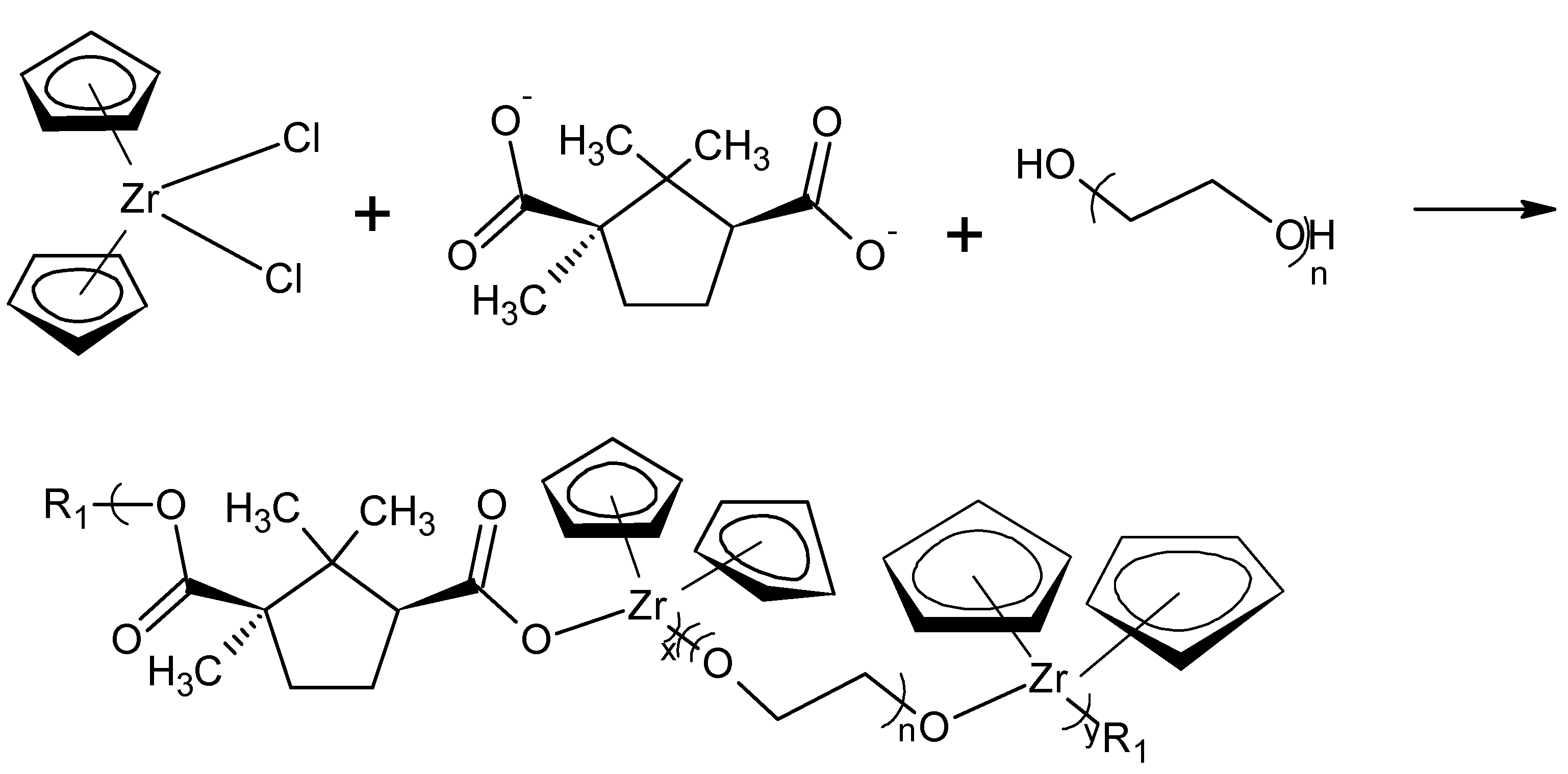
5. Group 4 Metallocene Polyethers
6. Future and Summary
Conflicts of Interest
References
- Carraher, C. Introduction to Polymer Chemistry, 4th ed.; Taylor and Francis/CRC Press: New York, NY, USA, 2017. [Google Scholar]
- DiPalma, J.; Cleveland, M.; Mark, V.B.; McGowan, J.; Herrera, J. A Randomized, Multicenter Comparison of Polyethylene Glycol Laxative and Tegaserod in Treatment of Patients with Chronic Constipation. Am. J. Gastroenterol. 2007, 9, 1964–1971. [Google Scholar] [CrossRef] [PubMed]
- Sheftel, V.O. Indirect Food Additives and Polymers: Migration and Toxicology; CRC: Boca Raton, FL, USA, 2000. [Google Scholar]
- Delgado, C.; Francis, G.E.; Fisher, D. Solvent-sensitive nanospheres prepared by self-organization of polymerizing hydrophilic graft chain copolymers. Drug Carr. Syst. 1992, 9, 249–304. [Google Scholar]
- Gerasimov, A.; Ziganshin, M.; Gorbatchuk, V.; Usmanova, L. Increasng the solubility of dipyridamole using polyethylene glycols. Int. J. Pharm. Sci. 2014, 6, 244–247. [Google Scholar]
- Lee, M.; Kim, S.W. Polyethylene glycol-conjugated copolymers for plasmid DNA delivery. Pharm. Res. 2005, 22, 1–10. [Google Scholar] [CrossRef] [PubMed]
- Ansari, M. Investigations of polyethylene glycol mediated ternary molecular inclusion complexes silmarin with beta cyclodextrin. J. Appl. Pharm. Sci. 2015, 5, 26–31. [Google Scholar] [CrossRef]
- Carraher, C.; Battin, A.; Roner, M.R. Effect of bulk doping on the electrical conductivity of selected metallocene polyamines. J. Inorg. Organomet. Polym. Mater. 2013, 23, 61–73. [Google Scholar] [CrossRef]
- Carraher, C.; Battin, A.; Roner, M.R. Effect of Electrical Conductivity Through the Bulk Doping of the Product of Titanocene Dichloride and 2-Nitro-1,4-phenylenediamine. J. Funct. Biomater. 2011, 2, 18–30. [Google Scholar] [CrossRef] [PubMed]
- Battin, A.; Carraher, C.; Roner, M.R. Effect of bulk doping on the electrical conductivity of selected metallocene polyamines. J. Inorg. Organomet. Polym. Mater. 2012, 22, 1–13. [Google Scholar]
- Battin, A.; Carraher, C. Effect of doping by exposure of iodine on the electrical conductivity of the polymer from titanocene dichloride and 2-nitro-p-phenylenediamine. J. Polym. Mater. 2008, 25, 23–33. [Google Scholar]
- Siegmann-Louda, D.; Carraher, C. Polymeric Platinum-Containing Drugs in the Treatment of Cancer. In Biomedical Applications; John Wiley & Sons: Hoboken, NJ, USA, 2004. [Google Scholar]
- Roner, M.R.; Carraher, C. Cisplatinum Derivatives as Antivirial Agents. In Inorganic and Organometallic Macromolecules; Springer: New York, NY, USA, 2008. [Google Scholar]
- Carraher, C.; Francis, A. Water-Soluble Cisplatin-Like Chelation Drugs from Chitosan. J. Polym. Mater. 2011, 28, 189–203. [Google Scholar]
- Roner, M.R.; Carraher, C.; Shahi, K.; Barot, G. Antiviral activity of metal-containing polymers organotin and cisplatin-like polymers. Materials 2011, 4, 991–1012. [Google Scholar] [CrossRef]
- Carraher, C.; Siegman-Louda, D. Organotin Macromolecules as Anticancer Drugs. In Macromolecules Containing Metal and Metal-Like Elements; John Wiley & Sons: Hoboken, NJ, USA, 2004. [Google Scholar]
- Carraher, C. Organotin Polymers in Macromolecules Containing Metal and Metal-Like Elements; John Wiley & Sons: Hoboken, NJ, USA, 2004. [Google Scholar]
- Roner, M.R.; Carraher, C. Organotin Polyethers as Biomaterials. Materials 2009, 2, 1558–1598. [Google Scholar]
- Carraher, C.; Roner, M.R. Organotin polymers as anticancer and antiviral agents. J. Organomet. Chem. 2014, 751, 67–82. [Google Scholar] [CrossRef]
- Carraher, C. Zirconocene and hafnocene-containing macromolecules. In Macromolecules Containing Metal and Metal-Like Elements; John Wiley & Sons: Hoboken, NJ, USA, 2006. [Google Scholar]
- Carraher, C. Condensation metallocene polymers. J. Inorg. Organomet. Polym. Mater. 2005, 15, 121–145. [Google Scholar] [CrossRef]
- Carraher, C. Organoantimony-containing polymers. J. Polym. Mater. 2008, 25, 35–50. [Google Scholar]
- Carraher, C. Antimony-containing polymers. In Inorganic and Organometallic Macromolecules; Springer: New York, NY, USA, 2008. [Google Scholar]
- Carraher, C.; Roner, M.R.; Thbibodeau, R.; Moric-Johnson, A. Synthesis, structural characterization, and preliminary cancer cell study results for poly(amine esters) derived form triphenyl-group VA organometallics and norfloxacin. Inorg. Chem. Acta 2014, 423, 123–131. [Google Scholar] [CrossRef]
- Carraher, C. Uranium-containing polymers. In Macromolecules Containing Metal and Metal-Like Elements; John Wiley & Sons: Hoboken, NJ, USA, 2005. [Google Scholar]
- Carraher, C.; Murphy, A.T. Ruthenium-containing polymers for solar energy conversion. In Macromolecules Containing Metal and Metal-Like Elements; John Wiley & Sons: Hoboken, NJ, USA, 2005. [Google Scholar]
- Sabir, T.; Carraher, C. Vanadocene-containing polymers. In Inorganic and Organometallic Macromolecules; Springer: New York, NY, USA, 2008. [Google Scholar]
- Carraher, C.; Sabir, T.S.; Carraher, C.L. Inorganic and Organometallic Macromolecules; Springer: New York, NY, USA, 2008. [Google Scholar]
- Carraher, C.; Sabir, T.; Carraher, C.L. Fragmentation matrix assisted-laser desorption/ionization mass spectrometry-basics. J. Polym. Mater. 2006, 23, 143–151. [Google Scholar]
- Carraher, C.; Roner, M.R.; Carraher, C.L.; Crichton, R.; Black, K. Use of mass spectrometry in the characterization of polymers emphasizing metal-containing condensation polymers. J. Macromol. Sci. 2015, 52, 867–886. [Google Scholar] [CrossRef]
- Carraher, C.; Barot, G.; Vetter, S.W.; Nayak, G.; Roner, M.R. Degradation of the organotin polyether derived from dibutyltin dichloride and hydroxyl-capped poly(ethylene glycol) in trypsin and evaluation of trypsin activity employing light scattering photometry and gel electrophoresis. J. Chin. Adv. Mater. Soc. 2013, 1, 1–6. [Google Scholar] [CrossRef]
- Carraher, C.; Barot, G.; Shahi, K.; Roner, M.R. Synthesis, structural characterization, and ability to inhibit cancer cell growth of a series of organotin poly(ethylene glycols). J. Inorg. Organomet. Polym. Mater. 2007, 17, 595–603. [Google Scholar]
- Carraher, C.; Roner, M.R.; Barot, G.; Shahi, K. Comparative anticancer activity of water-soluble organotin poly(ethylene glycol) polyethers. J. Polym. Mater. 2014, 31, 123–133. [Google Scholar]
- Carraher, C.; Barot, G.; Shahi, K.; Roner, M.R. Influence of DMSO on the inhibition of various cancer cells by water soluble organotin polyethers. J. Chin. Adv. Mater. Soc. 2013, 1, 294–304. [Google Scholar] [CrossRef]
- Carraher, C.; Roner, M.R.; Moric-Johnson, A.; Miller, L.; Barot, G.; Sookdeo, N. Ability of Simple Organotin Polyethers to Inhibit Pancreatic Cancer. J. Macromol. Sci. 2015, 53, 63–67. [Google Scholar] [CrossRef]
- Ohtaki, H. Structural studies on solvationi and complexation of metal ions in nonaqueous solutions. Pure Appl. Chem. 1987, 59, 1143–1150. [Google Scholar] [CrossRef]
- Gjevig Jenson, K.; Onfelt, A.; Wallin, M.; Lidumas, V.; Andersen, O. Effects of organotin compounds on mitosis, spindel structure, toxicity, and in vitro microtubule assemble. Mutagenessis 1991, 6, 409–416. [Google Scholar] [CrossRef]
- Corriu, R.; Dabosi, G.; Martineau, M. The nature of the interactioni of nucleophiles such as HMPT, DMSO, DMF and Ph3PO with triorganohalo-silanes, -germanes, and -stannanes and organophosphorus compounds. Mechanism of nucleophile induced racmization and substitution at metal. J. Organomet. Chem. 1980, 186, 25–37. [Google Scholar] [CrossRef]
- Benitez, J.; Guggeri, L.; Tomaz, I.; Pessoa, J.C.; Moreno, V.; Lorenzo, J.; Aviles, F.X.; Garat, B.; Gambino, D. A novel vanadyl complex with a polypyridyl DNA intercalator as ligand: A potential anti-protozoa and anti-tumor agent. J. Inorg. Biochem. 2009, 103, 1386–1394. [Google Scholar] [CrossRef] [PubMed]
- Strohfeldt, K.; Tacke, M. Bioorganometallic fulvene-derived titanocene anti-cancer drugs. Chem. Soc. Rev. 2008, 37, 1174–1187. [Google Scholar] [CrossRef] [PubMed]
- Beckhove, P.; Oberschmidt, O.; Hanauske, A.; Pampillon, C.; Schirrmacher, V.; Sweeney, N.J.; Strohfeldt, K.; Tacke, M. Antitumor activity of titanocene Y against freshly explanted human breast tumor cells and in xenografted MCF-7 tumors in mice. Anticancer Drugs 2007, 18, 311–315. [Google Scholar] [CrossRef] [PubMed]
- Harding, M.M.; Mokdsi, G. Antitumour metallocenes: Structure-activity studies and interactions with biomolecules. Curr. Med. Chem. 2000, 7, 1289–1303. [Google Scholar] [CrossRef] [PubMed]
- Olszewski, U.; Claffey, J.; Hogan, M.; Tacke, M.; Zeillinger, R.; Bednarski, P.; Hamilton, G. Anticancer activity and mode of action of titanocene C. Investig. New Drugs 2011, 29, 607–614. [Google Scholar] [CrossRef] [PubMed]
- Olszewski, U.; Hamilton, G. Mechanisms of cytotoxicity of anticancer titanocenes. Anticancer Agents Med. Chem. 2010, 10, 302–311. [Google Scholar] [CrossRef] [PubMed]
- Roat-Malone, R.M. Bioinorganic Chemistry, 2nd ed.; Wiley: New York, NY, USA, 2007; pp. 19–20. [Google Scholar]
- Waern, J.B.; Harris, H.H.; Lai, B.; Cai, Z.; Harding, M.M.; Dillon, C.T. Intracellular mapping of the distribution of metals derived from the antitumor metallocenes. J. Biol. Inorg. Chem. 2005, 10, 443–452. [Google Scholar] [CrossRef] [PubMed]
- Carraher, C.; Roner, M.R.; Reckleben, L.; Black, K.; Frank, J.; Crichton, R.; Russell, F.; Moric-Johnson, A.; Miller, L. Synthesis, structural characterization and preliminary cancer cell line results for polymers derived from reaction of titanocene dichloride and various poly(ethylene glycols). J. Macromol. Sci. 2016, 53, 394–402. [Google Scholar] [CrossRef]
- Carraher, C.; Roner, M.R.; Black, K.; Frank, J.; Moric-Johnson, A.; Miller, L.; Russell, F. Synthesis, structural characterization and initial anticancer activity of water soluble polyethers from hafnocene dichloride and poly(ethylene Glycols). J. Chin. Adv. Mater. Soc. in press. [CrossRef]
- Carraher, C.; Roner, M.R.; Frank, J.; Black, K.; Moric-Johnson, A.; Miller, L.; Russell, F. Synthesis and initial anticancer activity of water and dimethyl sulfoxide soluble polyethers from zironocene dichloride and poly(ethylene Glycols). J. Macromol. Sci. A. in press.
- Carraher, C. Introduction of Polymer Chemistry; CRC Press/Taylor and Francis: New York, NY, USA, 2017. [Google Scholar]
- Carraher, C.; Roner, M.R.; Campbell, A.; Moric-Johnson, A.; Miller, L.; Slawek, P.; Mosca, F. Group IVB metallocene polyesters containing camphoric acid and preliminary cancer cell activity. Int. J. Polym. Mater. Polym. Biomater. in press.




| PEG | %-Yield | Mol. Wt. DMSO | DP DMSO | Mol. Wt. Water | DP Water |
|---|---|---|---|---|---|
| PEG-400 | 61 | 7.6 × 104 | 120 | 7.4 × 104 | 120 |
| PEG-10,000 | 6 | 2.5 × 105 | 24 | 2.2 × 105 | 22 |
| Known for Sn | Bu2Sn,2O | (OCH2CH2)4OSnBu2 | (CH2CH2O)5SnBr2,Na | ||||
| m/e | Rel. Abu. | m/e | Rel. Abu. Found | m/e | Rel. Abu. Found | m/e | Rel. Abu. Found |
| 116 | 45 | 260 | 40 | 418 | 43 | 477 | 30 |
| 117 | 24 | 261 | 21 | 419 | 29 | 478 | 25 |
| 118 | 75 | 262 | 71 | 420 | 75 | 479 | 79 |
| 119 | 26 | 263 | 29 | 421 | 30 | 480 | 28 |
| 120 | 100 | 264 | 100 | 422 | 100 | 481 | 100 |
| 122 | 14 | 266 | 19 | 424 | 19 | 483 | 20 |
| 124 | 17 | 268 | 20 | 426 | 16 | 485 | 20 |
| Known for 2Sn | Bu2SnO(CH2CH2O)4SnBu2 | OBu2SnO(CH2CH2O)4Bu2SnO | |||||
| m/e | Rel. Abu | m/e | Rel. Abu. Found | m/e | Rel. Abu. Found | ||
| 232 | 12 | 627 | 9 | 664 | 18 | ||
| 233 | 13 | 628 | 9 | 665 | 14 | ||
| 234 | 46 | 629 | 46 | 666 | 42 | ||
| 235 | 36 | 630 | 40 | 667 | 32 | ||
| 236 | 94 | 631 | 88 | 668 | 94 | ||
| 237 | 51 | 632 | 51 | 669 | 59 | ||
| 238 | 100 | 633 | 100 | 670 | 100 | ||
| 239 | 35 | 634 | 32 | 671 | 39 | ||
| 240 | 81 | 635 | 82 | 672 | 81 | ||
| 242 | 32 | 637 | 20 | 674 | 26 | ||
| 244 | 22 | 639 | 10 | 676 | 21 | ||
| Strain Number | NCI Designation | Species | Tumor Origin | Histological Type |
|---|---|---|---|---|
| 3465 | PC-3 | Human | Prostate | Carcinoma |
| 7233 | MDA MB-231 | Human | Pleural effusion breast | Adenocarcinoma |
| 1507 | HT-29 | Human | Recto-sigmoid colon | Adenocarcinoma |
| 7259 | MCF-7 | Human | Pleural effusion-breast | Adenocarcinoma |
| ATCC CCL-75 | WI-38 | Human | Normal embryonic lung | Fibroblast |
| ATCC CRL-1658 | NIH/3T3 | Mouse | Embryo-continuous cell line of highly contact-inhibited cells | Fibroblast |
| ATCC CCL-1 | L929 | Mouse | Transformed | Fibroblast |
| ATCC CRL-8303 | 143 | Human | Fibroblast | Bone |
| ATCC CCC-81 | Vero | Monkey | Transformed | Africa Green Monkey kidney epithelial |
| ATCC CCL-75.1 | WI-38 VA13 2RA | Human | Transformed | WI-38 Embryo lung fibroblast |
| ATCC CRL-8303 | 143 | Human | Fibroblast | Bone osteosarcoma |
| ATCC CCL-81 | Vero | Monkey | Transformed | African green monkey kidney epithelial |
| ATCC CCL-75.1 | WI-38 VA13 2RA | Human | Transformed | WI-38 embryo lung fibroblast |
| AsPC-1 | Human | Pancreatic cells | Adenocarcinoma | |
| PANC-1 | Human | Epithelioid Pancreatic cells | Carcinoma |
| Sample | Percentage Yield | MW (H2O) | MW (DMSO) | DP |
|---|---|---|---|---|
| Cp2Ti 200/4.5 | 68 | 5.8 × 106 | 15,000 | |
| Cp2Ti 400/9 | 42 | 1.0 × 106 | 850 | |
| Cp2Ti 1000/27 | 51 | 1.8 × 105 | 1.9 × 105 | 150 |
| Cp2Ti 1500/34 | 52 | 3.6 × 104 | 3.7 × 104 | 21 |
| Cp2Ti 2000/45 | 49 | 3.4 × 104 | 3.5 × 104 | 17 |
| Cp2Ti 3400/77 | 46 | 3.7 × 104 | 3.7 × 104 | 11 |
| Cp2Zr 200/4.5 | 24 | 2.0 × 106 | 4700 | |
| Cp2Zr 400/9 | 15 | 3.8 × 105 | 600 | |
| Cp2Zr 1000/27 | 30 | 9.0 × 104 | 9.1 × 104 | 75 |
| Cp2Zr 4600/100 | 15 | 6.1 × 104 | 6.2 × 104 | 13 |
| Cp2Zr 8000/180 | 34 | 4.1 × 104 | 4.2 × 104 | 5 |
| Cp2Hf 200/4.5 | 32 | 6.3 × 106 | 12,000 | |
| Cp2Hf 400/9 | 32 | 5.3 × 105 | 5.5 × 105 | 770 |
| Cp2Hf 1000/27 | 24 | 1.7 × 105 | 1.9 × 105 | 150 |
| Cp2Hf 4600/100 | 9.3 × 104 | 9.5 × 104 | 14 | |
| Cp2Hf 8000/180 | 38 | 6.6 × 104 | 6.8 × 104 | 8 |
| Known for Ti | O(CH2CH2O)4Cp2Ti(OCH2CH2)4 | O(CH2CH2O)4Cp2Ti(OCH2CH2)4 | |||
| m/e | Rel. Abu. | m/e | Rel. Abu. Found | m/e | Rel. Abu. Found |
| 46 | 11 | 583 | 10 | 539 | 11 |
| 47 | 11 | 584 | 11 | 540 | 11 |
| 48 | 100 | 585 | 100 | 541 | 100 |
| 49 | 8 | 586 | 8 | 542 | 7 |
| 50 | 7 | 587 | 6 | 543 | 7 |
| Known for 2 Ti | (CH2CH2O)3Cp2Ti(OCH2CH2)4Cp2TiO | (CH2CH2O)3Cp2TiO(CH2CH2O)4Cp2Ti(OCH2CH2)4 | |||
| m/e | Rel. Abu. | m/e | Rel. Abu. Found | m/e | Rel. Abu. Found |
| 94 | 22 | 688 | 22 | 875 | 23 |
| 95 | 21 | 689 | 20 | 876 | 21 |
| 96 | 100 | 690 | 100 | 877 | 100 |
| 97 | 16 | 691 | 18 | 878 | 20 |
| 98 | 15 | 692 | 16 | 879 | 18 |
| Titanocene Results | Zirconocene Results | Hafnocene Results | |||||||||
|---|---|---|---|---|---|---|---|---|---|---|---|
| Compound | WI-38 | PANC-1 | AsPC-1 | Compound | WI-38 | PANC-1 | AsPC-1 | Compound | WI-38 | PANC-1 | AsPC-1 |
| Cp2TiCl2 | >32 | >32 | >32 | Cp2ZrCl2 | >32 | >32 | >32 | Cp2Cp2HfCl2 | >32 | >32 | >32 |
| Cp2Ti/PEG 200 | 1.2 | 0.77 | 0.70 | Cp2Zr/PEG 200 | 0.0019 | 0.17 | 0.011 | Cp2Hf/PEG 200 | 0.45 | 0.52 | 0.59 |
| Cp2Ti/PEG 400 | 0.95 | 0.61 | 0.64 | Cp2Zr/PEG 400 | 0.0022 | 0.091 | 0.12 | Cp2Hf/PEG 400 | 0.45 | 0.52 | 0.59 |
| Cp2Ti/PEG 800 | 1.3 | 0.59 | 0.59 | ||||||||
| Cp2Ti/PEG 1000 | 1.0 | 0.53 | 0.52 | Cp2Zr/PEG 1000 | 0.0023 | 0.091 | 0.17 | Cp2Hf/PEG 1000 | 0.45 | 0.52 | 0.59 |
| Cp2Ti/PEG 1500 | 0.96 | 0.51 | 0.52 | ||||||||
| Cp2Ti/PEG 2000 | 1.1 | 0.60 | 0.57 | ||||||||
| Cp2Ti/PEG 3400 | 1.1 | 0.56 | 0.51 | ||||||||
| Cp2Zr/4600 | 0.0025 | 0.11 | 0.13 | Cp2Hf/PEG 4600 | 0.45 | 0.52 | 0.59 | ||||
| CpTi/PEG 8000 | 1.1 | 0.62 | 0.53 | Cp2Zr/8000 | 0.0029 | 0.13 | 0.18 | Cp2Hf/PEG 8000 | 0.45 | 0.52 | 0.59 |
© 2017 by the authors. Licensee MDPI, Basel, Switzerland. This article is an open access article distributed under the terms and conditions of the Creative Commons Attribution (CC BY) license (http://creativecommons.org/licenses/by/4.0/).
Share and Cite
Carraher, C.E.; Roner, M.R.; Frank, J.; Moric-Johnson, A.; Miller, L.C.; Black, K.; Slawek, P.; Mosca, F.; Einkauf, J.D.; Russell, F. Synthesis of Water-Soluble Group 4 Metallocene and Organotin Polyethers and Their Ability to Inhibit Cancer. Processes 2017, 5, 50. https://doi.org/10.3390/pr5030050
Carraher CE, Roner MR, Frank J, Moric-Johnson A, Miller LC, Black K, Slawek P, Mosca F, Einkauf JD, Russell F. Synthesis of Water-Soluble Group 4 Metallocene and Organotin Polyethers and Their Ability to Inhibit Cancer. Processes. 2017; 5(3):50. https://doi.org/10.3390/pr5030050
Chicago/Turabian StyleCarraher, Charles E., Michael R. Roner, Jessica Frank, Alica Moric-Johnson, Lindsey C. Miller, Kendra Black, Paul Slawek, Francesca Mosca, Jeffrey D. Einkauf, and Floyd Russell. 2017. "Synthesis of Water-Soluble Group 4 Metallocene and Organotin Polyethers and Their Ability to Inhibit Cancer" Processes 5, no. 3: 50. https://doi.org/10.3390/pr5030050
APA StyleCarraher, C. E., Roner, M. R., Frank, J., Moric-Johnson, A., Miller, L. C., Black, K., Slawek, P., Mosca, F., Einkauf, J. D., & Russell, F. (2017). Synthesis of Water-Soluble Group 4 Metallocene and Organotin Polyethers and Their Ability to Inhibit Cancer. Processes, 5(3), 50. https://doi.org/10.3390/pr5030050
