Abstract
Aircraft design optimization is essential for improving aircraft performance (such as reduced fuel consumption and lowered noise), which leads to more efficient, sustainable, and affordable aircraft. Conventional aircraft design adopts physics-based simulation models, but iteratively evaluating simulation models is computationally intensive, or even practically impossible. Meanwhile, artificial intelligence (AI) emerges as a revolutionary game changer in the modern engineering industry, including aircraft design optimization. Generative AI (genAI), one of the groundbreaking AI methods, has been advancing aircraft design optimization from various aspects, including intelligent parameterization, predictive modeling, training facilitation, and constraints handling. However, there is a lack of a review summarizing genAI applications in aircraft design optimization. This paper encapsulates four key genAI methods (namely, variational autoencoder, generative adversarial networks, diffusion, and transformer models), followed by advantages and drawbacks, as well as crucial advancements in aircraft design. This work aims to synthesize existing knowledge, identify research gaps, and guide future research for the genAI and aircraft design optimization communities.
1. Introduction
Aircraft design optimization plays a critical role in the aerospace engineering industry [1,2,3,4,5]. Aircraft design possesses a wide spectrum ranging from single-disciplinary design (such as aerodynamic design, structural design, propulsion system design) [6,7,8,9,10] to system-level multidisciplinary design (such as aircraft aerostructural design and trajectory design) [11,12,13,14,15,16,17]. Conventional aircraft design automates the design process by adopting simulation models without the need for human supervision during the optimization process. Design optimization methods mainly include two branches, i.e., derivative-free and gradient-based methods [18,19,20]. Derivative-free optimization methods [21,22,23] (such as genetic algorithms, COBYQA, and pattern search) are straightforward for implementation, immune to noises, and applicable with limited information; however, derivative-free optimization scales poorly with problem dimensionality. Gradient-based optimization [24,25,26,27,28] (such as interior-point methods and sequential quadratic programming), especially through adjoint-empowered efficient gradient computation, scales well with problem dimensionality and possesses rigorous optimality criteria but does not work well with multi-modality problems and non-smooth functions. Additionally, conventional aircraft design optimization still relies on high-performance computing resources, prohibiting rapid decision making, which is desired in the modern engineering industry. Other challenges, including the naively large design space and complex nonlinear constraints, will be described in detail in Section 2.4.
Artificial intelligence (AI) predictive models, also known as surrogate models, render efficient aircraft design with unique features [29,30,31,32]. For instance, Gaussian process (GP) predicts a model response as a Gaussian distribution, of which the mean is the predicted response and the standard deviation sets up predictive confidence bounds [33,34,35]. Thus, GP-based Bayesian optimization adaptively selects an optimal design candidate at each iteration according to an acquisition function built upon the predicted statistical moments [36]. Bayesian optimization enables efficient aircraft design by constructing a locally accurate GP model on the fly, instead of a globally accuracy predictive model, which typically requires a large training cost in high-dimensional applications [37,38]. Polynomial chaos expansion (PCE) consists of orthogonal bases corresponding to input probabilistic distributions. These orthogonal bases analytically estimate statical moments to address uncertainty quantification in applications involving uncertainty [39,40,41,42]. Thus, PCE, as well as PCE variants (such as kriging-based PCE and cokriging-based PCE), ideally tackle aircraft uncertainty analysis and design under uncertainty [43,44,45,46], which are computationally prohibitive in conventional aircraft design. The reduced-order model (ROM) transforms high-fidelity simulation models to a reduced dimension with sufficiently preserved physics. Thus, ROM predicts model response in an intrusive or non-intrusive form and enables fast flow field predictions, optimal controls, to name a few [47,48,49,50,51]. In spite of the aforementioned advancements, these traditional AI predictive models could request an excessive training cost, especially for large design space.
Deep learning [52,53], with a core of deep neural networks (DNNs), makes a revolutionary impact for AI applications in real practice, including aircraft design [29,54,55,56,57]. DNN has achieved success in predictive modeling since DNN excels in capturing complex mappings and tackles large training datasets via mini-batch training and stochastic training [58,59,60]. Feedforward network (FFN) models are used for general modeling, while novel architectures have been developed to adjust into multiple types of applications to fully leverage the power and capability of deep learning. In particular, FFN has managed to handle aircraft systems, such as aerodynamics, structures, and dynamics, within the scope of aircraft design [61,62,63,64]. Recurrent neural networks (RNNs) [65] deal with time-sequence data (such as aircraft trajectory data) because they process data sequentially and use hidden states as memory, summarizing information from previous time steps [66,67,68]. Long short-term memory (LSTM) [65,69] extends RNN for handling long-term dependencies through a gating mechanism [70,71,72]. Convolutional neural networks (CNNs) work with images, such as flow field and airfoil shapes, with superior performance and efficiency due to local connectivity and shared weights [73,74,75,76]. However, deep learning predictions-based aircraft design still has to go through complex, nonlinear constraints, which can lead to slow convergence or even failed optimization.
Generative AI (genAI) is an exceptional AI branch that generates data that shares a similar pattern and distribution with existing training data [77,78]. Most recent and advanced genAI, such as variational autoencoder (VAE) [79,80], generative adversarial network (GAN) [81,82], diffusion [83,84], and transformer [85] models, takes advantage of the exceptional power of DNN. For example, GAN pairs generator networks with discriminator networks that work as a judge to differentiate the generated data and existing training data. The competition and simultaneous training between the generator and the discriminator improves both sets of neural networks until the generator produces realistic data that the discriminator cannot differentiate [81]. As a result, DNN-based genAI promotes cutting-edge applications, including multimodal AI [86,87], large language model (LLM) [88], content creation [89], and workforce training [90], to name a few. Prevailing LLMs include OpenAI’s ChatGPT series, Gemini family, and DeepSeek, which seamlessly reason across text, images, and audio/video inputs. Please refer to Section 3 for details about genAI.
The aforementioned singular features place genAI in a distinct position in aircraft design optimization, particularly in shape design optimization [91,92]. For instance, genAI intelligently parameterizes airfoils by generating only realistic airfoils shapes for aerodynamic design targeting a minimum drag [91,93]. Similarly, genAI works well for aircraft trajectory optimizations, such as minimum-energy takeoff trajectory design [94,95]. The genAI-based shape generation is considered as intelligent parameterization since genAI produces only realistic shapes, which facilitate convergence on simulation models and optimization. In addition, genAI-generated realistic shapes also promote computationally efficient surrogate modeling since the training data is acquired for only realistic shapes. This genAI characteristic is also termed implicit dimensionality reduction since it generates only realistic shapes while automatically filtering out unrealistic ones (such as airfoils with significant wiggles). The genAI methods also present other promising features for aircraft design, such as explicit dimensionality reduction and predictive modeling. Please refer to Section 4 for more details about genAI applications in aircraft design optimization.
The remainder of this paper is organized as follows. Section 2 introduces the general process of conventional aircraft design optimization, describing surrogate-enabled optimization architectures, followed by the existing challenges. Readers can directly look into the existing challenges (Section 2.4) if they are already familiar with conventional aircraft design and surrogate-enabled architectures. Section 3 elaborates on multiple prevalent genAI approaches, including mathematical details, advantages, as well as drawbacks. Readers who are already familiar with genAI approaches can skip this section. Section 4 reviews in detail genAI applications in aircraft design optimization, highlighting the superiority and also discussing potential issues. This paper ends with conclusions and outlook in Section 5, summarizing the key contributions of this work and providing guidance for the future relevant research.
2. Aircraft Design Optimization
Aircraft disciplines mainly include aerodynamics, structures, propulsion, controls, avionics, etc. Correspondingly, aircraft design optimization includes single-disciplinary design optimization (SDO) and multidisciplinary design optimization (MDO). SDO, such as aerodynamic design and structural design, focuses on an individual discipline of aircraft. To take all disciplines into account, conventional aircraft design subsequently conducts SDO, which could result in issues including suboptimal design, over-design and excessive margins, and lack of disciplinary interactions [19]. In contrast, MDO balances the tradeoffs among multiple disciplines and integrates more practical considerations [96,97], while MDO results in more complex, coupled optimizations.
Commonly used SDO and MDO applications in aircraft design include aerodynamic design [98], aerostructural design [99], aircraft trajectory design [100], etc. Aerodynamic design focuses on optimal aerodynamic performances (such as minimum drag and maximum lift-to-drag ratio) while satisfying design constraints (such as lift at target and geometric constraints), aiming for reduced emission and enhanced fuel efficiency [101,102]. Structural design typically aims to minimize mass, cost, or material distribution while considering constraints on mechanical strength and buckling, to name a few [103,104,105]. Aerostructural design makes a common MDO approach coupling aerodynamic and structural characteristics since aerodynamic forces and structural behavior inherently interact with each other, which incurs aerostructural analysis [99,106]. A critical component in aerostructural analysis is load and displacement transfer, which links structural displacement to the aerodynamic surface and transfers the loads from the aerodynamic surface to the structure due to the mismatch between aerodynamics and structure meshes. There are a few open-source frameworks for aerostructural design with the feature of handling the load and displacement transfer, such as FUNtoFEM [107] and MPhys [108] within OpenMDAO [109]. Aircraft propulsion design plays a key role in optimizing propulsive performance (such as minimum specific fuel consumption, minimum electrical energy consumption, minimum fuel burn, and maximum thrust-to-weight ratio) [110,111]. Hybrid electric propulsion marks a new trend in recent years combining the advantages of conventional fuel and batteries for longer range, higher power availability, and operational flexibility, with the tradeoff of complex system architecture, higher maintenance cost, and more pollutant emissions compared with fully electric propulsion [112,113]. Optimal control in aircraft optimizes control input to realize a flight task in an optimal way, such as aircraft takeoff with minimum energy consumption, minimum time, and minimum control effort [100,114]. Therefore, optimal control marks a core component of autonomous systems, which reduces pilot workload and empowers advanced flight missions (such as formation flight and drone swarm coordination) without human intervention. Modern optimal control tends to be conducted simultaneously with other disciplines, termed control co-design, which is claimed by DOE as a game-changing engineering approach [115].
Meanwhile, AI models enable novel optimization architectures, such as inverse mapping optimization [116,117] and reinforcement learning (RL) [118]. The rest of this section introduces the general process of simulation-based SDO and MDO, as well as surrogate-enabled optimization architectures, followed by existing challenges in this area.
2.1. Single-Disciplinary Design Optimization
SDO is usually formulated in the standard format as follows [18,19]:
where f is a scalar objective function, is a vector of design variables, is the ith inequality constraint, is the jth equality constraint, and are the total number of inequality and equality constraints, respectively, and are the lower and upper bounds of , respectively. Standard optimization format refers to the formulation of minimizing the objective function, subject to inequality constraints being less than or equal to zero and equality constraints equal to zero. Maximization optimization can be converted to the standard format by minimizing the opposite value of the objective function. Solving an aircraft SDO problem (Equation (1)) typically involves a series of components (Figure 1).
The general process of an aircraft SDO (Figure 1) is summarized as follows:
- Preprocessing: Aircraft SDO starts with preprocessing a baseline design geometry. The preprocessing involves parameterizing the baseline geometry with initial design variables and generating an initial mesh.
- Optimization: The optimizer reads the preprocessed information under user-defined flight conditions and design parameters to propose a new design candidate.
- Geometry update: The geometry parameterization module provides an updated design geometry based on the updated design variables.
- Mesh deformation: The mesh is deformed, which is preferred over mesh regeneration from scratch due to the consideration on computational efficiency, corresponding to the updated geometry.
- Model evaluation: The simulation models compute the objective function and constraints at the deformed mesh. Corresponding gradient information is also expected if available and can be computed efficiently (e.g., through an adjoint solver).
- Convergence check: The computed values and gradients in the previous step will be sent to the optimizer for a next iteration until the optimization converges to an optimal design, i.e., optimality conditions are satisfied.
Figure 1.
General process of SDO shown using an extended design structure matrix [119]. The thick grey lines represent the data process flow, while the black lines denote the process flow.
2.2. Multidisciplinary Design Optimization
MDO has two general branches of architectures, i.e., monolithic and distributed architectures, depending on how different disciplines are coupled and how the overall optimization problem is solved [16,120,121,122]. New MDO architectures have been actively developed and reported for success in industry [123,124]. Monolithic MDO architectures treat the entire multidisciplinary system as one integrated optimization problem [99,125], while distributed MDO architectures decompose the single optimization problem into a set of disciplinary subproblems which are then coordinated by a system-level subproblem [126]. Thus, monolithic architectures are mathematically similar to SDO and work well with highly coupled systems, while distributed architectures could alleviate computational burden through problem decomposition and fit seamlessly with the structure of large engineering design teams who separately design their own subsystems.
MDO can be formulated as an extension of Equation (1) in the following general form [16,19]:
where is a collection of internal state vectors that are used only within their own corresponding disciplines, is a collection of coupling variable vectors that are shared among disciplines, is a collection of target variable vectors that are copies of the coupling variables to allow independent and even parallel evaluations of disciplinary models in some MDO architectures, is the consistency constraint of the kth discipline to enforce the eventual consistency between the target variables and the actual coupling variables at the optimal design, is the residual vector of the analysis models in the kth discipline, and is the number of disciplines.
Note that not all the variables and constraints defined in Equation (2) are needed in all MDO architectures. For instance, target variables and consistency variables will not be used in the multidisciplinary design feasible architecture [19]. Representative monolithic architectures [127] include multidisciplinary feasible architecture [128], which handles only the original design space of design variables () without the space of state and coupling variables, individual discipline feasible architecture [129,130], which deals with the design space of both design variables and target variables, and simultaneous analysis and design, which works with the design space of design variables, internal states, and coupling variables. Thus, the MDO formulation varies with architectures. For instance, Equation (2) in the multidisciplinary feasible architecture becomes
which does not include the consistency constraints since the multidisciplinary analysis directly guarantees the consistency within each iteration of MDO. The general process of the multidisciplinary design feasible architecture follows a similar process as SDO (Figure 1), except that the model evaluation step is multidisciplinary analysis (Figure 2).
Figure 2.
An example multidisciplinary analysis process of the multidisciplinary design feasible architecture involving three disciplines. Here, is the initial guess of the coupling variables, while is the multidisciplinary feasible point resulting from the converged multidisciplinary analysis [19].
Distributed MDO architectures have also attracted research interest. Depending on how multidisciplinary feasibility is addressed, distributed MDO architectures can be grouped into two types, i.e., distributed multidisciplinary feasible architecture and distributed individual discipline feasible architecture [19]. Distributed MDF enforces multidisciplinary feasibility via multidisciplinary analysis, while distributed IDF addresses multidisciplinary feasibility using constraints or penalties at the system level. Commonly used distributed multidisciplinary design feasible architectures include bilevel integrated system synthesis [131,131], concurrent subspace optimization [132,133], and asymmetric subspace optimization [134], while commonly used distributed individual discipline feasible architectures include collaborative optimization [135,136] and analytical target cascading [137]. Due to the possibility of reduced computational cost and the ideal match with engineering design teams in industry, distributed architectures are expected to achieve prospering developments [138].
2.3. Surrogate-Empowered Optimization Architectures
The conventional aircraft design described above integrates high-fidelity simulation models and generally follows a fixed process (Figure 1 and Figure 2), although MDO architectures allow some flexibilities. Surrogate models, in nature a type of AI predictive model, emerge as a promising paradigm that empowers efficient optimizations and new optimization architectures. This section describes four prevalent surrogate-empowered optimization architectures, i.e., one-shot-surrogate-driven optimization, adaptive-surrogate-driven optimization, inverse mapping, and RL.
2.3.1. One-Shot-Surrogate-Driven Optimization
One-shot-surrogate-driven optimization is an intuitive and straightforward type of surrogate-based design optimization (Figure 3). The one-shot surrogate refers to the fact that a surrogate is constructed or trained beforehand and remains unchanged during the optimization process. Thus, the one-shot-surrogate-driven optimization indeed uses surrogates in lieu of simulation models and gets rid of the mesh updating step since surrogates directly predict relevant model response of interest (such as the drag and energy consumption of aircraft). The geometry update step may stay since geometric constraints are essential in aircraft design for the consideration of structural strength and manufacturing process. For MDO, surrogate models can replace simulation models for one or multiple disciplines or even represent the multidisciplinary feasible solutions after multidisciplinary analysis converges [139].
Figure 3.
General process of one-shot-surrogate-driven optimization.
There is a large body of literature on one-shot-surrogate-driven aircraft design using single-fidelity, multi-fidelity, traditional, and deep learning surrogates [29,30,140,141,142,143]. Lefebvre et al. [144] investigated a surrogate-based MDO that targeted significant reduction in aircraft development cost and time to market, leading to cheaper and greener aircraft solutions. They focused on knowledge-based engineering and collaborative engineering techniques to handle a complex aircraft design workflow, where surrogate models were used in lieu of clusters of analysis disciplines and exhibited superior performance in terms of computational efficiency and benchmarking complex MDO formulations. Nagawkar et al. [145,146] achieved success introducing the PCE-based cokriging multi-fidelity model [43] to aerodynamic design benchmark cases and aerodynamic robust design cases. Karali et al. [147] developed deep learning surrogates for addressing multidisciplinary design challenges of unmanned aerial vehicles in a variety of mission scenarios (such as intelligence, surveillance and reconnaissance) and managed to receive optimal design trade-offs between aerodynamic efficiency, stealth, and structural weight. Saadi et al. [148] at Airbus Helicopters modified manufacturing lines and workshops using deep learning surrogates targeting the maximum customer satisfaction and minimum delivery time, investments, costs, and work in progress in a much faster manner. Sun [149] introduced a publicly available aerodynamic dataset featuring 999 unique blended wing body geometries across approximately 9 distinct aerodynamic cases, resulting in a total of 8830 converged high-fidelity Reynolds-averaged Navier–Stokes simulations, which addressed critical data scarcity and prepared for future complex blended wing body design. They also constructed DNN-based surrogates that presented low predictive errors. Webfoil (https://webfoil.engin.umich.edu/, accessed on 5 January 2026) developed by the MDO Laboratory at the University of Michigan, serves as a free, web-based, surrogate-enabled airfoil aerodynamic design tool as well as a database that contains information and numerical data for each airfoil. Webfoil leads the effort of conducting aerodynamic design on webpage or any modern devices (such as smartphones and smartwatches).
To be more data efficient, dimensionality reduction [150,151,152,153,154] and optimal experimental design [48,155,156,157,158] (also known as adaptive sampling and active learning) are useful strategies, especially in large-scale cases. Lazzara et al. [151] presented an LSTM autoencoder for dimensionality reduction by extracting temporal features and nonlinearities of high-dimensional dynamical system response, which enabled successful surrogate modeling in an industrial context for predicting aircraft dynamic landing response over time. Bird et al. [159] compared a series of dimensionality reduction techniques for unfolding nonlinear features and facilitating surrogate modeling of finite element analysis nodal properties of a jet engine compressor blade. They showed that the surrogate integrated with the inverse-transform-based principal component analysis provided the lowest predictive errors. Wang et al. [160] proposed a fully automated optimal experimental design method that automatically switched between two individual adaptive sampling strategies based on a “potential” metric that measures the potential of a new sample candidate improving predictive performance. The two individual strategies were the basis enrichment strategy and coefficient improvement strategy of the proper orthogonal decomposition method, respectively. Surrogate modeling based on the proposed strategy achieved a lowest mean relative error of compared with each individual strategy as well as random sampling-based surrogates on flow field prediction cases.
A key advantage of the one-shot-surrogate-driven optimization is that it can realize fast analysis and optimization since there is no need to run simulations during the surrogate-based optimization process. Thus, the efficiency enables fast forward design, inverse design, and design under uncertainty. Meanwhile, one-shot-surrogate-driven optimization requires globally accurate surrogates within the entire input space consisting of design variables and/or flight conditions, which can be computationally prohibitive or practically impossible in large-scale applications. In addition, one-shot-surrogate-driven design still needs to address constraints that can be highly complex and nonlinear in real practice.
2.3.2. Adaptive-Surrogate-Driven Optimization
Adaptive-surrogate-driven optimization integrates simulation model evaluation and surrogate updating during the optimization process (Figure 4). Specifically, the surrogates within each iteration of the adaptive-surrogate-driven optimization are not required or anticipated to be globally accurate. Instead, within each optimization iteration, locally accurate surrogates are used to propose an optimal design candidate.
Figure 4.
General process of adaptive-surrogate-driven optimization.
Bayesian optimization (also known as efficient global optimization), enabled by GP, is a big family of adaptive-surrogate-driven optimization. GP assumes that any finite collection of function values follows a multivariate Gaussian distribution, where the covariance is formulated by how related neighbor points are in the input space and the kernel function controls smoothness, periodicity, and amplitude. As a result, GP predicts the posterior mean as well as the posterior standard deviation at the query point. Based on the statistics, Bayesian optimization sets up an acquisition function to select the next sample while balancing the design space exploration and exploitation. Common acquisition functions include expected improvement, upper confidence bound, and probability of improvement, to name a few [161,162]. Bayesian optimization was originally developed by Jones et al. [36] to handle expensive, black-box, and derivative-free objective functions. Since then, there has been continuous effort advancing and applying Bayesian optimization to aircraft design [163,164,165,166]. Recent research effort couples deep learning with Gaussian processes for enhanced predictive performance in Bayesian optimization [167,168]. Dikshit and Leifsson [169] developed a reduced-order Bayesian optimization framework coupling composite Bayesian optimization and deep learning reduced-order models and achieved promising performance on airfoil aerodynamic design cases.
Besides Bayesian optimization, there are other adaptive surrogate-based optimization methods [170,171,172]. Koziel and Leifsson [173] developed the shape-preserving response method to correct low-fidelity pressure distribution towards the high-fidelity counterparts and managed to realize constrained lift maximization and drag minimization problems within inviscid transonic flows. Du et al. [174] implemented the manifold mapping algorithm for aerodynamic inverse designs that matched target pressure distributions and reduced the computational cost by around an order of magnitude at high accuracy compared with direct high-fidelity optimizations. Besides the accuracy and efficiency, the aerodynamic inverse design integrated prior experience on favorable aerodynamic performances through pressure distributions.
The advantage of the adaptive surrogate-based optimization mainly resides in the fact that globally accurate surrogates are not required, making adaptive surrogate-based optimization potentially more efficient than one-shot-surrogate-based optimization, especially in high-dimensional applications. However, the resulting surrogates cannot be used for model response prediction within the whole design space since the surrogates are not globally accurate. In addition, adaptive surrogate-based optimization cannot realize rapid decision-making since simulation models are evaluated during the optimization process.
2.3.3. Inverse Mapping
Inverse mapping aims at directly predicting optimal design based on corresponding design requirements, including flight conditions and design constraints (Figure 5). Thus, once the surrogate model is trained, there is no need to rely on optimization methods for optimal design identification, which permits real-time decision making.
Figure 5.
Inverse mapping concept demonstrated on predicting optimal aerodynamic wing design [175].
A range of research has been conducted on the inverse mapping optimization architecture. For example, Sharma and Hosder [176] investigated the prediction of Boeing 737 configuration design variables when provided with time series of mission-informed performance parameters. They discovered that cascade-forward shallow neural networks exhibited excellent generalization across the design space for which the model was calibrated for. O’Leary-Roseberry et al. [175] proposed an adaptively constructed residual network model coupled with order reduction and managed to directly predict optimal wing designs based on design requirements with high accuracy. Moreover, multiple multi-fidelity, reduced-order surrogates were developed for inverse mapping of optimal airfoil prediction in aerodynamic designs, which made use of multi-fidelity physical resources, reduced computational cost, and outperformed single-fidelity surrogates in terms of accuracy and robustness at the same training cost [117,177,178]. Paramkusham et al. [179] introduced the inverse mapping architecture to the optimal takeoff trajectory design of electric drones and reduced computational cost using an optimal experimental design method. Specifically, the proposed method achieved 2% mean relative error for predicting optimal profiles of electrical power and wing angle, as well as total takeoff time, using around 380 training samples, whereas random sampling-based surrogates could not make this accuracy even with 780 samples.
The advantages of the inverse mapping optimization architecture mainly include: (i) the inverse mapping realizes real-time decision-making; (ii) there is no need to use optimization methods once the inverse mapping surrogates are trained; and (iii) a trained inverse-mapping surrogate can deal with vectorized sets of design requirements together. Meanwhile, the disadvantages include: (i) inverse mapping is rigid with optimization formulation, e.g., if a surrogate is trained with a target lift constraint and a minimum strength constraint, t cannot work with only a target lift constraint or additional constraints; and (ii) inverse mapping cannot handle design uncertainty since the inverse-mapping surrogate does not work with uncertainty analysis mechanisms, such as Monte Carlo evaluation.
2.3.4. Deep Reinforcement Learning
Conventional optimal control (such as linear quadratic regulator and dynamic programming) guarantees stability and optimality (when assumptions hold) and is solvable analytically and efficiently; however, they are limited to linear dynamics, unconstrained applications, or relatively low-dimensional applications. RL empowers a powerful optimal control architecture using an agent that interacts with an environment through trial and error (Figure 6). RL trains the agent to learn an optimal policy guiding optimal actions at each state within the environment so as to permit the maximum cumulative rewards. To take advantage of deep learning, deep RL (DRL) uses DNN inside the agent to approximate the policy and/or value functions. For details about RL and DRL, please refer to these resources [180,181,182,183].
Figure 6.
General process of RL.
DRL has achieved success in aircraft design, including optimal control and air traffic control [184,185,186,187]. Tang and Lai [188] implemented the deep deterministic policy gradient (DDPG) DRL controller for automatic landing control of fixed-wing aircraft and showed the promising ability and robustness of DRL compared with baseline and neural network controllers. Julian and Kochenderfer [189] developed decentralized DRL approaches for teams of autonomous unmanned aircraft to deal with the high-dimensional state space, stochastically propagated fires, and imperfect sensor information during wildfire surveillance. Huang and Jin [190] investigated the design of multiagent-DRL reward functions that could sensitively affect the DRL training and concluded that the singularities in reward shaping were essential for successful agent team training. Roberts et al. [191] followed the singular reward function setup [190] and realized DRL-based optimal takeoff trajectory design of electric drones, achieving over 96% accuracy compared with simulation-based reference optimal design. Besides optimal control, DRL has also been introduced to airfoil aerodynamic design based on one-action-step policy [192] and multi-action-step policy [118,193].
The advantages of DRL include: (i) DRL handles complex or even unknown dynamics; (ii) DRL scales to high dimensions; and (iii) DRL adapts to changing environments and evolving systems. On the other hand, the key bottleneck of DRL resides in the training process. Specifically, DRL is typically unstable in training (i.e., sensitive to small changes and difficult to reproduce) and possesses poor sample efficiency which could lead to an excessive training cost.
2.4. Existing Challenges
As shown above, aircraft design has witnessed significant success and advancements. For instance, adjoint-enabled efficient gradient computation permits high-dimensional optimization applications, including electric drones, supersonic aircraft, aerodynamic design, and aerothermal optimization [194,195,196,197,198,199]. Derivative-free optimization coupled with surrogates promotes efficient global design optimization [44,200,201,202]. New MDO architectures have been developed, such as the MAUD (multidisciplinary analysis and unified derivatives) architecture [203], which is considered as a standard in academia according to Lupp et al. [138], and the SORCER (Service ORiented Computing EnviRonment) [204,205], which explored computationally distributed MDO. Surrogate-empowered optimization architectures (Section 2.3) deliver the possibilities of design under uncertainty, reduced optimization cost, real-time decision-making, and adaptation to changes and stochasticity in the environment and system.
Despite the accumulated success and advancements in simulation-based and surrogate-based optimizations, aircraft design in practical applications still has, but is not limited to, the following challenges: (i) large design space; (ii) excessive computational resources; (iii) substantial training difficulty; and (iv) complex design constraints. These challenges could also interactively affect each other to further deteriorate the optimization performance. Note that the “design constraints” represent physical constraints (such as an upper bound of aircraft acceleration) in this work. Other constraints, such as regulations by the Federal Aviation Administration (FAA), will be discussed in the existing gaps of genAI (Section 4.6). The rest of this section will elaborate on these challenges, leading to genAI-enabled mitigation solutions (Section 4).
2.4.1. Large Design Space
Aircraft design relies on parameterization in the preprocessing step (Figure 1), which establishes the design variables. Conventional parameterization methods include PARSEC parameterization [206], class-shape transformation (CST) [207,208], B-spline parameterization [174,209], and free-form deformation (FFD) [210,211], to name a few [212,213]. The design space, formulated by the dimensions and bounds of design variables, plays a key role in design optimization. A design space needs to be large enough, i.e., high-dimensional design variables and wide variable bounds; otherwise, the design space may miss the real optimal design. However, a naively large design space could cause issues and challenges (Figure 7). For simulation-based aircraft design, a large design space slows down the optimization, and the unrealistic design candidates within the large design space can be challenging for simulation solvers to converge on. Similarly, surrogate-driven aircraft design also suffers from a large design space: (i) a large design space typically leads to enormous training cost, i.e., the “curse of dimensionality”; (ii) the mapping between an unrealistic design and aircraft performance is typically challenging to capture; (iii) even if surrogates can capture the mapping from an unrealistic design to aircraft performance, the unrealistic design almost never makes an optimal design.
Figure 7.
Unrealistic airfoil shapes within a large design space consisting of 18 B-spline control points for each airfoil surface. Figure is adapted from [214].
2.4.2. Excessive Computational Resources
Both simulation-driven aircraft design (Section 2.1 and Section 2.2) and adaptive-surrogate-driven aircraft design (Section 2.3.2) involve iteratively evaluating high-fidelity simulation models [215,216]. Especially, simulation-based design completely adopts high-fidelity simulation models, which can be computationally prohibitive or even practically impossible. Thus, high-performance computing resources or supercomputers are essential for simulation-based and adaptive surrogate-based aircraft designs. This limits the convenience of conducting aircraft design and the efficiency of discovering new knowledge and insights. Du et al. [174] realized a series of aerodynamic inverse design to match target pressure distributions using the pattern search derivative-free optimization since the Jacobian of pressure distribution with respect to design variables was not conveniently available. They used the open-source SU2 framework [217] solving the Euler equations. Results exhibited that high-fidelity simulation-driven optimization took up to 300∼700 h using 32 processors on a high-performance computing cluster. The multi-fidelity adaptive-surrogate-driven optimization achieved higher accuracy than the simulation-based optimal design reference and reduced the cost by around an order of magnitude, but it still took 30∼90 h on the same 32 processors (Table 1).
Table 1.
A summary of results comparing adaptive-surrogate-driven airfoil aerodynamic inverse design against simulation-driven inverse design for target pressure distributions () with lift coefficient at target () [174].
Moreover, rapid or even real-time decision-making is of great significance in the modern aerospace engineering industry, such as autonomous systems handling environment changes and aircraft improving reliability and robustness. For instance, morphing-wing aircraft can rapidly adjust wing shapes with respect to changing flight conditions for optimal flight performance during the entire flight task. However, even one-shot-surrogate-driven optimization (Section 2.3.1) can take time due to the iteration-based process and complex constraints. The inverse mapping architecture paves an avenue for real-time decision-making but has to be limited to pre-fixed optimization problem setups (Section 2.3.3).
2.4.3. Substantial Training Difficulty
This challenge is mainly about DRL since the difficulty of training supervised learning surrogates is already covered in Section 2.4.1. DRL makes a unique optimization architecture and is a special AI method that is different from supervised learning since DRL learns through interactive trial and error with the environment instead of via labels. Thus, the training difficulty is mainly due to the inherent features of DRL [180,183]. Specifically, a DRL agent explores the environment with often negative rewards due to random actions, resulting in sparse rewards, which make the learning slow and challenging. In addition, some applications have a big reward after successfully completing a task, resulting in delayed credit assignments, adding another layer of difficulty. Moreover, the balance between exploration and exploitation can be difficult. Therefore, reward design and balance between exploration and exploitation are critical in DRL training; otherwise, DRL can be extremely sample inefficient.
There has been continuous effort identifying and alleviating the difficulty of training DRL. For example, Razzaghi et al. [184] described the technical gaps in applying DRL in the aviation sector, including the sample inefficiency. A NASA report by Wu and Litt [218] presented the proximal policy optimization (PPO) DRL controller for control allocation during a coordinated turn and for thrust reallocation during a wingfan failure. Their future work included using offline DRL algorithms due to the consideration of sample efficiency. Feng et al. [219] targeted the issue of DRL training difficulty and developed a data-efficient training algorithm that set the initial state close to the goal and gradually moved the initial state farther. They presented better training performance over traditional training on drone maneuver control. There is also literature using surrogates or low-fidelity models followed by high-fidelity models to reduce the training cost of DRL. Ramos et al. [220] developed transfer learning-based DRL for airfoil aerodynamic design with a constraint on preserving initial maximum thickness. They trained the DRL on a surrogate model of XFOIL followed by DRL training on XFOIL simulations. The transfer learning-based DRL took fewer training steps compared with the DRL fully trained on XFOIL (Table 2) and outperformed swarm particle optimization in terms of the optimized lift-to-drag ratio but could not strictly satisfy the constraint.
Table 2.
Comparison of a transfer learning-based DRL with DRL fully trained on XFOIL [220]. The training steps on the surrogate were neglected due to the efficiency of surrogate evaluations.
2.4.4. Complex Design Constraints
Complex, nonlinear design constraints introduce serious impediments into aircraft design. Optimization methods that can handle constraints include the Karush–Kuhn–Tucker (KKT) analytical method, penalty methods, sequential quadratic programming (SQP), and interior-point methods [19,221].
The key steps of the KKT analytical method solving constrained optimization problems are summarized as follows:
- Lagrangian. Formulate a Lagrangian combining objective function and constraints via Lagrange multipliers and slack variables. For instance, Equation (1) can be formulated as follows:where and are Lagrange multiplier vectors for equality constraints and inequality constraints, respectively, is a slack variable vector identifying whether the corresponding inequality constraints are active or not, ⊙ is the Hadamard operator. The design variable bounds can be considered as inequality constraints with no loss of generality, but they are typically treated implicitly instead of inside the Lagrangian.
- First-order necessary optimality conditions. Solve the equation system of first-order derivatives equal to zeros for optimal designs, as well as the Lagrange multipliers and slack variables.
- Second-order sufficient optimality conditions. Verify optimality based on positive definiteness of the Hessian matrix of Lagrangian in feasible directions at the optimal design candidates.
For unconstrained optimizations, the KKT method only needs to solve the first-order-derivative equations with respect to design variables alone and verify the positive definiteness of Hessian in any arbitrary directions at the optimal design candidate. Therefore, unconstrained optimization is much more straightforward for the KKT method. The advantages of the KKT method include: (i) it transforms a constrained optimization problem to an unconstrained problem; and (ii) it automatically detects active constraints via the slack variables. The disadvantages are mainly: (i) solving the first-order-derivative equations become intractable in high-dimensional applications with complex simulation models (such as partial differential equations); (ii) Lagrangian expands the input variable space by introducing Lagrange multipliers and slack variables, which gets worse when many constraints exist.
Penalty methods, including exterior methods and interior methods, reformulate constrained optimization problems to unconstrained counterparts by combining constraints into the objective function as loss penalties [19]. For example, a quadratic exterior penalty method can reformulate Equation (1) as follows:
where and are user-defined penalty parameters of equality constraints and inequality constraints, respectively. Thus, exterior penalty methods tend to add penalties when one or more constraints are violated but have no penalty when all constraints are satisfied. In contrast, a logarithmic barrier interior penalty method can reformulate Equation (1) as follows:
where is the penalty parameter. Thus, interior penalty methods tend to add higher and higher penalties when the optimization search moves towards the boundary of constraints from within the feasible region. In sum, the key advantage of penalty methods is the simplicity for implementation and the applicability with almost all optimization methods. The disadvantages of penalty methods include: (i) they need extreme penalty parameter values (either close to infinity or close to zero) to approach the real optimal designs (if located at any constraint boundaries), which will incur an increasingly ill-conditioned Hessian; (ii) traditional exterior penalty methods always slightly violate constraints at the optimal designs that are located at constraint boundaries since the penalty parameters cannot be infinity; (iii) augmented Lagrangian exterior penalty methods alleviate this issue but there are still unexplored areas for further research, such as the convergence analysis with constant penalty parameter in nonconvex case [222]; (iv) some interior penalty methods do not have definition for infeasible designs and therefore must limit the optimization search within feasible region, which can be challenging when facing complex constraints.
SQP, a conceptual method from which various specific algorithms are derived, divides a nonlinearly constrained complex optimization problem into a series of quadratic programming subproblems that are simpler to deal with [25,223]. For the optimization problems with equality constraints alone, SQP can be derived from either the KKT conditions of the corresponding Lagrangian or the KKT conditions on a quadratic programming subproblem. However, inequality constraints bring additional complexity to SQP since inequality constraints can be active or inactive during the optimization process. A common approach for handling inequality constraints is an active-set method [19]. The active-set method formulates a working set collecting active constraints and updates the working set at each optimization iteration. For instance, the quadratic programming subproblem of Equation (1) can be formulated as follows:
where is the Hessian of Lagrangian (Equation (4)), is an update on design variables and Lagrange multipliers, and are Jacobian of equality and inequality constraints, respectively. With the support of the working set within which the inequality constraints are active, Equation (7) can be further simplified to
where is a vector of active inequality constraints. Then, Equation (1) can be solved sequentially using the simplified quadratic programming subproblem. SQP is considered one of the state-of-the-art optimization methods, but the constraints incur additional considerations and higher complexity, including constructing a positive definite Hessian and updating the working set.
Interior-point methods integrate the concepts from both interior penalty methods and SQP [19]. Similar to interior penalty methods, interior-point methods add constraints into the objective function as a penalty term but use slack variables instead of constraints, as follows:
where is a penalty parameter of interior-point methods and is a nonnegative slack variable corresponding to the jth inequality constraint. Equation (9) converts inequality constraints into equality constraints. The use of instead of as a slack variable avoids the combinatorial problem. Similar to SQP, Newton’s methods can be used to solve the KKT conditions of the Lagrangian of Equation (9). Interior-point methods are another branch of state-of-the-art optimization methods but still have drawbacks, such as ill-conditioned Hessian with small penalty parameters and implementation complexity.
3. Generative Artificial Intelligence
This section elaborates on the mathematical formulations, advantages and disadvantages of prevalent genAI methods, as well as verification metrics. DNN is introduced in this section first since DNN marks the core of these genAI methods.
3.1. Deep Neural Networks
3.1.1. Basic Setup
A neural network architecture consists of an input layer, one or more hidden layers, and an output layer. A deep stack of hidden layers makes artificial neural networks the DNN (Figure 8).
Figure 8.
General architecture of DNN. Here, N and M represent the dimension of input and output space, respectively, and L represents the number of hidden layers.
The input layer is associated with the input parameters, while the output layer is associated with quantities of interest to be predicted. Each layer contains one or multiple neurons with each having the following operation:
where is an input vector, is a vector of weights to be determined, b is an unknown bias, A is an activation function that injects nonlinearity into neural networks, and h is the output of this neuron that is used as an input for the next hidden layer. Typical activation functions include the sigmoid function, hyperbolic tangent function, ReLU function, Leaky ReLU function, etc. It is important to understand the monotonicity, range, and differentiability of activation functions to select them intelligently.
3.1.2. Model Training
The key principle of training neural networks lies in a maximum likelihood estimate where we optimize the unknown parameters to maximize the probability of observing output data conditioned on the inputs [19,58]. Thus, we formulate the objective function (also known as loss function) as a sum of the squared errors between model predictions and real observations:
where denotes the unknown parameters, is the real observation in training data, is the neural network model prediction, N is the total number of training samples, and is an norm operator. The unknown parameters are typically randomly initialized and then iteratively adjusted to minimize the loss function. DNN models typically involve a large number of unknown parameters; thus, gradient-based optimization algorithms are preferred for DNN training. Specifically, DNN typically has many inputs and few outputs, and the network structure consists of many differentiable simple functions chained together; therefore, they are well suited for reverse-mode algorithmic differentiation (AD) [19]. The AI community refers to the reverse AD as backpropagation, which is built in modern AI software packages, such as TensorFlow 2.20.0 [224] and PyTorch 2.10.0 [225]. Finding the global minimum of the loss function for a large-scale DNN is hard; however, it is more important to find a good enough solution quickly than finding the real global minimum. Thus, gradient-based training in AI uses a pre-selected step size (called the learning rate) instead of a line search to make the training more efficient. The learning rate can be manually decreased when approaching the end of training to avoid missing the minimum.
The training can take all available training data at every step, which is called batch training. Batch training uses the mean gradient of the whole data set to update the unknown weights, which move directly towards a local or global optimum solution for convex or relative smooth error manifolds. Batch training can guarantee a minimum within the basin of attraction given an annealed learning rate (decaying learning rate). Nevertheless, using the whole training data set at each step is computationally expensive and makes the algorithm more likely to get trapped in local optimal. In contrast, stochastic training takes one random training sample at every step and computes the gradients [226]. Stochastic training accelerates the algorithm because the stochasticity helps avoid local optima. The drawback of the stochasticity is that the loss function does not decrease monotonically and never settles at the minimum. One solution is to gradually reduce the learning rate during the training to settle at the global minimum. Mini-batch training [227,228] is a strategy between batch training and stochastic training, taking a random subset of the training data to compute the gradients. Generally, mini-batch training is better than batch training at getting out of local optima, and it converges more smoothly than stochastic training.
3.2. Variational Autoencoder
VAE can be seen as a type of autoencoder model that combines the compression feature of a standard autoencoder and the probabilistic modeling feature that learns a latent space from which new, realistic data can be generated.
Autoencoder consists of encoder networks, a bottleneck layer, and decoder networks. The encoder has decreasing numbers of neurons from the input layer to the narrowest layer (also known as the bottleneck layer), representing a process of compressing input into a reduced latent space. In contrast, the decoder has increasing numbers of neurons from the bottleneck layer to the output, representing a process of reconstructing the original input (at the output layer) from the reduced dimensions at the bottleneck layer. Thus, training an autoencoder aims to minimize the difference between the original input () and the reconstructed data () at the output layer as follows:
Once trained, the bottleneck together with the encoder is used for nonlinear dimensionalit reduction.
VAE follows a similar structure architecture as an autoencoder except that VAE encodes an input as a distribution over the latent space instead of a single point (Figure 9). This is realized by adding a layer containing a mean and a standard deviation for each latent variable. To ensure the regularization of the encoded latent space, the prior distribution of the latent space is assumed to be the standard normal distribution. The encoder-approximated distribution is expected to match the prior distribution via Kullback–Leibler (KL) divergence: . In the meantime, the reconstruction error is still maintained to guarantee the performance of the autoencoder. For more details, please refer to Kingma and Welling [79] and Kingma and Welling [80].
Figure 9.
General architecture of variational autoencoder, consisting of the encoder networks, a latent space, and the decoder networks.
An autoencoder is an unsupervised technique for dimensionality reduction by reading, compressing, and then recreating the original input. In contrast, a VAE model assumes the source data belongs to implicit probability distributions and attempts to infer the distribution parameters, through which a VAE model generates new data related to the original source data. Autoencoder and VAE models have been introduced to aircraft design. Rios et al. [229] applied PCA, kernel PCA, and autoencoder for a compact representation of 3D vehicle shape design space to advance the optimization performance. They showed that they could modify the geometries more locally with the autoencoder than with the remaining methods and verified that the autoencoder representation improved the optimization performance. Wang et al. [230] extracted the VAE variables to represent flow fields of supercritical airfoils and applied a DNN model to capture the mapping between airfoil shapes and the VAE variables.
3.3. Generative Adversarial Networks
GAN consists of two neural network models, i.e., a generator and a discriminator, competing against each other (Figure 10) [81]. The goal of training the generator is to generate data that maintains similar patterns and properties as the provided training dataset. In contrast, the discriminator distinguishes between the generated data and the training data. Specifically, the generator networks produce generated shapes () corresponding to random variables (), which typically follow user-assigned distributions. The discriminator networks aim at differentiating the existing data () and . The generator training adjusts the weights () and leads the probability of being from the existing data () towards . In contrast, the training discriminator adjusts the weights () and leads () towards and the probability of being from the existing data () towards . At the end of the training, the generator generates new shapes similar to the existing data. Ideally, and are around for all samples, but it is difficult to achieve [81]. This process is mathematically formulated as a minimax problem [82],
where is sampled from the existing training data distribution .
Figure 10.
GAN pairs the generator networks with the discriminator networks, improving on other generative models, such as VAE.
Compared with a VAE model, a GAN generates new data samples more correlated to an original source data set by incorporating the discriminator networks. However, a GAN model is hard to train to reach the perfect equilibrium state, i.e., the discriminator-predicted probability of generated samples being realistic is 0.5 within the whole GAN variable space [231]. Another commonly known problem of GAN is mode collapse. Mode collapse happens when the generator starts producing the same output (or a small set of outputs) over and over again. Thus, a GAN model cannot generate a wide variety of outputs. A common solution to mode collapse is using the Wasserstein loss function (termed WGAN), which helps the discriminator get rid of the vanishing gradient issue [232]. Therefore, the discriminator trained through the Wasserstein loss function does not get stuck in local minima and learns to reject the outputs that the generator stabilizes on. However, Arjovsky et al. [232] also mentioned that “Weight clipping is a clearly terrible way to enforce a Lipschitz constraint”, which leads to the issues of unstable training or slow convergence.
3.4. Diffusion Model
Diffusion models get the name “diffusion” from the concept of diffusion processes in physics and chemistry [83,233]. In natural science, diffusion describes a process where particles spread out from a high-concentration region to a low-concentration region over time. Following this principle, diffusion models read training data and “diffuse” the data by subsequently adding random noise (often Gaussian noise) until the training data become pure noise. The above diffusion process is the first step of diffusion models, changing original structured data () to pure noise (), as shown in Figure 11. The second step of diffusion models is called the reverse process, where diffusion models transform random noise () into a sample from the target distribution (Figure 11).
Figure 11.
General process of diffusion model consists of a forward process (i.e., diffusion process, solid arrows) and a reverse process (dashed arrows). Figure is adapted from [83].
The diffusion process is fixed to a Markov chain that gradually adds Gaussian noise to the data according to a variance schedule :
where can either be learned by reparameterization or held constant as hyperparameters. In addition, the diffusion process admits sampling at an arbitrary time step t in closed for
where and .
In contrast, the reverse process, , is defined as a Markov chain with learned Gaussian transitions starting at :
where the time-dependent parameters ( and ) of the normal distribution can be learned during the training of diffusion models.
A diffusion model is trained by finding the reverse Markov transitions that maximize the likelihood of the training data, which is simplified as follows:
where t is uniform between 1 and T, , and is a function approximator intended to predict from . Please refer to Ho et al. [83] for more details.
Diffusion models have been recognized for high-quality data generation, stable training, and mode coverage, compared with GAN models. Dhariwal and Nichol [234] reported superior image sample quality on a series of benchmark image datasets compared with GAN. However, a major drawback of diffusion models is the slow sampling process due to many iterative denoising steps, which does not fit well with the scope of rapid or real-time decision making. There have been studies aiming to improve the inference speed of diffusion models, such as DiffusionGAN [235], Wavelet DiffusionGAN [236], and Latent Denoising Diffusion GAN [237]. Latent Denoising Diffusion GAN employed pre-trained autoencoders to compress images into a compact latent space and used the generator-discriminator GAN architecture, significantly improving inference speed and image quality. Diffusion models have attracted interest and achieved success in aircraft design. For example, Wang et al. [238] proposed to use conditional diffusion models to directly generate designs subject to performance metrics, such as buffeting lift coefficient, cruise drag coefficient, and thickness. The results showed that the diffusion models offered great diversity and design space exploration capability and outperformed conditional VAE. However, within the scope of aircraft design, diffusion models cannot provide explicit dimensionality reduction since the noise space and the data (or feature) space have the same dimensions.
3.5. Transformer
Transformer is a transduction model with superior performance in terms of high transduction quality and reduced training time [85]. Early sequence transduction models adopt complex CNN or RNN with an encoder and a decoder; however, these models conduct computations along the symbol positions of the input and output sequences. This inherent sequential operation precludes parallelization, which is critical at longer sequence lengths. Transformer entirely relies on an attention mechanism to capture global dependencies between input and output sequences, revolutionarily enabling the parallelization feature.
A transformer also incorporates the encoder–decoder architecture from recurrent and convolutional transduction models (Figure 12). The encoder layer is composed of two sub-layers, i.e., a multi-head self-attention mechanism and a position-wise fully connected feed-forward networks. Each sub-layer is followed by a residual connection (to avoid vanishing gradients and improve training efficiency) and a normalization layer (to stabilize training and promote training convergence). The encoder layer can be repeated multiple times to improve the generalization performance, but the model complexity and training difficulty also increase. Therefore, Vaswani et al. [85] set six identical layers for the encoder as well as the decoder. The decoder follows a similar configuration as the encoder, except that the decoder inserts a third sub-layer, i.e., a multi-head attention over the output of the encoder.
Figure 12.
General architecture of a transformer model, consisting of an encoder (top) and a decoder (bottom).
Transformer models enable parallelization and scalability for faster training and larger models compared with RNN and relevant variations. Transformer models entirely rely on the attention mechanism to directly relate tokens, regardless of distance. Moreover, transformer is convenient for transfer learning to handle different tasks. However, the attention mechanism within transformers typically incurs high computational cost and memory complexity. Moreover, autoregression generates tokens sequentially, which can be slow for real-time applications, including rapid aircraft shape design. Chen [239] proposed a novel deep learning model based the transformer architecture to address long-term dependencies for predicting aero-engine remaining useful life. They introduced a position-sensitive self-attention unit to incorporate local context in a gated hierarchical LSTM network for the regression task. The results confirmed the superior performance of the proposed model compared with existing references.
3.6. Physics-Enhanced Generative Artificial Intelligence
Rising trends in AI modeling, including genAI, tend to incorporate prior physics knowledge for enhanced performance. Representative effort includes physics-aided kriging [240], physics-informed neural networks (PINN) [241,242,243], and physics-informed neural operator (PINO) [244,245,246,247]. PINN integrates physics-based governing equations, e.g., ordinary differential equations and partial differential equations, into the training loss function based on the backpropagation-enabled derivative computation. Due to this feature, a well-trained PINN automatically respects the governing physics. In addition, PINN could realize the data-free training, which entirely relies on the governing physics. Since the first papers proposing the PINN concept [248,249], there has been a large body of literature applying and extending PINN. In aerospace engineering, PINN has achieved success in aeroacoustic predictions, landing gear systems, mechanical properties of a helicopter blade, and hypersonic flows, to name a few [250,251,252,253]. Despite its popularity, PINN still has a few key drawbacks, such as training instability, scalability to high-dimensional problems, and loss balancing between governing equations and boundary and initial conditions. Moreover, within the scope of aircraft design, which requires iteratively evaluating intermediate design candidates (such as airfoil and wing shapes), a trained PINN can only work with one set of pre-fixed boundary and initial conditions.
Physics-enhanced genAI is also of great value in engineering applications, especially in aircraft design. Specifically, data-driven genAI learns a probabilistic distribution of a training dataset (such as airfoil or wing shapes) and produces shapes from the learned distribution. Fusing physics (such as the design requirements or constraints) into data-driven genAI further transforms or shrinks the learned distribution. Thus, physics-enhanced genAI enables the possibility that generated shapes inherently satisfy design requirements, which could enhance the optimization performance. Conditional genAI has been introduced to handle equality constraints and flight conditions, which are used as conditional labels [254]. In terms of inequality constraints, Sisk and Du [255] pioneered the physics-constrained genAI that transformed an original design space to a feasible design space where all design candidates automatically satisfied all constraints. They conducted unconstrained optimization on the feasible space (in lieu of the original constrained optimization with complex nonlinear constraints) and successfully demonstrated the effectiveness and efficiency. Please refer to Section 4.4 for more details.
3.7. Verification Metrics
Verification on genAI performance, such as predictive error and fitting error, is essential to demonstrate its effectiveness. Verification metrics used in the literature mainly include mean absolute error (MAE), mean average percentage error (MAPE), mean squared error (MSE), relative MSE ( error), root MSE (RMSE), mean relative norm error ( error), coefficient of determination (), Fréchet distance (FD), and e-distance [256], which are mathematically formulated as follows:
where n is the number of testing points, subscripts and correspond to real and gen-AI produced data, respectively, denotes data (such as airfoil coordinates), and are and norm operations, respectively, is the mean vector of the data, is the covariance matrix of the data, is the trace operation, and the e-distance is nonnegative since it equals a squared Hilbert-space distance between real and generated data distributions.
4. Generative Artificial Intelligence in Aircraft Design
This section reviews the genAI advancements in aircraft design, corresponding to the existing challenges (Section 2.4). Specifically, this section summarizes the advanced features brought by genAI from the following four aspects: intelligent parameterization, predictive modeling, training facilitation, and constraints handling.
4.1. Intelligent Parameterization
Intelligent parameterization refers to the fact that genAI generates only plausible shapes (such as airfoils and wings) that are realistic (e.g., no weird wiggles or sudden changes). As a result, genAI realizes implicit design space reduction by automatically removing design regions that contain unrealistic shapes. In some applications, genAI parameterization can also realize explicit dimensionality reduction by explicitly lowering the dimension of the original design space, termed explicit design space reduction. Thus, genAI-enabled intelligent parameterization alleviates the challenge of naively large design space (Section 2.4.1). As a result, intelligent parameterization directly benefits surrogate modeling (such as kriging, PCE, and DNN) and also enhances the optimization search efficiency within aircraft design. For example, integrating genAI with kriging and PCE can permit the advantages of kriging (for predictive confidence bounds) and PCE (for uncertainty quantification and sensitivity analysis) in high-dimensional applications. This section elaborates on both implicit and explicit dimensionality reductions delivered by genAI.
4.1.1. Implicit Dimensionality Reduction
Implicit dimensionality reduction refers to the fact that genAI produces only realistic shapes and automatically removes unrealistic design region within the original design space. For example, genAI methods generate airfoil shapes with no weird wiggles or sudden changes on the airfoil surfaces [91]. A wide range of literature has reported success using genAI in airfoil, wing, aircraft trajectory generations, with broad applications demonstrated through SDO (such as aerodynamic design and aircraft structural design under uncertainty) and MDO (such as aero-stealth design and aircraft trajectory generation), as shown in Table 3.
Table 3.
Representative genAI-based shape parameterization/generation within the scope of aircraft design.
VAE has achieved success in airfoil and wing parameterization, further promoting relevant SDO and MDO. Swannet et al. [267] introduced VAE for airfoil parameterization and studied how the latent variables were related to the physical features of airfoils. Kang et al. [257] developed a novel VAE architecture for airfoil generation and investigated the disentanglement of latent representation. They used two sets of encoder–bottleneck–decoder configurations, i.e., one for thickness and the other one for camber of airfoils, in order to improve physical interpretability. A B-spline layer on each decoder ensured the generated airfoils using thickness, and camber distributions were smooth. They also investigated the effects of the weighting factor on the representation disentanglement, which is also known as -VAE. When , they achieved almost independent latent variables, which improved randomly generated airfoils to be smooth and realistic. Their following work [258] integrated a physical loss term during the VAE training to enforce the alignment of the VAE latent space with geometric features (i.e., maximum camber, maximum thickness, trailing edge direction, and leading edge radius) of the airfoils. Literature review has revealed the trend of increasing physical interpretability of VAE models, which agrees well with the needs of interpretable machine learning and explainable AI [268,269,270,271,272,273]. Another emerging VAE variation branch, cVAE, tends to incorporates physical features (such as desired aerodynamic characteristics) as labels, such that a trained VAE model generates various shapes matching the labeled physics. Thus, cVAE is used to handle equality constraints, which is reviewed in Section 4.4.1.
Besides the aforementioned successful applications in airfoil and wing parameterization, VAE also works well with dynamic systems [274,275]. Among dynamic system applications, aircraft trajectory generation is of particular interest for addressing data scarcity, protecting sensitive information, and supporting large-scale analyses [263,276,277]. As summarized by Krauth et al. [278], simulation-driven methods generate aircraft trajectories that follow the flight dynamic equations but are computationally prohibitive to incorporate uncertainties and stochasticity. They realized 4-dimensional aircraft trajectory modeling using a VAE method based on temporal convolutional networks [279] and a prior distribution composed of a variational mixture of posteriors [280]. The proposed model was trained and successfully verified on trajectories in the Terminal Manoeuvre Area of Zurich airport. Olive et al. [281] proposed metrics to evaluate generative performance, which facilitated the comparison and benchmarking among genAI methods. Ezzahed et al. [282] focused on the explainability of VAE applications in aircraft trajectory generation by introducing interpretability concepts (such as divergence plots and mean curvature plot) [283]. The completed work has shown promising performance using VAE, or generative models in general, for enlarging datasets, enhancing data privacy, etc. There are also other advanced VAE variants for path generations in other engineering areas [284,285] that can be extended to aircraft trajectory generation within the scope of aircraft design.
In contrast with VAE, GAN models pair a generator with a discriminator to facilitate the quality of generated geometries. Chen and Fuge [286] developed a GAN model for airfoil parameterization with a Bézier curve layer on top of the generator to guarantee the smoothness of generated airfoils, termed BézierGAN. They showed the outstanding performance of the BézierGAN compared against GAN models without the smoothing layer. Du et al. [91] developed the B-spline-based GAN (BSplineGAN) by introducing a B-spline layer to provide more flexible control and conducting fitting optimizations towards the training data (i.e., the UIUC airfoil dataset) to guarantee sufficient variations (Figure 13).
Figure 13.
The BSplineGAN model captures salient structured semantic features by maximizing mutual information between existing data and latent variables (). The B-spline layer within the generator guarantees smooth airfoils.
They demonstrated the eminent performance on randomly generated airfoils compared against random B-spline curve generations (Figure 14).
Figure 14.
Comparison of randomly generated airfoils by BSplineGAN against B-spline curve parameterization [91]: B-spline curves of 18-th order with 18 control points on each airfoil surface (left); and 18-th order B-spline curves (18 control points on each airfoil surface) as the last one layer of the generator networks (right).
The BSplineGAN model enabled effective surrogate modeling and surrogate-based rapid airfoil aerodynamic design. Chen and Ramamurthy [262] developed the free-form-deformation GAN (FFD-GAN) for wing parameterization and aerodynamic design. To prepare a viable training dataset for the success of GAN modeling, they uniformly selected 4∼8 wing sections, each of which used an airfoil profile randomly selected from the UIUC airfoil database, and linearly interpolated wing coordinates between sections for a smooth transition. Wang et al. [259] used VAE-GAN, which coupled VAE with a discriminator of GAN, for airfoil synthesizing and realized airfoil aerodynamic design. Wang et al. [287] introduced a multi-species GAN for three-dimensional surface generation (such as propeller blade surfaces) and integrated Wasserstein distance and gradient penalty for training stability and convergence. In sum, vanilla GAN and variants have demonstrated capable generation performance, as expected. The issues, such as mode collapse and training instability, have been alleviated through Wasserstein distance and gradient penalty methods [288,289,290]. Especially, advanced strategies developed in other areas (such as Gulrajani et al. [291] in computer science) should be introduced to aircraft design. Moreover, training data is a key component of generative models (including VAE and GAN), while genAI-based airfoil/wing parameterization in the literature mainly rely on the UIUC airfoil dataset. More generalized strategies of data acquisition are needed for the purpose and convenience of extending genAI to other engineering areas. In addition, further applications in other aircraft design subfields, besides aerodynamic shape design [292,293], are expected due to the performance and generality of GAN models.
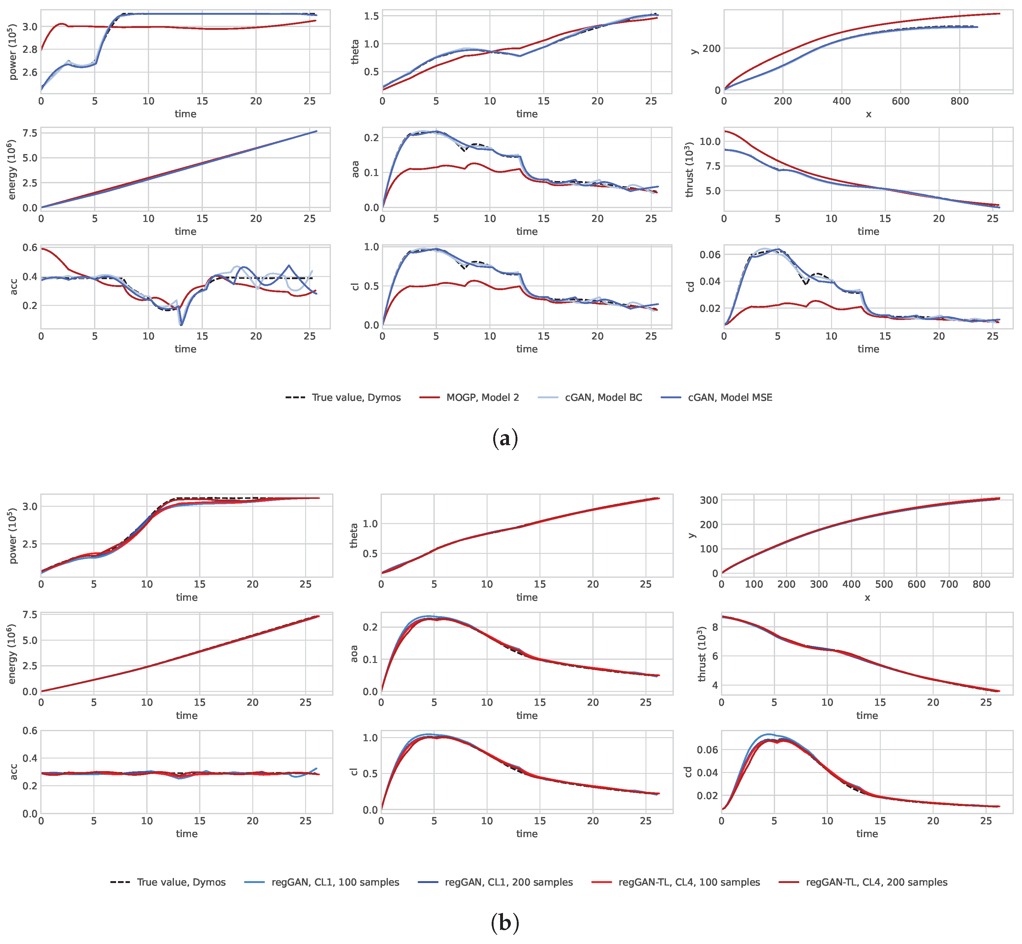
GAN is also introduced for data augmentation of aircraft trajectories using simulation data and real flight data. Novel GAN architectures (such as TimeGAN [294] and WaveGAN [295]) from other engineering fields are extended to aircraft trajectory generation [296,297]. Desired and successful applications include atypical trajectory detection [298], contingency management [299], and aircraft takeoff trajectory control profiles [94,139], to name a few. Wijnands et al. [296] focused on four-dimensional aircraft landing trajectories due to the complex and varied path patterns. They applied the TimeGAN [294] architecture (Figure 15) to 18,000 landing trajectories collected at the Zurich Airport.
Figure 15.
The architecture of TimeGAN [294,296]. Here, and denote the parameters in static and temporal space, respectively, and denotes the GAN variables.
The embedding networks converted high-dimensional time-series data to a compact latent space while the recovery networks reconstructed the original data from the latent space for data preservation, which is similar to an autoencoder (Section 3.2). The generator produced synthetic latent sequences that were reconstructed by the recovery networks, while the discriminator differentiated synthetic data from real sequences to improve the generator. The training loss included a reconstruction loss corresponding to the autoencoder, unsupervised loss (i.e., adversarial loss) corresponding to the GAN, and a supervised loss to guarantee the step-by-step relationship in time series. Jarry et al. [298] trained a GAN model using 4401 A320 landing trajectories on Runway 26 from the flight data monitoring records at the Paris Orly Airport. Besides trajectory generation, they also used the discriminator for atypical landing trajectory detection to improve aircraft and airport safety since the discriminator was trained to differentiate realistic and atypical trajectories. They also developed an autoencoder-like GAN architecture to check the reconstruction difference, which was used as a metric to detect atypical trajectories. Sisk and Du [94] developed a twin-generator GAN (twinGAN) to parameterize control profiles (i.e., power and wing angle to vertical in their work) for an electric vertical takeoff and landing (eVTOL) drone (Figure 16). The twin-generator configuration enabled generation flexibility between different control groups. They realized surrogate modeling and surrogate-based takeoff trajectory optimal designs at lower than 5% error and around 26 times higher efficiency than simulation-based optimization references.
Figure 16.
Comparison between training data and generated data by twinGAN: (a) power profiles in the training dataset; (b) generated power profiles by twinGAN; (c) wing angle profiles in the training dataset; (d) generated wing angle profiles by twinGAN. Figure is reproduced from the author’s previous work [94].
The literature has shown the superior generation performance of GAN; however, not much work directly compares GAN with VAE for generation capabilities.
Diffusion models also exhibit powerful parameterization capability and data efficiency for airfoil shapes [300] but are not as widely used as VAE and GAN. The reason resides in the fact that the dimension of the latent space of a diffusion model remains the same as the original data, which limits the feature of explicit dimensionality reduction (Section 4.1.2) that is available in VAE and GAN. For example, Graves and Barati Farimani [301] constructed a diffusion model directly on airfoil coordinates (Figure 17).
Figure 17.
A diffusion model using airfoil coordinates as training data. Blue arrows denote the forward diffusion process, while green arrows are the reverse generation process. The figure is adapted from Graves and Barati Farimani [301].
Besides remaining at the same dimension as airfoil coordinates [300], dimensionality reduction strategies, such as principal component analysis [302], can preprocess the training data into a lower dimension for diffusion models. However, this may complexify the model setup and training process. Similar with cVAE and conditional GAN (cGAN), conditional diffusion models attract attention for generation geometries that inherently satisfy target flight performance. Please refer to Section 4.4.1 for more details.
Transformer models excel at generating sequence data; thus, transformers are not widely used for airfoil, wing, or aircraft shape generation yet. In terms of aircraft trajectory, both diffusion and transformer families are more commonly used for aircraft trajectory prediction (which is crucial for traffic flow prediction, delay prediction, conflict detection, etc.), instead of trajectory generation, as far as the literature exhibits. Larsen et al. [303] dealt with severe data scarcity at secondary and regional airports using transfer learning. They pretrained a diffusion model on Zurich landing trajectory datasets and fine-tuned the model on Dublin datasets with various amount of local data. They verified the viability and performance of the transferable generative model concept. Yoon and Lee [304] developed and successfully demonstrated a framework using transformer, principal component analysis (PCA), and Gaussian mixture model (GMM). They converted aircraft trajectories into a context vector in a latent space using a transformer model due to the superior representation capability for long sequences. PCA was used to reduce the dimension of the converted data, followed by GMM fitting the probability distribution of the reduced-dimensional data. Thus, synthetic aircraft trajectories were generated at low dimension and reverted to the original dimension. The long-sequence representation capability is a favorable feature of transformer models.
4.1.2. Explicit Dimensionality Reduction
Besides the implicit dimensionality reduction feature (Section 4.1.1), genAI models is also capable of explicitly reducing a design space to a lower dimension, termed explicit dimensionality reduction. For example, Swannet et al. [267] used only six dimensions to represent 199 coordinates of each airfoil in the UIUC database. Conventional explicit dimensionality reduction methods include PCA [305,306,307,308] and dynamic mode decomposition (DMD) [309,310,311,312]. While PCA and DMD, as well as the extensions of these methods, have successfully reduced the dimensionality, their optimal linear bases exhibit limitations when working with complex non-linear interactions, such as turbulent flows [313,314]. Autoencoder outperforms PCA on multiple demonstration cases in the literature [315,316,317]. Thus, VAE has exhibited superior performance of explicit dimensionality reduction due to the inherited model architecture from autoencoder [318,319,320,321]. Moreover, GAN also presents the capability of explicit dimensionality reduction through its latent space [322,323], as well as through coupling with the autoencoder architecture [324,325]. This section elaborates on the explicit dimensionality reduction enabled by VAE and GAN due to the exhibited success in the literature of aircraft design (Table 4).
As a reference, multiple studies on airfoil design optimization used around 20 design variables [326,327,328]. He et al. [329] conducted a parametric study on the optimal drag coefficient of airfoil shape design with respect to the number of design variables within transonic viscous flow. They concluded that increasing the dimension of design space from 20 to 40 only reduced the optimal drag coefficient by 1.16 counts (i.e., ). In wing shape design optimization, 200∼1000 design variables are commonly used to parameterize the wing geometry [175,330,331].
Table 4.
Representative genAI-based explicit dimensionality reduction within the scope of aircraft design. The original dimensions that are smaller than 100 are dimensions of conventional parameterization variables (such as B-spline control points), while the dimensions greater than 100 are airfoil/wing/trajectory coordinates.
VAE and variants are introduced for explicit dimensionality reduction of airfoils [267,332], flow fields [334], as well as trajectories [278]. Kou et al. [332] realized a 4-latent-dimensional VAE parameterization for airfoil aeroacoustic design and compared the results against class/shape function transformation-based optimization. VAE presented low reconstruction error (i.e., MSE) as well as FD value, meaning sufficient recovery and variability within the VAE latent space. The VAE-based dimensionality reduction enabled derivative-free aeroacoustic optimizations, which revealed optimal designs with improved performance. Krauth et al. [278] proposed the temporal convolutional VAE (TCVAE) trained on 14,000 landing trajectories of the Zurich Airport and tested on 3000 trajectories with 800 features. They demonstrated the performance of the proposed TCVAE model not only on estimating the distribution of original trajectory data but also on the flyability of generated trajectories under uncertainty due to weather, air traffic control, aircraft performances, or human factors. Results demonstrated that TCVAE outperformed GMM on estimating data distribution and was successfully verified in terms of flyability using the open-source BlueSky simulator. In sum, VAE has showcased the power of nonlinear dimensionality reduction due to the inherent autoencoder architecture.
GAN is another competitive option for nonlinear explicit dimensionality reduction in aircraft design applications, ranging from airfoil parameterization [91,93,336] to aircraft trajectory generations [298,335]. BézierGAN, developed by Chen et al. [93], represented airfoil coordinates based on 10 noise variables and 8 latent variables, which was compared with FFD, singular value decomposition (SVD), and genetic modal design variables (GMDV). Results showed that SVD and GMDV had slightly better reconstruction performance than BézierGAN since they possessed analytical solutions to the least-squares problem [93]. However, BézierGAN achieved the highest performance coverage within the lift–drag space and the most realistic, smooth airfoil surfaces. Du et al. [91] conducted parametric studies on BSplineGAN to guarantee a ≤1% fitting error using 10 noise variables and 16 latent variables. In their following work, Hazem et al. [333] investigated deeper into the dimensionality reduction of generative models, including the effects of training data. They applied GAN on 1000 optimal airfoils with respect to a pre-defined flight-condition space; only 4 variables were needed to replace 20 FFD control points and achieve 1% relative norm error. The generated airfoils ideally covered the range of the training dataset (Figure 18). Meanwhile, the generated airfoils were not as general as the UIUC airfoil dataset and BSplineGAN; however, this work was more problem-specific and reduced the design space further, which could facilitate surrogate modeling, optimization search, and other further applications.
Figure 18.
A comparison of all training data (left) and 1000 randomly generated airfoils (right) using GAN [333].
As introduced in Section 4.1.1, Chen and Ramamurthy [262] developed the FFD-GAN for intelligent wing parameterization. Following this work, Wang et al. [287] developed a multi-species GAN (MS-GAN) model by incorporating PCA into FFD for higher deformation ability and WGAN with gradient penalty (termed, WGAN-GP) to ensure stability and convergence of model training. They compared MS-GAN with FFD parameterization and FFD-GAN. Provided with the same number of latent variables, MS-GAN has been consistently outperforming FFD-GAN in terms of multiple metrics, such as t-distributed stochastic neighbor embedding (t-SNE), maximum mean discrepancy (MMD), feasible ratio, relative variance of difference (RVOD), and Residuals of Linear Fitting (RLF). The 32-latent-variable MS-GAN was shown to generate propellers with higher diversity and smoothness.
In terms of trajectory generation, multiple studies have achieved successful dimensionality reduction, including Jarry et al. [298] and Sisk et al. [335]. Sisk et al. [335] investigated further into the twinGAN-based dimensionality reduction for takeoff trajectories of eVTOL drones, following their prior work [94]. The control input profiles were parameterized using B-spline control points, i.e., 20 for power profile and 20 wing angle profile, as well as the total takeoff duration. The twinGAN model managed to reduce the design space from 41 (i.e., 20 + 20 + 1) down to 4 (i.e., 3 + 1) with around 1% relative fitting error to preserve sufficient variability. They also discovered that the twinGAN model could achieve <1% relative error on the objective function (i.e., energy consumption) using only one latent variable. Considering the fitting performance on reconstructing control input profiles, they eventually selected three latent variables for surrogate modeling and design optimization. In their recent work [255], they aimed to train the physics-constrained GAN (physicsGAN) model based on twinGAN targeting feasible trajectory generations. In the meantime, they reduced the design space (consisting of twinGAN variables and takeoff duration) from four to three since physcisGAN generated takeoff duration together with control profile values. Please refer to Section 4.4.2 for more details.
4.2. Predictive Modeling
In addition to intelligent parameterization, genAI is capable of directly working as surrogate models to address regression tasks, i.e., predictive modeling, in broad subfields of aircraft design (Table 5 and Table 6). The predictive capability is mainly corresponding to the challenge of excessive computational resources in aircraft design (Section 2.4) to promote one-shot-surrogate-based design optimization and inverse mapping. Due to the numerous successful applications in aircraft design and other engineering areas, this section reviews each genAI method in separate subsections, each of which also highlights representative work from other engineering areas.
Table 5.
Representative genAI-based predictive modeling within the scope of aircraft design (Part 1).
Table 6.
Representative genAI-based predictive modeling within the scope of aircraft design (Part 2).
4.2.1. Variational Autoencoder for Regression Tasks
VAE has been introduced to regression tasks in multiple engineering areas, such as computer vision [361] and ground vehicle aerodynamics [362]. Zhao et al. [363] proposed a supervised VAE for regression conditioned on labeled information and successfully demonstrated on brain aging applications (Figure 19). Zhuang et al. [364] extended this work for semi-supervised regression tasks that involved labeled and unlabeled public data. They realized this by replacing the label loss term with an entropy term that was computed based on the assumption that the learnt approximate prior followed a normal distribution. Their regressor could also estimate the variance of the predictions, which provided an uncertainty quantification feature.
Figure 19.
A VAE-based regression model proposed by Zhao et al. [363].
In aircraft design, Chang et al. [365] proposed an attention-based VAE to predict aircraft engine remaining useful life (RUL) (Figure 20). They adopted bi-directional gated recurrent unit (Bi-GRU) networks and attention mechanism to extract important hidden features. They modified the original VAE loss function by incorporating prediction errors to favor predictive performance.
Figure 20.
A VAE architecture proposed to predict aircraft engine RUL. Here, x denotes sensor-measured data (such as temperature and pressure), and L is the number of sensors used for collecting data. Figure is adapted from Chang et al. [365].
Shin et al. [337] used VAE to handle incomplete and heterogeneous data for aircraft conceptual design. Incomplete datasets were claimed to be a common issue in real-world applications due to security protection and aircraft complexity. They demonstrated the performance of VAE and other machine learning methods, i.e., k-nearest neighbors (K-NN) and random forest (RF), on the dataset of aircraft served in World War II. To validate the imputation performance, they first imputed the original incomplete data and used them as original data, then removed existing data and re-imputed them to compare the predictive difference against the removed reference [337]. Despite these successful applications, VAE-based regression models are not widely used. A possible reason is that the encoder–bottleneck–decoder structure of VAE is more challenging to train for end-to-end regression tasks. To alleviate this issue, VAE can be trained first to extract the reduced-dimensional, latent space, where other predictive models are used to complete regression tasks (see Section 4.3).
4.2.2. Generative Adversarial Networks for Regression Tasks
In contrast with VAE, there are wide GAN-related regression applications [366,367,368,369,370,371,372,373,374] thanks to the inherent unique adversarial mechanism and the separate generator and discriminator networks. The broad spectrum of successful engineering applications includes frying oil deterioration [367], industrial soft-sensing case [369], composite materials [370], text regression [373], etc. The architectures that are commonly used in regression tasks are mainly cGAN [371,372,373] and vanilla GAN with improvements (such as fuzzy logic layer) [366,367,369]. The cGAN typically predicts quantities of interest as generated labels based on input variables which will be send to the discriminator together with the corresponding real labels [371,372]. Nguyen et al. [366] introduced a fuzzy logic system into GAN (as the top layer of the generator, the discriminator, or both) to improve the predictive performance. They concluded that the most favorable fuzzy logic-based GAN architecture was problem-specific, but fuzzy logic-based GAN did improve the predictive performance of vanilla GAN. Although the generator is typically used to complete the regression tasks [366,367,372,373] (Figure 21), the discriminator [366] or both [369] are also used in some studies.
Figure 21.
An example of generator-based regression modeling using GAN [367].
GAN-based regression models have also achieved success in aircraft design (Table 5), ranging from airfoil design [339,341,375] to flow field prediction [342,345,376,377] and wing structure noise [344]. The completed work mainly use the operating conditions (such as Mach number and angle of attack) and/or desired performance targets (such as target lift coefficient) as labels together with noise variables as the input of a cGAN structure [339,341,375]. Meanwhile, there is also research realizing regression tasks without using noise variables [342,376]. Chen et al. [341] proposed a conditional entropic BézierGAN based on optimal transport regularized with entropy (Figure 22). They integrated entropy into conditional BézierGAN due to the hypothesis by Arjovsky and Bottou [378] that vanilla GAN models suffered from the discontinuity of Jensen–Shannon divergence over distributions concentrated on low-dimensional manifolds embedded in high-dimensional spaces. They concluded that the proposed method overcame mode collapse and improved the training stability and efficiency. The proposed method also improved the lift–drag efficiency of airfoil predictions. Other work followed a similar process but with other mechanism for improved performance, such as the regression attention mechanisms to establish a known relationship between variables Jiang and Ge [369]. The Wasserstein distance was also a common strategy to stabilize the training process [376]. Wu et al. [376] presented a novel data-augmented GAN to address regression tasks on sparse datasets and demonstrated the model on airfoil flow field predictions (Figure 23). They used Mach number and 14 Hicks–Henne variables parameterizing airfoils as input of generators. The training process consisted of two steps: (i) pre-training the GAN for regression tasks, as shown at the top of Figure 23; and (ii) fine-tuning the pre-trained generator (G1) with an unconditional discriminator, as shown at the bottom of Figure 23. During the fine-tuning step, a second generator (G2) was initialized with G1 parameters and used for data augmentation to compensate the sparse datasets, meaning that G2-generated data was considered as real data. Thus, G1 and G2 were trained in turns adversarially, and G1 was constrained by the sparse training data to avoid catastrophic forgetting and used for prediction tasks eventually. The GAN models have been witnessed to achieve promising success for regression tasks in aircraft design; however, most completed work did not directly compare predictive performance between GAN and popular regression models, such as FFN.
Figure 22.
Architecture of the conditional BézierGAN while the conditional entropic BézierGAN shares the same architecture but does not need the discriminator. Figure is adapted from Chen et al. [341].
Figure 23.
General process of a data-augmented GAN consists of two steps: pre-training (top) and fine-tuning with data augmentation (bottom). Figure is adapted from Wu et al. [376].
Du and Martins [343] proposed a new multi-fidelity modeling architecture (Figure 24) based on super-resolution GAN (SRGAN) [379] and showed improved predictive performance over FFN and low-fidelity models (Figure 25). On the one hand, the generator completed the super resolution (multi-fidelity modeling) process on low-resolution (low-fidelity) data (i.e., pressure distribution in this work) through FFN. On the other hand, the discriminator read both the generated super-resolution data and the high-resolution (high-fidelity) existing data to differentiate them. This made an adversarial competition, which led to an adversarial loss function to train the generator and the discriminator. Plus, SRGAN also minimized the pixel-wise difference between super resolution and the high-resolution counterpart (called content loss) for training the generator. Eventually, SRGAN predictions achieved 98.5% relative generalization accuracy on the testing data set. However, a limitation of SRGAN for multi-fidelity modeling is that SRGAN requires the same amount of high-fidelity training samples as the low-fidelity training samples.
Figure 24.
The architecture of SRGAN. Here, and are the adversarial loss and content loss, respectively. Figure is adapted from Du and Martins [343].
Figure 25.
Comparison of predictive performance against high-fidelity pressure distribution among low-fidelity, FFN, and SRGAN.
Moreover, aircraft trajectory prediction, which is different with aircraft trajectory generation targeting data augmentation (Section 4.1), is essential to enhance air traffic safety, accelerate air traffic flow, and improve air traffic management efficiency. The completed work mainly uses currently observed trajectories as labels and GAN noise variables as input to generate the complete trajectories within a cGAN architecture [346,380,381]. Successful development and applications range from short-term [346] to medium- and long-term [382,383,384] aircraft trajectory prediction. Hu et al. [346] proposed to predict multi-horizon trajectory in a single step using Conv1D-, Conv2D-, and LSTM-based cGAN. They collected 2028 real-world trajectories from Beijing to Chengdu in China and preprocessed the data to consistently have 200 time-step aircraft states. They concluded that Conv1D-based conditional GAN achieved the highest predictive performance while using the least training and inference time in their cases. However, the observed aircraft states were fixed for 40 time steps, and the remaining 160 time steps were predicted, which could limit the flexibility in real applications. Zhang and Liu [382] worked on medium- and long-term aircraft trajectory prediction using a conditional tabular GAN followed by an improved model, clustering and conditional tabular GAN [383]. They compared their latest approach with CNN-LSTM and exhibited significant reduction in the MAE. Pang and Liu [380] addressed the weather-incurred uncertainties in aircraft trajectory prediction methods (Figure 26). They used weather features and original flight plans as labels and predicted actual flight trajectories. They collected data from the Indianapolis Air Route Traffic Control Center and the EchoTop weather features within the sector airspace on 24 June 2019. The results verified the potential of the proposed method.
Figure 26.
A GAN architecture considering weather effects for aircraft trajectory prediction. Figure is adapted from Pang and Liu [380].
Furthermore, GAN models also promote the inverse mapping optimization architecture in aircraft trajectory designs. Yeh and Du [95] developed a regression GAN model to directly predict optimal takeoff trajectories of an eVTOL drone based on design requirements, including flight conditions and design constraints (such as a maximum acceleration). They used the generator as a regressor while leveraging the MSE loss together with the adversarial binary cross-entropy (BC) loss provided by the discriminator to facilitate the predictive performance. The MSE loss targeted minimum differences between generated profiles and training counterparts, while the BC loss drove the generated profiles to share analogous patterns with the training set. Their following work incorporated transfer learning to use MSE loss alone first, followed by the combined loss term [347]. They completed comprehensive comparisons against multi-output GP (MOGP), cGAN, and vanilla regression GAN and confirmed the superior performance of the proposed method (Figure 27).
Figure 27.
Comparison of optimal takeoff trajectories against Dymos framework [385] among MOGP, cGAN, and the transfer-learning-based regression GAN, trained with 1000, 1000, and 200 random samples, respectively [347]. The proposed method achieved over 99.5% relative accuracy. Here, MOGP Model 2 refers to the square exponential kernel and linear basis function, CL denotes combined loss, and CL1, CL2, and CL4 denote 0, 0.01, and 0.0001 weight factor on the BC loss. Figure is reproduced from Yeh and Du [347].
4.2.3. Diffusion Models for Regression Tasks
Diffusion models are used for regression tasks, mainly with context-specific information as conditional variables [386,387,388,389], while there is also literature targeting unconditionally trained diffusion models [390]. Following this general trend, diffusions have started attracting interest for flow field predictions [348,349,391] as well as multi-fidelity modeling [350,392]. A few recent studies integrate diffusion with CNN and transformer due to the power of convolutional feature extraction and transformer-based global attention [349,391,392]. Wang et al. [391] developed a diffusion-transformer architecture to realize real-time flow field prediction. They incorporated the diffusion-transformer architecture within a VAE structure, where the diffusion transformer worked with the VAE latent space. Besides the VAE loss terms, they included physical loss based on mass conservation and momentum conservation to guide the model to learn from statistical correlations in the training data as well as from the governing laws of fluid mechanics. They achieved lower than 10% errors compared with simulation-based flow fields.
Diffusion models exhibited promising potential in path-planning applications, including aircraft trajectory prediction [393,394], as shown in Table 6. Recent effort pays attention to the intention or goal of flight tasks [351,352,395]. Yin et al. [352] predicted the future movements of aircraft based on both the aircraft’s past status and the contextual information including the pilot and controller intent and the environmental conditions. Their following work [395] proposed to learn aircraft’s intentions from a repository of historical trajectories. They identified similar trajectories for a given query aircraft and filtered the retrieved candidates based on contextual information. They used an attention-based encoder to aggregate information from all similar trajectory candidates to predict the aircraft’s intention. Their model was reported to outperform existing methods in terms of displacement errors. Yang et al. [351] presented a goal-oriented diffusion model for flight trajectory prediction. They decoupled the flight trajectory prediction into two stages: goal estimation and trajectory prediction. In the first stage, they extended the flight intention from a single, deterministic ground truth to an empirical intention distribution. In the second stage, they used a transformer-based diffusion model to generate stochastic flight trajectories conditioned on the intention estimations. Results on real-world data at the Pittsburgh-Butler Regional Airport confirmed the accuracy and diversity of the proposed method. This rising trend of predicting flight trajectory intentions permits the model’s generalization ability to unseen environments. In the meantime, absolute intentions tend to improve the prediction accuracy. Therefore, the tradeoff between absolute and estimated intentions still needs to be taken into consideration when addressing a specific problem.
4.2.4. Transformer Models for Regression Tasks
Transformer models have demonstrated their regression performance in multiple areas [396,397,398,399,400,401] due to the inherent attention mechanism. Representative application areas include wind power forecasting [402], vehicle aerodynamics [403], and manufacturing [404]. Transformer models also present outstanding performance within the scope of aircraft design optimization, ranging from flow field prediction [353,354,405] and aircraft noise prediction [355] to aero-engine turbine blade optimization [356]. Jiang et al. [353] proposed a transformer-based decoding architecture for flow field prediction. They used parameterized airfoil shape as input to the transformer decoder, which predicted the flow fields with less than 1% MAE and three orders of magnitude higher efficiency than simulation-based references. Shen et al. [405] targeted the challenge of limited labeled data in flow field prediction by proposing a combination of self-supervised learning (SSL) and graph transformer. The SSL exploited the latent information in unlabeled data, while the self-attention mechanism in the graph transformer captured mapping of long-range dependencies and multi-scale features in complex flows. The results demonstrated the improved performance of incorporating SSL over the vanilla graph transformer.
There is a large body of literature using transformer models in aviation [358,406,407,408] to capture long-term dependencies in sequence data, which can facilitate aircraft design optimization (Table 6). Dong et al. [409] used a transformer for flight trajectory prediction based on 5402 real-flight trajectories in China. They showed that the developed transformer model outperformed traditional neural networks (such as RNN, LSTM, and GRU) and improved models based on attentional mechanisms. Vos et al. [410] conducted similar transformer research by collecting available traffic messages from the EuroControl B2B connection and actual trajectories from the OpenSky ADS-B repository. The predicted trajectories provided more stable demand forecasts for air traffic control in the Netherlands. Ma et al. [411] identified air traffic coordination points for major flow interactions and adopted a transformer to predict the future number of flights passing the coordination points. They worked on 158,856 flight data points in French airspace based on one-month ADS-B data and showed the potential of the proposed model. Dong et al. [357] constructed a spatio-temporal transformer based on spatial and temporal attention mechanisms to consider spatial and time-series interactions between multiple aircraft. They used real aircraft trajectory data from the Guangzhou Baiyun Airport and showed that the proposed transformer model outperformed mainstream deep learning prediction models. The historical existing data in the completed work is a good resource for comparing and benchmarking research products among novel methods across the community.
Moreover, some literature focus on further developing transformer models, such as binary encoded transformer [412,413], CNN–transformer–GRU hybrid model [414], transformer and reservoir computing-based networks [358], and inverted transformer [92,359,415]. Guo et al. [412] developed a binary-encoding-represented transformer to tackle the trajectory prediction task as a multi-binary classification problem. They first encoded trajecotries into binary representations and converted the n-hot vectors to compacted embeddings, followed by a transformer as backbone to learn the high-level trajectory representations. Then they used a predictor network to predict the flight trajectories. In their following work [413], they implemented a generalized encoder to learn temporal–spatial patterns and a decoder to predict flight status. Experimental results on a real-world dataset showed the proposed method outperformed competitive reference models, such as LSTM and Kalman-filter. Souli et al. [358] proposed to combine transformer and reservoir computing architectures to enhance robust and real-time performance of outdoor UAV operations. The transformer captured the temporal dependencies in sequence data for long-term horizons, while the reservoir computing architectures ensured the onboard performance. Yoon and Lee [92] developed an inverted transformer (iTransformer) and demonstrated the method on 89,489 aircraft trajectories at Incheon International Airport, South Korea. The results showed that the iTransformer outperformed a series of references models, including the Seq2Seq LSTM + attention, vanilla transformer, and Patch TST [416], especially for increased prediction intervals. This is mainly due to iTransformer’s inherent mechanism of embedding each series independently into a variate token to more effectively capture multivariate correlations. The potential of transformer models has been demonstrated in the literature. As claimed by Yoon and Lee [92], the accuracy and reliability could be improved further by incorporating additional features such as weather conditions and operational factors such as flight restrictions.
Furthermore, there are research efforts targeting multi-agent trajectory prediction [359,415,417], multi-route trajectory prediction [418], and trajectory prediction under uncertainty [360,419,420]. Yoon and Lee [359] continued their previous work on iTransformer [92] by proposing a multi-agent iTransformer archiecture. The new architecture featured two key attention modules: (i) masked multivariate attention for spatio-temporal patterns of individual aircraft; and (ii) agent attention for social patterns among multiple agents in complex air traffic scenes. They trained the models with 509,389 flight trajectories of Incheon International Airport in South Korea and showed that the proposed method outperformed vanilla transformer [85] and AgentFormer [421]. Li et al. [360] introduced a noise-robust autoregressive transformer to enhance prediction reliability by integrating noise-regularized embeddings and hybrid positional encoding. They introduced Gaussian noise into the embedding layer to simulate the random perturbations and combined absolution and relative position encodings for the hybrid encoding. The results confirmed that the proposed method effectively reduced errors and enhanced prediction stability over long time steps and complex spatial variations. Pang et al. [420] targeted flight trajectory prediction for multiple agents under uncertainty using the Bayesian spatio-temporal graph transformer within an encoder–decoder structure (Figure 28). They used temporal transformer for time-series learning performance and spatial transformer for interactions among agents. The developed Bayesian decoder consisted of a stochastic Bayesian layer for predictions and uncertainty quantification. They showed the effectiveness of the propose method and also pointed out current limitations as well as future directions.
Figure 28.
Architecture of the Bayesian spatio-temporal graph transformer. Figure is adapted from Pang et al. [420].
4.3. Training Facilitation
In previous sections, genAI has shown superior performance on intelligent parameterization and data augmentation (Section 4.1) and predictive modeling (Section 4.2). With its promising features (especially the implicit and explicit dimensionality reductions), genAI can be seamlessly and straightforwardly integrated to facilitate regression modeling and aircraft design [29,91,94]. Additionally, training data augmentation supports regression modeling on costly, sparse datasets. Moreover, genAI has the potential to advance DRL to enhance the training sample efficiency [422,423]. Considering the value of DRL in optimal control, this section will elaborate on genAI-enhanced DRL. Specifically, this section briefly summarizes regression modeling facilitated by genAI-based dimensionality reduction and reviews in detail the status of genAI-enhanced DRL in aircraft design optimization corresponding to the existing challenge of substantial training difficulty (Section 2.4.3).
4.3.1. Regression Model Facilitation
As mentioned above, genAI-enabled implicit and explicit dimensionality reductions through intelligent parameterization (i.e., design generation) could significantly facilitate regression modeling.
On the one hand, implicit dimensionality reduction refers to the fact that genAI learns the inherent distribution of existing realistic data, such as lifting surface shapes and flight trajectories. Thus, genAI generates only realistic designs, which automatically reduces the original design by filtering out unrealistic designs, such as airfoil surfaces with weird wiggles or sudden changes. Those unrealistic designs are costly, challenging, or even impossible for simulation solvers to converge during the data acquisition for regression modeling. Even with convergence on those unrealistic designs, they almost never make optimal designs. As a result, genAI-enabled implicit dimensionality reduction leads regression modeling to a realistic design space, which is typically a small portion of the original design space. In addition, simulation solvers provide better convergence for acquiring training data in the realistic region.
On the other hand, genAI also exhibits explicit dimensionality reduction, i.e., directly lowering the dimensionality of the design space to a reduced-dimensional, realistic space. Explicit dimensionality reduction paves a more direct avenue, addressing the “curse of dimensionality” in regression modeling. In comparison with implicit dimensionality reduction, which is an inherent feature of genAI, explicit dimensionality reduction comes with more deliberate considerations. For example, Du et al. [214] used 16 latent and 10 noise GAN variables to parameterize UIUC airfoils with 1% fitting error on the airfoil coordinates, while Hazem et al. [333] used only 4 GAN variables to achieve the same performance with optimal airfoils at pre-specified flight conditions as training data.
Since most of the genAI models automatically facilitate regression modeling [230,261,424,425], several studies are briefly summarized as follows. Cohen and Klein [424] proposed a diffusion-driven framework to produce synthetic inertial data for inertial sensing, such as inertial-based positioning and sensor fusion, since collecting real data is time-consuming and resource-intensive. They successfully demonstrated improved predictive performance by incorporating synthetic inertial data. Zuo et al. [425] proposed a deep attention network for reconstructing incompressible steady flow fields around airfoils. They first used a transformer encoder to embed the grayscale airfoil image into extracted geometric parameters. Then, the geometric parameters were fed together with Reynolds number, angle of attack, flow field coordinates, and distance field into multilayer perceptron networks to predict the flow fields. The proposed method exhibited improved interpretability and predictive accuracy.
4.3.2. Generative Artificial Intelligence-Enhanced Deep Reinforcement Learning
As introduced in Section 2.4.3, DRL plays a critical role in optimal control but suffers from low sample efficiency and severe training difficulty. Integrating genAI into DRL [426,427] to address these issues has shown potential in broad engineering areas, including aircraft design optimization (Table 7).
Table 7.
Representative genAI-enhanced DRL within the scope of aircraft design.
Sun et al. [422] reviewed genAI-enhanced DRL in multiple engineering areas, such as signal processing [437], wireless communication [438], edge-based services [439], and sensor networks [440]. They summarized the improvement of incorporating genAI into DRL from data and policy perspectives (Table 8).
Table 8.
A summary of key contributions of genAI methods improving DRL [422].
From a data perspective, genAI improves DRL in two ways: (i) data generation to augment training datasets and anticipate unknown situations by generating credible data [441,442]; and (ii) data processing to process dynamic, high-dimensional data with unique analyzing and learning capabilities [443,444]. From the policy perspective, genAI enables DRL to tackle complex tasks with higher efficiency and flexibility through: (i) improved policy networks, such as using diffusion model as the policy networks [439]; (ii) multimodal learning, such as using multimodal transformer to handle different types of data for DRL [437]; (iii) handling hybrid action, such as constructing a unified, decodable latent space for original discrete–continuous hybrid action space [445]; and (iv) transfer learning, such as using a diffusion model to enable a similarity-guided strategy [446]. They also summarized the possible use of genAI in popular DRL models (Figure 29), including deep Q-network (DQN), DDPG, twin delayed deep deterministic policy gradient (TD3), PPO, and soft actor–critic (SAC). Despite the promising progress of genAI-enhanced DRL, Sun et al. [422] pointed out possible challenges, such as high computational complexity and high resource demanding.
Figure 29.
Possible use of genAI in DRL. Figure is adapted from Sun et al. [422].
For aircraft design optimization, genAI-enhanced DRL also attracts attention, especially in UAV applications. VAE is typically used in DRL applications for compressing high-dimensional state spaces (such as positions) into compact, interpretable representations [426,447,448]. VAE is preferred over autoencoder in DRL due to the generative feature for sim-to-real transfer and the smooth, continuous latent space exploitation. VAE also achieved success in cross-modal representation in low dimensions, which further facilitated imitation learning in UAV applications [449]. Liang [447] used VAE to compress visual inputs and produce a meaningful latent representation that can capture enough information in complex environments. Xue and Gonsalves [448] worked on vision-guided UAV for obstacle avoidance tasks. They developed multiple VAE models to compress visual information into a low dimension while retaining features related to UAV navigations. Betalo et al. [426] aimed at emergency medical package delivery using UAVs as aerial base stations in 6G networks. To address the constraints of limited energy and computational capacity on edge servers, they adopted a VAE-based policy encoder that mapped the observation space into a compact latent space, which facilitated policy learning under resource limits. In sum, the gain of incorporating VAE is mainly about dimensionality reduction and improved exploration, while the potential drawbacks should also be noted. For instance, integrating VAE into DRL increases model complexity, which may cause training difficulty. Additionally, latent representation does not automatically guarantee task-relevant features.
GAN also achieves success in enhancing DRL [450,451,452]. In the UAV applications, GAN-enhanced DRL exhibits higher sample efficiency [428,438] and policy learning capability [429]. Li et al. [438] proposed a GAN-powered heterogeneous multi-agent RL-based approach for UAV-assisted task offloading from ground users. To address the high cost and low sample efficiency of online RL training, they used GAN to generate synthetic environment states for off-line RL training. Lee et al. [428] integrated the actor–critic DRL with GAN to predict the next state and hindsight experience reply to address sparse rewards. Then, they used experience reply buffer to collect real data and synthetic data to train the actor and the critic. Wang et al. [429] proposed a GAN-TD3 algorithm that used the adversarial learning mechanism to approximate the distribution of action values. The generator networks served a role analogous to the critic in TD3 for the purpose of enhanced performance and stability. Thus, GAN-enhanced DRL has advantages, such as higher sample efficiency and stronger exploration, while its disadvantages (such as the double layers of training instability from GAN and DRL) still deserve attention.
There is a range of research enhancing DRL using diffusion due to high-fidelity and stable data generation [423,453,454]. Similar to other genAI methods, diffusion models can be used for synthetic data generation, such as Shi et al. [430], which was further used for replay buffer. Meanwhile, diffusion models are more widely used for policy learning facilitation, typically serving as the actor of SAC [431,455,456,457] and TD3 [432,458] DRL methods. Kim and Park [455] decomposed UAV trajectories into consecutive sub-paths and used diffusion to generate sub-path action candidates that adapted to dynamic obstacles while maintaining energy-efficient behavior. This diffusion-enhanced DRL method linked local collision avoidance with global performance, offering a practical solution for decision-making on UAVs. Yu et al. [457] developed a diffusion-based predictor that diffused initial actions and interacted with states for generating the action distribution. Zhang et al. [458] integrated a diffusion model into the actor networks of the TD3 algorithm to capture complex state features and generate optimal actions according to the current state of the environment. They used the current state of the environment as a conditional label to dynamically adjust the actions for DRL according to different states. Diffusion-enhanced DRL exhibits training stability, powerful performance, and adaptation to complex environments; however, the increased algorithmic complexity and inference time can still prohibit diffusion-enhanced DRL applications in real practice.
Transformer is another genAI method that presents superior performance, advancing DRL applications in aircraft design [433,459,460,461,462] due to the attention mechanism. Transformers are used for extracting features from complex observations or states [434,444,463,464,465,466], serving as a decision maker [435,467], and providing candidate action distributions [436]. Additionally, transformers have achieved success in being integrated into multiple DRL methods, including PPO [464,465], DQN [434,461], and SAC [436,460,466]. Chen et al. [444] focused on the multi-UAV network area coverage problem and used a transformer to deal with variable input dimensions. The transformer encoder managed to extracted key information from complex states using an attention module. The extracted features were fed to actor and critic networks within a DRL decoder which learned the optimal policy. Li et al. [434] proposed to use reward shaping and integrate agent transformers for feature extraction into dueling DQN to facilitate UAV trajectory learning. Lu et al. [435] proposed an attention-enhanced prompt decision transformer framework to optimize trajectory planning and user scheduling. The proposed method outperformed conventional decision transformer in terms of convergence rate and age of information. Roberts and Du [436] trained a transformer on the optimal takeoff trajectories of an electric drone. The trained transformer was used to guide DRL training by providing candidate action distributions (Figure 30). The proposed method combined with the singularity reward shaping [190] achieved 2.8% error compared with simulation-based reference and outperformed vanilla DRL’s 3.7%. Moreover, the transformer-guided DRL took training steps to converge, while vanilla DRL cost .
Figure 30.
The architecture of the transformer-guided DRL proposed by Roberts and Du [436].
In sum, transformer-guided DRL has the advantages of handling long-term dependencies, adapting to variable states, and generalizing policy, to name a few. However, transformer’s known drawbacks, including high computing resources and large datasets to train, could also be propagated into transformer-enhanced DRL.
4.4. Constraint Handling
Corresponding to the challenge of complex design constraints (Section 2.4.4), genAI paves novel avenues to handle constraints in engineering design, including aircraft design (Table 9). Specifically, conditional genAI (such as cVAE and cGAN) is typically used for equality constraints by setting corresponding desired constraint values (such as target lift) as conditional labels. Once trained, the genAI model produces designs that inherently satisfy the constraints that are used as conditional labels. In contrast, the literature tends to use feasible data sets to implicitly handle inequality constraints but cannot exert direct control over the feasibility of generated data. A recent work by Sisk and Du [255], based on genAI and surrogate models, innovatively handled equality constraints (i.e., flight conditions in their case) and inequality constraints by exploiting a feasible design space and achieved almost 100% feasible generated designs. Please refer to Section 4.4.2 for more details.
Table 9.
Representative genAI-enabled constraints handling within the scope of aircraft design.
4.4.1. Conditional Generative Artificial Intelligence
Conditional VAE has been used in airfoil and trajectory generations [468,469,475,476,477,478]. Li et al. [475] assigned physical features (i.e., shock wave features in this their work) into a VAE model to facilitate reconstruction accuracy as well as physical interpretability. They managed to predict a series of supercritical airfoils that possessed the same physical characteristics. Besides the direct implementations of VAE and investigations on physical intuition, there is also research using cVAE to generate shapes that automatically satisfy performance requirements. Yonekura and Suzuki [468] integrated VAE with an additional label corresponding to airfoil aerodynamic performance, i.e., the lift coefficient. They investigated the latent space of various dimensions, and the results showed that the lowest reconstruction error was achieved at two-dimensional latent space, while a 86-dimensional latent space had the lowest sum of reconstruction loss and latent loss. Motte et al. [469] proposed a cVAE-based flight trajectory generation with aircraft types (such as B738 and A320) as labels, accounting for aircraft-specific characteristics or performance. Similar ideas can be extended to standard equality constraints on flight performance, instead of being limited to aircraft types.
Similar with cVAE, cGAN is also used for shape generation while meeting desired characteristics [254,375,470]. There is also research coupling cVAE (which excels in reproducing design performance) with the adversarial mechanism of GAN (which excels in the smoothness and variations of generated shapes) [471]. Tan et al. [470] used cGAN and cWGAN-GP for airfoil inverse design using lift-to-drag ratio and shape area as labels while Yilmaz and German [375] realized cGAN-based airfoil inverse design conditional on stall condition and airfoil drag polars. Jin et al. [254] introduced cGAN to airfoil aero-stealth design by generating airfoils meeting given aerodynamic performance and radar cross section characteristics. Yonekura et al. [471] developed VAE-WGAN-GP for airfoil generation using the NACA 4-digit airfoil dataset [479].
Moreover, conditional diffusion models have also achieved success [238,301,472]. Wang et al. [238] developed a conditional diffusion model conditional on multiple performance metrics, such as buffeting lift coefficient. The results showed that the conditional diffusion outperformed cVAE in terms of generation accuracy, stability, and diversity. Graves and Barati Farimani [301] completed multi-layer perceptron embedding for conditional labels (i.e., lift and drag coefficients) and realized conditional airfoil generation using U-Net [480]. Lin et al. [472] developed conditional diffusion for flying wing aerodynamic inverse design conditional on aerodynamic quantities. They also completed embeding like Graves and Barati Farimani [301], but using U-Net as the embedding module (Figure 31).
Figure 31.
The architecture of the conditional diffusion model proposed by Lin et al. [472]: training process (top) and CDDPM (bottom). Here, CDDPM denotes the conditional denoising diffusion probabilistic model.
In sum, this section has shown the conditional genAI methods used to address equality constraints in aircraft design. Through the aforementioned research, conditional genAI empowers controlled generation and efficient design space exploration. However, conditional genAI also has disadvantages when applied to aircraft design. For instance, the training data for each label may not cover the real distribution, following which the learned distribution cannot sufficiently approximate the real distribution. Aircraft design optimization might miss the real optimal design due to the “missed” portion of data distribution. Additionally, high-dimensional design constraints need many labels, which further complexify the model architecture and desire excessive training data. The training stability and convergence will be worsened. Furthermore, conditional genAI is not as favorable to handle inequality constrains.
4.4.2. Physics-Constrained Generative Artificial Intelligence
Besides conditional genAI, there are other research efforts addressing complex, nonlinear constraints in multiple engineering areas [299,481]. Dan et al. [481] reported 84.5% chemically valid samples by a GAN model when trained with valid samples, even without enforcing chemical rules in GAN training. Campbell et al. [299] trained GAN models on real flight data and verified kinematic consistency during training. However, prior research work still cannot effectively incorporate physical constraints due to the lack of direct controls over the feasible data generation or the excessive costs of computing simulation-based constraints during the training process.
Physics-constrained genAI paves an innovative avenue for handling design constraints. Kondo et al. [473] proposed a constraint-guided diffusion approach for UAV trajectory planning. The proposed approach enabled the generation of collision-free and dynamically feasible trajectories. They employed U-Net for the diffusion model to generate trajectories with multiple additional modules. The goal conditioning module guaranteed the terminal state of a generated trajectory reached the desired goal state by conditioning on the desired state. The guide module adjusted the total time to accommodate for new constraints (such as varied maximum flight speed) or imperfect trajectories (such as desired state was not reached). The collision avoidance module altered a trajectory based on the distance of the control point to the obstacle center. Eventually, a QP problem was solved to ensure the trajectory satisfied dynamic feasibility constraints. The proposed method was verified to achieve significant improvements in performance and dynamic feasibility compared with conventional neural networks. They mentioned the desire to test more complex scenarios, such as multiagent systems, in future work.
Sisk and Du [255] proposed the novel physicsGAN to transform the original design space to a feasible design space where all design candidates inherently satisfied all design constraints (Figure 32) and unconstrained optimizations could be conducted to handle constrained optimization problems.
Figure 32.
A simple example showing the feasible space transformation via physicsGAN [255]. Green represents feasible region in each corresponding design space.
The original design space was supposed to be high-dimensional with small portions of separated, irregular, feasible regions. They used the twinGAN to generate only realistic takeoff control profiles; thus, GAN variables constructed the realistic design space with noncontiguous feasible regions. The proposed physicsGAN delivered the feasible space by integrating the data-driven twinGAN to generate realistic designs and surrogate models to penalize the infeasible design generations (Figure 33) as follows:
where V is the loss function, is the twinGAN generator for the power profiles in their work, is the twinGAN generator for the wing angle profiles in their work, is the physicsGAN generator, D is the physicsGAN discriminator, is from the training data , is from the random variable distribution (i.e., Uniform(0, 1) in this work), and is the penalty for constraint violation.
Figure 33.
The architecture of physicsGAN proposed by Sisk and Du [255].
The results showed that physicsGAN with three variables managed to discover the feasible space where 100% generated design candidates automatically satisfied design constraints. Even with only three variables (compared with the original 41 design space dimensions), physicsGAN achieved over 1% fitting errors towards feasible trajectories, which guaranteed sufficient variability. The physicsGAN-enabled surrogate-based takeoff trajectory design with only linear bounds constraints achieved 0.4% error compared with simulation-based optimal design and took only 2.2 s using one processor of a personal desktop computer, which reduced the computational time by around 200 times. Meanwhile, the twinGAN-enabled surrogate-based optimization took 21.9 s using the same computing resources, which was around an order of magnitude slower than the physicsGAN counterpart. Their following work [474] incorporated more design constraints and achieved similar conclusions. In the future work, they will test the physicsGAN on other complex benchmark applications, such as airfoil and wing shape design optimizations.
4.5. Summary of Applications
This section summarizes the comparisons among the above genAI methods from multiple aspects (Table 10). Moreover, this section provides recommendations and guidance for genAI researchers and practitioners on specific research tasks. The disadvantages and existing gaps of genAI in general will be elaborated on in Section 4.6.
Table 10.
A comparison among genAI methods. N/A denotes not applicable.
Table 10 lists six aspects to compare VAE, GAN, diffusion, and transformer models. First, VAE, diffusion, and transformer models exhibit satisfactory training stability, while complex architectures can incur training difficulty. GAN could suffer from mode collapse in complex tasks; thus, WGAN and WGAN-GP are developed to alleviate this issue [377,471]. Second, VAE presents good generation quality in most of the applications, while GAN is anticipated to possess higher-quality generation due to the inherent adversarial mechanism. Diffusion models are considered as the state of the art for image and audio generation [234]. Transformer models produce high-quality samples for text, code, and multimodal data. Third, similar with the generation capability, diffusion and transformer models maintain diversity in the generated data compared with VAE. Relevant VAE variants, such as VQ-VAE [482,483] and DU-VAE [484], have been developed to mitigate this issue. GAN, especially WGAN-related variants, exhibits high diversity with no mode collapse. Fourth, both VAE and GAN training is fast compared with diffusion and transformer models. Training diffusion models is slow due to the iterative, multi-step nature, especially when using deep neural architectures for complex tasks. The quadratic complexity of the attention mechanism within transformer models could significantly reduce the training speed, which leads to research interest [485]. Fifth, VAE, GAN, and transformer models all exhibit high inference efficiency after training. In contrast, inference of diffusion models can be slow due to the multi-step diffusion process [83]; therefore, diffusion models are not favorable in rapid or real-time decision-making scenarios in spite of their high generation quality. Finally, VAE possesses excellent dimensionality reduction capability due to the inherited autoencoder structure [332]. GAN also has promising capability for dimensionality reduction, especially when data is carefully selected [333]. Diffusion and transformer models do not have the dimensionality reduction feature, but they can be coupled with autoencoders to extract information from the reduced latent space.
Based on the aforementioned comparison and the literature in aircraft design, the following recommendations and guidance are provided for genAI applications. First, all the genAI methods (especially diffusion [234]) are viable options for data augmentation due to the high-quality generation. Second, VAE and GAN are favorable options for surrogate modeling and surrogate-based aircraft design (such as surrogate-based airfoil/wing aerodynamic design) due to their dimensionality reduction capability [93,255,332]. Considering the higher generation quality and diversity than VAE, GAN (especially variants based on WGAN and WGAN-GP for the consideration of mode collapse mitigation) is recommended for such applications [377,471]. Third, transformer models are preferred for time-sequence applications (such as flight path generation and prediction) of dynamic systems due to the attention mechanism [265,359]. The attention mechanism excels in capturing long-range dependencies compared with RNN and LSTM. Fourth, VAE, GAN, and transformer models all exhibit high inference efficiency; thus, they work well with rapid or real-time decision-making applications (such as morphing-wing aircraft and autonomous UAV) [347]. Moreover, integrating genAI methods with other strategies to alleviate drawbacks is a practical solution. For instance, diffusion and transformer models can be coupled with autoencoders such that they only need to focus on the reduced, latent space [391,486]. There is also research effort in improving the inference performance of diffusion models [487]. The VAE-GAN combines the benefits from both VAE and GAN models [259]. Novel architectures and strategies are still expected to further advance genAI and corresponding applications.
4.6. Existing Gaps
The previous sections have showcased the superior performance and critical potential of genAI methods tackling existing challenges of aircraft design optimization. However, it has to be noted that genAI also has potential drawbacks and risks, which require attention during engineering applications. This section summarizes these drawbacks from the following six aspects: (i) data bias; (ii) training stability; (iii) no one-for-all genAI; (iv) extrapolation; (v) explainability; and (vi) certification.
Data Bias. Almost all existing genAI methods are data-driven models, for which data plays a key role affecting generative performance. Biased data selection could lead genAI to approximate a miscommunicated data distribution. For instance, Yonekura et al. [471] used a NACA 4-digit airfoil database in their application, while the constructed genAI model had the risk of not being able to produce supercritical airfoils, although NACA airfoils might be already sufficient in their test cases. Moreover, data selection desires deliberate consideration. Many existing studies use the UIUC airfoil database for genAI training to synthesize airfoils. Due to the generality of this database, Du et al. [91] used 26 GAN variables to achieve over 99% fitting accuracy. In their following work [333], they achieved the same fitting accuracy using only three variables since they trained the model using optimal airfoils within a pre-defined flight-condition space. Therefore, data acquisition is problem-specific and needs to be properly set up.
Training Instability. The potential risk of training instability (i.e., the difficulty of achieving a stable, convergent training process) is two-fold. First, genAI modeling, especially GAN, typically adopts highly complex nonlinear architectures, which could incur gradient explosion, gradient vanishing, and mode collapse. The adversarial mechanism of GAN delivers unique features; however, this mechanism makes GAN more challenging to achieve equilibrium training states (also known as the Nash Equilibrium) [81,82] compared with other genAI methods. Second, genAI in aircraft design optimization may have even more complex architectures, such as conditional genAI handling equality constraints and genAI-enhanced DRL models. Therefore, genAI developers need to pay close attention before using trained models for further applications. Possible mitigation strategies include gradient clipping, batch normalization, adding Wasserstein distance, and progressive training [288,488]. Mehwish et al. [489] conducted a quantitative comparison among vanilla GAN, deep convolutional GAN (DCGAN), and WGAN on magnetic resonance images. They showed that WGAN achieved the highest structural similarity index of 0.99, while vanilla GAN and DCGAN got 0.84 and 0.97, respectively. Additionally, DCGAN achieved the highest peak signal-to-noise ratio of 49.3, WGAN matched DCGAN up to 43.5, and vanilla GAN got only 26.
No One-For-All genAI. As shown in the above sections and Table 10, each genAI method has its own advantages and disadvantages compared with other genAI. For example, VAE has good performance on dimensionality reduction, GAN produces data with quality and variability, diffusion excels in data quality, and transformer handles long-sequence dependence. Thus, VAE and GAN are more widely used in airfoil and wing shape generation, while diffusion and transformer have more applications in optimal control problems. There are studies combining the strength of multiple genAI methods, such as VAE-GAN and transformer–diffusion coupling [259,391]. Therefore, there is no one-for-all genAI that handles all engineering applications. Instead, expert knowledge on both the engineering problem (such as aircraft design) and genAI architectures is essential to make the best use of genAI capability.
Extrapolation. Extrapolation of AI refers to the capability of high-quality performance outside the training data coverage. Extrapolation is essential for creative tasks but is still a challenging issue in AI, including genAI which mimics the distribution of training data. Especially in genAI-based aircraft design, genAI may not be able to produce the real optimal design if the training data does not have that type of design geometry. For instance, the genAI-based inverse mapping optimization architecture [95] may not be able to extrapolate beyond the design-requirement space within the training data. Thus, more advanced strategies are still needed in AI, including genAI-based aircraft design. Potential mitigation strategies from recent effort includes latent space reasoning, context-aware biases, and physics-guided strategies [490,491,492].
Explainability. Explainability of AI models is closely related to interpretable machine learning and trustworthy AI. Simple models (such as logistic regression and decision trees) tend to show higher explainability but typically have limited capability and tend to suffer from underfitting. In contrast, complex models (such as genAI) handle complex application scenarios but work like a black box. The tradeoff on the model complexity is a challenge for genAI methods. Post hoc methods, such as Shapley additive explanations and local interpretable model-agnostic explanations, provide explainability but may not reflect true decision logics [493,494]. Physics-based models, such as PINN [242], offer an alternative solution but still cannot provide full explainability for complex model architectures. Therefore, explainability is critical in genAI-based aircraft design, especially for safety-critical tasks. McGregor [495] reported a Boeing 737 crash into the sea, killing 189 people, after faulty sensor data caused an automated maneuvering system to repeatedly push the plane’s nose downward. One of the reasons causing the pilot to not be aware of the failure is the opaqueness of the system. Possible strategies include human-centric and continuous monitoring, self-explanation methods, source referencing and grounding (such as retrieval-augmented generation), to name a few [496,497,498,499].
Certification. Certification of genAI includes completing the verification and validation (V&V) on the trained models and complying with certification regulations enforced by federal agencies, such as FAA and the European Union Aviation Safety Agency. The key challenges in certification mainly result from the generative and probabilistic features of genAI. Specifically, verification ensures the models are constructed properly for generation or regression tasks using verification metrics, such as inception score, structural similarity index, and root mean squared error. However, genAI verification in generation tasks still lacks definitive ground truth, i.e., labels in correspondence to regression models. Validation confirms the models performance as expected in real scenarios. Nonetheless, most of the completed research cannot complete validation due to the lack of real-world data, and the probabilistic feature of genAI practically prohibits validation on all possible outcomes. Moreover, regulatory compliance is essential in safety-critical applications; however, imposing regulations in genAI is challenging due to the above-mentioned challenges as well as the shortage of professionals skilled in both AI and aviation areas. Therefore, human-in-loop monitoring and V&V is desired [500,501], and the need for workforce development with both AI and engineering expertise has been highlighted in a recent FAA roadmap [502].
5. Conclusions and Outlook
Aircraft design optimization is a key pillar of the aerospace engineering industry. Conventional design optimization adopts simulation models that can be computationally prohibitive or even practically impossible due to iterative model evaluations, especially in coupled complex system designs. Artificial intelligence (AI) predictive models (also known as surrogate models), in lieu of simulation models, enable fast model analysis, which in turn empowers efficient or real-time aircraft design. However, naively implementing predictive models suffers from “curse of dimensionality”, i.e., training costs could grow exponentially with the input dimensions. Generative AI (genAI) paves a new avenue for predictive modeling and innovatively advances aircraft design; however, there is a lack of review summarizing the advancements in aircraft design promoted by genAI. To fill this gap, this paper listed aircraft design optimization architectures, summarized key challenges in aircraft design, described widely used genAI methods, and elaborated on how genAI addressed the key challenges followed by its own drawbacks.
First, this paper outlined the commonly used optimization architectures of simulation-based aircraft design as well as new optimization architectures enabled by AI predictive models. Simulation-based optimization architectures mainly include single-disciplinary design optimization and multidisciplinary design optimization. Multidisciplinary optimization is further classified into monolithic and distributed architectures. Predictive models, due to their predictive capability in regression tasks, enable multiple optimization architectures, namely one-shot-surrogate-driven optimization, adaptive-surrogate-driven optimization, inverse mapping architecture, and deep RL (DRL). These new architectures have achieved success in broad engineering areas, including aircraft design.
Moreover, this paper summarized the key challenges in both simulation-based and surrogate-based aircraft designs. First, design space parameterization is challenging since too small a space may miss the real optimal design, while too large a space inhibits efficient optimization search. The high dimensionality of a large design space also makes surrogate modeling computationally intensive. Second, the computational burden of the simulation-based design and adaptive surrogate-based design prohibits rapid decision-making, which is of great importance in the modern engineering industry. Third, DRL significantly advances optimal control; however, training DRL in complex scenarios is typically sample inefficient. Fourth, both simulation-based optimization and surrogate-enabled optimization architectures (except inverse mapping) still need to iteratively deal with complex, nonlinear design constraints in practical applications.
To tackle the key challenges in current aircraft design approaches, genAI presents unique solutions. This paper described the widely used genAI methods, variational autoencoder (VAE), generative adversarial networks (GANs), diffusion models, and transformer models. VAE inherits the autoencoder model structure, which is inherently favorable for dimensionality reduction. GAN pairs a generator with a discriminator, which formulates an adversarial training mechanism promoting generative performance. Diffusion integrates the principles of non-equilibrium thermodynamics and stochastic differential equations, which enable stable training and high-quality generation. Transformer leverages an attention mechanism, permitting it to excel in data generation with long-sequence dependencies.
Furthermore, this paper elaborated on the advancements delivered by genAI corresponding to each aforementioned challenge in simulation-based and surrogate-based aircraft designs. In terms of the large design space, genAI methods (especially VAE and GAN) permit intelligent parameterization with implicit and explicit dimensionality reductions. Implicit reduction refers to the genAI capability for removing unrealistic regions of design space by generating only realistic designs, which simplifies the mapping for surrogate modeling. Explicit reduction refers to the capability of explicitly lowering design space dimensions, which is a direct mitigation for the “curse of dimensionality”. In terms of the excessive computational resources used in simulation-based aircraft design and adaptive surrogate-based design, genAI directly serves as a one-shot surrogate and promotes the inverse mapping architecture. In terms of the substantial training difficulty of DRL, genAI (especially diffusion and transformer) significantly enhances DRL training efficiency through data augmentation and policy learning facilitation. The genAI methods can provide only realistic action candidates for a DRL policy and also directly serve as an actor of a DRL model. In terms of complex design constraints, conditional genAI handles equality constraints but is not favored for inequality constraints. Most recent effort has demonstrated that physics-constrained genAI effectively addresses both nonlinear equality and inequality constraints in complex optimization applications. A novel physics-constrained GAN model transforms the original design space to a reduced-dimensional, feasible space where all designs inherently satisfy all design constraints; thus, unconstrained optimization (with only linear bound constraints) can be conducted to address the original complex, constrained optimization problems. Note that these proposed strategies through genAI are not limited to aircraft design but can generalize to more complex applications, such as hypersonic vehicle design, multi-disciplinary strongly coupled optimization, and real-time adaptive design for morphing aircraft.
Following the advancements, this paper also summarized potential drawbacks of genAI methods to provide guidance for future applications and research efforts. These drawbacks mainly include, but are not limited to: (i) data biases requiring cautious data acquisition; (ii) training instability due to model complexity, especially the adversarial mechanism of GAN; (iii) no one-for-all genAI requesting genAI researchers to possess expertise knowledge in both genAI and application areas; (iv) extrapolation, which might prohibit genAI or AI models from being creative; (v) explainability, which is essential to realize trustworthy AI, especially in safety-critical applications; and (vi) certification, which demands thorough verification and validation, as well as strict regulatory compliance. Additionally, more publicly available data and open-source benchmarks and codes are expected to accelerate knowledge discovery in this research community.
Funding
This study was funded by the Engineering Design and Systems Engineering program at the National Science Foundation through the Engineering Research Initiation project; Program Director: Harrison Kim; Award Number: 2501866.
Institutional Review Board Statement
Not applicable.
Informed Consent Statement
Not applicable.
Data Availability Statement
Data and code will be made available upon reasonable request.
Acknowledgments
The author would like to acknowledge the support by the Engineering Design and Systems Engineering program at the National Science Foundation. The author also would like to acknowledge support from the Intelligent Systems Center and the High Performance Computing Center at Missouri University of Science and Technology.
Conflicts of Interest
The author declares no conflicts of interest.
References
- Drela, M. Lab 8 Notes—Basic Aircraft Design Rules; Lecture Notes; Massachusetts Institute of Technology: Cambridge, MA, USA, 2006. [Google Scholar]
- Jameson, A.; Ou, K. 50 years of transonic aircraft design. Prog. Aerosp. Sci. 2011, 47, 308–318. [Google Scholar] [CrossRef]
- Martins, J.R.R.A. Aerodynamic Design Optimization: Challenges and Perspectives. Comput. Fluids 2022, 239, 105391. [Google Scholar] [CrossRef]
- Bravo-Mosquera, P.D.; Catalano, F.M.; Zingg, D.W. Unconventional aircraft for civil aviation: A review of concepts and design methodologies. Prog. Aerosp. Sci. 2022, 131, 100813. [Google Scholar] [CrossRef]
- Weisshaar, T.A. Morphing Aircraft Systems: Historical Perspectives and Future Challenges. J. Aircr. 2013, 50, 337–353. [Google Scholar] [CrossRef]
- Hicks, R.M.; Henne, P.A. Wing Design by Numerical Optimization. J. Aircr. 1978, 15, 407–412. [Google Scholar] [CrossRef]
- van Dam, C.P. The aerodynamic design of multi-element high-lift systems for transport airplanes. Prog. Aerosp. Sci. 2002, 38, 101–144. [Google Scholar] [CrossRef]
- Hansen, L.U.; Horst, P. Multilevel optimization in aircraft structural design evaluation. Comput. Struct. 2008, 86, 104–118. [Google Scholar] [CrossRef]
- Riboldi, C.E. An optimal approach to the preliminary design of small hybrid-electric aircraft. Aerosp. Sci. Technol. 2018, 81, 14–31. [Google Scholar] [CrossRef]
- He, P.; Mader, C.A.; Martins, J.R.R.A.; Maki, K.J. DAFoam Multidisciplinary Design Optimization Setup. Mendeley Data 2019. [Google Scholar] [CrossRef]
- Kenway, G.K.W.; Martins, J.R.R.A. Multipoint High-Fidelity Aerostructural Optimization of a Transport Aircraft Configuration. J. Aircr. 2014, 51, 144–160. [Google Scholar] [CrossRef]
- Kenway, G.K.; Kennedy, G.J.; Martins, J.R.R.A. A CAD-Free Approach to High-Fidelity Aerostructural Optimization. In Proceedings of the 13th AIAA/ISSMO Multidisciplinary Analysis Optimization Conference, Fort Worth, TX, USA, 13–15 September 2010. [Google Scholar] [CrossRef]
- Ng, H.K.; Sridhar, B.; Grabbe, S. Optimizing Aircraft Trajectories with Multiple Cruise Altitudes in the Presence of Winds. J. Aerosp. Inf. Syst. 2014, 11, 35–47. [Google Scholar] [CrossRef]
- Kim, T.; Kamath, A.G.; Rahimi, N.; Açkmeşe, B.; Mesbahi, M.; Corleis, J. Six-Degree-of-Freedom Aircraft Landing Trajectory Planning with Runway Alignment. J. Guid. Control. Dyn. 2025, 48, 2225–2242. [Google Scholar] [CrossRef]
- Henderson, R. Multidisciplinary Design Optimization of Airframe and Engine for Emissions Reduction. Master’s Thesis, University of Toronto, Toronto, ON, Canada, 2010. [Google Scholar]
- Martins, J.R.R.A.; Lambe, A.B. Multidisciplinary Design Optimization: A Survey of Architectures. AIAA J. 2013, 51, 2049–2075. [Google Scholar] [CrossRef]
- Martins, J.R.R.A.; Hwang, J.T. Review and Unification of Methods for Computing Derivatives of Multidisciplinary Computational Models. AIAA J. 2013, 51, 2582–2599. [Google Scholar] [CrossRef]
- Nocedal, J.; Wright, S.J. Numerical Optimization, 2nd ed.; Springer: Berlin/Heidelberg, Germany, 2006. [Google Scholar] [CrossRef]
- Martins, J.R.R.A.; Ning, A. Engineering Design Optimization; Cambridge University Press: Cambridge, UK, 2021. [Google Scholar] [CrossRef]
- Boyd, S.P.; Vandenberghe, L. Convex Optimization; Cambridge University Press: Cambridge, UK, 2004. [Google Scholar]
- Rios, L.M.; Sahinidis, N.V. Derivative-free optimization: A review of algorithms and comparison of software implementations. J. Glob. Optim. 2013, 56, 1247–1293. [Google Scholar] [CrossRef]
- Conn, A.R.; Scheinberg, K.; Vicente, L.N. Introduction to Derivative-Free Optimization; SIAM: Philadelphia, PA, USA, 2009. [Google Scholar] [CrossRef]
- Larson, J.; Menickelly, M.; Wild, S.M. Derivative-free optimization methods. Acta Numer. 2019, 28, 287–404. [Google Scholar] [CrossRef]
- Boggs, P.T.; Tolle, J.W. Sequential Quadratic Programming. Acta Numer. 1995, 4, 1–51. [Google Scholar] [CrossRef]
- Gill, P.E.; Murray, W.; Saunders, M.A. SNOPT: An SQP algorithm for large-scale constrained optimization. SIAM J. Optim. 2002, 12, 979–1006. [Google Scholar] [CrossRef]
- Gill, P.E.; Wong, E. Sequential quadratic programming methods. In Mixed Integer Nonlinear Programming; The IMA Volumes in Mathematics and Its Applications; Lee, J., Leyffer, S., Eds.; Springer: New York, NY, USA, 2012; Volume 154. [Google Scholar] [CrossRef]
- Forsgren, A.; Gill, P.E.; Wright, M.H. Interior methods for nonlinear optimization. SIAM Rev. 2002, 44, 525–597. [Google Scholar] [CrossRef]
- Griewank, A. Evaluating Derivatives; SIAM: Philadelphia, PA, USA, 2000. [Google Scholar]
- Li, J.; Du, X.; Martins, J.R. Machine learning in aerodynamic shape optimization. Prog. Aerosp. Sci. 2022, 134, 100849. [Google Scholar] [CrossRef]
- Peherstorfer, B.; Willcox, K.; Gunzburger, M. Survey of Multifidelity Methods in Uncertainty Propagation, Inference, and Optimization. SIAM Rev. 2018, 60, 550–591. [Google Scholar] [CrossRef]
- Le Clainche, S.; Ferrer, E.; Gibson, S.; Cross, E.; Parente, A.; Vinuesa, R. Improving aircraft performance using machine learning: A review. Aerosp. Sci. Technol. 2023, 138, 108354. [Google Scholar] [CrossRef]
- Koziel, S.; Ciaurri, D.E.; Leifsson, L. Surrogate-Based Methods. In Computational Optimization, Methods and Algorithms; Springer: Berlin/Heidelberg, Germany, 2011; pp. 33–59. [Google Scholar] [CrossRef]
- Rasmussen, C.E.; Williams, C.K.I. Gaussian Processes for Machine Learning; Adaptive Computation and Machine Learning; MIT Press: Cambridge, MA, USA, 2006; p. 248. [Google Scholar]
- Williams, C.K.I.; Rasmussen, C.E. Gaussian Processes for Regression. In Advances in Neural Information Processing Systems; MIT Press: Cambridge, MA, USA, 1996; Volume 8. [Google Scholar]
- Han, Z.H.; Görtz, S. Hierarchical Kriging Model for Variable-Fidelity Surrogate Modeling. AIAA J. 2012, 50, 1885–1896. [Google Scholar] [CrossRef]
- Jones, D.R.; Schonlau, M.; Welch, W.J. Efficient Global Optimization of Expensive Black-Box Functions. J. Glob. Optim. 1998, 13, 455–492. [Google Scholar] [CrossRef]
- Needels, J.T.; Alonso, J.J. Efficient Global Optimization for Multidisciplinary Conceptual Design of Hypersonic Vehicles. In Proceedings of the AIAA SciTech Forum, San Diego, CA, USA, 12–16 June 2023. [Google Scholar] [CrossRef]
- Bartoli, N.; Lefebvre, T.; Dubreuil, S.; Olivanti, R.; Priem, R.; Bons, N.; Martins, J.R.R.A.; Morlier, J. Adaptive modeling strategy for constrained global optimization with application to aerodynamic wing design. Aerosp. Sci. Technol. 2019, 90, 85–102. [Google Scholar] [CrossRef]
- Wiener, N. The homogeneous chaos. Am. J. Math. 1938, 60, 897. [Google Scholar] [CrossRef]
- Eldred, M.; Webster, C.; Constantine, P. Evaluation of non-intrusive approaches for Wiener-Askey generalized polynomial chaos. In Proceedings of the 49th AIAA Structures, Structural Dynamics, and Materials Conference, Schaumburg, IL, USA, 7–10 April 2008; American Institute of Aeronautics and Astronautics: Reston, VA, USA, 2008. [Google Scholar] [CrossRef]
- Sudret, B. Global sensitivity analysis using polynomial chaos expansions. Reliab. Eng. Syst. Saf. 2008, 93, 964–979. [Google Scholar] [CrossRef]
- Xiu, D.; Karniadakis, G.E. The Wiener–Askey Polynomial Chaos for Stochastic Differential Equations. SIAM J. Sci. Comput. 2002, 24, 619–644. [Google Scholar] [CrossRef]
- Du, X.; Leifsson, L.T. Multifidelity Modeling by Polynomial Chaos-Based Cokriging to Enable Efficient Model-Based Reliability Analysis of NDT Systems. J. Nondestruct. Eval. 2020, 39, 13. [Google Scholar] [CrossRef]
- Du, X.; Leifsson, L. Optimum aerodynamic shape design under uncertainty by utility theory and metamodeling. Aerosp. Sci. Technol. 2019, 95, 105464. [Google Scholar] [CrossRef]
- Zuhal, L.R.; Zakaria, K.; Palar, P.S.; Shimoyama, K.; Liem, R.P. Polynomial-Chaos–Kriging with Gradient Information for Surrogate Modeling in Aerodynamic Design. AIAA J. 2021, 59, 2950–2967. [Google Scholar] [CrossRef]
- Rumpfkeil, M.; Beran, P. Multifidelity Sparse Polynomial Chaos Surrogate Models Applied to Flutter Databases. AIAA J. 2020, 58, 1292–1303. [Google Scholar] [CrossRef]
- Bowers, J.; Durant, E.; Ranjan, R. Application of Intrusive and Non-Intrusive Reduced Order Modeling Techniques for Simulation of Turbulent Premixed Flames. In Proceedings of the AIAA Propulsion and Energy Forum and Exposition, Virtual, 9–11 August 2021. [Google Scholar] [CrossRef]
- Wang, X.; Ni, B.; Zeng, L.; Liu, Y. An adaptive sampling strategy for construction of surrogate aerodynamic model. Aerosp. Sci. Technol. 2021, 112, 106594. [Google Scholar] [CrossRef]
- LeGresley, P.; Alonso, J. Investigation of Non-Linear Projection for POD Based Reduced Order Models for Aerodynamics. In Proceedings of the 39th AIAA Aerospace Sciences Meeting and Exhibit, Reno, NV, USA, 8–11 January 2001. AIAA paper 01-0926. [Google Scholar]
- Ripepi, M.; Verveld, M.J.; Karcher, N.W.; Franz, T.; Abu-Zurayk, M.; Görtz, S.; Kier, T.M. Reduced-order models for aerodynamic applications, loads and MDO. CEAS Aeronaut. J. 2018, 9, 171–193. [Google Scholar] [CrossRef]
- Rajaram, D.; Gautier, R.H.; Perron, C.; Pinon-Fischer, O.J.; Mavris, D. Non-Intrusive Parametric Reduced Order Models with High-Dimensional Inputs via Gradient-Free Active Subspace. In Proceedings of the AIAA Aviation Forum, Virture, 15–19 June 2020; American Institute of Aeronautics and Astronautics: Reston, VA, USA, 2020. [Google Scholar] [CrossRef]
- LeCun, Y.; Bengio, Y.; Hinton, G. Deep Learning. Nature 2015, 521, 436–444. [Google Scholar] [CrossRef]
- Emmert-Streib, F.; Yang, Z.; Feng, H.; Tripathi, S.; Dehmer, M. An Introductory Review of Deep Learning for Prediction Models With Big Data. Front. Artif. Intell. 2020, 3, 4. [Google Scholar] [CrossRef]
- Rengasamy, D.; Morvan, H.P.; Figueredo, G.P. Deep Learning Approaches to Aircraft Maintenance, Repair and Overhaul: A Review. In Proceedings of the 2018 21st International Conference on Intelligent Transportation Systems (ITSC), Maui, HI, USA, 4–7 November 2018; pp. 150–156. [Google Scholar] [CrossRef]
- Mahony, N.O.; Campbell, S.; Carvalho, A.; Harapanahalli, S.; Velasco-Hernández, G.A.; Krpalkova, L.; Riordan, D.; Walsh, J. Deep Learning vs. Traditional Computer Vision. In Advances in Computer Vision, Proceedings of the 2019 Computer Vision Conference (CVC), Las Vegas, NV, USA, 2–3 May 2019; Springer: Cham, Switzerland, 2019. [Google Scholar] [CrossRef]
- Maier, A.; Syben, C.; Lasser, T.; Riess, C. A Gentle Introduction to Deep Learning in Medical Image Processing. Z. Med. Phys. 2019, 29, 86–101. [Google Scholar] [CrossRef] [PubMed]
- Mnih, V.; Kavukcuoglu, K.; Silver, D.; Rusu, A.A.; Veness, J.; Bellemare, M.G.; Graves, A.; Riedmiller, M.; Fidjeland, A.K.; Ostrovski, G.; et al. Human-level control through deep reinforcement learning. Nature 2015, 518, 529–533. [Google Scholar] [CrossRef] [PubMed]
- Gron, A. Hands-On Machine Learning with Scikit-Learn and TensorFlow: Concepts, Tools, and Techniques to Build Intelligent Systems, 1st ed.; O’Reilly Media, Inc.: Sebastopol, CA, USA, 2017. [Google Scholar]
- Alpaydin, E. Introduction to Machine Learning, 4th ed.; MIT Press: Cambridge, MA, USA, 2020. [Google Scholar]
- Russell, S.J.; Norvig, P. Artificial Intelligence: A Modern Approach, 4th ed.; Pearson: Upper Saddle River, NJ, USA, 2021. [Google Scholar]
- Hess, R.A. On the use of back propagation with feed-forward neural networks for the aerodynamic estimation problem. In Proceedings of the AIAA Atmospheric Flight Mechanics Conference, Monterey, CA, USA, 9–11 August 1993. Number AIAA Paper 93-3638. [Google Scholar]
- Torregrosa, A.J.; García-Cuevas, L.M.; Quintero, P.; Cremades, A. On the application of artificial neural network for the development of a nonlinear aeroelastic model. Aerosp. Sci. Technol. 2021, 115, 106845. [Google Scholar] [CrossRef]
- Mazhar, F.; Khan, A.M.; Chaudhry, I.A.; Ahsan, M. On using neural networks in UAV structural design for CFD data fitting and classification. Aerosp. Sci. Technol. 2013, 30, 210–225. [Google Scholar] [CrossRef]
- Song, Y.; Liu, Z.; Han, J.; Yuan, J.; Zhao, W.; Dang, Q. Second-Order Sliding Mode Control of Flying-Wing Aircraft Based on Feedforward Neural Networks. IEEE Trans. Autom. Sci. Eng. 2025, 22, 21811–21830. [Google Scholar] [CrossRef]
- Sherstinsky, A. Fundamentals of Recurrent Neural Network (RNN) and Long Short-Term Memory (LSTM) network. Phys. D Nonlinear Phenom. 2020, 404, 132306. [Google Scholar] [CrossRef]
- Pu, J.; Zhang, Y.; Guan, Y.; Cui, N. Recurrent neural network-based predefined time control for morphing aircraft with asymmetric time-varying constraints. Appl. Math. Model. 2024, 135, 578–600. [Google Scholar] [CrossRef]
- Nanduri, A.; Sherry, L. Anomaly detection in aircraft data using Recurrent Neural Networks (RNN). In Proceedings of the 2016 Integrated Communications Navigation and Surveillance (ICNS), Herndon, VA, USA, 19–21 April 2016. [Google Scholar] [CrossRef]
- Raol, J.R.; Jategaonkar, R.V. Aircraft parameter estimation using recurrent neural networks—A critical appraisal. In Proceedings of the AIAA Atmospheric Flight Mechanics Conference, Baltimore, MD, USA, 7–10 August 1995. Number AIAA Paper 95-3504. [Google Scholar] [CrossRef]
- Hochreiter, S.; Schmidhuber, J. Long Short-Term Memory. Neural Comput. 1997, 9, 1735–1780. [Google Scholar] [CrossRef] [PubMed]
- Xu, T.; Han, G.; Zhu, H.; Taleb, T.; Peng, J. Multi-Resolution LSTM-Based Prediction Model for Remaining Useful Life of Aero-Engine. IEEE Trans. Veh. Technol. 2024, 73, 1931–1941. [Google Scholar] [CrossRef]
- Yang, K.; Bi, M.; Liu, Y.; Zhang, Y. LSTM-Based Deep Learning Model for Civil Aircraft Position and Attitude Prediction Approach. In Proceedings of the 2019 Chinese Control Conference (CCC), Guangzhou, China, 27–30 July 2019; pp. 8689–8694. [Google Scholar] [CrossRef]
- Pang, Y.; Xu, N.; Liu, Y. Aircraft trajectory prediction using LSTM neural network with embedded convolutional layer. In PHM Society Conference, Proceedings of the Annual Conference of the Prognostics and Health Management Society, Portland, OR, USA, 10–16 October 2019; PHM Society: Nashville, TN, USA, 2019; Volume 11, pp. 1–10. [Google Scholar] [CrossRef]
- Li, W.; Liu, J.; Mei, H. Lightweight convolutional neural network for aircraft small target real-time detection in Airport videos in complex scenes. Sci. Rep. 2022, 12, 14474. [Google Scholar] [CrossRef]
- Sun, S.; Wang, J.; Xiao, Y.; Peng, J.; Zhou, X. Few-shot RUL prediction for engines based on CNN-GRU model. Sci. Rep. 2024, 14, 16041. [Google Scholar] [CrossRef]
- An, Y.; Du, X.; Martins, J.R.R.A. A Convolutional Neural Network Model Based on Multiscale Structural Similarity for the Prediction of Flow Fields. In Proceedings of the AIAA Aviation Forum, Virtual, 2–6 August 2021. [Google Scholar] [CrossRef]
- Bhatnagar, S.; Afshar, Y.; Pan, S.; Duraisamy, K.; Kaushik, S. Prediction of aerodynamic flow fields using convolutional neural networks. Comput. Mech. 2019, 64, 525–545. [Google Scholar] [CrossRef]
- Sengar, S.S.; Hasan, A.B.; Kumar, S.; Carroll, F. Generative artificial intelligence: A systematic review and applications. Multimed. Tools Appl. 2024, 84, 23661–23700. [Google Scholar] [CrossRef]
- Kumar, A.; Shankar, A.; Hollebeek, L.D.; Behl, A.; Lim, W.M. Generative artificial intelligence (GenAI) revolution: A deep dive into GenAI adoption. J. Bus. Res. 2025, 189, 115160. [Google Scholar] [CrossRef]
- Kingma, D.P.; Welling, M. Auto-encoding variational bayes. arXiv 2013, arXiv:1312.6114. [Google Scholar]
- Kingma, D.P.; Welling, M. An introduction to variational autoencoders. arXiv 2019, arXiv:1906.02691. [Google Scholar] [CrossRef]
- Goodfellow, I.; Pouget-Abadie, J.; Mirza, M.; Xu, B.; Warde-Farley, D.; Ozair, S.; Courville, A.; Bengio, Y. Generative Adversarial Nets. In Advances in Neural Information Processing Systems 27; Ghahramani, Z., Welling, M., Cortes, C., Lawrence, N.D., Weinberger, K.Q., Eds.; Curran Associates, Inc.: New York, NY, USA, 2014; pp. 2672–2680. [Google Scholar]
- Goodfellow, I. NIPS 2016 Tutorial: Generative Adversarial Networks. arXiv 2017, arXiv:1701.00160. Available online: http://arxiv.org/abs/1701.00160 (accessed on 2 January 2026).
- Ho, J.; Jain, A.; Abbeel, P. Denoising Diffusion Probabilistic Models. arXiv 2020, arXiv:2006.11239. Available online: http://arxiv.org/abs/2006.11239 (accessed on 2 January 2026).
- Rombach, R.; Blattmann, A.; Lorenz, D.; Esser, P.; Ommer, B. High-Resolution Image Synthesis with Latent Diffusion Models. arXiv 2022, arXiv:2112.10752. Available online: http://arxiv.org/abs/2112.10752 (accessed on 15 December 2025).
- Vaswani, A.; Shazeer, N.; Parmar, N.; Uszkoreit, J.; Jones, L.; Gomez, A.N.; Kaiser, L.; Polosukhin, I. Attention Is All You Need. arXiv 2023, arXiv:1706.03762. Available online: http://arxiv.org/abs/1706.03762 (accessed on 15 December 2025).
- Bieniek, J.; Rahouti, M.; Verma, D.C. Generative AI in Multimodal User Interfaces: Trends, Challenges, and Cross-Platform Adaptability. arXiv 2024, arXiv:2411.10234. Available online: http://arxiv.org/abs/2411.10234 (accessed on 15 December 2025).
- Rao, V.M.; Hla, M.; Moor, M.; Adithan, S.; Kwak, S.; Topol, E.J.; Rajpurkar, P. Multimodal generative AI for medical image interpretation. Nature 2025, 639, 888–896. [Google Scholar] [CrossRef] [PubMed]
- Hagos, D.H.; Battle, R.; Rawat, D.B. Recent Advances in Generative AI and Large Language Models: Current Status, Challenges, and Perspectives. arXiv 2024, arXiv:2407.14962. Available online: http://arxiv.org/abs/2407.14962 (accessed on 15 December 2025).
- Brüns, J.D.; Meißner, M. Do you create your content yourself? Using generative artificial intelligence for social media content creation diminishes perceived brand authenticity. J. Retail. Consum. Serv. 2024, 79, 103790. [Google Scholar] [CrossRef]
- Brynjolfsson, E.; Li, D.; Raymond, L.R. Generative AI at Work. Q. J. Econ. 2025, 140, 889–942. [Google Scholar] [CrossRef]
- Du, X.; He, P.; Martins, J.R.R.A. Rapid Airfoil Design Optimization via Neural Networks-based Parameterization and Surrogate Modeling. Aerosp. Sci. Technol. 2021, 113, 106701. [Google Scholar] [CrossRef]
- Yoon, S.; Lee, K. Aircraft Trajectory Prediction With Inverted Transformer. IEEE Access 2025, 13, 26318–26330. [Google Scholar] [CrossRef]
- Chen, W.; Chiu, K.; Fuge, M. Aerodynamic Design Optimization and Shape Exploration using Generative Adversarial Networks. In Proceedings of the AIAA SciTech Forum, San Diego, CA, USA, 7–11, January 2019. [Google Scholar]
- Sisk, S.; Du, X. Surrogate-Based Multidisciplinary Optimization for the Takeoff Trajectory Design of Electric Drones. Processes 2024, 12, 1864. [Google Scholar] [CrossRef]
- Yeh, S.T.; Du, X. Optimal Tilt-Wing eVTOL Takeoff Trajectory Prediction Using Regression Generative Adversarial Networks. Mathematics 2024, 12, 26. [Google Scholar] [CrossRef]
- York, M.A.; Hoburg, W.W.; Drela, M. Turbofan engine sizing and tradeoff analysis via signomial programming. J. Aircr. 2018, 55, 988–1003. [Google Scholar] [CrossRef]
- Liem, R.P.; Kenway, G.K.W.; Martins, J.R.R.A. Multi-point, multi-mission, high-fidelity aerostructural optimization of a long-range aircraft configuration. In Proceedings of the 14th AIAA/ISSMO Multidisciplinary Analysis and Optimization Conference, Indianapolis, IN, USA, 17–19 September 2012. [Google Scholar] [CrossRef]
- Drela, M. Design and Optimization Method for Multi-Element Airfoils Aerospace Design Conference. In Proceedings of the AIAA/AHS/ASEE Aerospace Design Conference, Irvine, CA, USA, 16–19 February 1993. Number AIAA 1993-0969. [Google Scholar] [CrossRef]
- Kennedy, G.J.; Martins, J.R.R.A. A parallel aerostructural optimization framework for aircraft design studies. Struct. Multidiscip. Optim. 2014, 50, 1079–1101. [Google Scholar] [CrossRef]
- Matsuno, Y.; Tsuchiya, T.; Wei, J.; Hwang, I.; Matayoshi, N. Stochastic optimal control for aircraft conflict resolution under wind uncertainty. Aerosp. Sci. Technol. 2015, 43, 77–88. [Google Scholar] [CrossRef]
- Ebrahimi, M.J.; Pasandidehfard, M.; Esmaeili, A.; Moghimi Esfandabadi, M.H. Optimization of Aerodynamic Design of a Winged UAV Through Genetic Algorithms and Large Eddy Simulation. Int. J. Aerosp. Eng. 2024, 2024, 2698950. [Google Scholar] [CrossRef]
- Jemitola, P.; Okonkwo, P. An Analysis of Aerodynamic Design Issues of Box-Wing Aircraft. J. Aviat. Technol. Eng. 2023, 12, 15–24. [Google Scholar] [CrossRef]
- James, K.A.; Kennedy, G.J.; Martins, J.R.R.A. Concurrent Aerostructural Topology Optimization of a Wing Box. Comput. Struct. 2014, 134, 1–17. [Google Scholar] [CrossRef]
- Lee, E.; James, K.A.; Martins, J.R.R.A. Stress-Constrained Topology Optimization with Design-Dependent Loading. Struct. Multidiscip. Optim. 2012, 46, 647–661. [Google Scholar] [CrossRef]
- Wang, Z.; De Breuker, R.; Sodja, J.; Wolleswinkel, R.E.; de Vries, R.; Giuffré, A. A Study on Wing Structural Design and Sizing for a Large Battery-Electric Aircraft. In Proceedings of the AIAA Aviation Forum and ASCEND 2025, Las Vegas, NV, USA, 21–25 July 2025; American Institute of Aeronautics and Astronautics (AIAA): Reston, VA, USA, 2025; p. 16. [Google Scholar] [CrossRef]
- Kenway, G.K.W.; Kennedy, G.J.; Martins, J.R.R.A. A Scalable Parallel Approach for High-Fidelity Aerostructural Analysis and Optimization. In Proceedings of the 53rd AIAA/ASME/ASCE/AHS/ASC Structures, Structural Dynamics, and Materials Conference, Honolulu, HI, USA, 23–26 April 2012. AIAA 2012-1922. [Google Scholar]
- Jacobson, K. FUNtoFEM: A Framework for High-Fidelity Aeroelastic Analysis and Design. In Proceedings of the NASA LaRC/Northrop Grumman Technical Interchange Meeting, Hampton, VA, USA, 10 May 2019. [Google Scholar]
- Yildirim, A.; Jacobson, K.E.; Anibal, J.L.; Stanford, B.K.; Gray, J.S.; Mader, C.A.; Martins, J.R.R.A.; Kennedy, G.J. MPhys: A Modular Multiphysics Library for Coupled Simulation and Adjoint Derivative Computation. Struct. Multidiscip. Optim. 2025, 68, 15. [Google Scholar] [CrossRef]
- Gray, J.; Moore, K.T.; Naylor, B.A. OpenMDAO: An Open Source Framework for Multidisciplinary Analysis and Optimization. In Proceedings of the 13th AIAA/ISSMO Multidisciplinary Analysis Optimization Conference, Fort Worth, TX, USA, 13–15 September 2010. AIAA 2010-9101. [Google Scholar]
- Gray, J.; Mader, C.A.; Kenway, G.K.W.; Martins, J.R.R.A. Approach to Modeling Boundary Layer Ingestion using a Fully Coupled Propulsion-RANS Model. In Proceedings of the 55th AIAA Aerospace Sciences Meeting (SciTech), Grapevine, TX, USA, 9–13 January 2017. [Google Scholar] [CrossRef]
- Brelje, B.J.; Martins, J.R.R.A. Development of a Conceptual Design Model for Aircraft Electric Propulsion with Efficient Gradients. In Proceedings of the AIAA/IEEE Electric Aircraft Technologies Symposium, Cincinnati, OH, USA, 9–11 July 2018. [Google Scholar] [CrossRef]
- Lee, D.; Lim, D.; Yee, K. Generic Design Methodology for Vertical Takeoff and Landing Aircraft with Hybrid-Electric Propulsion. J. Aircr. 2022, 59, 278–292. [Google Scholar] [CrossRef]
- Abu Salem, K.; Palaia, G.; Quarta, A.A. Review of hybrid-electric aircraft technologies and designs: Critical analysis and novel solutions. Prog. Aerosp. Sci. 2023, 141, 100924. [Google Scholar] [CrossRef]
- Bonami, P.; Olivares, A.; Soler, M.; Staffetti, E. Multiphase Mixed-Integer Optimal Control Approach to Aircraft Trajectory Optimization. J. Guid. Control. Dyn. 2013, 36, 1267–1277. [Google Scholar] [CrossRef]
- Garcia-Sanz, M. Control Co-Design: An engineering game changer. Adv. Control Appl. 2019, 1, e18. [Google Scholar] [CrossRef]
- O’Leary-Roseberry, T.; Du, X.; Chaudhuri, A.; Martins, J.R.R.A.; Willcox, K.; Ghattas, O. Adaptive Projected Residual Networks for Learning Parametric Maps from Sparse Data. arXiv 2021, arXiv:2112.07096. [Google Scholar] [CrossRef]
- Sella, V.; O’Leary-Roseberry, T.; Du, X.; Guo, M.; Martins, J.R.; Ghattas, O.; Willcox, K.E.; Chaudhuri, A. Improving Neural Network Efficiency with Multifidelity and Dimensionality Reduction Techniques. In Proceedings of the AIAA SciTech Forum, Orlando, FL, USA, 6–10 January 2025. [Google Scholar] [CrossRef]
- Li, R.; Zhang, Y.; Chen, H. Learning the Aerodynamic Design of Supercritical Airfoils Through Deep Reinforcement Learning. AIAA J. 2021, 59, 3988–4001. [Google Scholar] [CrossRef]
- Lambe, A.B.; Martins, J.R.R.A. Extensions to the Design Structure Matrix for the Description of Multidisciplinary Design, Analysis, and Optimization Processes. Struct. Multidiscip. Optim. 2012, 46, 273–284. [Google Scholar] [CrossRef]
- Kroo, I.M. MDO for Large-Scale Design. In Multidisciplinary Design Optimization: State-of-the-Art; Alexandrov, N., Hussaini, M.Y., Eds.; SIAM: Philadelphia, PA, USA, 1997; pp. 22–44. [Google Scholar]
- Haftka, R.T.; Sobieszczanski-Sobieski, J.; Padula, S.L. On Options for Interdisciplinary Analysis and Design Optimization. Struct. Optim. 1992, 4, 65–74. [Google Scholar] [CrossRef]
- Tosserams, S.; Etman, L.F.P.; Rooda, J.E. A Classification of Methods for Distributed System Optimization based on Formulation Structure. Struct. Multidiscip. Optim. 2009, 39, 503–517. [Google Scholar] [CrossRef][Green Version]
- Willcox, K.; Wakayama, S. Simultaneous Optimization of a Multiple-Aircraft Family. J. Aircr. 2003, 40, 616–622. [Google Scholar] [CrossRef]
- Simpson, T.W.; Martins, J.R.R.A. Multidisciplinary Design Optimization for Complex Engineered Systems Design: Report from an NSF Workshop. J. Mech. Des. 2011, 133, 101002. [Google Scholar] [CrossRef]
- Brooks, T.R.; Kenway, G.K.W.; Martins, J.R.R.A. Undeflected Common Research Model (uCRM): An Aerostructural Model for the Study of High Aspect Ratio Transport Aircraft Wings. In Proceedings of the 18th AIAA/ISSMO Multidisciplinary Analysis and Optimization Conference, Denver, CO, USA, 5–9 June 2017. [Google Scholar] [CrossRef]
- Jones, A.R.; Willcox, K.E.; Hileman, J.I. Distributed Multidisciplinary Optimization of Aircraft Design and Takeoff Operations for Low Noise. In Proceedings of the 48th AIAA/ASME/ASCE/AHS/ASC Structures, Structural Dynamics, and Materials Conference, Honolulu, HI, USA, 23–26 April 2006. AIAA 2007-1856. [Google Scholar]
- Cramer, E.J.; Dennis, J.E.; Frank, P.D.; Lewis, R.M.; Shubin, G.R. Problem Formulation for Multidisciplinary Optimization. SIAM J. Optim. 1994, 4, 754–776. [Google Scholar] [CrossRef]
- Babaei, A.R.; Setayandeh, M.R.; Farrokhfal, H. Aircraft robust multidisciplinary design optimization methodology based on fuzzy preference function. Chin. J. Aeronaut. 2018, 31, 2248–2259. [Google Scholar] [CrossRef]
- Dener, A.; Hicken, J.E.; Kenway, G.K.W.; Martins, J.R.R.A. Enabling Modular Aerostructural Optimization: Individual Discipline Feasible without the Jacobians. In Proceedings of the 2018 AIAA/ISSMO Multidisciplinary Analysis and Optimization Conference, Atlanta, GA, USA, 25–29 June 2018. [Google Scholar]
- Hoogervorst, J.E.; Elham, A. Wing aerostructural optimization using the Individual Discipline Feasible Architecture. Aerosp. Sci. Technol. 2017, 65, 90–99. [Google Scholar] [CrossRef]
- Kodiyalam, S.; Sobieszczanski-Sobieski, J. Bilevel Integrated System Synthesis with Response Surfaces. AIAA J. 2002, 38, 1479–1485. [Google Scholar] [CrossRef]
- Huang, C.H.; Galuski, J.; Bloebaum, C.L. Multi-Objective Pareto Concurrent Subspace Optimization for Multidisciplinary Design. AIAA J. 2007, 45, 1894–1906. [Google Scholar] [CrossRef]
- Stelmack, M.A.; Batill, S.M. Concurrent Subspace Optimization of Mixed Continuous/Discrete Systems. In Proceedings of the 38th AIAA/ASME/ASCE/AHS/ASC Structures, Structural Dynamics, and Materials Conference, Kissimmee, FL, USA, 7–10 April 1997. [Google Scholar]
- Kennedy, G.; Martins, J.R.R.A.; Hansen, J.S. Aerostructural Optimization of Aircraft Structures Using Asymmetric Subspace Optimization. In Proceedings of the 12th AIAA/ISSMO Multidisciplinary Analysis and Optimization Conference, Victoria, BC, Canada, 10–12 September 2008. AIAA 2008-5847. [Google Scholar]
- Zadeh, P.M.; Toropov, V.V.; Wood, A.S. Metamodel-based Collaborative Optimization Framework. Struct. Multidiscip. Optim. 2009, 38, 103–115. [Google Scholar] [CrossRef]
- Jafarsalehi, A.; Zadeh, P.M.; Mirshams, M. Collaborative Optimization of Remote Sensing Small Satellite Mission using Genetic Algorithms. Trans. Mech. Eng. 2012, 36, 117–128. [Google Scholar]
- Kokkolaras, M.; Louca, L.S.; Delagrammatikas, G.J.; Michelena, N.F.; Filipi, Z.S.; Papalambros, P.Y.; Stein, J.L.; Assanis, D.N. Simulation-based Optimal Design of Heavy Trucks by Model-based Decomposition: An Extensive Analytical Target Cascading Case Study. Int. J. Heavy Veh. Syst. 2004, 11, 403–433. [Google Scholar] [CrossRef]
- Lupp, C.A.; Deaton, J.D.; Kao, J.Y.; Clark, D.L.; Smith, H.A.; Xu, A. The Monolith Must Die: Why the Correct Partitioning of MDO Problems is Necessary to Enable Large-Scale Applications. In Proceedings of the AIAA SciTech Forum, Orlando, FL, USA, 6–10 January 2025. [Google Scholar] [CrossRef]
- Sisk, S.; Yan, G.; Du, X. Surrogate-based Optimal Multidisciplinary Takeoff Trajectory Design for Electric Drones. In Proceedings of the AIAA Aviation Forum, San Diego, CA, USA, 12–16 June 2023. [Google Scholar] [CrossRef]
- Queipo, N.V.; Haftka, R.T.; Shyy, W.; Goel, T.; Vaidyanathan, R.; Kevin Tucker, P. Surrogate-based analysis and optimization. Prog. Aerosp. Sci. 2005, 41, 1–28. [Google Scholar] [CrossRef]
- Koziel, S.; Leifsson, L. (Eds.) Surrogate-Based Modeling and Optimization; Springer: New York, NY, USA, 2013. [Google Scholar] [CrossRef]
- Yondo, R.; Andrés, E.; Valero, E. A review on design of experiments and surrogate models in aircraft real-time and many-query aerodynamic analyses. Prog. Aerosp. Sci. 2018, 96, 23–61. [Google Scholar] [CrossRef]
- Feldstein, A.; Lazzara, D.; Princen, N.; Willcox, K. Multifidelity Data Fusion: Application to Blended-Wing-Body Multidisciplinary Analysis Under Uncertainty. AIAA J. 2020, 58, 889–906. [Google Scholar] [CrossRef]
- Lefebvre, T.; Bartoli, N.; Dubreuil, S.; Panzeri, M.; Lombardi, R.; Lammen, W.; Zhang, M.; van Gent, I.; Ciampa, P.D. A clustered and surrogate-based MDA use case for MDO scenarios in AGILE project. In Proceedings of the Multidisciplinary Analysis and Optimization Conference, Atlanta, GA, USA, 25–29 June 2018. [Google Scholar] [CrossRef][Green Version]
- Nagawkar, J.; Leifsson, L.T.; Du, X. Applications of Polynomial Chaos-Based Cokriging to Aerodynamic Design Optimization Benchmark Problems. In Proceedings of the AIAA Scitech Forum, Orlando, FL, USA, 6–10 January 2020. [Google Scholar] [CrossRef]
- Nagawkar, J.; Leifsson, L. Applications of Polynomial Chaos-Based Cokriging to Simulation-Based Analysis and Design Under Uncertainty. In Proceedings of the ASME 2020 International Design Engineering Technical Conferences and Computers and Information in Engineering Conference, Virtual, 17–19 August 2020. [Google Scholar]
- Karali, H.; Inalhan, G.; Tsourdos, A. Advanced UAV Design Optimization Through Deep Learning-Based Surrogate Models. Aerospace 2024, 11, 669. [Google Scholar] [CrossRef]
- Saadi, M.; Bernier, V.; Zacharewicz, G.; Daclin, N. Surrogate Modelling with Deep Learning for Optimizing Manufacturing Assembly Lines. In Proceedings of the 2024 Annual Modeling and Simulation Conference (ANNSIM), Washington, DC, USA, 20–23 May 2024; pp. 1–12. [Google Scholar] [CrossRef]
- Sung, N.; Spreizer, S.; Elrefaie, M.; Samuel, K.; Jones, M.C.; Ahmed, F. BlendedNet: A Blended Wing Body Aircraft Dataset and Surrogate Model for Aerodynamic Predictions. In Proceedings of the International Design Engineering Technical Conferences and Computers and Information in Engineering Conference, Anaheim, CA, USA, 17–20 August 2025; 51st Design Automation Conference (DAC); ASME: New York, NY, USA; Volume 3B. [CrossRef]
- Kapusuzoglu, B.; Guo, Y.; Mahadevan, S.; Matsumoto, S.; Yoshitomo, M.; Taba, S.; Watanabe, D. Dimension Reduction for Efficient Surrogate Modeling in High-Dimensional Applications. In Proceedings of the AIAA SciTech Forum, San Diego, CA, USA, 3–7 January 2022. [Google Scholar] [CrossRef]
- Lazzara, M.; Chevalier, M.; Colombo, M.; Garay Garcia, J.; Lapeyre, C.; Teste, O. Surrogate modelling for an aircraft dynamic landing loads simulation using an LSTM AutoEncoder-based dimensionality reduction approach. Aerosp. Sci. Technol. 2022, 126, 107629. [Google Scholar] [CrossRef]
- Samaddar, A.; Ravi, S.K.; Ramachandra, N.; Luan, L.; Madireddy, S.; Bhaduri, A.; Pandita, P.; Sun, C.; Wang, L. Data-Efficient Dimensionality Reduction and Surrogate Modeling of High-Dimensional Stress Fields. J. Mech. Des. 2024, 147, 031701. [Google Scholar] [CrossRef]
- Ganti, H.; Khare, P. Data-driven surrogate modeling of multiphase flows using machine learning techniques. Comput. Fluids 2020, 211, 104626. [Google Scholar] [CrossRef]
- Zhang, L.; Chu, X.; Ding, S.; Zhou, M.; Ni, C.; Wang, X. Surrogate Modeling of Hydrogen-Enriched Combustion Using Autoencoder-Based Dimensionality Reduction. Processes 2025, 13, 93. [Google Scholar] [CrossRef]
- He, S.; Xie, Y.; Gao, C.; Chen, S.; Lou, B.; Lan, K.; Tsourdos, A. Multifidelity Surrogate Aerodynamic Model with a New Adaptive Sampling for Rotorcraft Design. AIAA J. 2025, 64, 1–18. [Google Scholar] [CrossRef]
- Gorissen, D.; Crombecq, K.; Couckuyt, I.; Dhaene, T.; Demeester, P. A Surrogate Modeling and Adaptive Sampling Toolbox for Computer Based Design. J. Mach. Learn. Res. 2010, 11, 2051–2055. [Google Scholar]
- Koratikere, P.; Leifsson, L.; Koziel, S.; Pietrenko-Dabrowska, A. Adaptive Global Modeling Using Neural Networks with Deep Ensembles and Space-Filling Sequences. In Computational Science— ICCS 2025 Workshops, Proceedings of the 25th International Conference, Singapore, Singapore, 7–9 July 2025; Paszynski, M., Barnard, A.S., Zhang, Y.J., Eds.; Springer: Cham, Switzerland, 2025; pp. 347–361. [Google Scholar]
- Wang, J.; Du, X.; Martins, J.R.R.A. Novel adaptive sampling algorithm for POD-based non-intrusive reduced order model. In Proceedings of the AIAA Aviation Forum, Virtual, 2–6 August 2021. [Google Scholar] [CrossRef]
- Bird, G.D.; Gorrell, S.E.; Salmon, J.L. Dimensionality-reduction-based surrogate models for real-time design space exploration of a jet engine compressor blade. Aerosp. Sci. Technol. 2021, 118, 107077. [Google Scholar] [CrossRef]
- Wang, J.; Martins, J.R.; Du, X. Automated optimal experimental design strategy for reduced order modeling of aerodynamic flow fields. Aerosp. Sci. Technol. 2024, 150, 109214. [Google Scholar] [CrossRef]
- Frazier, P.I. A Tutorial on Bayesian Optimization. arXiv 2018, arXiv:1807.02811. [Google Scholar] [CrossRef]
- Wilson, J.T.; Hutter, F.; Deisenroth, M.P. Maximizing Acquisition Functions for Bayesian Optimization. arXiv 2018, arXiv:1805.10196. [Google Scholar] [CrossRef]
- Bartoli, N.; Meliani, M.; Morlier, J.; Lefebvre, T.; Bouhlel, M.A.; Martins, J.R.R.A. Multi-fidelity efficient global optimization: Methodology and application to airfoil shape design. In Proceedings of the AIAA Aviation Forum, Dallas, TX, USA, 17–21 June 2019. [Google Scholar] [CrossRef]
- Priem, R.; Gagnon, H.; Chittick, I.; Dufresne, S.; Diouane, Y.; Bartoli, N. An efficient application of Bayesian optimization to an industrial MDO framework for aircraft design. In Proceedings of the AIAA AVIATION 2020 FORUM, Virtual, 15–19 June 2020. [Google Scholar] [CrossRef]
- Wang, K.; Han, Z.; Zhang, K.; Song, W. Efficient Global Aerodynamic Shape Optimization of a Full Aircraft Configuration Considering Trimming. Aerospace 2023, 10, 734. [Google Scholar] [CrossRef]
- Ahrazoğlu, M.K.; Ahrazoğlu, M.A.; Acar, E. Trust Region-Based Efficient Global Optimization for Aircraft Wing Design in a Multidisciplinary Design Optimization Framework. In Proceedings of the AIAA SciTech Forum, Orlando, FL, USA, 6–10 January 2025. [Google Scholar] [CrossRef]
- Rajaram, D.; Puranik, T.G.; Renganathan, A.; Sung, W.J.; Pinon-Fischer, O.J.; Mavris, D.N.; Ramamurthy, A. Deep Gaussian Process Enabled Surrogate Models for Aerodynamic Flows. In Proceedings of the AIAA Scitech 2020 Forum, Orlando, FL, USA, 6–10 January 2025; American Institute of Aeronautics and Astronautics: Reston, VA, USA, 2020. [Google Scholar] [CrossRef]
- Izzaturrahman, M.F.; Palar, P.S.; Zuhal, L.; Shimoyama, K. Modeling Non-Stationarity with Deep Gaussian Processes: Applications in Aerospace Engineering. In Proceedings of the AIAA SciTech Forum, San Diego, CA, USA, 3–7 January 2022. [Google Scholar] [CrossRef]
- Dikshit, A.; Leifsson, L. A scalable composite Bayesian optimization framework for engineering design using deep learning reduced-order models. J. Comput. Sci. 2025, 92, 102722. [Google Scholar] [CrossRef]
- Scarabosio, L.; Wohlmuth, B.; Oden, J.T.; Faghihi, D. Goal-oriented adaptive modeling of random heterogeneous media and model-based multilevel Monte Carlo methods. Comput. Math. Appl. 2019, 78, 2700–2718. [Google Scholar] [CrossRef]
- Alaya, M.B.; Hajji, K.; Kebaier, A. Adaptive importance sampling for multilevel Monte Carlo Euler method. Stochastics 2023, 95, 303–327. [Google Scholar] [CrossRef]
- Leifsson, L.; Koziel, S.; Jonsson, E. Wing Aerodynamic Shape Optimization by Space Mapping. In Simulation and Modeling Methodologies, Technologies and Applications, Proceedings of the International Conference, SIMULTECH 2012, Rome, Italy, 28–31 July 2012 Revised Selected Papers; Obaidat, M.S., Filipe, J., Kacprzyk, J., Pina, N., Eds.; Springer International Publishing: Cham, Switzerland, 2014; pp. 319–332. [Google Scholar] [CrossRef]
- Koziel, S.; Leifsson, L. Surrogate-Based Aerodynamic Shape Optimization by Variable-Resolution Models. AIAA J. 2013, 51, 94–106. [Google Scholar] [CrossRef]
- Du, X.; Ren, J.; Leifsson, L. Aerodynamic inverse design using multifidelity models and manifold mapping. Aerosp. Sci. Technol. 2019, 85, 371–385. [Google Scholar] [CrossRef]
- O’Leary-Roseberry, T.; Du, X.; Chaudhuri, A.; Martins, J.R.; Willcox, K.; Ghattas, O. Learning high-dimensional parametric maps via reduced basis adaptive residual networks. Comput. Methods Appl. Mech. Eng. 2022, 402, 115730. [Google Scholar] [CrossRef]
- Sharma, R.S.; Hosder, S. Mission-Driven Inverse Design of Blended Wing Body Aircraft with Machine Learning. Aerospace 2024, 11, 137. [Google Scholar] [CrossRef]
- Du, X.; Martins, J.R.; O’Leary-Roseberry, T.; Chaudhuri, A.; Ghattas, O.; Willcox, K.E. Learning Optimal Aerodynamic Designs through Multi-Fidelity Reduced-Dimensional Neural Networks. In Proceedings of the AIAA SciTech Forum, National Harbor, MD, USA, 23–27 January 2023. [Google Scholar] [CrossRef]
- Sella, V.; Pham, J.; Willcox, K.; Chaudhuri, A. Projection-based multifidelity linear regression for data-scarce applications. arXiv 2025, arXiv:2508.08517. Available online: http://arxiv.org/abs/2508.08517 (accessed on 15 December 2025).
- Paramkusham, D.; Sisk, S.; Wang, J.; Yeh, S.T.; Du, X.; Roberts, N.M. An Adaptive Sampling Strategy on Optimal Takeoff Trajectory Prediction of Electric Drones. In Proceedings of the AIAA SciTech Forum, San Diego, CA, USA, 6–10 January 2025. [Google Scholar] [CrossRef]
- Sutton, R.S.; Barto, A.G. Reinforcement Learning: An Introduction; A Bradford Book: Cambridge, MA, USA, 2018. [Google Scholar]
- François-Lavet, V.; Henderson, P.; Islam, R.; Bellemare, M.G.; Pineau, J. An Introduction to Deep Reinforcement Learning. Found. Trends® Mach. Learn. 2018, 11, 219–354. [Google Scholar] [CrossRef]
- Szepesvári, C. Algorithms for Reinforcement Learning; Morgan & Claypool Publishers: San Rafael, CA, USA, 2010; Volume 4. [Google Scholar] [CrossRef]
- Lapan, M. Deep Reinforcement Learning Hands-On: Apply Modern RL Methods, with Deep Q-Networks, Value Iteration, Policy Gradients, TRPO, AlphaGo Zero and More; Packt Publishing: Birmingham, UK, 2018. [Google Scholar]
- Razzaghi, P.; Tabrizian, A.; Guo, W.; Chen, S.; Taye, A.; Thompson, E.; Bregeon, A.; Baheri, A.; Wei, P. A survey on reinforcement learning in aviation applications. Eng. Appl. Artif. Intell. 2024, 136, 108911. [Google Scholar] [CrossRef]
- Wang, Z.; Pan, W.; Li, H.; Wang, X.; Zuo, Q. Review of Deep Reinforcement Learning Approaches for Conflict Resolution in Air Traffic Control. Aerospace 2022, 9, 294. [Google Scholar] [CrossRef]
- Hu, J.; Yang, X.; Wang, W.; Wei, P.; Ying, L.; Liu, Y. Obstacle Avoidance for UAS in Continuous Action Space Using Deep Reinforcement Learning. IEEE Access 2022, 10, 90623–90634. [Google Scholar] [CrossRef]
- De Marco, A.; D’Onza, P.; Manfredi, S. A deep reinforcement learning control approach for high-performance aircraft. Nonlinear Dyn. 2023, 111, 17037–17077. [Google Scholar] [CrossRef]
- Tang, C.; Lai, Y.C. Deep Reinforcement Learning Automatic Landing Control of Fixed-Wing Aircraft Using Deep Deterministic Policy Gradient. In Proceedings of the 2020 International Conference on Unmanned Aircraft Systems (ICUAS), Athens, Greece, 1–4 September 2020; pp. 1–9. [Google Scholar] [CrossRef]
- Julian, K.D.; Kochenderfer, M.J. Distributed Wildfire Surveillance with Autonomous Aircraft Using Deep Reinforcement Learning. J. Guid. Control. Dyn. 2019, 42, 1768–1778. [Google Scholar] [CrossRef]
- Huang, B.; Jin, Y. Reward shaping in multiagent reinforcement learning for self-organizing systems in assembly tasks. Adv. Eng. Inform. 2022, 54, 101800. [Google Scholar] [CrossRef]
- Roberts, N.M.; Huang, B.; Du, X. Deep Reinforcement Learning for Optimal Takeoff Trajectory Design of an eVTOL Drone. In Proceedings of the AIAA Aviation Forum AND ASCEND, Las Vegas, NV, USA, 21–25 July 2025. [Google Scholar] [CrossRef]
- Scavella, P.; Paolillo, G.; Greco, C. Deep reinforcement learning-based airfoil design and optimization: An aerodynamic analysis. Aerosp. Sci. Technol. 2025, 167, 110638. [Google Scholar] [CrossRef]
- Dussauge, T.P.; Sung, W.; Pinon Fischer, O.J.; Mavris, D.N. A reinforcement learning approach to airfoil shape optimization. Sci. Rep. 2023, 13, 9748. [Google Scholar] [CrossRef] [PubMed]
- Ruh, M.L.; Sarojini, D.; Fletcher, A.; Asher, I.; Hwang, J.T. Large-scale multidisciplinary design optimization of the NASA lift-plus-cruise concept using a novel aircraft design framework. arXiv 2023, arXiv:2304.14889. Available online: http://arxiv.org/abs/2304.14889 (accessed on 15 December 2025).
- Jasa, J.; Brelje, B.; Gray, J.; Mader, C.A.; Martins, J.R.R.A. Large-Scale Path-Dependent Optimization of Supersonic Aircraft. Aerospace 2020, 7, 152. [Google Scholar] [CrossRef]
- van Schie, S.P.; Ruh, M.L.; Fletcher, A.H.; Warner, M.; Sperry, M.; Scotzniovsky, L.; Orndorff, N.C.; Xiang, R.; Yan, J.; Zhao, H.; et al. Large-Scale Distributed Multidisciplinary Design Optimization of the NASA Lift-Plus-Cruise Air Taxi Concept. In Proceedings of the AIAA SciTech Forum, Orlando, FL, USA, 6–10 January 2025. [Google Scholar] [CrossRef]
- Marchildon, A.; Zingg, D. Gradient-Enhanced Bayesian Optimization with Application to Aerodynamic Shape Optimization. In Proceedings of the AIAA Aviation Forum and ASCEND, Las Vegas, NV, USA, 29 July–2 August 2024. [Google Scholar] [CrossRef]
- He, P.; Mader, C.A.; Martins, J.R.R.A.; Maki, K.J. An Aerodynamic Design Optimization Framework Using a Discrete Adjoint Approach with OpenFOAM. Comput. Fluids 2018, 168, 285–303. [Google Scholar] [CrossRef]
- He, P.; Mader, C.A.; Martins, J.R.R.A.; Maki, K.J. Aerothermal optimization of internal cooling passages using a discrete adjoint method. In Proceedings of the AIAA/ASME Joint Thermophysics and Heat Transfer Conference, Atlanta, GA, USA, 25–29 June 2018. [Google Scholar] [CrossRef]
- Han, Z. Surroopt: A Generic Surrogate-Based Optimization Code for Aerodynamic and Multidisciplinary Design. In Proceedings of the 30th Congress of the International Council of the Aeronautical Sciences, Daejeon, Republic of Korea, 25–30 September 2016. [Google Scholar]
- Du, B.; Shen, E.; Wu, J.; Guo, T.; Lu, Z.; Zhou, D. Aerodynamic Prediction and Design Optimization Using Multi-Fidelity Deep Neural Network. Aerospace 2025, 12, 292. [Google Scholar] [CrossRef]
- Shen, Y.; Alonso, J. Graph Neural Network-Guided Aerodynamic Shape Optimization for Conceptual Design of Supersonic Transport Wings. In Proceedings of the AIAA Aviation Forum and ASCEND, Las Vegas, NV, USA, 21–25 July 2025. [Google Scholar] [CrossRef]
- Hwang, J.T.; Martins, J.R.R.A. A computational architecture for coupling heterogeneous numerical models and computing coupled derivatives. ACM Trans. Math. Softw. 2018, 44, 37. [Google Scholar] [CrossRef]
- Raghunath, C.; Watson, L.T.; Grossman, B.; Haftka, R.T.; Sobieszczanski-Sobieski, J.; Kapania, R.K. Service ORiented Computing EnviRonment (SORCER) for deterministic global and stochastic aircraft design optimization: Part 1. J. Aircr. 2017, 54, 1588–1597. [Google Scholar]
- Ghaffari, F.; Watson, L.T.; Grossman, B.; Haftka, R.T. Service ORiented Computing EnviRonment (SORCER) for deterministic global and stochastic aircraft design optimization: Part 2. Adv. Aircr. Spacecr. Sci. 2017, 4, 283–297. [Google Scholar] [CrossRef]
- Della Vecchia, P.; Daniele, E.; D’Amato, E. An airfoil shape optimization technique coupling PARSEC parameterization and evolutionary algorithm. Aerosp. Sci. Technol. 2014, 32, 103–110. [Google Scholar] [CrossRef]
- Akram, M.T.; Kim, M.H. CFD Analysis and Shape Optimization of Airfoils Using Class Shape Transformation and Genetic Algorithm—Part I. Appl. Sci. 2021, 11, 3791. [Google Scholar] [CrossRef]
- Olson, E.D. Three-Dimensional Piecewise-Continuous Class-Shape Transformation of Wings. In Proceedings of the 2015 AIAA Aviation and Aeronautics Forum and Exposition, Dallas, TX, USA, 22–26 June 2015; American Institute of Aeronautics and Astronautics: Reston, VA, USA, 2015. [Google Scholar] [CrossRef][Green Version]
- Martin, M.J.; Andres, E.; Lozano, C.; Valero, E. Volumetric b-splines shape parametrization for aerodynamic shape design. Aerosp. Sci. Technol. 2014, 37, 26–36. [Google Scholar] [CrossRef]
- Chauhan, D.; Praveen, C.; Duvigneau, R. Wing Shape Optimization Using FFD and Twist Parameterization. J. Aerosp. Sci. Technol. 2023, 62, 225–230. [Google Scholar] [CrossRef]
- He, P.; Luder, A.J.; Mader, C.A.; Maki, K.J.; Martins, J.R.R.A. A Time-Spectral Adjoint Approach for Aerodynamic Shape Optimization Under Periodic Wakes. In Proceedings of the AIAA SciTech Forum, AIAA, Orlando, FL, USA, 6–10 January 2020. [Google Scholar] [CrossRef]
- Hajdik, H.M.; Yildirim, A.; Martins, J.R.R.A. Aerodynamic Shape Optimization with CAD-Based Geometric Parameterization. In Proceedings of the AIAA SciTech Forum, National Harbor, MD, USA, 23–27 January 2023. [Google Scholar] [CrossRef]
- Masters, D.A.; Taylor, N.J.; Rendall, T.; Allen, C.B.; Poole, D.J. A Geometric Comparison of Aerofoil Shape Parameterisation Methods. In Proceedings of the 54th AIAA Aerospace Sciences Meeting, San Diego, CA, USA, 4–8 January 2016. [Google Scholar] [CrossRef]
- Du, X.; He, P.; Martins, J.R.R.A. A B-Spline-based Generative Adversarial Network Model for Fast Interactive Airfoil Aerodynamic Optimization. In Proceedings of the AIAA SciTech Forum, AIAA, Orlando, FL, USA, 6–10 January 2020. [Google Scholar] [CrossRef]
- Ji, B.; Huang, J.; Wu, Y. Surrogate-based integrated design optimization for aerodynamic/stealth performance enhancements. Aerosp. Sci. Technol. 2024, 153, 109416. [Google Scholar] [CrossRef]
- Pretsch, L.K. High-Dimensional Surrogate-Based Optimization Methods for Aero-Structural Aircraft Engine Blade Design. Ph.D. Dissertation, Technische Universität München, Munich, Germany, 2025. [Google Scholar]
- Economon, T.D.; Alonso, J.J.; Albring, T.; Gauger, N.R. Adjoint Formulation Investigations of Benchmark Aerodynamic Design Cases in SU2. In Proceedings of the 35th AIAA Applied Aerodynamics Conference, Denver, CO, USA, 5–9 June 2017. [Google Scholar]
- Wu, K.C.; Litt, J.S. Reinforcement Learning Approach to Flight Control Allocation with Distributed Electric Propulsion; Technical Memorandum NASA/TM-2023-500165; Glenn Research Center: Cleveland, OH, USA, 2023.
- Feng, W.; Han, C.; Lian, F.; Liu, X. A Data-Efficient Training Method for Deep Reinforcement Learning. Electronics 2022, 11, 4205. [Google Scholar] [CrossRef]
- Ramos, D.; Lacasa, L.; Valero, E.; Rubio, G. Transfer learning-enhanced deep reinforcement learning for aerodynamic airfoil optimisation subject to structural constraints. Phys. Fluids 2025, 37, 085194. [Google Scholar] [CrossRef]
- Nocedal, J.; Wright, S.J. Numerical Optimization; Springer: New York, NY, USA, 1999. [Google Scholar]
- Deng, K.; Wang, R.; Zhu, Z.; Zhang, J.; Wen, Z. The Augmented Lagrangian Methods: Overview and Recent Advances. arXiv 2025, arXiv:2510.16827. Available online: http://arxiv.org/abs/2510.16827 (accessed on 15 December 2025).
- Dennis, J.E.; Heinkenschloss, M.; Vicente, L.N. Trust-region interior-point SQP algorithms for a class of nonlinear programming problems. SIAM J. Control Optim. 1998, 36, 1750–1794. [Google Scholar] [CrossRef]
- Abadi, M.; Barham, P.; Chen, J.; Chen, Z.; Davis, A.; Dean, J.; Devin, M.; Ghemawat, S.; Irving, G.; Isard, M.; et al. TensorFlow: A system for large-scale machine learning. In Proceedings of the 12th USENIX Symposium on Operating Systems Design and Implementation (OSDI 16), Savannah, GA, USA, 2–4 November 2016; pp. 265–283. [Google Scholar]
- Paszke, A.; Gross, S.; Massa, F.; Lerer, A.; Bradbury, J.; Chanan, G.; Killeen, T.; Lin, Z.; Gimelshein, N.; Antiga, L.; et al. PyTorch: An Imperative Style, High-Performance Deep Learning Library. arXiv 2019, arXiv:1912.01703. Available online: http://arxiv.org/abs/1912.01703 (accessed on 20 December 2025).
- Bottou, L. Stochastic Gradient Descent Tricks. In Neural Networks, Tricks of the Trade, Reloaded ed.; Lecture Notes in Computer Science (LNCS); Springer: Berlin/Heidelberg, Germany, 2012; Volume 7700, pp. 430–445. [Google Scholar]
- Khirirat, S.; Feyzmahdavian, H.R.; Johansson, M. Mini-batch gradient descent: Faster convergence under data sparsity. In Proceedings of the 2017 IEEE 56th Annual Conference on Decision and Control (CDC), Melbourne, VIC, Australia, 12–15 December 2017; pp. 2880–2887. [Google Scholar] [CrossRef]
- Hinton, G.; Srivastava, N.; Swersky, K. Neural networks for machine learning lecture 6a—Overview of mini-batch gradient descent. COURSERA Tech. Rep. 2012. Available online: https://www.cs.toronto.edu/~tijmen/csc321/slides/lecture_slides_lec6.pdf (accessed on 20 December 2025).
- Rios, T.; van Stein, B.; Wollstadt, P.; Bäck, T.; Sendhoff, B.; Menzel, S. Exploiting Local Geometric Features in Vehicle Design Optimization with 3D Point Cloud Autoencoders. In Proceedings of the 2021 IEEE Congress on Evolutionary Computation (CEC), Kraków, Poland, 28 June–1 July 2021; pp. 514–521. [Google Scholar] [CrossRef]
- Wang, J.; He, C.; Li, R.; Chen, H.; Zhai, C.; Miao, Z. Flow Field Prediction of Supercritical Airfoils via Variational Autoencoder Based Deep Learning Framework. Phys. Fluids 2021, 33, 086108. [Google Scholar] [CrossRef]
- Borji, A. Pros and Cons of GAN Evaluation Measures: New Developments. arXiv 2021, arXiv:2209.00796. Available online: http://arxiv.org/abs/2103.09396 (accessed on 20 December 2025).
- Arjovsky, M.; Chintala, S.; Bottou, L. Wasserstein gan. arXiv 2017, arXiv:1701.07875. [Google Scholar]
- Yang, L.; Zhang, Z.; Song, Y.; Hong, S.; Xu, R.; Zhao, Y.; Zhang, W.; Cui, B.; Yang, M.H. Diffusion Models: A Comprehensive Survey of Methods and Applications. arXiv 2025, arXiv:2209.00796. Available online: http://arxiv.org/abs/2209.00796 (accessed on 20 December 2025).
- Dhariwal, P.; Nichol, A. Diffusion Models Beat GANs on Image Synthesis. In Proceedings of the Advances in Neural Information Processing Systems (NeurIPS), Virtual, 6–14 December 2021; Curran Associates, Inc.: New York, NY, USA, 2021; pp. 8780–8794. [Google Scholar]
- Xiao, Z.; Kreis, K.; Vahdat, A. Tackling the Generative Learning Trilemma with Denoising Diffusion GANs. arXiv 2022, arXiv:2112.07804. Available online: http://arxiv.org/abs/2112.07804 (accessed on 20 December 2025).
- Phung, H.; Dao, Q.; Tran, A. Wavelet Diffusion Models are fast and scalable Image Generators. arXiv 2023, arXiv:2211.16152. Available online: http://arxiv.org/abs/2211.16152 (accessed on 20 December 2025).
- Trinh, L.T.; Hamagami, T. Latent Denoising Diffusion GAN: Faster Sampling, Higher Image Quality. IEEE Access 2024, 12, 78161–78172. [Google Scholar] [CrossRef]
- Wang, J.; Liu, W.; Xie, H.; Zhang, M.; Ma, T. Diffusion model-driven multi-objective generative design of supercritical airfoils. Acta Aeronaut. Astronaut. Sin. 2025, 46, 631210. [Google Scholar]
- Chen, X. A novel transformer-based DL model enhanced by position-sensitive attention and gated hierarchical LSTM for aero-engine RUL prediction. Sci. Rep. 2024, 14, 10061. [Google Scholar] [CrossRef] [PubMed]
- Yang, X.; Tartakovsky, G.; Tartakovsky, A.M. Physics Information Aided Kriging using Stochastic Simulation Models. SIAM J. Sci. Comput. 2021, 43, A3862–A3891. [Google Scholar] [CrossRef]
- Raissi, M.; Perdikaris, P.; Karniadakis, G. Physics-informed neural networks: A deep learning framework for solving forward and inverse problems involving nonlinear partial differential equations. J. Comput. Phys. 2019, 378, 686–707. [Google Scholar] [CrossRef]
- Karniadakis, G.E.; Kevrekidis, I.G.; Lu, L.; Perdikaris, P.; Wang, S.; Yang, L. Physics-informed machine learning. Nat. Rev. Phys. 2021, 3, 422–440. [Google Scholar] [CrossRef]
- Wang, J.X.; Wu, J.L.; Xiao, H. Physics-informed machine learning approach for reconstructing Reynolds stress modeling discrepancies based on DNS data. Phys. Rev. Fluids 2017, 2, 034603. [Google Scholar] [CrossRef]
- Li, Z.; Zheng, H.; Kovachki, N.; Jin, D.; Chen, H.; Liu, B.; Azizzadenesheli, K.; Anandkumar, A. Physics-Informed Neural Operator for Learning Partial Differential Equations. arXiv 2023, arXiv:2111.03794. Available online: http://arxiv.org/abs/2111.03794 (accessed on 20 December 2025).
- Zhang, Z.; Xiong, X.; Zhang, S.; Zhao, Y.; Yang, X. Physics-Informed Neural Networks and Neural Operators for Parametric PDEs: A Human-AI Collaborative Analysis. arXiv 2025, arXiv:2511.04576. [Google Scholar]
- Ramezankhani, M.; Deodhar, A.; Parekh, R.Y.; Birru, D. An advanced physics-informed neural operator for comprehensive design optimization of highly-nonlinear systems: An aerospace composites processing case study. Eng. Appl. Artif. Intell. 2025, 142, 109886. [Google Scholar] [CrossRef]
- Roy, S.; Bahmani, B.; Kevrekidis, I.G.; Shields, M.D. A Physics-informed Multi-resolution Neural Operator. arXiv 2025, arXiv:2510.23810. Available online: http://arxiv.org/abs/2510.23810 (accessed on 20 December 2025).
- Raissi, M.; Perdikaris, P.; Karniadakis, G.E. Physics Informed Deep Learning (Part I): Data-driven Solutions of Nonlinear Partial Differential Equations. arXiv 2017, arXiv:1711.10561. Available online: http://arxiv.org/abs/1711.10561 (accessed on 20 December 2025).
- Raissi, M.; Perdikaris, P.; Karniadakis, G.E. Physics Informed Deep Learning (Part II): Data-driven Discovery of Nonlinear Partial Differential Equations. arXiv 2017, arXiv:1711.10566. Available online: http://arxiv.org/abs/1711.10566 (accessed on 20 December 2025).
- Ugur, L.; Karpe, S.B.; Huang, P.H.; Zhou, B.Y. PINN-LEE: Physics-Informed Neural Networks Framework to Solve Linearized Euler Equations for Aeroacoustic Predictions. In Proceedings of the AIAA Aviation Forum and ASCEND, Las Vegas, NV, USA, 21–25 July 2025. [Google Scholar] [CrossRef]
- Zhu, Z.; Zhao, Y.; Ompusunggu, A.P. Physics-informed machine learning for near real-time stress prediction on a structural component: Application for landing gears. Eng. Appl. Artif. Intell. 2025, 162, 112532. [Google Scholar] [CrossRef]
- Singh, V.; Harursampath, D.; Dhawan, S.; Sahni, M.; Saxena, S.; Mallick, R. Physics-Informed Neural Network for Solving a One-Dimensional Solid Mechanics Problem. Modelling 2024, 5, 1532–1549. [Google Scholar] [CrossRef]
- Yasar, H.A.; Sevinc, O.K. Physics Informed Neural Networks for Enhanced Critical Heat Flux Prediction in Hypersonic Flows. In Proceedings of the AIAA Aviation Forum, Las Vegas, NV, USA, 29 July–2 August 2024. [Google Scholar] [CrossRef]
- Jin, S.Y.; Chen, S.S.; Che, S.Q.; Li, J.P.; Lin, J.H.; Gao, Z.H. Airfoil aerodynamic/stealth design based on conditional generative adversarial networks. Phys. Fluids 2024, 36, 077146. [Google Scholar] [CrossRef]
- Sisk, S.; Du, X. Physics-Constrained Generative Artificial Intelligence for Rapid Takeoff Trajectory Design. arXiv 2025, arXiv:2501.03445. Available online: http://arxiv.org/abs/2501.03445 (accessed on 20 December 2025).
- Székely, G.J.; Rizzo, M.L. Testing for Equal Distributions in High Dimension. InterStat 2004, 5, 1249–1272. [Google Scholar]
- Kang, Y.E.; Lee, D.; Yee, K. Physically interpretable airfoil parameterization using variational autoencoder-based generative modeling. In Proceedings of the AIAA SciTech Forum and Exposition, 2024, Orlando, FL, USA, 8–12 January 2024. [Google Scholar] [CrossRef]
- Kang, Y.E.; Lee, D.; Yee, K. Intuitive and feasible geometric representation of airfoil using variational autoencoder. J. Comput. Des. Eng. 2025, 12, 27–48. [Google Scholar] [CrossRef]
- Wang, Y.; Shimada, K.; Barati-Farimani, A. Airfoil GAN: Encoding and synthesizing airfoils for aerodynamic shape optimization. J. Comput. Des. Eng. 2023, 10, 1350–1362. [Google Scholar] [CrossRef]
- Wang, C.; Wang, S.; Wang, L.; Cao, C.; Sun, G.; Li, C.; Yang, Y. Framework of nacelle inverse design method based on improved generative adversarial networks. Aerosp. Sci. Technol. 2022, 121, 107365. [Google Scholar] [CrossRef]
- Teng, D.; Feng, Y.W.; Lu, C.; Keshtegar, B.; Xue, X.F. Generative adversarial surrogate modeling framework for aerospace engineering structural system reliability design. Aerosp. Sci. Technol. 2024, 144, 108781. [Google Scholar] [CrossRef]
- Chen, W.; Ramamurthy, A. Deep Generative Model for Efficient 3D Airfoil Parameterization and Generation. In Proceedings of the AIAA Scitech 2021 Forum, Virtual, 11–15, 19–21 January 2021. [Google Scholar] [CrossRef]
- Murad, A.; Ruocco, M. Synthetic Aircraft Trajectory Generation Using Time-Based VQ-VAE. arXiv 2025, arXiv:2504.09101. Available online: http://arxiv.org/abs/2504.09101 (accessed on 20 December 2025).
- Zhong, Y.; Zhao, A.; Wu, T.; Zhang, T.; Gao, F. Automatic Generation of Aerobatic Flight in Complex Environments via Diffusion Models. arXiv 2025, arXiv:2504.15138. [Google Scholar] [CrossRef]
- Choi, H.C.; Deng, C.; Hwang, I. Physics-Guided Versatile Trajectory Generation Based on BERT. In Proceedings of the AIAA SciTech Forum: Intelligent Systems, Orlando, FL, USA, 6–10 January 2025; American Institute of Aeronautics and Astronautics: Reston, VA, USA, 2025. [Google Scholar]
- MacLin, G.; Cichella, V.; Patterson, A.; Gregory, I.M. Transformer-Enabled Leg-Based Trajectory Generation for Autonomous Aircraft Near Airports. In Proceedings of the AIAA AVIATION Forum 2025, Las Vegas, NV, USA, 21–25 July 2025; American Institute of Aeronautics and Astronautics: Reston, VA, USA, 2025. [Google Scholar]
- Swannet, K.; Varriale, C.; Doan, N.A.K. Towards Universal Parameterization: Using Variational Autoencoders to Parameterize Airfoils. In Proceedings of the AIAA SCITECH 2024 Forum, Orlando, FL, USA, 8–12 January 2024; American Institute of Aeronautics and Astronautics: Reston, VA, USA, 2024; pp. 1–16. [Google Scholar] [CrossRef]
- Rudin, C.; Chen, C.; Chen, Z.; Huang, H.; Semenova, L.; Zhong, C. Interpretable Machine Learning: Fundamental Principles and 10 Grand Challenges. arXiv 2021, arXiv:2103.11251. Available online: http://arxiv.org/abs/2103.11251 (accessed on 20 December 2025).
- Murdoch, W.J.; Singh, C.; Kumbier, K.; Abbasi-Asl, R.; Yu, B. Definitions, methods, and applications in interpretable machine learning. Proc. Natl. Acad. Sci. USA 2019, 116, 22071–22080. [Google Scholar] [CrossRef] [PubMed]
- Doshi-Velez, F.; Kim, B. Towards A Rigorous Science of Interpretable Machine Learning. arXiv 2017, arXiv:1702.08608. Available online: http://arxiv.org/abs/1702.08608 (accessed on 20 December 2025).
- Hsieh, W.; Bi, Z.; Jiang, C.; Liu, J.; Peng, B.; Zhang, S.; Pan, X.; Xu, J.; Wang, J.; Chen, K.; et al. A Comprehensive Guide to Explainable AI: From Classical Models to LLMs. arXiv 2024, arXiv:2412.00800. Available online: http://arxiv.org/abs/2412.00800 (accessed on 20 December 2025).
- Linardatos, P.; Papastefanopoulos, V.; Kotsiantis, S. Explainable AI: A Review of Machine Learning Interpretability Methods. Entropy 2021, 23, 18. [Google Scholar] [CrossRef]
- Ali, S.; Abuhmed, T.; El-Sappagh, S.; Muhammad, K.; Alonso-Moral, J.M.; Confalonieri, R.; Guidotti, R.; Ser, J.D.; Díaz-Rodríguez, N.; Herrera, F. Explainable Artificial Intelligence (XAI): What we know and what is left to attain Trustworthy Artificial Intelligence. Inf. Fusion 2023, 99, 101805. [Google Scholar] [CrossRef]
- Dou, Y.; Zhou, Z.; Wang, R. Dynamic behavior recognition in aerial deployment of multi-segmented foldable-wing drones using variational autoencoders. Chin. J. Aeronaut. 2025, 38, 103397. [Google Scholar] [CrossRef]
- Tian, W.; Zhang, H.; Li, H.; Xiong, Y. Flight maneuver intelligent recognition based on deep variational autoencoder network. EURASIP J. Adv. Signal Process. 2022, 2022, 21. [Google Scholar] [CrossRef]
- Krauth, T.; Morio, J.; Olive, X.; Figuet, B. Advanced collision risk estimation in terminal manoeuvring areas using a disentangled variational autoencoder for uncertainty quantification. Eng. Appl. Artif. Intell. 2024, 133, 108137. [Google Scholar] [CrossRef]
- Gui, X.; Zhang, J.; Tang, X.; Delahaye, D.; Bao, J. A Novel Aircraft Trajectory Generation Method Embedded with Data Mining. Aerospace 2024, 11, 648. [Google Scholar] [CrossRef]
- Krauth, T.; Lafage, A.; Morio, J.; Olive, X.; Waltert, M. Deep generative modelling of aircraft trajectories in terminal maneuvering areas. Mach. Learn. Appl. 2022, 11, 100446. [Google Scholar] [CrossRef]
- Bai, S.; Kolter, J.Z.; Koltun, V. An Empirical Evaluation of Generic Convolutional and Recurrent Networks for Sequence Modeling. arXiv 2018, arXiv:1803.01271. Available online: http://arxiv.org/abs/1803.01271 (accessed on 20 December 2025).
- Tomczak, J.M.; Welling, M. VAE with a VampPrior. In Proceedings of the Twenty-First International Conference on Artificial Intelligence and Statistics, Playa Blanca, Lanzarote, Spain, 9–11 April 2018; Storkey, A., Perez-Cruz, F., Eds.; PMLR: Proceedings of Machine Learning Research. Volume 84, pp. 1214–1223. [Google Scholar]
- Olive, X.; Sun, J.; Murça, M.C.R.; Krauth, T. A Framework to Evaluate Aircraft Trajectory Generation Methods. In Proceedings of the 14th USA/Europe Air Traffic Management Research and Development Seminar, Virtual, 20–24 September 2021. [Google Scholar]
- Ezzahed, Z.; Chevrot, A.; Hurter, C.; Olive, X. Bringing Explainability to Autoencoding Neural Networks Encoding Aircraft Trajectories. In Proceedings of the 13th SESAR Innovation Days, Sevilla, Spain, 27–30 November 2023. [Google Scholar] [CrossRef]
- Leeb, F.; Bauer, S.; Besserve, M.; Schölkopf, B. Exploring the Latent Space of Autoencoders with Interventional Assays. In Advances in Neural Information Processing Systems 35 (NeurIPS 2022); Koyejo, S., Mohamed, S., Agarwal, A., Belgrave, D., Cho, K., Oh, A., Eds.; Curran Associates, Inc.: New York, NY, USA, 2022; Volume 35, pp. 21562–21574. [Google Scholar]
- Zhou, F.; Gao, Q.; Trajcevski, G.; Zhang, K.; Zhong, T.; Zhang, F. Trajectory-User Linking via Variational AutoEncoder. In Proceedings of the Twenty-Seventh International Joint Conference on Artificial Intelligence. IJCAI, Stockholm, Sweden, 13–19 July 2018; pp. 3212–3218. [Google Scholar] [CrossRef]
- Chen, X.; Xu, J.; Zhou, R.; Chen, W.; Fang, J.; Liu, C. TrajVAE: A Variational AutoEncoder model for trajectory generation. Neurocomputing 2021, 428, 332–339. [Google Scholar] [CrossRef]
- Chen, W.; Fuge, M. BezierGAN: Auomatic Generation of Smooth Curves from Interpretable Low-Dimensional Parameters. arXiv 2018, arXiv:1808.08871. [Google Scholar]
- Wang, C.; Chen, B.; Fu, H.; Fan, Y.; Li, W. MS-GAN: 3D deep generative model for multi-species propeller parameterization and generation. Chin. J. Aeronaut. 2025, 38, 103404. [Google Scholar] [CrossRef]
- Adler, J.; Lunz, S. Banach Wasserstein GAN. In Proceedings of the Advances in Neural Information Processing Systems 32: Annual Conference on Neural Information Processing Systems 2019, NeurIPS 2019, Vancouver, BC, Canada, 8–14 December 2019. [Google Scholar]
- Milne, T.; Nachman, A. Wasserstein GANs with Gradient Penalty Compute Congested Transport. arXiv 2022, arXiv:2109.00528. Available online: http://arxiv.org/abs/2109.00528 (accessed on 20 December 2025).
- Jolicoeur-Martineau, A.; Mitliagkas, I. Gradient penalty from a maximum margin perspective. arXiv 2020, arXiv:1910.06922. Available online: http://arxiv.org/abs/1910.06922 (accessed on 20 December 2025).
- Gulrajani, I.; Ahmed, F.; Arjovsky, M.; Dumoulin, V.; Courville, A. Improved Training of Wasserstein GANs. In Proceedings of the NIPS’17: Proceedings of the 31st International Conference on Neural Information Processing Systems, Long Beach, CA, USA, 4–9 December 2017. [Google Scholar]
- Chattoraj, J.; Wong, J.C.; Zexuan, Z.; Dai, M.; Yingzhi, X.; Jichao, L.; Xinxing, X.; Chun, O.C.; Feng, Y.; Ha, D.M.; et al. Tailoring Generative Adversarial Networks for Smooth Airfoil Design. arXiv 2024, arXiv:2404.11816. Available online: http://arxiv.org/abs/2404.11816 (accessed on 20 December 2025).
- Bamford, J.T.; Keane, A.; Toal, D. SDF-GAN: Aerofoil Shape Parameterisation via an Adversarial Auto-Encoder. In Proceedings of the AIAA Aviation Forum and ASCEND 2024, Las Vegas, NV, USA, 29 July–2 August 2024. [Google Scholar]
- Yoon, J.; Jarrett, D.; van der Schaar, M. Time-series Generative Adversarial Networks. Adv. Neural Inf. Process. Syst. NeurIPS 2019, 32, 5509–5519. [Google Scholar]
- Donahue, C.; McAuley, J.; Puckette, M. Adversarial Audio Synthesis. arXiv 2019, arXiv:1802.04208. Available online: http://arxiv.org/abs/1802.04208 (accessed on 20 December 2025).
- Wijnands, S.; Sharpanskykh, A.; Aly, K. Generation of Synthetic Aircraft Landing Trajectories Using Generative Adversarial Networks. In Proceedings of the 14th SESAR Innovation Days, Rome, Italy, 12–15 November 2024; SESAR Joint Undertaking: Brussels, Belgium, 2024. [Google Scholar]
- Lukeš, P.; Kulmon, P. Generating Realistic Aircraft Trajectories Using Generative Adversarial Networks. In Proceedings of the 24th International Radar Symposium (IRS), Berlin, Germany, 24–26 May 2023; Institute of Electrical and Electronics Engineers (IEEE): Piscataway, NJ, USA, 2023. [Google Scholar]
- Jarry, G.; Couellan, N.; Delahaye, D. On the Use of Generative Adversarial Networks for Aircraft Trajectory Generation and Atypical Approach Detection. In Air Traffic Management and Systems IV: Selected Papers of the 6th ENRI International Workshop on ATM/CNS; Lecture Notes in Electrical Engineering; Electronic Navigation Research Institute, Ed.; Springer: Singapore, 2021; Volume 731, pp. 227–243. Available online: https://link.springer.com/chapter/10.1007/978-981-33-4669-7_13 (accessed on 20 December 2025).
- Campbell, N.H.; Ilangovan, H.S.; Gregory, I.M.; Mikaelian, S.S. Data Augmentation for Intelligent Contingency Management Using Generative Adversarial Neural Networks. In Proceedings of the AIAA 2022 SciTech Forum and Exposition, San Diego, CA, USA, 3–7 January 2022; American Institute of Aeronautics and Astronautics (AIAA): Reston, VA, USA, 2022. [Google Scholar] [CrossRef]
- Wei, Z.; Dufour, E.R.; Pelletier, C.; Fua, P.; Bauerheim, M. DiffAirfoil: An Efficient Novel Airfoil Sampler Based on Latent Space Diffusion Model for Aerodynamic Shape Optimization. In Proceedings of the AIAA AVIATION Forum and ASCEND 2024, Las Vegas, NV, USA, 29 July–2 August 2024; American Institute of Aeronautics and Astronautics (AIAA): Reston, VA, USA, 2024. [Google Scholar] [CrossRef]
- Graves, R.; Barati Farimani, A. Airfoil Diffusion: Denoising Diffusion Model For Conditional Airfoil Generation. arXiv 2024, arXiv:2408.15898. [Google Scholar] [CrossRef]
- Zhang, R.; Wang, C.; Tao, J.; Wang, L.; Sun, G. Airfoil parameterization method based on latent diffusion model. Acta Aeronaut. Astronaut. Sin. 2025, 46, 631180. [Google Scholar] [CrossRef]
- Larsen, O.F.P.; Ruocco, M.; Spitieris, M.; Murad, A.; Ragosta, M. Learning to Land Anywhere: Transferable Generative Models for Aircraft Trajectories. arXiv 2025, arXiv:2511.04155. Available online: http://arxiv.org/abs/2511.04155 (accessed on 20 December 2025).
- Yoon, S.; Lee, K. Aircraft Trajectory Dataset Augmentation in Latent Space. Int. J. Aeronaut. Space Sci. 2025. [Google Scholar] [CrossRef]
- Shlens, J. A Tutorial on Principal Component Analysis. arXiv 2014, arXiv:1404.1100. Available online: http://arxiv.org/abs/1404.1100 (accessed on 20 December 2025). [CrossRef]
- Jolliffe, I.T.; Cadima, J. Principal component analysis: A review and recent developments. Philos. Trans. R. Soc. A Math. Phys. Eng. Sci. 2016, 374, 20150202. [Google Scholar] [CrossRef]
- Bunnell, S.; Gorrell, S.E.; Salmon, J.L.; Thelin, C.; Ruoti, C. Structural Design Space Exploration Using Principal Component Analysis. J. Comput. Inf. Sci. Eng. 2020, 20, 061014. [Google Scholar] [CrossRef]
- Behere, A.; Mavris, D.N. Principal Component Analysis of Aviation Noise Grids for Dimensionality Reduction. In Proceedings of the AIAA SCITECH 2023 Forum, National Harbor, MD, USA, 23–27 January 2023. [Google Scholar] [CrossRef]
- Kawahara, Y. Dynamic Mode Decomposition with Reproducing Kernels for Koopman Spectral Analysis. In Advances in Neural Information Processing Systems 29; Lee, D.D., Sugiyama, M., von Luxburg, U., Garnett, R., Eds.; NeurIPS Foundation: San Diego, CA, USA, 2016; pp. 911–919. [Google Scholar]
- Tu, J.H.; Rowley, C.W.; Luchtenburg, D.M.; Brunton, S.L.; Nathan Kutz, J. On dynamic mode decomposition: Theory and applications. J. Comput. Dyn. 2014, 1, 391–421. [Google Scholar] [CrossRef]
- Weiner, A.; Semaan, R. Robust Dynamic Mode Decomposition Methodology for an Airfoil Undergoing Transonic Shock Buffet. AIAA J. 2023, 61, 4456–4467. [Google Scholar] [CrossRef]
- He, T.; Su, W. Data-Driven Reduced-Order Aeroelastic Modeling of Highly Flexible Aircraft by Parametric Dynamic Mode Decomposition. arXiv 2023, arXiv:2307.13960. Available online: http://arxiv.org/abs/2307.13960 (accessed on 20 December 2025).
- Berkooz, G.; Holmes, P.; Lumley, J.L. The Proper Orthogonal Decomposition in the Analysis of Turbulent Flows. Annu. Rev. Fluid Mech. 1993, 25, 539–575. [Google Scholar] [CrossRef]
- Solera-Rico, A.; Sanmiguel Vila, C.; Gómez-López, M.; Wang, Y.; Almashjary, A.; Dawson, S.T.M.; Vinuesa, R. β-Variational autoencoders and transformers for reduced-order modelling of fluid flows. Nat. Commun. 2024, 15, 1361. [Google Scholar] [CrossRef]
- Hinton, G.E.; Salakhutdinov, R.R. Reducing the Dimensionality of Data with Neural Networks. Science 2006, 313, 504–507. [Google Scholar] [CrossRef]
- Brunton, S.L.; Noack, B.R.; Koumoutsakos, P. Machine Learning for Fluid Mechanics. Annu. Rev. Fluid Mech. 2020, 52, 477–508. [Google Scholar] [CrossRef]
- Goodfellow, I.; Bengio, Y.; Courville, A. Deep Learning; Adaptive Computation and Machine Learning; MIT Press: Cambridge, MA, USA, 2016. [Google Scholar]
- Lee, S.; Lee, S.; Jang, K.; Cho, H.; Shin, S. Data-driven nonlinear parametric model order reduction framework using deep hierarchical variational autoencoder. Eng. Comput. 2024, 40, 2385–2400. [Google Scholar] [CrossRef]
- Boussam, S.; Carbone, M.; Gérard, B.; Renault, G.; Zaid, G. Optimal Dimensionality Reduction using Conditional Variational AutoEncoder. IACR Trans. Cryptogr. Hardw. Embed. Syst. 2025, 2025, 164–211. [Google Scholar] [CrossRef]
- Todo, W.; Laurent, B.; Loubes, J.; Selmani, M. Dimension Reduction for Time Series with Variational AutoEncoders. arXiv 2022, arXiv:2204.11060. Available online: http://arxiv.org/abs/2204.11060 (accessed on 20 December 2025).
- Albert, S.W.; Doostan, A.; Schaub, H. Dimensionality Reduction for Onboard Modeling of Uncertain Atmospheres. J. Spacecr. Rocket. 2025, 62, 137–149. [Google Scholar] [CrossRef]
- Dasgupta, A.; Patel, D.V.; Ray, D.; Johnson, E.A.; Oberai, A.A. A dimension-reduced variational approach for solving physics-based inverse problems using generative adversarial network priors and normalizing flows. arXiv 2023, arXiv:2310.0469. Available online: http://arxiv.org/abs/2310.04690 (accessed on 20 December 2025).
- Coscia, D.; Demo, N.; Rozza, G. Generative adversarial reduced order modelling. Sci. Rep. 2024, 14, 3826. [Google Scholar] [CrossRef]
- Zou, Y.; Wang, Y.; Lu, X. Auto-Encoding Generative Adversarial Networks towards Mode Collapse Reduction and Feature Representation Enhancement. Entropy 2023, 25, 1657. [Google Scholar] [CrossRef]
- Lin, E.; Mukherjee, S.; Kannan, S. A deep adversarial variational autoencoder model for dimensionality reduction in single-cell RNA sequencing analysis. BMC Bioinform. 2020, 21, 64. [Google Scholar] [CrossRef]
- Bisson, F.; Nadarajah, S. Adjoint-based aerodynamic optimization of benchmark problems. In Proceedings of the 53nd Aerospace Sciences Meeting, Kissimmee, FL, USA, 5–9 January 2015. [Google Scholar] [CrossRef]
- Lee, C.; Koo, D.; Telidetzki, K.; Buckley, H.; Gagnon, H.; Zingg, D.W. Aerodynamic Shape Optimization of Benchmark Problems Using Jetstream. In Proceedings of the 53rd AIAA Aerospace Sciences Meeting, Kissimmee, FL, USA, 5–9 January 2015. [Google Scholar] [CrossRef]
- Poole, D.J.; Allen, C.B.; Rendall, T. Control point-based aerodynamic shape optimization applied to AIAA ADODG test cases. In Proceedings of the 53rd AIAA Aerospace Sciences Meeting, Kissimmee, FL, USA, 5–9 January 2015. [Google Scholar]
- He, X.; Li, J.; Mader, C.A.; Yildirim, A.; Martins, J.R.R.A. Robust aerodynamic shape optimization—from a circle to an airfoil. Aerosp. Sci. Technol. 2019, 87, 48–61. [Google Scholar] [CrossRef]
- Yu, Y.; Lyu, Z.; Xu, Z.; Martins, J.R.R.A. On the Influence of Optimization Algorithm and Starting Design on Wing Aerodynamic Shape Optimization. Aerosp. Sci. Technol. 2018, 75, 183–199. [Google Scholar] [CrossRef]
- Gray, A.L.; Zingg, D.W. Blended-Wing-Body Regional Aircraft Optimization with High-Fidelity Aerodynamics and Critical Design Requirements. J. Aircr. 2024, 61, 1775–1788. [Google Scholar] [CrossRef]
- Kou, J.; Botero-Bolívar, L.; Ballano, R.; Marino, O.; de Santana, L.; Valero, E.; Ferrer, E. Aeroacoustic airfoil shape optimization enhanced by autoencoders. Expert Syst. Appl. 2023, 217, 119513. [Google Scholar] [CrossRef]
- Hazem, M.; Sisk, S.; Du, X. A Study of Dimensionality Reduction for Airfoil Parameterization. In Proceedings of the AIAA Region V Student Conference, Ames, IA, USA, 26–27 March 2026. [Google Scholar]
- Francés-Belda, V.; Solera-Rico, A.; Nieto-Centenero, J.; Andrés, E.; Sanmiguel Vila, C.; Castellanos García de Blas, R. Towards aerodynamic surrogate modeling based on β-variational autoencoders. Phys. Fluids 2024, 36, 117139. [Google Scholar] [CrossRef]
- Sisk, S.; Khorasani-Gerdehkouhi, F.; Abutunis, A.; Chandrashekhara, K.; Du, X. Generative Adversarial Networks for Dimensionality Reduction in eVTOL Aircraft Takeoff Trajectory Optimization. In Proceedings of the AIAA Science and Technology Forum and Exposition (AIAA SciTech Forum 2025), Orlando, FL, USA, 6–10 January 2025. [Google Scholar] [CrossRef]
- Zhang, J.; Wang, W.; Wu, Q.; Hu, L. A GAN-based dimensionality reduction technique for aerodynamic shape optimization. Res. Sq. 2021. [Google Scholar] [CrossRef]
- Shin, S.; Lee, S.; Son, C.; Yee, K. Aircraft Design Parameter Estimation Using Data-Driven Machine Learning Models. In Proceedings of the 33rd Congress of the International Council of the Aeronautical Sciences (ICAS 2022), Stockholm, Sweden, 4–9 September 2022; pp. 449–465. [Google Scholar]
- Wu, J.; Hu, C.; Sun, C.; Zhao, Z.; Yan, R.; Chen, X. Helicopter transmission system anomaly detection in variable flight regimes with decoupling variational autoencoder. Aerosp. Sci. Technol. 2024, 144, 108764. [Google Scholar] [CrossRef]
- Ballesteros-Coll, A.; Portal-Porras, K.; Fernandez-Gamiz, U.; Aramendia, I.; Teso-Fz-Betoño, D. Generative adversarial network for inverse design of airfoils with flow control devices. Electron. Res. Arch. 2025, 33, 3271–3284. [Google Scholar] [CrossRef]
- Lou, J.; Chen, R.; Liu, J.; Bao, Y.; You, Y.; Huang, L.; Xu, M. General framework for unsteady aerodynamic prediction of airfoils based on deep transfer learning. Aerosp. Sci. Technol. 2024, 155, 109606. [Google Scholar] [CrossRef]
- Chen, Q.; Wang, J.; Pope, P.; (Wayne) Chen, W.; Fuge, M. Inverse Design of Two-Dimensional Airfoils Using Conditional Generative Models and Surrogate Log-Likelihoods. J. Mech. Des. 2021, 144, 021712. [Google Scholar] [CrossRef]
- Wang, X.; Jiang, Y.; Li, G.; Zhang, L.; Deng, X. Sag-flownet: Self-attention generative network for airfoil flow field prediction. Soft Comput. 2024, 28, 7417–7437. [Google Scholar] [CrossRef]
- Du, X.; Martins, J.R.R.A. Super Resolution Generative Adversarial Networks for Multi-Fidelity Pressure Distribution Prediction. In Proceedings of the AIAA Scitech Forum, National Harbor, MD, USA, 23–27 January 2023. [Google Scholar] [CrossRef]
- Jiang, S.; Liang, Y.; Cheng, Y.; Gao, L. Research on the prediction method of wing structure noise based on the combination of conditional generative adversarial neural network and numerical methods. Front. Phys. 2024, 12, 1452876. [Google Scholar] [CrossRef]
- Li, Y.; Guo, W. A generative adversarial network for enhancing over-expansion flow field perception of nozzles with large expansion ratio. Aerosp. Sci. Technol. 2024, 151, 109324. [Google Scholar] [CrossRef]
- Hu, Q.; Huang, G.; Shi, H.; Lin, Y.; Guo, D. A Short-term Aircraft Trajectory Prediction Framework Using Conditional Generative Adversarial Network. In Proceedings of the IEEE 4th International Conference on Civil Aviation Safety and Information Technology (ICCASIT), Dali, China, 12–14 October 2022; pp. 433–439. [Google Scholar] [CrossRef]
- Yeh, S.T.; Du, X. Transfer-Learning-Enhanced Regression Generative Adversarial Networks for Optimal eVTOL Takeoff Trajectory Prediction. Electronics 2024, 13, 1911. [Google Scholar] [CrossRef]
- Liu, Q.; Thuerey, N. Uncertainty-aware Surrogate Models for Airfoil Flow Simulations with Denoising Diffusion Probabilistic Models. AIAA Journal 2024, 62, 2912–2933. [Google Scholar] [CrossRef]
- Ogbuagu, K.; Maleki, S.; Bruni, G.; Krishnababu, S. FoilDiff: A Hybrid Transformer Backbone for Diffusion-based Modelling of 2D Airfoil Flow Fields. arXiv 2025, arXiv:2510.04325. Available online: http://arxiv.org/abs/2510.04325 (accessed on 27 December 2025).
- Lou, J.; Chen, R.; Wu, H.; Bao, Y.; Zhou, S.; Lin, Y.; You, Y. A framework for flight vehicle aerodynamic data fusion based on generative models and interpretability methods. Aerosp. Sci. Technol. 2025, 169, 111346. [Google Scholar] [CrossRef]
- Yang, S.; Liu, L.; Chen, B.; Cheng, S.; Shi, Z.; Zou, Z. GooDFlight: Goal-Oriented Diffusion Model for Flight Trajectory Prediction. IEEE Trans. Aerosp. Electron. Syst. 2025, 61, 7447–7465. [Google Scholar] [CrossRef]
- Yin, Y.; Zhang, S.; Zhang, Y.; Zhang, Y.; Xiang, S. Context-aware Aircraft Trajectory Prediction with Diffusion Models. In Proceedings of the 2023 IEEE 26th International Conference on Intelligent Transportation Systems (ITSC), Bilbao, Spain, 24–28 September 2023; IEEE: Piscataway, NJ, USA, 2023; pp. 5312–5317. [Google Scholar] [CrossRef]
- Jiang, J.; Li, G.; Jiang, Y.; Zhang, L.; Deng, X. TransCFD: A transformer-based decoder for flow field prediction. Eng. Appl. Artif. Intell. 2023, 123, 106340. [Google Scholar] [CrossRef]
- Liu, Z.; Liu, H.; Chen, Y.; Zhang, W.; Song, W.; Zhou, L.; Wei, Q.; Xu, J. Evaluating Airfoil Mesh Quality with Transformer. Aerospace 2023, 10, 110. [Google Scholar] [CrossRef]
- Dursun, O.O. Deep Learning-Based Prediction of Commercial Aircraft Noise: A CNN-Transformer Hybrid Model Versus Support Vector Regression and Multi-Layer Perceptron. Aerospace 2025, 12, 1031. [Google Scholar] [CrossRef]
- Xu, S.; Ji, L.; Fei, T.; Zhao, S. A Sequence-to-Sequence Transformer-Based Approach for Turbine Blade Profile Optimization. Aerospace 2026, 13, 52. [Google Scholar] [CrossRef]
- Dong, X.; Tian, Y.; Dai, L.; Li, J.; Wan, L. A New Accurate Aircraft Trajectory Prediction in Terminal Airspace Based on Spatio-Temporal Attention Mechanism. Aerospace 2024, 11, 718. [Google Scholar] [CrossRef]
- Souli, N.; Katzanis, P.; Kardaras, P.; Grigoriou, Y.; Stavrinides, S.; Kolios, P.; Ellinas, G. An Onboard UAV Multi-task System for Trajectory Prediction and State Estimation Employing Transformer- and Reservoir-based Networks. ACM J. Auton. Transp. Syst. 2025, 2, 1–33. [Google Scholar] [CrossRef]
- Yoon, S.; Lee, K. MAIFormer: Multi-Agent Inverted Transformer for Flight Trajectory Prediction. arXiv 2025, arXiv:2509.21004. [Google Scholar] [CrossRef]
- Li, Y.; Fang, Y.; Long, T. Noise robust aircraft trajectory prediction via autoregressive transformers with hybrid positional encoding. Sci. Rep. 2025, 15, 11370. [Google Scholar] [CrossRef]
- Yoo, Y.; Yun, S.; Chang, H.J.; Demiris, Y.; Choi, J.Y. Variational Autoencoded Regression: High Dimensional Regression of Visual Data on Complex Manifold. In Proceedings of the IEEE Conference on Computer Vision and Pattern Recognition (CVPR), Honolulu, HI, USA, 21–26 July 2017; pp. 2943–2952. [Google Scholar]
- Eiximeno, B.; Miró, A.; Rodríguez, I.; Lehmkuhl, O. Toward the Usage of Deep Learning Surrogate Models in Ground Vehicle Aerodynamics. Mathematics 2024, 12, 998. [Google Scholar] [CrossRef]
- Zhao, Q.; Adeli, E.; Honnorat, N.; Leng, T.; Pohl, K.M. Variational AutoEncoder for Regression: Application to Brain Aging Analysis. In Medical Image Computing and Computer-Assisted Intervention—MICCAI 2019, Proceedings of the 22nd International Conference, Shenzhen, China, 13–17 October 2019, Proceedings, Part II; Lecture Notes in Computer Science (LNCS); Springer: Cham, Switzerland, 2019; Volume 11765, pp. 823–831. [Google Scholar] [CrossRef]
- Zhuang, Y.; Zhou, Z.; Alakent, B.; Mercangöz, M. Semi-supervised Variational Autoencoders for Regression: Application on Soft Sensors. In Proceedings of the 21st IEEE International Conference on Industrial Informatics (INDIN), Lemgo, Germany, 18–20 July 2023; IEEE: Piscataway, NJ, USA, 2023; pp. 1–8. [Google Scholar] [CrossRef]
- Chang, Y.; Bi, X.; Hou, D.; Luo, Y. Attention-Based Variational Encoding Regression Method of Predicting Engine Remaining Useful Life. In Proceedings of the 2024 China Automation Congress (CAC), Qingdao, China, 1–3 November 2024; IEEE: Piscataway, NJ, USA, 2024; pp. 6726–6731, Presented at CAC 2024. [Google Scholar]
- Nguyen, R.; Singh, S.K.; Rai, R. FuzzyGAN: Fuzzy generative adversarial networks for regression tasks. Neurocomputing 2023, 525, 88–110. [Google Scholar] [CrossRef]
- Ye, K.; Wang, Z.; Cui, X.; Chen, P.; Pan, Y.; Wu, S.; Jiang, X.; Zhang, K. A novel GAN-based regression model for predicting frying oil deterioration. Sci. Rep. 2022, 12, 10424. [Google Scholar] [CrossRef] [PubMed]
- Phillips, T.R.F.; Heaney, C.E.; Benmoufok, E.; Li, Q.; Hua, L.; Porter, A.E.; Chung, K.F.; Pain, C.C. Multi-Output Regression with Generative Adversarial Networks (MOR-GANs). Appl. Sci. 2022, 12, 9209. [Google Scholar] [CrossRef]
- Jiang, X.; Ge, Z. RAGAN: Regression Attention Generative Adversarial Networks. IEEE Trans. Artif. Intell. 2023, 4, 1549–1563. [Google Scholar] [CrossRef]
- Nakka, R.; Harursampath, D.; Ponnusami, S.A. A generalised deep learning-based surrogate model for homogenisation utilising material property encoding and physics-based bounds. Sci. Rep. 2023, 13, 9111. [Google Scholar] [CrossRef]
- Hssayeni, M.D.; Jimenez-Shahed, J.; Ghoraani, B. Imbalanced Time-Series Data Regression Using Conditional Generative Adversarial Networks. In Proceedings of the 2021 20th IEEE International Conference on Machine Learning and Applications (ICMLA), Pasadena, CA, USA, 13–16 December 2021; IEEE: Piscataway, NJ, USA, 2021; pp. 681–688. [Google Scholar] [CrossRef]
- Pham, T.T.; Suh, Y.S. Conditional Generative Adversarial Network-Based Regression Approach for Walking Distance Estimation Using Waist-Mounted Inertial Sensors. IEEE Access 2022, 10, 56965–56975. [Google Scholar] [CrossRef]
- Li, T.; Liu, X.; Su, S. Semi-supervised Text Regression with Conditional Generative Adversarial Networks. In Proceedings of the 2018 IEEE International Conference on Big Data (Big Data), Seattle, WA, USA, 10–13 December 2018; IEEE: Piscataway, NJ, USA, 2018; pp. 5375–5377. [Google Scholar] [CrossRef]
- Rahman, M.H.; Abrar, M.; Rifaat, S.M. Linear regression coupled Wasserstein generative adversarial network for direct demand modeling of ride-hailing trips in Chicago and Austin. Transp. Lett. 2025, 17, 653–665. [Google Scholar] [CrossRef]
- Yilmaz, E.; German, B. Conditional Generative Adversarial Network Framework for Airfoil Inverse Design. In Proceedings of the AIAA Aviation Forum. American Institute of Aeronautics and Astronautics, Virtual, 15–19 June 2020. [Google Scholar] [CrossRef]
- Wu, H.; Liu, X.; An, W.; Lyu, H. A generative deep learning framework for airfoil flow field prediction with sparse data. Chin. J. Aeronaut. 2022, 35, 470–484. [Google Scholar] [CrossRef]
- Chen, D.; Gao, X.; Xu, C.; Chen, S.; Fang, J.; Wang, Z.; Wang, Z. FlowGAN: A Conditional Generative Adversarial Network for Flow Prediction in Various Conditions. In Proceedings of the 2020 IEEE 32nd International Conference on Tools with Artificial Intelligence (ICTAI), Baltimore, MD, USA, 9–11 November 2020; IEEE: Piscataway, NJ, USA, 2020; pp. 257–264. [Google Scholar] [CrossRef]
- Arjovsky, M.; Bottou, L. Towards Principled Methods for Training Generative Adversarial Networks, 2017. Available online: http://arxiv.org/abs/1701.04862 (accessed on 27 December 2025).
- Ledig, C.; Theis, L.; Huszar, F.; Caballero, J.; Cunningham, A.; Acosta, A.; Aitken, A.; Tejani, A.; Totz, J.; Wang, Z.; et al. Photo-Realistic Single Image Super-Resolution Using a Generative Adversarial Network. arXiv 2017, arXiv:1701.04862. Available online: http://arxiv.org/abs/1609.04802 (accessed on 27 December 2025).
- Pang, Y.; Liu, Y. Conditional Generative Adversarial Networks (CGAN) for Aircraft Trajectory Prediction considering weather effects. In Proceedings of the AIAA Scitech 2020 Forum, Orlando, FL, USA, 6–10 January 2020; American Institute of Aeronautics and Astronautics: Reston, VA, USA, 2020; p. 1853. [Google Scholar] [CrossRef]
- Xiang, J.; Essick, D.; Bautista, L.G.; Xie, J.; Chen, J. Landing Trajectory Prediction for UAS Based on Generative Adversarial Network. In Proceedings of the AIAA SCITECH 2023 Forum, National Harbor, MD, USA, 23–27 January 2023; p. 0127. [Google Scholar] [CrossRef]
- Zhang, H.; Liu, Z. Four-Dimensional Aircraft Trajectory Prediction Based on Generative Deep Learning. J. Aerosp. Inf. Syst. 2024, 21, 255–270. [Google Scholar] [CrossRef]
- Zhang, H.; Liu, Z. Four-Dimensional Aircraft Trajectory Prediction with a Generative Deep Learning and Clustering Approach. J. Aerosp. Inf. Syst. 2025, 22, 90–102. [Google Scholar] [CrossRef]
- Wu, X.; Yang, H.; Chen, H.; Hu, Q.; Hu, H. Long-term 4D trajectory prediction using generative adversarial networks. Transp. Res. Part C Emerg. Technol. 2022, 136, 103554. [Google Scholar] [CrossRef]
- Falck, R.; Gray, J.S.; Ponnapalli, K.; Wright, T. dymos: A Python package for optimal control of multidisciplinary systems. J. Open Source Softw. 2021, 6, 2809. [Google Scholar] [CrossRef]
- Han, X.; Zheng, H.; Zhou, M. CARD: Classification and Regression Diffusion Models. Adv. Neural Inf. Process. Syst. 2022, 35, 18100–18115. [Google Scholar]
- Jiang, S.; Tran, Q.C.; Keyvan-Ekbatani, M. A diffusion-model-based approach for forecasting energy demand in New Zealand’s transport sector. Appl. Energy 2025, 400, 13479. [Google Scholar] [CrossRef]
- Kneissl, C.; Bülte, C.; Scholl, P.; Kutyniok, G. Improved probabilistic regression using diffusion models. In Proceedings of the Northern Lights Deep Learning Conference (NLDL), Tromsø, Norway, 6–8 January 2026. [Google Scholar]
- Xin, H.; Zhu, M.Y. Score-based Image-to-Image Regression with Synchronized Diffusion. In Proceedings of the 2022 21st IEEE International Conference on Machine Learning and Applications (ICMLA), Nassau, Bahamas, 12–14 December 2022; IEEE: Piscataway, NJ, USA, 2022; pp. 366–373. [Google Scholar] [CrossRef]
- Kollovieh, M.; Ansari, A.F.; Bohlke-Schneider, M.; Zschiegner, J.; Wang, H.; Wang, Y.B. Predict, Refine, Synthesize: Self-Guiding Diffusion Models for Probabilistic Time Series Forecasting. Adv. Neural Inf. Process. Syst. 2023, 36, 28341–28364. [Google Scholar]
- Wang, C.; Pan, B.; Dai, Z.; Cai, Y.; Ma, Y.; Zheng, H.; Fan, D.; Xiang, H. AeroDiT: Diffusion Transformers for Reynolds-Averaged Navier-Stokes Simulations of Airfoil Flows. Phys. Fluids 2025, 37, 124120. [Google Scholar] [CrossRef]
- Lou, J.; Chen, R.; Lin, Z.; Liu, J.; Bao, Y.; Wu, H.; You, Y. A general framework for airfoil flow field reconstruction based on transformer-guided diffusion models. Chin. J. Aeronaut. 2025, 38, 103624. [Google Scholar] [CrossRef]
- Shukla, P.; Shukla, S.; Singh, A.K. Trajectory-Prediction Techniques for Unmanned Aerial Vehicles (UAVs): A Comprehensive Survey. IEEE Commun. Surv. Tutor. 2025, 27, 1867–1910. [Google Scholar] [CrossRef]
- He, P.; Zhang, Z.; Yu, Y.; Jiang, G.; Hong, F.; Wang, B. FlightDiff: A dual-constraint guided two-phase diffusion framework for accurate flight prediction. GeoInformatica 2025, 30, 1. [Google Scholar] [CrossRef]
- Yin, Y.; Zhang, S.; Zhang, Y.; Zhang, Y.; Xiang, S. Aircraft trajectory prediction in terminal airspace with intentions derived from local history. Neurocomputing 2025, 615, 128843. [Google Scholar] [CrossRef]
- Pathak, R.; Sen, R.; Kong, W.; Das, A. Transformers can optimally learn regression mixture models. arXiv 2024, arXiv:2311.08362. [Google Scholar] [CrossRef]
- Ha, T.V.T.; Nguyen, B.A.; Do, T.N. Enhancing Rice Yield Prediction using Vision Transformer and Regression Models. In Proceedings of the 2024 IEEE International Conference on Computing (ICOCO), Kuala Lumpur, Malaysia, 12–14 December 2024; IEEE: Piscataway, NJ, USA, 2024; pp. 273–278. [Google Scholar] [CrossRef]
- Kewenig, V.; Skipper, J.I.; Vigliocco, G. A multimodal transformer-based tool for automatic generation of concreteness ratings across languages. Commun. Psychol. 2025, 3, 100. [Google Scholar] [CrossRef] [PubMed]
- Tian, Y.; Li, W.; Wang, X.; Yan, X.; Xu, Y. Transformer-Based Traffic Flow Prediction Considering Spatio-Temporal Correlations of Bridge Networks. Appl. Sci. 2025, 15, 8930. [Google Scholar] [CrossRef]
- Patil, A.; Viquerat, J.; Hachem, E. Autoregressive Transformers for Data-Driven Spatio-Temporal Learning of Turbulent Flows. APL Mach. Learn. 2023, 1, 046101. [Google Scholar] [CrossRef]
- Li, Z.; Liu, T.; Peng, W.; Yuan, Z.; Wang, J. A transformer-based neural operator for large-eddy simulation of turbulence. Phys. Fluids 2024, 36, 065167. [Google Scholar] [CrossRef]
- Huang, S.; Yan, C.; Qu, Y. Deep learning model-transformer based wind power forecasting approach. Front. Energy Res. 2023, 10, 1055683. [Google Scholar] [CrossRef]
- He, J.; Luo, X.; Wang, Y. DrivAer Transformer: A high-precision and fast prediction method for vehicle aerodynamic drag coefficient based on the DrivAerNet++ dataset. arXiv 2025, arXiv:2504.08217. Available online: http://arxiv.org/abs/2504.08217 (accessed on 27 December 2025).
- Lee, G.T.; Kwon, O.R. A Predictive Model Based on Transformer with Statistical Feature Embedding in Manufacturing Sensor Dataset. arXiv 2024, arXiv:2407.06682. Available online: http://arxiv.org/abs/2407.06682 (accessed on 27 December 2025).
- Shen, H.; Zhang, D.; Rinoshika, A.; Zheng, Y. Flow field prediction with self-supervised learning and graph transformer: A high performance solution for limited data and complex flow scenarios. Phys. Fluids 2025, 37, 045112. [Google Scholar] [CrossRef]
- Luo, A.; Luo, Y.; Liu, H.; Du, W.; Wu, X.; Chen, H.; Yang, H. An Improved Transformer-Based Model for Long-Term 4D Trajectory Prediction in Civil Aviation. IET Intell. Transp. Syst. 2024, 18, 1588–1598. [Google Scholar] [CrossRef]
- Tang, R.; Ng, K.K.H.; Li, L.; Yang, Z. A learning-based interacting multiple model filter for trajectory prediction of small multirotor drones considering differential sequences. Transp. Res. Part C Emerg. Technol. 2025, 174, 105115. [Google Scholar] [CrossRef]
- Kwak, N.; Lee, B. The Evolution and Taxonomy of Deep Learning Models for Aircraft Trajectory Prediction: A Review of Performance and Future Directions. Appl. Sci. 2025, 15, 10739. [Google Scholar] [CrossRef]
- Dong, X.; Tian, Y.; Niu, K.; Sun, M.; Li, J. Research on flight trajectory prediction method based on transformer. In Proceedings of the International Conference on Smart Transportation and City Engineering (STCE 2023), Chongqing, China, 16–18 December 2023; The International Society for Optics and Photonics; SPIE: Philadelphia, PA, USA, 2024; SPIE Conference Proceedings. [Google Scholar] [CrossRef]
- Vos, R.W.; Sun, J.; Hoekstra, J.M. A Transformer-based Trajectory Prediction Model to Support Air Traffic Demand Forecasting. In Proceedings of the 11th International Conference for Research in Air Transportation (ICRAT 2024), Singapore, 1–4 July 2024. [Google Scholar]
- Ma, C.; Alam, S.; Cai, Q.; Delahaye, D. Air Traffic Flow Representation and Prediction using Transformer in Flow-centric Airspace. In Proceedings of the 12th SESAR Innovation Days (SIDs 2022), Budapest, Hungary, 5–8 December 2022. [Google Scholar]
- Guo, D.; Wu, E.Q.; Wu, Y.; Zhang, J.; Law, R.; Lin, Y. FlightBERT: Binary Encoding Representation for Flight Trajectory Prediction. IEEE Trans. Intell. Transp. Syst. 2023, 24, 1828–1842. [Google Scholar] [CrossRef]
- Guo, D.; Zhang, Z.; Yan, Z.; Zhang, J.; Lin, Y. FlightBERT++: A Non-autoregressive Multi-Horizon Flight Trajectory Prediction Framework. Proc. Aaai Conf. Artif. Intell. 2024, 38, 127–134. [Google Scholar] [CrossRef]
- Yang, J.; Lu, X.; Zheng, X.; Xiao, Y. A Deep Learning Model Integrating Flight Dynamics Information Features for Aircraft Trajectory Prediction. Soc. Sci. Res. Netw. Electron. J. 2025. [Google Scholar] [CrossRef]
- Lu, G.; Ou, Y.; Li, W.; Zeng, X.; Zhang, Z.; Huang, D.; Kotenko, I. An Inverted Transformer Framework for Aviation Trajectory Prediction with Multi-Flight Mode Fusion. Aerospace 2025, 12, 319. [Google Scholar] [CrossRef]
- Nie, Y.; Nguyen, N.H.; Sinthong, P.; Kalagnanam, J. A Time Series is Worth 64 Words: Long-term Forecasting with Transformers. arXiv 2023, arXiv:2211.14730. Available online: http://arxiv.org/abs/2211.14730 (accessed on 27 December 2025).
- Nguyen, N.L.; Yoo, M. Multi-agent trajectory prediction with adaptive perception-guided transformers. IET Intell. Transp. Syst. 2024, 18, 1196–1209. [Google Scholar] [CrossRef]
- Silvestre, J.; Mielgo, P.; Bregón, A.; Martínez-Prieto, M.A.; Álvarez Esteban, P.C. Multi-Route Aircraft Trajectory Prediction Using Temporal Fusion Transformers. IEEE Access 2024, 12, 174094–174106. [Google Scholar] [CrossRef]
- Xiang, J.; Chen, J. Data-Driven Probabilistic Trajectory Learning with High Temporal Resolution in Terminal Airspace. J. Aerosp. Inf. Syst. 2025, 22, 682–692. [Google Scholar] [CrossRef]
- Pang, Y.; Zhao, X.; Hu, J.; Yan, H.; Liu, Y. Bayesian Spatio-Temporal grAph tRansformer network (B-STAR) for multi-aircraft trajectory prediction. Knowl.-Based Syst. 2022, 249, 108998. [Google Scholar] [CrossRef]
- Yuan, Y.; Weng, X.; Ou, Y.; Kitani, K. AgentFormer: Agent-Aware Transformers for Socio-Temporal Multi-Agent Forecasting. arXiv 2021, arXiv:2103.14023. Available online: http://arxiv.org/abs/2103.14023 (accessed on 27 December 2025).
- Sun, G.; Xie, W.; Niyato, D.; Mei, F.; Kang, J.; Du, H.; Mao, S. Generative AI for Deep Reinforcement Learning: Framework, Analysis, and Use Cases. IEEE Wirel. Commun. 2025, 32, 186–195. [Google Scholar] [CrossRef]
- Emami, Y.; Zhou, H.; Almeida, L.; Li, K. Diffusion Models for Smarter UAVs: Decision-Making and Modeling. arXiv 2025, arXiv:2501.05819. Available online: http://arxiv.org/abs/2501.05819 (accessed on 27 December 2025).
- Cohen, N.; Klein, I. Diffusion Augmented Data for Inertial Regression Tasks with Applications to Quadrotor Positioning. TechRxiv, 2025; Preprint. [Google Scholar]
- Zuo, K.; Ye, Z.; Zhang, W.; Yuan, X.; Zhu, L. Fast aerodynamics prediction of laminar airfoils based on deep attention network. Phys. Fluids 2023, 35, 037127. [Google Scholar] [CrossRef]
- Betalo, M.L.; Ullah, I.; Tesema, F.B.; Wu, Z.; Li, J.; Bai, X. Generative AI-Driven Multi-Agent DRL for Task Allocation in UAV-Assisted EMPD within 6G-Enabled SAGIN Networks. IEEE Internet Things J. 2025, 12, 35890–35907. [Google Scholar] [CrossRef]
- Zheng, C.; Xie, F.; Ji, T.; Zhou, H.; Zheng, Y. Transformer-based In-Context Policy Learning for Efficient Active Flow Control Across Various Airfoils. J. Fluid Mech. 2024, 1001, A53. [Google Scholar] [CrossRef]
- Lee, U.; Lee, S.; Kim, K. Data-Efficient Reinforcement Learning Framework for Autonomous Flight Based on Real-World Flight Data. Drones 2025, 9, 264. [Google Scholar] [CrossRef]
- Wang, J.; Yue, X.; Chen, Z.; Zeng, M.; Xu, H.; Li, X.; Zhan, Y. Generative reinforcement learning for self-sustainable STAR-RIS assisted UAV communications. Chin. J. Aeronaut. 2025, 103854. [Google Scholar] [CrossRef]
- Shi, H.; Wang, R.; Pan, C.; Gao, F.; Tang, H.; Chen, L. Diffusion Model Enhanced Deep Reinforcement Learning for Traffic Control in 6G Networks. IEEE Commun. Mag. 2025, 63, 41–47. [Google Scholar] [CrossRef]
- Zhao, Y.; Liu, C.H.; Yi, T.; Li, G.; Wu, D. Energy-Efficient Ground-Air-Space Vehicular Crowdsensing by Hierarchical Multi-Agent Deep Reinforcement Learning with Diffusion Models. IEEE J. Sel. Areas Commun. 2024, 42, 3566–3580. [Google Scholar] [CrossRef]
- Liang, S.; Yin, M.; Xie, W.; Sun, Z.; Li, J.; Wang, J.; Du, H. UAV-Enabled Secure Data Collection and Energy Transfer in IoT via Diffusion-Model-Enhanced Deep Reinforcement Learning. IEEE Internet Things J. 2025, 12, 13455–13468. [Google Scholar] [CrossRef]
- Xiang, C.; Mo, Y.; Liu, W.; Wu, Z.; Li, L. Path Pool Based Transformer Model in Reinforcement Framework for Dynamic Urban Drone Delivery Problem. Transp. Res. Part C Emerg. Technol. 2025, 177, 105165. [Google Scholar] [CrossRef]
- Li, J.; Zhou, B.; Ma, X.; Wu, Q. UAV Trajectory Optimization for Radio Map Updating: A Transformer-Based DRL Approach. In Proceedings of the IEEE 101st Vehicular Technology Conference (VTC2025-Spring), Oslo, Norway, 17–20 June 2025; IEEE: Piscataway, NJ, USA, 2025; pp. 1–6. [Google Scholar] [CrossRef]
- Lu, C.; Ni, Y.; Wang, Z.; Shi, X.; Li, J.; Jin, S. Attention-Enhanced Prompt Decision Transformers for UAV-Assisted Communications with AoI. IEEE Wirel. Commun. Lett. 2025, 14, 2576–2580. [Google Scholar] [CrossRef]
- Roberts, N.M.; Du, X. Transformer-Guided Deep Reinforcement Learning for Optimal Takeoff Trajectory Design of an eVTOL Drone. arXiv 2025, arXiv:2511.14887. [Google Scholar]
- Fu, W.; Li, Y.; Ye, Z.; Liu, Q. Decision Making for Autonomous Driving via Multimodal Transformer and Deep Reinforcement Learning. In Proceedings of the 2022 IEEE International Conference on Real-Time Computing and Robotics (RCAR), Oslo, Norway, 17–20 June 2025; IEEE: Piscataway, NJ, USA, 2022; pp. 481–486. [Google Scholar] [CrossRef]
- Li, Y.; Lei, F.; Yang, Y.; Li, W. GAN-powered heterogeneous multi-agent reinforcement learning for UAV-assisted task offloading. Ad Hoc Netw. 2024, 153, 103341. [Google Scholar] [CrossRef]
- Du, H.; Li, Z.; Niyato, D.; Kang, J.; Xiong, Z.; Huang, H.; Mao, S. Diffusion-Based Reinforcement Learning for Edge-Enabled AI-Generated Content Services. IEEE Trans. Mob. Comput. 2024, 23, 8902–8918. [Google Scholar] [CrossRef]
- Lin, R.; Qiu, H.; Jiang, W.; Jiang, Z.; Li, Z.; Wang, J. Physical-Layer Security Enhancement in Energy-Harvesting-Based Cognitive Internet of Things: A GAN-Powered Deep Reinforcement Learning Approach. IEEE Internet Things J. 2024, 11, 4899–4913. [Google Scholar] [CrossRef]
- Yang, Y.; Feng, L.; Sun, Y.; Li, Y.; Zhou, F.; Li, W.; Wang, S. Decentralized Cooperative Caching and Offloading for Virtual Reality Task Based on GAN-Powered Multi-Agent Reinforcement Learning. IEEE Trans. Serv. Comput. 2024, 17, 291–305. [Google Scholar] [CrossRef]
- Han, H.; Xu, Y.; Jin, Z.; Li, W.; Chen, X.; Fang, G.; Xu, Y. Primary-User-Friendly Dynamic Spectrum Anti-Jamming Access: A GAN-Enhanced Deep Reinforcement Learning Approach. IEEE Wirel. Commun. Lett. 2022, 11, 258–262. [Google Scholar] [CrossRef]
- Gupta, A.; Khwaja, A.S.; Anpalagan, A.; Guan, L.; Venkatesh, B. Policy-Gradient and Actor-Critic Based State Representation Learning for Safe Driving of Autonomous Vehicles. Sensors 2020, 20, 5991. [Google Scholar] [CrossRef]
- Chen, D.; Qi, Q.; Fu, Q.; Wang, J.; Liao, J.; Han, Z. Transformer-Based Reinforcement Learning for Scalable Multi-UAV Area Coverage. IEEE Trans. Intell. Transp. Syst. 2024, 25, 10062–10077. [Google Scholar] [CrossRef]
- Li, B.; Tang, H.; Zheng, Y.; Hao, J.; Li, P.; Wang, Z.; Meng, Z.; Wang, L. HyAR: Addressing Discrete-Continuous Action Reinforcement Learning via Hybrid Action Representation. In Proceedings of the 10th International Conference on Learning Representations (ICLR), Virtual, 25–29 April 2022. [Google Scholar]
- Wang, X.; Lin, B.; Liu, D.; Chen, Y.C.; Xu, C. Efficient Transfer Learning in Diffusion Models via Adversarial Noise. In Proceedings of the 41st International Conference on Machine Learning (ICML), Vienna, Austria, 21–27 July 2024; PMLR: Proceedings of Machine Learning Research. Volume 235, pp. 50944–50959. [Google Scholar]
- Liang, J.R. Vision-Based Unmanned Aerial Vehicle Navigation in Virtual Complex Environment Using Deep Reinforcement Learning. Master’s Thesis, University of California, Davis, CA, USA, 2021. [Google Scholar]
- Xue, Z.; Gonsalves, T. Monocular vision guided deep reinforcement learning UAV systems with representation learning perception. Connect. Sci. 2023, 35, 2183828. [Google Scholar] [CrossRef]
- Bonatti, R.; Madaan, R.; Vineet, V.; Scherer, S.; Kapoor, A. Learning Visuomotor Policies for Aerial Navigation Using Cross-Modal Representations. In Proceedings of the IEEE/RSJ International Conference on Intelligent Robots and Systems (IROS), Las Vegas, NV, USA, 24 October–24 January 2020; pp. 1637–1644. [Google Scholar]
- Pfau, D.; Vinyals, O. Connecting Generative Adversarial Networks and Actor-Critic Methods. arXiv 2016, arXiv:1610.01945. Available online: http://arxiv.org/abs/1610.01945 (accessed on 27 December 2025).
- Hua, Y.; Li, R.; Zhao, Z.; Chen, X.; Zhang, H. GAN-Powered Deep Distributional Reinforcement Learning for Resource Management in Network Slicing. IEEE J. Sel. Areas Commun. 2020, 38, 334–349. [Google Scholar] [CrossRef]
- Hwang, H.S.; Kim, Y.; Seok, J. Generative Adversarial Soft Actor–Critic. IEEE Trans. Neural Netw. Learn. Syst. 2025, 36, 11917–11927. [Google Scholar] [CrossRef]
- Xu, C.; Guo, J.; Liang, Y.; Huang, H.; Zou, H.; Zheng, X.; Yu, S.; Chu, X.; Cao, J.; Wang, T. Diffusion Models for Reinforcement Learning: Foundations, Taxonomy, and Development. arXiv 2025, arXiv:2510.12253. Available online: http://arxiv.org/abs/2510.12253 (accessed on 27 December 2025).
- Tong, Y.; Kang, J.; Chen, J.; Xu, M.; Li, G.; Zhang, W.; Yan, X. Diffusion-based Reinforcement Learning for Dynamic UAV-assisted Vehicle Twins Migration in Vehicular Metaverses. In Proceedings of the IEEE Global Communications Conference (GLOBECOM), Cape Town, South Africa, 8–12 December 2024; IEEE: Piscataway, NJ, USA, 2024; pp. 5156–5161. [Google Scholar] [CrossRef]
- Kim, M.; Park, S. Generative Trajectory Planning in Dynamic Environments: A Joint Diffusion and Reinforcement Learning Framework. In Proceedings of the ICLR 2026, Rio de Janeiro, Brazil, 23–27 April 2026. [Google Scholar]
- Zhang, Z.; Wang, J.; Chen, J.; Fu, H.; Tong, Z.; Jiang, C. Diffusion-Based Reinforcement Learning for Cooperative Offloading and Resource Allocation in Multi-UAV Assisted Edge-Enabled Metaverse. IEEE Trans. Veh. Technol. 2025, 74, 11281–11293. [Google Scholar] [CrossRef]
- Yu, Z.; Xiao, M.; Wang, Y.; Zhao, Z.; Cao, X.; Liu, Y.; Quek, T.Q.S. Multi-UAV Trajectory Generation for Fresh Data Collection: A Diffusion-based Reinforcement Learning Approach. In Proceedings of the IEEE Wireless Communications and Networking Conference (WCNC), Milan, Italy, 24–27 March 2025; IEEE: Piscataway, NJ, USA, 2025; pp. 1–6. [Google Scholar] [CrossRef]
- Zhang, C.; Sun, G.; Li, J.; Wu, Q.; Wang, J.; Niyato, D.; Liu, Y. Multi-Objective Aerial Collaborative Secure Communication Optimization via Generative Diffusion Model-Enabled Deep Reinforcement Learning. IEEE Trans. Mob. Comput. 2025, 24, 3041–3058. [Google Scholar] [CrossRef]
- Zhang, R.; Hao, J.; Wang, R.; Deng, H.; Wang, H. Multi-objective Global Path Planning for UAV-assisted Sensor Data Collection Using DRL and Transformer. In Web and Big Data Proceedings of the 6th International Joint Conference, APWeb-WAIM 2022, Nanjing, China, 25–27 November 2022, Proceedings, Part II; Lecture Notes in Computer Science (including subseries Lecture Notes in Artificial Intelligence and Lecture Notes in Bioinformatics), Part of the EURO-PAR 2023 Series; Springer: Cham, Switzerland, 2023; Volume 13422, pp. 492–500. [Google Scholar] [CrossRef]
- Jiang, W.; Cai, T.; Xu, G.; Wang, Y. Autonomous Obstacle Avoidance and Target Tracking of UAV: Transformer for Observation Sequence in Reinforcement Learning. Knowl.-Based Syst. 2024, 290, 111604. [Google Scholar] [CrossRef]
- ELallid, B.B.; Benamar, N.; Bagaa, M.; Mrani, N. Enhancing Autonomous Vehicle Control in Complex Scenarios with Deep Transformer Reinforcement Learning. Eng. Appl. Artif. Intell. 2025, 144, 111483. [Google Scholar] [CrossRef]
- Yu, C.H.; Tsai, J.; Chang, Y.T. Intelligent Path Planning for UAV Patrolling in Dynamic Environments Based on the Transformer Architecture. Electronics 2024, 13, 4716. [Google Scholar] [CrossRef]
- López-Villegas, I.; Medina-Gómez, K.J.; Izquierdo-Reyes, J.; Colin-García, D.; González-Hernández, H.G.; Bustamante-Bello, R. A Transformer-Based Self-Organizing UAV Swarm for Assisting an Emergency Communications System. Drones 2025, 9, 769. [Google Scholar] [CrossRef]
- Sopegno, L.; Cirrincione, G.; Martini, S.; Rutherford, M.J.; Livreri, P.; Valavanis, K.P. Transformer-Based Physics Informed Proximal Policy Optimization for UAV Autonomous Navigation. In Proceedings of the 2025 International Conference on Unmanned Aircraft Systems (ICUAS 2025), Charlotte, NC, USA, 14–17 May 2025; IEEE: Piscataway, NJ, USA, 2025; pp. 1094–1099. [Google Scholar] [CrossRef]
- Wei, A.; Liang, J.; Lin, K.; Li, Z.; Zhao, R. DTPPO: Dual-Transformer Encoder-Based Proximal Policy Optimization for Multi-UAV Navigation in Unseen Complex Environments. Drones 2024, 8, 720. [Google Scholar] [CrossRef]
- Huang, J.; Cui, Y.; Xi, G.; Bai, S.; Li, B.; Wang, G.; Neretin, E. GTrXL-SAC-Based Path Planning and Obstacle-Aware Control Decision-Making for UAV Autonomous Control. Drones 2025, 9, 275. [Google Scholar] [CrossRef]
- Zhao, Y.; Yang, J.; Wang, W.; Yang, H.L.; Niyato, D. TranDRL: A Transformer-Driven Deep Reinforcement Learning Enabled Prescriptive Maintenance Framework. IEEE Internet Things J. 2024, 11, 35432–35444. [Google Scholar] [CrossRef]
- Yonekura, K.; Suzuki, K. Data-driven design exploration method using conditional variational autoencoder for airfoil design. Struct. Multidiscip. Optim. 2021, 64, 613–624. [Google Scholar] [CrossRef]
- Motte, A.; Olive, X.; Morio, J. Conditional Variational Autoencoders for aircraft type-specific trajectory generation. In Proceedings of the SESAR Innovation Days 2025, Lake Bled, Slovenia, 1–4 December 2025. [Google Scholar]
- Tan, X.; Dai, M.; Chattoraj, J.; Liu, Y.; Xu, X.; Dao, M.H.; Yang, F. Airfoil Inverse Design using Conditional Generative Adversarial Networks. In Proceedings of the 2022 17th International Conference on Control, Automation, Robotics and Vision (ICARCV), Singapore, 11–13 December 2022; IEEE: Piscataway, NJ, USA, 2022; pp. 143–148. [Google Scholar] [CrossRef]
- Yonekura, K.; Tomori, Y.; Suzuki, K. Airfoil Shape Generation and Feature Extraction Using the Conditional VAE-WGAN-gp. AI 2024, 4, 2092–2103. [Google Scholar] [CrossRef]
- Lin, J.h.; Chen, S.s.; Jin, S.y.; Jiang, Q.f.; Jia, M.l.; Li, D. Multi-point aerodynamic inverse design of flying wing using the conditional diffusion model. Phys. Fluids 2025, 37, 077116. [Google Scholar] [CrossRef]
- Kondo, K.; Tagliabue, A.; Cai, X.; Tewari, C.; Garcia, O.; Espitia-Alvarez, M.; How, J.P. CGD: Constraint-Guided Diffusion Policies for UAV Trajectory Planning. arXiv 2024, arXiv:2405.01758. Available online: http://arxiv.org/abs/2405.01758 (accessed on 2 January 2026).
- Sisk, S.; Du, X. Physics-Constrained Generative Adversarial Networks for Rapid Optimal Takeoff Trajectory Designs. Struct. Multidiscip. Optim. 2026; submitted. [Google Scholar]
- Li, R.; Zhang, Y.; Chen, H. Physically interpretable feature learning of supercritical airfoils based on variational autoencoders. AIAA J. 2022, 60, 6168–6182. [Google Scholar] [CrossRef]
- Zhang, L.; Mbuya, J.; Zhao, L.; Pfoser, D.; Anastasopoulos, A. End-to-end Trajectory Generation—Contrasting Deep Generative Models and Language Models. ACM Trans. Spat. Algorithms Syst. 2025, 11, 1–28. [Google Scholar] [CrossRef]
- Liu, M.; Yang, Y.; Wu, C.; Zhang, Y. A Fast Prediction Model of Supercritical Airfoils Based on Deep Operator Network and Variational Autoencoder Considering Physical Constraints. Aerosp. Res. Commun. 2024, 2, 13901. [Google Scholar] [CrossRef]
- Xie, H.; Wang, J.; Zhang, M. Parametric Generative Schemes with Geometric Constraints for Encoding and Synthesizing Airfoils. Eng. Appl. Artif. Intell. 2024, 128, 107505. [Google Scholar] [CrossRef]
- Abbott, I.H.; von Doenhoff, A.E.; Stivers, L.S.J. Summary of Airfoil Data; Technical Report NACA Report No. 824; National Advisory Committee for Aeronautics: Washington, DC, USA, 1945.
- Ronneberger, O.; Fischer, P.; Brox, T. U-Net: Convolutional Networks for Biomedical Image Segmentation. In Medical Image Computing and Computer-Assisted Intervention—MICCAI 2015, Proceedings of the 18th International Conference, Munich, Germany, 5–9 October 2015, Proceedings, Part III; Navab, N., Hornegger, J., Wells, W.M., Frangi, A.F., Eds.; Lecture Notes in Computer Science; Springer: Cham, Switzerland, 2015; Volume 9351, pp. 234–241. [Google Scholar] [CrossRef]
- Dan, Y.; Zhao, Y.; Li, X.; Li, S.; Hu, M.; Hu, J. Generative adversarial networks (GAN) based efficient sampling of chemical composition space for inverse design of inorganic materials. NPJ Comput. Mater. 2020, 6, 84. [Google Scholar] [CrossRef]
- Walker, J.; Razavi, A.; van den Oord, A. Predicting Video with VQVAE. arXiv 2021, arXiv:2103.01950. Available online: http://arxiv.org/abs/2103.01950 (accessed on 2 January 2026).
- Razavi, A.; van den Oord, A.; Vinyals, O. Generating Diverse High-Fidelity Images with VQ-VAE-2. arXiv 2019, arXiv:1906.00446. Available online: http://arxiv.org/abs/1906.00446 (accessed on 2 January 2026).
- Shen, D.; Qin, C.; Wang, C.; Zhu, H.; Chen, E.; Xiong, H. Regularizing Variational Autoencoder with Diversity and Uncertainty Awareness. In Proceedings of the Thirtieth International Joint Conference on Artificial Intelligence, Montreal, QC, Canada, 19–27 August 2021; International Joint Conferences on Artificial Intelligence Organization: Montreal, QC, Canada, 2021; pp. 2964–2970. [Google Scholar] [CrossRef]
- Hilsenbek, K. Breaking the Attention Bottleneck. arXiv 2024, arXiv:2406.10906. Available online: http://arxiv.org/abs/2406.10906 (accessed on 2 January 2026).
- Ma, J.; Zhu, Q.; Xue, T.; Ai, J.; Dong, Y. Aircraft dynamics modeling at high angle of attack incorporating residual transformer autoencoder and physical mechanisms. Aerosp. Sci. Technol. 2025, 160, 110045. [Google Scholar] [CrossRef]
- Ma, N.; Tong, S.; Jia, H.; Hu, H.; Su, Y.C.; Zhang, M.; Yang, X.; Li, Y.; Jaakkola, T.; Jia, X.; et al. Inference-Time Scaling for Diffusion Models beyond Scaling Denoising Steps. arXiv 2025, arXiv:2501.09732. Available online: http://arxiv.org/abs/2501.09732 (accessed on 2 January 2026).
- Karras, T.; Aila, T.; Laine, S.; Lehtinen, J. Progressive Growing of GANs for Improved Quality, Stability, and Variation. arXiv 2018, arXiv:1710.10196. Available online: http://arxiv.org/abs/1710.10196 (accessed on 2 January 2026).
- Mehwish, H.; Shakir, H.; Rashid, M.; Aamir, A.; Khan, R.Q. Benchmarking Vanilla GAN, DCGAN, and WGAN Architectures for MRI Reconstruction: A Quantitative Analysis. Edelweiss Appl. Sci. Technol. 2026, 10, 617–634. [Google Scholar] [CrossRef]
- Altabaa, A.; Chen, S.; Lafferty, J.; Yang, Z. Unlocking Out-of-Distribution Generalization in Transformers via Recursive Latent Space Reasoning. arXiv 2025, arXiv:2510.14095. Available online: http://arxiv.org/abs/2510.14095 (accessed on 2 January 2026).
- Veisi, A.; Amirzadeh, H.; Mansourian, A. Context-aware Biases for Length Extrapolation. arXiv 2025, arXiv:2503.08067. Available online: http://arxiv.org/abs/2503.08067 (accessed on 2 January 2026).
- Shen, M.; Liu, K.; Mao, S.; Daraio, C. Self-supervised AI for decoding and designing disordered metamaterials. Sci. Adv. 2026, 12, eadx7389. [Google Scholar] [CrossRef]
- Salih, A.M.; Raisi-Estabragh, Z.; Galazzo, I.B.; Radeva, P.; Petersen, S.E.; Lekadir, K.; Menegaz, G. A Perspective on Explainable Artificial Intelligence Methods: SHAP and LIME. Adv. Intell. Syst. 2024, 7, 2400304. [Google Scholar] [CrossRef]
- Lundberg, S.; Lee, S.I. A Unified Approach to Interpreting Model Predictions. arXiv 2017, arXiv:1705.07874. Available online: http://arxiv.org/abs/1705.07874 (accessed on 2 January 2026).
- McGregor, S. Incident 3: Crashes with Maneuvering Characteristics Augmentation System (MCAS). 2018. Available online: https://incidentdatabase.ai/cite/3/ (accessed on 5 February 2026).
- Amaliah, N.R.; Tjahjono, B.; Palade, V. Human-in-the-Loop XAI for Predictive Maintenance: A Systematic Review of Interactive Systems and Their Effectiveness in Maintenance Decision-Making. Electronics 2025, 14, 3384. [Google Scholar] [CrossRef]
- Li, J.; Zhang, M.; Li, N.; Weyns, D.; Jin, Z.; Tei, K. Generative AI for Self-Adaptive Systems: State of the Art and Research Roadmap. ACM Trans. Auton. Adapt. Syst. 2024, 19, 13:1–13:60. [Google Scholar] [CrossRef]
- Moghaddam, Z.Z.S.; Dehghani, Z.; Rani, M.; Aslansefat, K.; Mishra, B.K.; Kureshi, R.R.; Thakker, D. Explainable Knowledge Graph Retrieval-Augmented Generation (KG-RAG) with KG-SMILE. arXiv 2025, arXiv:2509.03626. Available online: http://arxiv.org/abs/2509.03626 (accessed on 5 February 2026).
- Miyaji, R.O.; Feitosa Jorge, L.; Machado, L.; Moulin, R. Enhancing Explainability in Retrieval-Augmented Generation: A Knowledge Graph Approach for Trustworthy AI in Service Systems. In Proceedings of the Americas Conference on Information Systems, Montreal, QC, Canada, 14–16 August 2025; p. 186. [Google Scholar]
- Grange, C.; Demazure, T.; Ringeval, M.; Bourdeau, S.; Martineau, C. The Human-GenAI Value Loop in Human-Centered Innovation: Beyond the Magical Narrative. Inf. Syst. J. 2025, 36, 29–51. [Google Scholar] [CrossRef]
- Tarun, B.; Du, H.; Kannan, D.; Gehringer, E.F. Human-in-the-Loop Systems for Adaptive Learning Using Generative AI. arXiv 2025, arXiv:2508.11062. [Google Scholar] [CrossRef]
- Federal Aviation Administration. Roadmap for Artificial Intelligence Safety Assurance. Version I. 2024. Available online: https://www.faa.gov/aircraft/air_cert/step/roadmap_for_AI_safety_assurance (accessed on 5 February 2026).
Disclaimer/Publisher’s Note: The statements, opinions and data contained in all publications are solely those of the individual author(s) and contributor(s) and not of MDPI and/or the editor(s). MDPI and/or the editor(s) disclaim responsibility for any injury to people or property resulting from any ideas, methods, instructions or products referred to in the content. |
© 2026 by the author. Licensee MDPI, Basel, Switzerland. This article is an open access article distributed under the terms and conditions of the Creative Commons Attribution (CC BY) license.
































