Abstract
Berries are highly perishable due to their high water content, making them prone to rapid deterioration and spoilage. This study investigates the effects of osmotic dehydration and edible coatings, with and without bioactive compounds, on various quality attributes of blueberries, raspberries, and strawberries during storage. The berries were pretreated using osmotic dehydration with apple juice, followed by the application of edible coatings from Chlorella vulgaris protein, with or without the addition of aqueous rosemary extract as a source of bioactive compounds. The results indicated that the combination of the two methods significantly reduced weight loss in all berry types, with the incorporation of bioactive compounds further enhancing moisture retention up to approximately 3% for blueberries and raspberries and 5% for strawberries. Total phenolic content and antioxidant activity exhibited significantly increased stability in coated samples, with bioactive coatings contributing to improved antioxidant properties. The HPLC analysis proved that the bioactive profile was preserved after the treatments. Microbial analysis demonstrated that edible coatings, particularly those enriched with bioactive compounds, effectively inhibited microbial growth (TC approximately 4.5 log(CFU/g) with limit = 5 log(CFU/g) and YM approximately 3.5 log(CFU/g) with limit 4 log(CFU/g)), thereby extending the shelf life of the berries. These findings suggest that the synergistic application of osmotic dehydration and edible coatings, especially those containing bioactive compounds, significantly enhances the quality, shelf life, and potential health benefits of fresh berries during storage.
1. Introduction
The demanding modern lifestyle, coupled with the rising prevalence of severe human diseases, has driven a shift toward healthier and more sustainable dietary choices. In this context, berries have emerged as highly valued food sources due to their rich content of vitamins, dietary fiber, and a myriad of bioactive compounds, such as phenolics, flavonoids, and anthocyanins [1]. These bioactive molecules not only provide essential nutrients but also offer potent antioxidant, anti-inflammatory, and antimicrobial properties, contributing to disease prevention and overall health promotion. Consequently, berries are widely consumed both fresh and dried, as well as incorporated into various food products, including juices, jams, and dried snacks.
However, despite their nutritional appeal, berries are notably perishable due to their high moisture content, delicate texture, and susceptibility to environmental factors, leading to rapid quality deterioration and short shelf life [2]. Postharvest losses of berries can reach up to 40% globally, posing substantial economic challenges and sustainability concerns within the food supply chain [3]. Effective preservation strategies that rely on natural, safe, and environmentally friendly approaches are therefore critical to mitigate these losses and ensure a consistent supply of high-quality, nutrient-rich berries to consumers [4].
A major challenge for the food industry is the development of innovative, cost-effective, and minimally invasive processing methods to extend the shelf life of perishable food products while maintaining their nutritional qualities [5]. In recent years, edible coatings have emerged as a promising solution, offering an economical and environmentally friendly approach to food preservation [6]. These thin layers of edible materials form a protective barrier between the food and its surrounding environment, reducing gas exchange, moisture loss, and microbial contamination, thereby enhancing product stability and longevity [7]. Studies have demonstrated that the application of edible coatings on berries significantly reduces weight loss, delays deterioration, and helps maintain their nutritional quality during storage.
Edible coatings can be formulated using a diverse array of biopolymers—including proteins, polysaccharides, and lipids—making them both versatile and environmentally friendly. Natural extracts and plant-derived bioactive compounds, such as essential oils and medicinal herb extracts, have long been utilized for their antimicrobial properties in food preservation [8]. Incorporating these bioactive agents into edible coatings enhances their protective effects, creating an additional barrier against environmental stressors and microbial contamination [9,10]. Among these natural extracts, polyphenols have garnered particular interest due to their synergistic antioxidant and antimicrobial properties. When incorporated into edible coatings, polyphenols help to mitigate oxidative degradation and suppress the growth of spoilage-causing microorganisms [11].
Furthermore, beyond polyphenols, other natural antimicrobials such as essential oils and propolis extracts have been explored to create multifunctional edible coatings that not only prolong the shelf life of fruits but also meet consumer demand for natural and sustainable preservation methods [12]. Notably, recent innovations have introduced antifungal active coatings, such as gelatin-based films containing encapsulated propolis extract, which have demonstrated the ability to effectively reduce microbial spoilage and extend the postharvest shelf life of berries. These advancements underscore the potential of natural bioactive compounds and edible coatings in providing eco-friendly and effective solutions for fresh fruit preservation [13,14].
In the quest for novel and sustainable alternatives, researchers are exploring the potential of microalgae-derived biopolymers for the development of edible coatings [15]. Microalgae, such as Chlorella vulgaris, are rich in proteins, polysaccharides, and bioactive compounds, offering unique functional and nutritional benefits. Edible coatings formulated from microalgae-derived proteins and polysaccharides are not only biodegradable and renewable but also aligned with the principles of the circular economy, meeting the growing demand for natural and eco-friendly food preservation solutions [16]. Moreover, microalgae-based coatings can be tailored to incorporate additional bioactive molecules, further enhancing their protective and nutritional properties. Recent studies have demonstrated that applying microalgae-based coatings to berries can significantly reduce moisture loss, oxidative degradation, and microbial spoilage, thus extending their shelf life [17]. This innovative approach not only improves the postharvest stability of berries but also contributes to broader sustainability goals in the food industry by fostering a more eco-friendly and resource-efficient supply chain.
This study aims to evaluate the effects of edible coatings derived from Chlorella vulgaris proteins, with or without the incorporation of bioactive compounds, on the shelf life, nutritional attributes, and quality of berries. Specifically, the research assesses the coatings’ ability to reduce spoilage, maintain physicochemical properties, and preserve essential nutrients during storage, providing comprehensive insights into their potential as a sustainable postharvest preservation strategy.
2. Materials and Methods
2.1. Materials
Fresh blueberries, raspberries, and strawberries were sourced from local markets. The ingredients chosen for creating edible coatings included glycerol, Tween 20, and Chlorella vulgaris, and those for osmotic dehydration included apple juice and water. Glycerol and Chlorella vulgaris were obtained from local suppliers, Tween 20 was procured from Sigma-Aldrich (Steinheim, Germany), while apple juice was supplied from the local market. An aqueous solution of rosemary extract was kindly provided by Natural Food Additive-NFA Tavros, Attica. The following HPLC-grade solvents and acids were used for sample preparation and mobile phase composition: ultrapure water, methanol, acetonitrile, isopropanol, hydrochloric acid, phosphoric acid, and trifluoroacetic acid (TFA). All reagents were purchased from Sigma-Aldrich (St. Louis, MO, USA).
2.2. Methods
2.2.1. Osmotic Dehydration and Development of Edible Coating
The osmotic dehydration process (OD) was carried out using apple juice at 42 °Brix as a solvent to remove water from the samples. The berries were treated at 40 °C for different time intervals depending on the type of berry: blueberries and raspberries for 360 min and strawberries for 200 min. This process allowed the absorption of solutes from the apple juice and the removal of moisture through osmotic forces. It helps concentrate the flavors and nutritional value of the fruits while simultaneously reducing their moisture content.
An edible coating (EC) containing protein derived from the microalgae Chlorella vulgaris was developed following the methodology of Mari et al. (2024) [18]. The formulation involved dissolving 6% w/v protein, 3% w/v glycerol, and 0.4% w/v Tween 20 as a plasticizer in water. To maintain stability and functionality, the pH was adjusted to 11. A second edible coating containing bioactive compounds was developed in order to examine its impact on the shelf life and quality attributes of the berries. Specifically, an aqueous solution of rosemary extract was added to achieve a final concentration of 5 g of rosmarinic acid per liter of coating.
The samples were divided into three groups based on the treatment applied. The first group included fresh (untreated) berries, serving as the control. The second group, OD/EC, consisted of berries treated with osmotic dehydration followed by an edible coating made from Chlorella vulgaris protein. The third group, OD/EC/Bio, underwent the same process, with the addition of rosemary extract containing rosmarinic acid incorporated into the coating. These abbreviations (OD/EC and OD/EC/Bio) are used throughout the manuscript and figures to denote the respective treatments.
To ensure the reliability and reproducibility of the results, the study was conducted using three independent batches of berries for each treatment group (control, OD/EC, and OD/EC/Bio). For each batch, triplicate measurements (n = 3) were performed for all analytical tests, resulting in a total of nine replicates per treatment. This experimental design allows for both biological and technical variability to be accounted for. Standard deviations are presented in the graphs to indicate the degree of variability among replicates.
2.2.2. Weight Loss
To assess the effect of the coating on berry shelf life, both fresh and treated berries were weighed every two days over a 21-day period for blueberries and a 14-day period for raspberries and strawberries. Blueberries generally exhibit greater firmness and resistance to spoilage, allowing them to maintain quality over a longer storage period of up to 21 days under refrigerated conditions. In contrast, raspberries and strawberries are more perishable, with a higher respiration rate and susceptibility to microbial decay, which typically limits their postharvest shelf life to approximately 14 days. These differences in physiological and storage characteristics were taken into account to ensure that each fruit was analyzed within a realistic and meaningful time frame that reflects its commercial handling and consumer storage conditions. This approach enables a more accurate assessment of antioxidant activity and quality changes during typical storage durations for each fruit type.
A high-precision scale with accuracy up to four decimal places is used for these measurements. The percentage of weight loss was then calculated in relation to the initial weight recorded on the first day, following Equation (1). This method enables a thorough evaluation of the coating’s influence on the berries’ weight retention throughout the storage duration [19].
where Wt is the weight of the berries at day t (g), and Wi is the weight of the berries at day 0 (g).
2.2.3. Color Change
Color was measured using the Miniscan XE photometer (Hunter Associates Laboratory Inc., Reston, VA, USA), equipped with a 4 mm diameter measuring head aperture. The color values were determined according to the CIELAB color measurement system, where the L* parameter reflects luminance, the a* parameter indicates the balance between red and green, and the b* parameter corresponds to the balance between yellow and blue. To obtain accurate results, four different points of the berries were measured, and their deviations were calculated [20].
2.2.4. Total Soluble Solids (TSS)
The determination of total soluble solids (°Brix) is important for the final evaluation of berry products over time, as the concentrations of soluble solids are associated with taste, texture, and the preservation of quality during storage. The total soluble solids of the samples under investigation, as well as the control sample, were determined using a refractometer. Measurements were taken on days 0, 7, 14, and 21 for blueberries and on days 0, 7, and 14 for raspberries and strawberries.
2.2.5. Total Acidity (TA)
The determination of total acidity provides information about the quality and freshness while helping detect any potential changes that may occur during storage or processing. The total acidity of the samples was calculated through titration. Approximately 1 mL of berry juice was diluted in 9 mL of deionized water and titrated with 0.1 M sodium hydroxide (NaOH) along with the addition of phenolphthalein indicator. The acidity was then determined using Equation (2), expressed as a percentage of citric acid (AOAC, 2000) [21,22]. For blueberries, measurements were taken on days 0, 7, 14, and 21, while for raspberries and strawberries, measurements were taken on days 0, 7, and 14.
where VNaOH is the volume of sodium hydroxide consumed (mL), CNaOH is the concentration of sodium hydroxide (N), the acidity factor is 0.064 for citric acid, and Vsample is the volume of the sample (mL).
2.2.6. Total Phenolic Content (TPC)
For the determination of total phenolic content, a calibration curve was initially prepared by dissolving 0.1 g of gallic acid in 10 mL of ethanol (C = 1 g/L) and stirring until fully dissolved. The solution was then diluted with deionized water up to 100 mL. From this stock solution, dilutions of 0.7 C, 0.5 C, 0.3 C, and 0.1 C were prepared, each in 10 mL, using deionized water as the solvent, along with a blank sample containing only water. For the measurement, the following were sequentially added to a test tube: 7.9 mL of deionized water, 0.1 mL of the sample (or ethanol for the blank), 0.5 mL of Folin reagent, and 1.5 mL of saturated Na2CO3 solution (25 g/100 mL water). The mixture was vortexed and left in a shaded area for 2 h. The absorbance was measured using a single-beam UV-Vis spectrophotometer at a wavelength of 765 nm [23].
2.2.7. Antioxidant Activity (DPPH)
The antioxidant activity was measured using the DPPH method as described by Brand-Williams et al. (1995) [24]. A DPPH solution was prepared by dissolving 2.9 mg of the active compound in 100 mL of methanol and stirring at room temperature for 45 min in the dark. To perform the assay, 3.9 mL of the DPPH solution and 0.1 mL of the test sample were combined in a cuvette, and the absorbance was measured at 515 nm using a UV-Vis spectrophotometer (UV-Vis Spectrophotometer UV-M51, BEL Engineering S.r.l., Monza, Italy) for 20 min. The deep purple color of the methanolic solution faded during the reduction reaction, and the absorbance changes were monitored. The free radical scavenging activity (%RSA) was calculated using Equation (3):
where AE is the absorbance of the antioxidant solution, and AD is the absorbance of the DPPH sample. Various dilutions of the sample solution were measured to create a calibration curve correlating concentration to the remaining DPPH. The percentage of remaining DPPH (DPPHrem) was calculated using Equation (4):
where DPPHt is the absorbance of the DPPH solution at time t, and DPPHt=0 is the absorbance of the DPPH solution at time zero (i.e., before the addition of the antioxidant).
The IC50 value, representing the concentration at which 50% of the DPPH radicals are neutralized, was determined from the calibration curve.
2.2.8. HPLC-DAD Analysis
Berry samples were initially homogenized to achieve a uniform pulp. Anthocyanins were extracted using acidified methanol (methanol containing 0.1% v/v HCl) at a solid-to-solvent ratio of 1:3 (w/v) [25]. The mixture was subjected to continuous magnetic stirring for 30 min at 25 °C to facilitate compound solubilization while minimizing degradation. The extract was first passed through filter paper to remove coarse solids, followed by filtration through a 0.45 μm PVDF membrane filter (Teknokroma, Barcelona, Spain) to eliminate fine particulates. The final clear extract was transferred into amber HPLC vials to protect light-sensitive compounds and stored at 4 °C until analysis.
Anthocyanin profiling was performed using a high-performance liquid chromatography system coupled with a diode-array detector (HPLC-DAD), based on a method modified from Merken and Beecher [26]. Separation was carried out on a Kromasil C18 column (5 µm, 250 × 4.6 mm; Nouryon AB, Göteborg, Sweden) maintained at 30 °C, using a Shimadzu Prominence-i LC-2030 3D system (Shimadzu, Kyoto, Japan). The mobile phase consisted of water (A), methanol (B), acetonitrile (C), and isopropanol (D), each acidified with 0.2% trifluoroacetic acid. A multi-step linear gradient was applied over 70 min. The flow rate was 1.0 mL/min, and the injection volume was 20 µL. Anthocyanins were detected at 520 nm and identified based on retention time, UV-Vis spectral data, and comparison with authentic reference standards. Quantification was performed using calibration curves prepared from cyanidin-3-O-glucoside, malvidin-3-O-glucoside, and pelargonidin-3-O-glucoside, covering the concentration range of 20–200 mg/L. All standard curves demonstrated excellent linearity (R2 > 0.998).
2.2.9. Microbial Analysis
Microbial counts on coated and uncoated berry samples were evaluated using a serial dilution technique adapted from Kumari et al. (2022) [27]. Total count, and yeast and mold were used to quantify the microorganisms. Microbiological tests focused on the best-performing samples, with risk limits based on the European Commission (2012) [28].
Berries were weighed, chopped, and placed in sterile filter bags with Ringer’s solution (1:9 ratio). The solution was prepared by dissolving a Ringer tablet (Merck, KGaA, Darmstadt, Germany) in 500 mL of deionized water. Serial dilutions were performed using a Stomacher for 1.5 min.
For preparation, 10 g of fresh and treated berries were homogenized and diluted with 90 mL of sterile water to create a 10−1 dilution, followed by further tenfold dilutions up to 10−7. Each dilution was plated on sterile Petri dishes with nutrient agar, which was autoclaved at 121 °C for 15 min. A 1 mL aliquot from each dilution was mixed with 15–20 mL of sterile nutrient agar. Similar steps were followed for yeasts and molds.
Microbiological tests were conducted for 21 days for blueberries and for 14 days for raspberries and strawberries. Total Count (TC) was incubated at 35 ± 2 °C for 48 h (limit: 5 log CFU/mL), and Yeasts and Molds (YM) at 28 ± 2 °C for 24 h (limit: 4 log CFU/mL) [28].
To calculate them, the colonies that developed on the tablets were measured and then calculated with Equation (5).
where CFU is the number of colonies on substrates, degree of dilution is 10n, n = 1 for the first dilution, n = 2 for the second, etc., and V is the volume placed on the substrate (mL).
2.2.10. Optical Characterization
A light microscope (SZ2-ILST Microscope, Olympus Corporation, Hachioji, Tokyo, Japan) was utilized to observe berry samples. In order to assess the samples’ structural qualities and any traits linked to freshness or possible deterioration during processing or storage, they were placed on a specific observation plate. A camera attached to the microscope was used to capture images of the observations, allowing the berries’ appearance and morphological characteristics to be recorded in great detail.
2.2.11. Statistical Analysis
One-way and factorial analyses of variance (ANOVA) were applied in order to analyze the differences. Tukey’s range test (a = 0.05) was applied, and all the statistical tests were performed with SPSS v21 software.
3. Results and Discussion
3.1. Weight Loss
Weight loss of fresh and processed berries is presented in Figure 1.
Figure 1.
Weight loss during storage of fresh and processed with OD/EC and OD/EC/Bio: (a) blueberries; (b) raspberries; (c) strawberries.
Weight loss during storage in berries is a critical factor influencing their quality and shelf life, as it is closely associated with moisture loss, which leads to a degradation in freshness [29].
In the case of blueberries, processing with osmotic dehydration and edible coating proves to be effective in reducing moisture loss throughout storage, which is reduced to 3.54 ± 0.03%. The moisture content of blueberries is significantly reduced during osmotic dehydration, and the application of edible coatings plays a significant role in further reducing moisture loss through storage [30,31]. Furthermore, the inclusion of bioactive compounds within the edible coatings yields similar results, with moisture loss reaching 3.62 ± 0.02%. These findings align with the work of Gu et al., 2024 [32], who demonstrated that bioactive compounds incorporated into edible coatings can significantly extend the shelf life of blueberries. Thus, the combined application of osmotic dehydration and edible coatings can substantially mitigate moisture loss, leading to enhanced preservation of blueberries’ shelf life.
For raspberries, weight loss is notably high in fresh samples, reaching up to 10.29 ± 0.25% over 14 days, primarily due to moisture evaporation. This rapid moisture loss accelerates the deterioration of the fruit, resulting in softening, shriveling, and a reduction in both nutritional and commercial value [33]. However, raspberries subjected to osmotic dehydration combined with edible coatings experience significantly less weight loss during storage, reducing it to approximately 3%. The edible coatings create a protective barrier around the fruit, preventing moisture evaporation and preserving the fruit’s natural water content and overall quality [34]. Specifically, coatings with bioactive compounds offer enhanced protection against moisture loss, providing additional antioxidant activity that further stabilizes the product. These results are consistent with existing literature, which emphasizes the effectiveness of edible coatings in maintaining fruit quality and extending their shelf life [35,36,37].
In strawberries, weight loss over a 14-day period is also significantly influenced by treatment. Fresh strawberries experience a substantial weight loss of up to 23.41 ± 0.62%, primarily due to moisture loss through evaporation. However, strawberries treated with osmotic dehydration combined with edible coatings—both with and without the addition of bioactive compounds—showed a considerable reduction in weight loss. Specifically, weight loss is reduced to 5.53 ± 0.26% for the osmotic dehydration and edible coating treatment and 5.54 ± 0.13% when bioactive compounds are included. These results further underscore the efficacy of edible coatings in maintaining the freshness and quality of strawberries, enhancing their shelf life during storage.
Overall, the integration of osmotic dehydration and edible coatings, with or without bioactive compounds, demonstrates a robust method for reducing weight loss and moisture evaporation across all three types of berries—blueberries, raspberries, and strawberries—significantly improving their quality and extending their shelf life.
3.2. Color Change
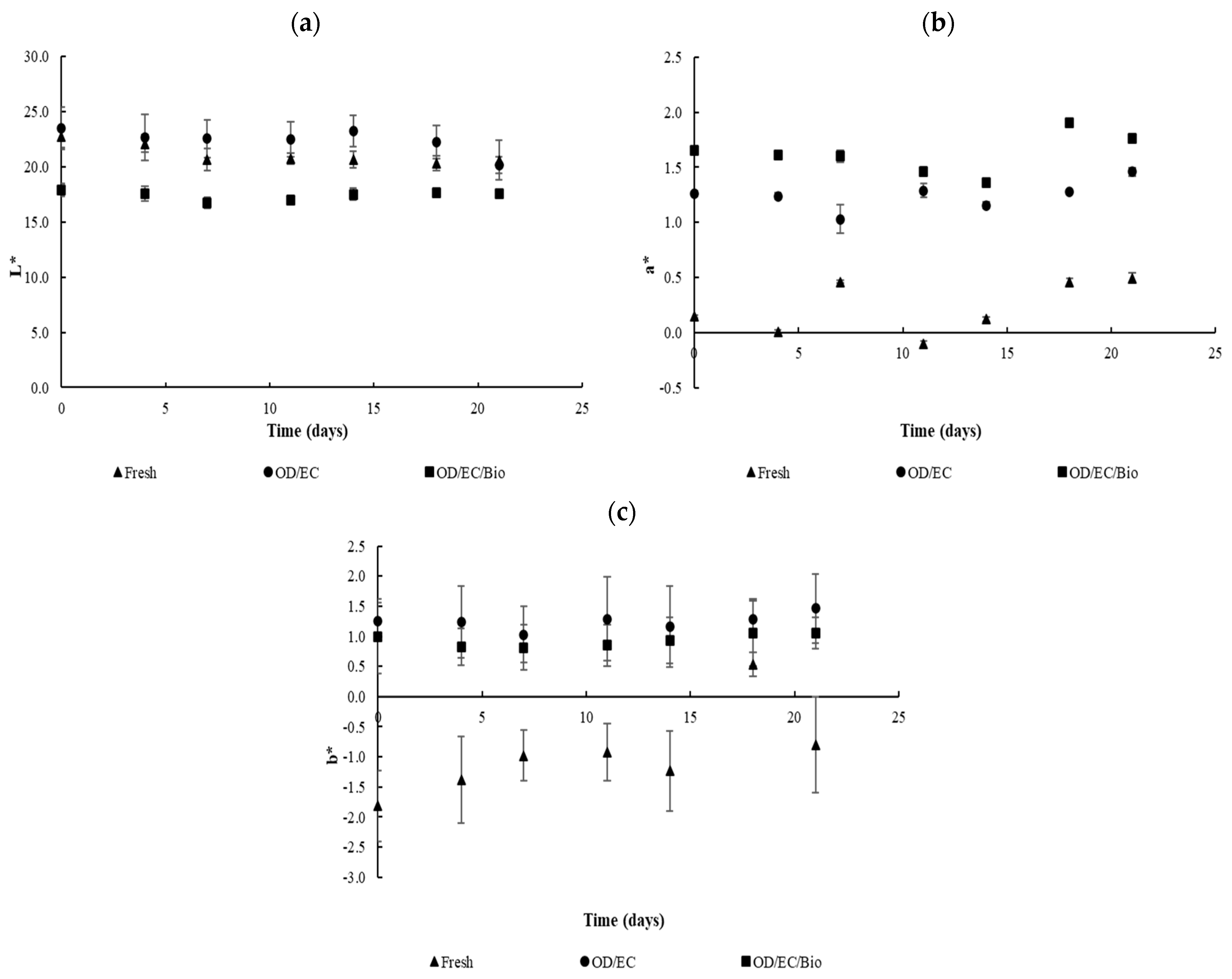
Figure 2.
(a) L, (b) a, and (c) b color change indices of fresh and processed blueberries with OD/EC and OD/EC/Bio over a period of 21 days.
Figure 3.
(a) L, (b) a, and (c) b color change indices of fresh and processed raspberries with OD/EC and OD/EC/Bio over a period of 14 days.
Figure 4.
(a) L, (b) a, and (c) b color change indices of fresh and processed with OD/EC and OD/EC/Bio strawberries over a period of 14 days.
The color of berries is effectively preserved with the application of edible coatings throughout storage. For blueberries, the lightness (L value) of the OD/EC samples increases compared to the fresh fruit and remains stable over the 21-day storage period. The incorporation of bioactive compounds into the edible coating results in a slight decrease in brightness; however, this reduction remains stable throughout storage [38]. In the case of raspberries, fresh samples exhibit higher brightness than the coated samples, but the coated samples demonstrate greater stability in lightness over time. For strawberries, both fresh and processed samples show similar brightness values, which are maintained consistently throughout the storage period [39].
The a value is significantly influenced by the processing methods. For blueberries, the a values are notably lower in fresh berries, indicating a greener color, which remains stable throughout storage. In contrast, the application of edible coatings results in higher a values, giving the blueberries a more red color, which is maintained consistently during storage. For raspberries, the results are reversed, with fresh samples exhibiting higher a values, indicating a more red appearance compared to the coated samples. However, the coated samples show significantly greater stability in a values throughout storage compared to the fresh berries [40]. Regarding strawberries, as observed in the brightness analysis, the color remains stable for both fresh and processed berries, with similar a values throughout the storage period [41].
The b value is also influenced by the processing methods. For blueberries, a notable difference is observed between fresh and processed berries. Fresh blueberries appear bluer, with slight variations observed throughout storage, while the coated blueberries exhibit a more yellow hue, which remains stable over time. In raspberries, the fresh samples appear more yellow than the processed ones and are highly affected by storage conditions, showing greater fluctuations. In contrast, the processed raspberries maintain a bluer color, which remains stable throughout the storage period. For strawberries, the processing method has minimal impact, as both fresh and processed samples maintain stable b values over time.
The application of edible coatings effectively preserves the color of berries throughout storage, with each berry type exhibiting distinct color changes based on the processing method. Overall, edible coatings, especially those incorporating bioactive compounds, contribute to maintaining the aesthetic quality of berries during storage, enhancing both their visual appeal and potential market value.
3.3. Total Soluble Solids
Total Soluble Solids of fresh and processed berries are presented in Figure 5.
Figure 5.
Total Soluble Solids during storage of fresh and processed with OD/EC and OD/EC/Bio: (a) blueberries; (b) raspberries; (c) strawberries. Different letters indicate statistically significant differences (p < 0.05).
Total Soluble Solids (TSS) are a key indicator of fruit quality, as they directly reflect sugar content, flavor, and overall taste [42]. Higher TSS levels typically correlate with increased sweetness and enhanced flavor, while a decline in TSS may indicate over-ripening or fruit degradation [43]. TSS is commonly used to evaluate fruit freshness, maturity, and storage potential, as well as its susceptibility to spoilage [43]. Maintaining stable TSS levels is crucial for preserving the quality of perishable products such as berries.
The TSS values of blueberries vary significantly depending on the processing method, as shown in Figure 5. Fresh blueberries initially exhibit the lowest TSS values, as expected, since no processing has been applied to increase soluble solids. However, after 21 days of storage, the TSS of fresh blueberries rises significantly (15.6 ± 0.3 °Brix), indicating over-ripening and natural sugar concentration due to moisture loss. The application of osmotic dehydration and edible coating influences TSS stability and retention over time [44]. The OD/EC treatment results in higher initial TSS values that continue to increase, reaching 16.6 ± 0.3 °Brix after 21 days. The osmotic dehydration leads to higher TSS values, as solids are inserted in the fruit during the dehydration [45]. The treatment involving bioactive components (OD/EC/Bio) leads to the most stable TSS levels over the storage period, without significant differences, reaching 14.7 ± 0.1 °Brix. This suggests that bioactive compounds interact with the fruit’s natural juices, helping to regulate soluble solid content and preventing excessive fluctuations over time.
In fresh raspberries, TSS increases by approximately 4% over 14 days of storage, primarily due to natural moisture loss, which concentrates sugars and other soluble solids. While this increase is a natural part of the ripening process, it can also indicate quality degradation and reduced shelf life. The ability to maintain TSS stability is essential for preserving the fruit’s moisture content and structural integrity, key factors in the storage and distribution of highly perishable products such as raspberries [46]. The application of treatments, both with and without bioactive compounds, contributed to maintaining more stable TSS levels in raspberries, effectively preserving their quality and delaying over-ripening. While the final TSS values were significantly higher than those of fresh samples, the increase relative to day 0 was minimal, indicating improved preservation of the processed samples. The application of edible coating proves beneficial in extending the freshness of raspberries by reducing moisture loss and maintaining optimal TSS levels.
In fresh strawberries, TSS levels naturally increase during storage (14.6 ± 0.1 °Brix), attributed to moisture loss and the subsequent concentration of sugars. This change is closely associated with over-ripening, which can impact the fruit’s texture and overall quality. Processed strawberry samples tend to exhibit higher initial TSS values, but these levels are stabilized over a 14-day period. This stability suggests that certain preservation techniques enhance the fruit’s resilience, preventing excessive sugar concentration and extending shelf life.
The study of TSS in fresh and processed berries provides valuable insights into the effectiveness of different preservation methods. While fresh berries start with lower TSS values, they show significant increases over time due to natural ripening and moisture loss. In contrast, the application of edible coatings contributes to stabilizing or enhancing TSS levels, improving fruit quality, and extending its commercial viability [47]. These findings highlight the importance of effective processing methods in maintaining the structural integrity of perishable fruits such as blueberries, raspberries, and strawberries.
3.4. Total Acidity
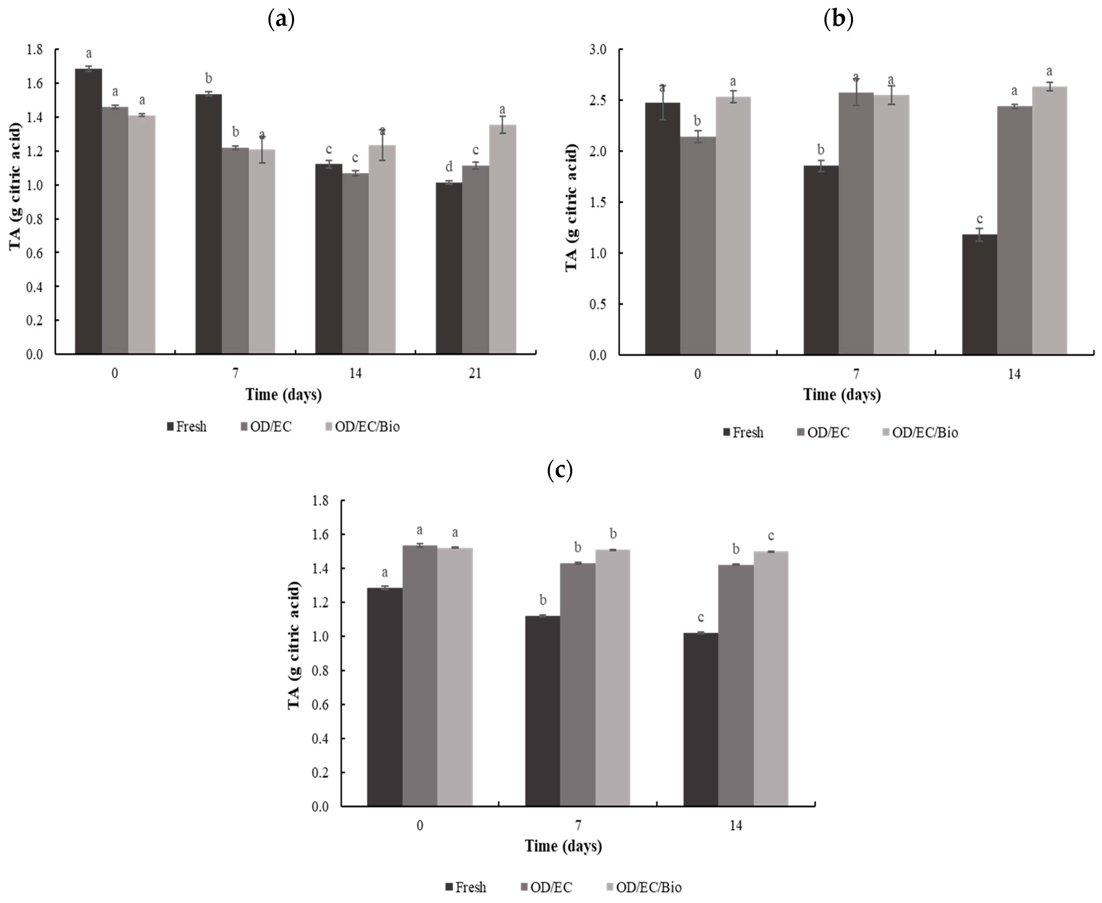
Total Acidity of fresh and processed berries is presented in Figure 6.
Figure 6.
Total acidity during storage of fresh and processed with OD/EC and OD/EC/Bio: (a) blueberries; (b) raspberries; (c) strawberries. Different letters indicate statistically significant differences (p < 0.05).
Total acidity (TA) is a crucial parameter for assessing fruit freshness and quality, as it directly influences taste and stability during storage. Changes in acidity levels can indicate ripening, degradation, and overall fruit preservation effectiveness [48].
In fresh blueberries, the highest TA is observed on day 0 (1.68 ± 0.02 g citric acid) and significantly decreases to 1.01 ± 0.01 g citric acid by day 21. This reduction is attributed to natural ripening and the degradation of organic acids over time. The application of an edible coating results in a slightly lower initial TA but maintains greater stability throughout the 21-day period. The OD/EC samples start at 1.46 ± 0.01 g citric acid and decrease to 1.11 ± 0.02 g citric acid after 21 days, whereas the addition of bioactive compounds begins at a similar value (1.41 ± 0.01 g citric acid) and declines more gradually to 1.35 ± 0.05 g citric acid, indicating that bioactive compounds help stabilize acidity and slow its natural decline.
Fresh raspberries undergo a significant decline in TA during storage, decreasing from 2.48 ± 0.17 g to 1.18 ± 0.06 g citric acid over 14 days. This reduction results from biochemical changes associated with ripening and the degradation of organic acids, which accelerate fruit deterioration and diminish freshness. However, the application of an edible coating helps stabilize TA levels, reducing acid loss and preserving the fruit’s sensory attributes. The OD/EC samples exhibit a slight increase in TA from 2.14 ± 0.06 g to 2.44 ± 0.02 g citric acid, while OD/EC/Bio samples show an increase from 2.53 ± 0.06 g to 2.64 ± 0.04 g citric acid. This stability contributes to delayed ripening and spoilage, effectively extending shelf life and maintaining raspberry quality.
In fresh strawberries, total acidity significantly declines during storage, reaching 1.02 ± 0.01 g citric acid by day 14 due to the degradation of organic acids during ripening. However, coated strawberries maintain more stable TA levels throughout storage. The OD/EC samples show a slight decrease from 1.54 ± 0.01 g to 1.42 ± 0.00 g citric acid, while OD/EC/Bio samples exhibit a more gradual reduction from 1.52 ± 0.01 g to 1.50 ± 0.01 g citric acid. The presence of bioactive compounds slows the biochemical reactions responsible for acid degradation, helping to preserve the fruit’s natural acidity and extend its shelf life. Additionally, bioactive compounds provide microbial protection, further enhancing fruit preservation.
The analysis of TA in berries highlights the natural decline in acidity over time due to ripening and spoilage. Fresh samples experience significant reductions in TA, which can impact taste and overall quality. However, the addition of bioactive compounds effectively stabilizes acidity, helping to preserve the fruit’s sensory characteristics and extend its shelf life. These findings emphasize the potential of bioactive-enriched preservation methods in maintaining fruit quality and commercial viability during storage [48,49].
3.5. Total Phenolic Content (TPC)
Total phenolic content of fresh and processed berries is presented in Figure 7.
Figure 7.
Total Phenolic Content during Storage of Fresh and Processed with OD/EC and OD/EC/Bio: (a) blueberries; (b) raspberries; (c) strawberries. Different letters indicate statistically significant differences (p < 0.05).
The degradation of total phenolic compounds (TPC) in berries is a significant concern, as these bioactive molecules contribute to the antioxidant properties and overall nutritional value of the fruit [50]. Fresh blueberries, raspberries, and strawberries experience substantial losses of TPC due to biochemical processes, particularly oxidation, which leads to a reduction in their bioavailability. Specifically, fresh blueberries exhibit a decrease in TPC from 5.46 ± 0.20 mg GAE/g to 3.02 ± 0.50 mg GAE/g over 21 days, fresh raspberries decrease from 3.54 ± 0.30 mg GAE/g to 2.12 ± 0.32 mg GAE/g over 14 days, and fresh strawberries decline from 1.68 ± 0.10 mg GAE/g to 1.12 ± 0.12 mg GAE/g during the same period. This degradation is primarily attributed to oxidation, which is accelerated by continuous exposure to oxygen, elevated temperatures, and other environmental factors during storage [51,52].
The application of edible coatings has been shown to help preserve TPC levels by creating a barrier that slows down oxidative processes [53]. In the case of OD/EC samples, TPC values remain relatively stable throughout the storage period, showing no significant changes over time. This indicates that the coating effectively minimizes the degradation of phenolic compounds and slows down the oxidation process [2,54].
Moreover, the incorporation of bioactive compounds plays a crucial role in further preserving phenolic content and preventing rapid degradation. The TPC values of OD/EC/Bio samples are significantly higher compared to those without bioactive compounds. This can be attributed to the presence of rosemary’s bioactive compounds, such as carnosic acid, carnosol, and rosmarinic acid, which are known for their antioxidant properties. These bioactive compounds provide an additional layer of protection by minimizing oxygen exposure, slowing oxidation, and preserving the antioxidant capacity of the coating. In fact, the TPC values of all OD/EC/Bio samples remain stable throughout storage, demonstrating the effectiveness of bioactive compounds in maintaining phenolic integrity over time.
As a result, processed berries with edible coatings, both with and without bioactive compounds, retain significantly higher levels of phenolic compounds compared to their fresh counterparts, ensuring better bioavailability throughout the storage period. These findings highlight the importance of bioactive-enriched preservation methods in enhancing the shelf life and health benefits of berries. In conclusion, while fresh berries undergo substantial phenolic degradation due to oxidation and environmental factors, the application of bioactive-enriched edible coatings significantly improves the stability of phenolic compounds, preserving both antioxidant properties and nutritional value. These results underscore the potential of such preservation techniques in extending the shelf life of berries while maintaining their health-promoting properties [10,55].
3.6. Antioxidant Activity (DPPH)
Antioxidant activity of fresh and processed berries is presented in Figure 8.
Figure 8.
Antioxidant activity (IC50) during storage of fresh and processed with OD/EC and OD/EC/Bio: (a) blueberries; (b) raspberries; (c) strawberries. Different letters indicate statistically significant differences (p < 0.05).
The antioxidant capacity of fruits is a crucial indicator of their quality and nutritional value, with implications for both health benefits and preservation. During storage, oxidative degradation of phenolic compounds and other antioxidant substances leads to a significant reduction in antioxidant activity, which ultimately affects the shelf life of the fruit and nutritional properties [56,57].
In the case of blueberries, fresh samples exhibited a satisfactory IC50 value on day 0 (0.603 ± 0.055 mg/g), reflecting high antioxidant activity due to the natural presence of antioxidant compounds in the berries. However, by day 21, this value increased significantly (1.684 ± 0.051 mg/g), indicating a decline in the antioxidant capacity during storage. The application of edible coatings in combination with osmotic dehydration contributed significantly to a reduction in IC50, indicating an enhancement in antioxidant capacity and suggesting that edible coatings can effectively decrease the degradation of antioxidant capacity in blueberries. These results align with studies by Jung et al. (2022) [58] and Yan et al. (2024) [59], confirming the potential of edible coatings in preserving antioxidant properties. The addition of bioactive compounds further reduced IC50 to the lowest value among the processed samples after 21 days (0.989 ± 0.024 mg/g), demonstrating their positive effect on antioxidant performance.
For raspberries, the antioxidant capacity decreased significantly over the 14-day storage period, with the IC50 value increasing to 0.677 ± 0.018 mg/g, reflecting the degradation of phenolic compounds and other antioxidants. In contrast, processed samples showed stable or even reduced IC50 values, indicating enhanced antioxidant activity. The incorporation of bioactive components improved the stability of antioxidants, thus protecting the fruits from oxidation and spoilage. This led to the preservation or even enhancement of the antioxidant action in raspberries, highlighting the role of these treatments in maintaining fruit quality and nutritional value.
For strawberries, the antioxidant capacity remained stable over 14 days of storage, demonstrating successful retention of antioxidant compounds. Unlike fresh strawberries, which exhibited a significant decrease in antioxidant capacity due to biochemical processes during ripening, the treated samples showed only a slight increase (0.1 mg/g), indicating better preservation of their antioxidant properties. Among the treated samples, those with bioactive compounds exhibited the best antioxidant capacity. The bioactive compounds played a protective role against oxidation, offering strong antioxidant action and preserving the fruit’s quality during storage. Additionally, they enhanced the stability of the fruit’s natural antioxidants, ensuring that its antioxidant capacity remained at high levels.
In conclusion, the study highlights the potential of combining osmotic dehydration with edible coatings, particularly those containing bioactive compounds, as an effective method to enhance the antioxidant capacity and shelf life of fresh berries. These findings emphasize the importance of these treatments in protecting the antioxidant properties of fruits, which in turn contributes to the preservation of their nutritional value and overall quality during storage.
3.7. HPLC-DAD Analysis
Table 1 presents the quantified content of the dominant anthocyanin compound in raspberries, strawberries, and blueberries, as determined by HPLC-DAD analysis, following various processing treatments. The treatments included osmotic dehydration (OD), edible coating (EC), their combination (OD/EC), and the addition of a bioactive rosemary extract (OD/EC/Bio). The values are expressed as milligrams of the principal anthocyanin per gram of fresh weight (mg/g FW). Across all berry types, the highest anthocyanin retention or enrichment was generally observed in the OD/EC-treated samples, with blueberries exhibiting a notable increase in anthocyanin concentration compared to fresh fruit, likely due to their high initial water content. Applying the rosemary extract (Bio) produced mixed effects depending on the berry type, suggesting variable interactions between anthocyanins and antioxidant additives.
Table 1.
HPLC analysis of fresh and processed berries with OD, EC, OD/EC, and OD/EC/Bio.
In raspberries, the dominant anthocyanin peak was identified as cyanidin-3-O-glucoside, as evidenced by its characteristic retention time and strong absorbance at 520 nm in the chromatogram (Figure 9). Fresh raspberries exhibited a cyanidin-3-O-glucoside content of 0.586 mg/g, aligning well with literature values (0.2–0.7 mg/g) [60,61,62]. Osmotic dehydration led to a moderate decrease (~18%) to 0.478 mg/g, consistent with anthocyanin leaching into the osmotic solution [63]. Edible coating alone reduced content to 0.457 mg/g (~22% decrease), possibly due to localized oxidative degradation caused by incomplete coverage or interactions with the coating matrix [64]. Interestingly, the combination of osmotic dehydration and coating improved anthocyanin retention to 0.510 mg/g, suggesting a protective synergy, perhaps due to dehydration-induced concentration effects. Most notably, incorporating rosemary extract resulted in a near-complete recovery of anthocyanin content (0.575 mg/g), demonstrating rosemary’s protective antioxidant role in limiting oxidative degradation [65,66].
Figure 9.
HPLC chromatogram of raspberry extract monitored at 520 nm.
In strawberries, the dominant peak was identified as pelargonidin-3-O-glucoside (Figure 10). Fresh strawberries had a content of 0.177 mg/g, consistent with reported values (0.15–0.4 mg/g) [67,68,69]. Osmotic dehydration resulted in a modest decrease to 0.154 mg/g (~13%), attributed to leaching [63]. Edible coating alone yielded a similar value (0.155 mg/g), suggesting minimal protective or detrimental effects. The combination of OD and EC increased anthocyanin concentration slightly to 0.160 mg/g, likely due to solute concentration during dehydration [70]. The addition of rosemary extracts further elevated anthocyanin content to 0.166 mg/g, indicating a mild protective effect. However, the difference was not as pronounced as in raspberries, possibly due to the higher degradation susceptibility of pelargonidin under processing stress [71].
Figure 10.
HPLC chromatogram of strawberry extract monitored at 520 nm.
The primary anthocyanin detected in blueberries was malvidin-3-O-glucoside, corresponding to the main peak observed in Figure 11. The fresh content was 0.248 mg/g, within the expected range (0.2–0.5 mg/g) [72,73,74]. Unlike the other berries, blueberries showed a significant increase in anthocyanin concentration after processing: 0.399 mg/g following osmotic dehydration and 0.437 mg/g with edible coating. The combination of both treatments led to the highest content observed, 0.580 mg/g, likely due to concentration effects as water was removed, and minimal anthocyanin leaching occurred due to the berry’s intact skin and intrinsic stability [75,76]. The addition of rosemary extract, however, resulted in a decrease to 0.458 mg/g, suggesting that external antioxidant supplementation was not critical, given the inherent stability of malvidin-based anthocyanins under these conditions.
Figure 11.
HPLC chromatogram of blueberry extract monitored at 520 nm.
The observation of other minor peaks in the HPLC-DAD chromatograms of berry extracts, alongside the dominant anthocyanin, suggests the presence of additional anthocyanin-type compounds. These peaks, although not definitively identified with authentic standards, exhibit retention behavior and UV-Vis spectral characteristics consistent with those of anthocyanins. Notably, they exhibit a sharp absorbance maximum around 520 nm, which aligns with the characteristic behavior of anthocyanins in their flavylium cation form, distinguishing them from flavonols and other phenolic compounds that typically absorb in different wavelengths, particularly showing less absorbance around 360 nm [77,78].
The confirmation of these compounds as anthocyanins is further supported by their UV-Vis spectral profiles. Anthocyanins, as characterized in various studies, generally present an absorbance peak in the visible spectrum, particularly within the range of 520–535 nm when in their flavylium form [77,78,79,80]. Studies have delineated that anthocyanins with glycosidic substitutions exhibit specific absorbance characteristics; for instance, the Abs440/Absλmax ratios signal substitution patterns and can corroborate their identity [81,82]. Furthermore, the stability and persistence of these anthocyanins under various chromatographic conditions have been noted, solidifying their classification within this compound category [83,84], thereby reinforcing the notion that these minor peaks likely represent forms of anthocyanins.
While the precise identification of the minor peaks awaits confirmation through additional methods, the spectral data and retention behaviors observed strongly advocate for their classification as anthocyanin-type compounds. This finding contributes to the growing body of knowledge surrounding anthocyanins in fruits and their complex mixtures, which can be crucial to understanding the phytochemical diversity and potential health benefits of these berries [78,80].
When exposed to identical processing, these findings reveal distinct anthocyanin behavior across berry types. Raspberries, with less stable anthocyanins, benefited most from antioxidant enhancement. In contrast, strawberries showed limited responsiveness, and blueberries retained or even concentrated anthocyanins due to structural and compositional factors. The results highlight the importance of tailoring preservation strategies to each berry’s unique phenolic profiles and physiological characteristics.
3.8. Microbial Analysis
Figure 12.
Total microbial count (TC) during storage of fresh and processed with OD/EC and OD/EC/Bio: (a) blueberries; (b) raspberries; (c) strawberries.
Figure 13.
Yeasts and molds (YM) during storage of fresh and processed with OD/EC and OD/EC/Bio: (a) blueberries; (b) raspberries; (c) strawberries.
Microbiological analysis of fresh and processed berries reveals the effectiveness of preservation technologies in enhancing microbial safety and extending shelf life.
Untreated blueberry samples showed a rapid increase in microbial populations, exceeding safety thresholds after 15 days of storage, thus becoming unsuitable for consumption. In contrast, samples subjected to preservation treatments demonstrated sustained microbiological stability. The combination of both methods improved microbial control. Samples treated with osmotic dehydration followed by edible coating (OD/EC) recorded TC values of 4.49 ± 0.01 log(CFU/g) and YM 3.31 ± 0.03 log(CFU/g). When bioactive compounds were incorporated into the coating (OD/EC/Bio), microbial counts declined further to TC 4.35 ± 0.05 log(CFU/g) and YM 3.12 ± 0.08 log(CFU/g), remaining well below established limits throughout storage.
A similar trend was observed in raspberries. Fresh, untreated samples surpassed the critical safety limits (TC > 5 log CFU/g; YM > 4 log CFU/g) as early as day 8. In contrast, treated raspberries maintained acceptable microbial levels up to day 14. Specifically, OD/EC-treated samples exhibited TC 4.42 ± 0.02 log(CFU/g) and YM 3.87 ± 0.03 log(CFU/g), while the OD/EC/Bio variant achieved further reductions (TC 4.31 ± 0.02 log(CFU/g), YM 3.80 ± 0.03 log(CFU/g)), underscoring the added value of bioactive enrichment.
In strawberries, microbial analysis in untreated samples led to safety limit exceedance by the 10th day of storage. However, application of combined treatments effectively suppressed microbial growth. OD/EC-treated strawberries showed TC and YM counts of 4.86 ± 0.04 and 3.91 ± 0.02 log(CFU/g), respectively, while those with added bioactives (OD/EC/Bio) achieved lower values of 4.63 ± 0.05 log(CFU/g) and 3.83 ± 0.01 log(CFU/g).
These findings confirm that the integration of osmotic dehydration and edible coatings, particularly when enhanced with bioactive agents, can significantly improve the microbiological safety and shelf life of berries. Adoption of such combined strategies holds great promise for the food industry, offering an effective means to extend fruit shelf life and reduce postharvest losses due to microbial spoilage.
3.9. Optical Characterization
Fresh and processed berries were examined microscopically over the course of storage to assess their microstructure and identify any deterioration occurring over time. The resulting micrographs reveal clear structural differences between untreated and processed berries, offering valuable insights into the effects of osmotic dehydration and edible coatings on product stability. Microscopic images for each berry type are presented in Table 2, Table 3 and Table 4.
Table 2.
Microscopic images of fresh and processed with OD/EC and OD/EC/Bio blueberries throughout 21 days of storage.
Table 3.
Microscopic images of fresh and processed with OD/EC and OD/EC/Bio raspberries throughout 14 days of storage.
Table 4.
Microscopic images of fresh and processed with OD/EC and OD/EC/Bio strawberries throughout 14 days of storage.
The quality preservation of fresh and processed blueberry samples differed significantly, according to observations made during storage. Although fresh, untreated samples started to exhibit deterioration as early as day 14, including loss of structural integrity and uneven color distribution by day 21, the fruit’s thick skin helped to improve preservation.
The most effective preservation outcomes were achieved when OD and EC were applied together (OD/EC), as samples maintained their general integrity, glossiness, and color consistency over the course of the 21-day storage period. Samples treated with both technologies in conjunction with bioactive substances (OD/EC/Bio) showed the highest efficacy. Throughout the storage period, these samples maintained a fresh-appearance and texture with little to no visual deterioration.
The addition of bioactive substances, including rosemary extract, improved moisture retention and microbiological stability. The shelf life of the fruit was extended by the addition of rosemary extract, a natural antioxidant and antibacterial agent that suppressed microbial development and considerably slowed the deterioration process.
Overall, the results confirm the effectiveness of combined processing methods—particularly when enriched with bioactives—in preserving the quality and commercial value of blueberries during storage.
In the case of raspberries, the samples examined over a 14-day storage period under various processing and storage conditions showed notable differences in quality preservation. On day 0, the fresh raspberries’ vibrant red color, glossy surface, and intact structure were all indications of their excellent quality and freshness. However, as storage continued, deterioration became more apparent. By day 7, the fresh samples showed significant breakdown, including apparent mold growth and moisture loss. By day 14, there was significant deterioration, including extensive fungal growth and a severely deteriorated texture, making the fruit unfit for consumption. Processing methods seemed to reduce the rate of deterioration. Using both osmotic dehydration and edible coating improved the protection against spoiling.
Processing procedures appeared to reduce the rate of spoiling. Better spoilage protection was provided by the application of both edible coating and osmotic dehydration. Compared to samples treated with only one approach, these samples exhibited less fungal growth and better maintained their structural integrity. Samples with bioactive chemicals in the coating demonstrated much more promise. Surface stability was better preserved, and deterioration was noticeably milder in the OD/EC/Bio group. Rosemary extract, a natural antioxidant and antimicrobial agent, inhibited microbial growth and reduced the rate of deterioration. Overall, it emerged that fresh raspberries were highly perishable, rotting completely by day 14 and progressing by day 7. The use of preservation methods, especially osmotic dehydration and edible coating enhanced with bioactives, successfully delayed spoilage and contributed to preserving product quality for a noticeably longer period of time.
Strawberries followed a similar pattern. The strawberry samples showed distinct variations in structural preservation over a 14-day storage period under various processing conditions. Fresh strawberries displayed firm tissue, smooth, glossy surfaces, and a vibrant red color on day 0, all of which are signs of freshness and structural integrity. Visual changes, such as color fading, excess moisture, and slight degradation indicators, started to show by day 7. Black stains, a loss of firmness, and a discernible breakdown of the fruit’s interior structure were all signs of degeneration by day 14.
Depending on the preservation technique utilized, processed strawberries exhibited varying degrees of deterioration. Since strawberries in this group had a more stable texture and showed fewer signs of spoiling on days 7 and 14, it appeared that the combination of osmotic dehydration and edible coating offered the maximum level of protection. This effect was further enhanced by the inclusion of bioactive substances. The samples treated with OD/EC/Bio demonstrated the least amount of structural degradation, retaining fresh fruit-like color and texture. This implies that when applied as a natural antioxidant, rosemary extract provided microbial protection and significantly delayed spoilage.
In summary, the microscopic analysis of berries emphasizes how crucial proper processing is to maintaining product quality and increasing shelf life. Fresh berries deteriorate significantly within two weeks, making them extremely perishable. Osmotic dehydration and edible coatings, especially when combined with bioactive substances, provide a strong method for preserving microstructural integrity and preventing spoiling during storage.
4. Conclusions
The findings of this study demonstrate that the application of edible coatings derived from Chlorella vulgaris proteins, with or without the incorporation of bioactive compounds, significantly enhances the shelf life, nutritional, and quality attributes of fresh berries. The combined use of osmotic dehydration and edible coatings effectively reduced weight loss, preserved total phenolic content, and maintained antioxidant activity throughout storage. Furthermore, coatings enriched with bioactive compounds exhibited superior preservation effects, including enhanced microbial stability and reduced oxidative degradation.
This study highlights the potential of microalgae-based edible coatings as a sustainable and eco-friendly postharvest preservation method for highly perishable fruits. The ability of these coatings to maintain the structural integrity, microbial content, and nutritional value of berries aligns with the growing consumer demand for minimally processed and naturally preserved foods. Future research should explore the optimization of coating formulations and investigate their large-scale applicability in commercial food processing. Additionally, further studies on the interaction between bioactive compounds and berry metabolism could provide deeper insights into the mechanisms underlying the extended shelf life and improved quality of coated fruits.
Author Contributions
Conceptualization, A.M. and M.K.; methodology, A.M., C.V. and C.S.; software, A.M., C.V. and C.S.; validation, A.M., C.V., C.S. and M.K.; formal analysis, A.M., C.V. and C.S.; investigation, A.M., C.V. and C.S.; resources, M.K.; data curation, A.M.; writing—original draft preparation, A.M. and C.S.; writing—review and editing, A.M. and C.S.; visualization, A.M.; supervision, M.K.; project administration, M.K.; funding acquisition, M.K. All authors have read and agreed to the published version of the manuscript.
Funding
This project has received funding from the European Union’s Horizon 2020 research and innovation program under the Marie Skłodowska-Curie grant agreement No. 101007783.
Data Availability Statement
The original contributions presented in this study are included in the article. Further inquiries can be directed to the corresponding author.
Conflicts of Interest
The authors declare no conflicts of interest.
Abbreviations
The following abbreviations are used in this manuscript:
| OD | Osmotic Dehydration |
| EC | Edible Coating |
| TTS | Total Soluble Solids |
| TA | Total Acidity |
| TPC | Total Phenolic Content |
| DPPH | 2,2-diphenyl-1-picrylhydrazyl |
| HPLC | High-Performance Liquid Chromatography |
| CFU/mL | Colony-Forming Units per Milliliter |
| RSA | Radical Scavenging Activity |
| TC | Total Count |
| YM | Yeasts and Molds |
| OD/EC | Osmotic Dehydration and Edible Coating |
| OD/EC/Bio | Osmotic Dehydration and Edible Coating with Bioactive Compounds |
| ANOVA | Factorial analysis of variance |
References
- Gribova, N.A.; Perov, V.I.; Eliseeva, L.G.; Berketova, L.V.; Nikolayeva, M.A.; Soltaeva, N.L. Innovative Technology of Processing Berries by Osmotic Dehydration. IOP Conf. Ser. Earth Environ. Sci. 2021, 624, 012119. [Google Scholar] [CrossRef]
- Pateiro, M.; Vargas-Ramella, M.; Franco, D.; Gomes da Cruz, A.; Zengin, G.; Kumar, M.; Dhama, K.; Lorenzo, J.M. The Role of Emerging Technologies in the Dehydration of Berries: Quality, Bioactive Compounds, and Shelf Life. Food Chem. X 2022, 16, 100465. [Google Scholar] [CrossRef]
- Iñiguez-Moreno, M.; Santiesteban-Romero, B.; Flores-Contreras, E.A.; Scott-Ayala, S.; Araújo, R.G.; Iqbal, H.M.N.; Melchor-Martínez, E.M.; Parra-Saldívar, R. Sustainable Solutions for Postharvest Berry Protection: Natural Edible Coatings. Food Bioproc. Technol. 2024, 17, 3483–3505. [Google Scholar] [CrossRef]
- Shah, H.M.S.; Singh, Z.; Kaur, J.; Hasan, M.U.; Woodward, A.; Afrifa-Yamoah, E. Trends in Maintaining Postharvest Freshness and Quality of Rubus Berries. Compr. Rev. Food Sci. Food Saf. 2023, 22, 4600–4643. [Google Scholar] [CrossRef] [PubMed]
- Sahraee, S.; Milani, J.M.; Regenstein, J.M.; Kafil, H.S. Protection of Foods against Oxidative Deterioration Using Edible Films and Coatings: A Review. Food Biosci. 2019, 32, 100451. [Google Scholar] [CrossRef]
- Mari, A.; Kekes, T.; Boukouvalas, C.; Drosou, C.; Krokida, M.; Tsartsaris, C. Evaluating the Environmental and Economic Benefits of New Technologies in Low-Salt Olive Fermentation. Agriculture 2024, 14, 2077. [Google Scholar] [CrossRef]
- Patil, V.; Shams, R.; Dash, K.K. Techno-Functional Characteristics, and Potential Applications of Edible Coatings: A Comprehensive Review. J. Agric. Food Res. 2023, 14, 100886. [Google Scholar] [CrossRef]
- Park, R.J.; Ryu, M.J. Antioxidant and Antimicrobial Effect of Rosemary, Parsley, Thyme, Chive, and Dill Extracts. Asian J. Beauty Cosmetol. 2022, 20, 305–314. [Google Scholar] [CrossRef]
- Laina, K.T.; Drosou, C.; Giannenas, I.; Krokida, M. Formulation of Novel Functional Extrudates Containing Natural Bioactive Compounds. Dry. Technol. 2024, 42, 1778–1790. [Google Scholar] [CrossRef]
- Dumitrașcu, L.; Banu, I.; Patraşcu, L.; Vasilean, I.; Aprodu, I. The Influence of Processing on the Bioactive Compounds of Small Berries. Appl. Sci. 2024, 14, 8713. [Google Scholar] [CrossRef]
- Ding, J.; Liu, C.; Huang, P.; Li, H.; Liu, Y.; Sameen, D.E.; Zhang, Y.; Liu, Y.; Qin, W. Effects of Konjac Glucan-Nan/Low-Acyl Gellan Edible Coatings Loaded Thymol-β-Cyclodextrin Microcapsules on Postharvest Blueberry. Food Chem. 2024, 430, 137080. [Google Scholar] [CrossRef]
- Sharma, N.; Kaur, H.; Kaur, G.; Singh, A.; Sharma, S. Appraisal of Cutting-Edge Techniques for Prolonging Fresh Berries Shelf Life: Innovations in Essential Oil Nanoemulsion-Based Edible Coatings. Sci. Hortic. 2024, 337, 113564. [Google Scholar] [CrossRef]
- Mari, A.; Fafalis, C.; Krokida, M. Extension of Blueberry Shelf-Life with Edible Coatings from Chlorella vulgaris. Chem. Eng. Trans. 2024, 110, 79. [Google Scholar]
- Mehmood, M.K.; Maqbool, D.; Rizwan, H.; Bibi, S.; Nawaz, M.A.; Hussain, M.Z.; Sultan, M.M.; Sajjad, Z.U. Enhancing Freshness: A Comparative Study of Innovative Preservation Methods for Berries and Leafy Greens. Asian J. Res. Crop Sci. 2024, 9, 57–67. [Google Scholar] [CrossRef]
- Brányiková, I.; Maršálková, B.; Doucha, J.; Brányik, T.; Bišová, K.; Zachleder, V.; Vítová, M. Microalgae-Novel Highly Efficient Starch Producers. Biotechnol. Bioeng. 2011, 108, 766–776. [Google Scholar] [CrossRef]
- Khan, M.I.; Shin, J.H.; Kim, J.D. The Promising Future of Microalgae: Current Status, Challenges, and Optimization of a Sustainable and Renewable Industry for Biofuels, Feed, and Other Products. Microb Cell Fact 2018, 17, 36. [Google Scholar] [CrossRef] [PubMed]
- Byantara, P.; Dianursanti. Utilization of Spirulina Platensis Microalgae as Edible Coating to Maintain Quality of Fresh Strawberry (Fragaria sp.). AIP Conf. Proc. 2021, 2344, 020016. [Google Scholar]
- Mari, A.; Fafalis, C.; Krokida, M. Evaluation of Edible Coatings from Components from Chlorella vulgaris and Comparison with Conventional Coatings. Coatings 2024, 14, 621. [Google Scholar] [CrossRef]
- Mari, A.; Andriotis, P.; Drosou, C.; Laina, K.; Panagiotou, N.; Krokida, M. Enhancing Shelf-life Stability of Refrigerated Potatoes through Osmotic Dehydration and Ohmic Heating Optimization: A Strategy to Mitigate Enzymatic Browning. Potato Res. 2024. [Google Scholar] [CrossRef]
- Laina, K.T.; Drosou, C.; Krokida, M. Comparative Assessment of Encapsulated Essential Oils through the Innovative Electrohydrodynamic Processing and the Conventional Spray Drying, and Freeze-Drying Techniques. Innov. Food Sci. Emerg. Technol. 2024, 95, 103720. [Google Scholar] [CrossRef]
- Sadler, G.D.; Murphy, P.A. PH and Titratable Acidity. Food Anal. 2010, 4, 219–238. [Google Scholar]
- AOAC International. Official Methods of Analysis, 17th ed.; The Association of Official Analytical Chemists: Gaithersburg, MD, USA, 2000. [Google Scholar]
- Ayele, D.T.; Akele, M.L.; Melese, A.T. Analysis of Total Phenolic Contents, Flavonoids, Antioxidant and Antibacterial Activities of Croton Macrostachyus Root Extracts. BMC Chem. 2022, 16, 30. [Google Scholar] [CrossRef] [PubMed]
- Brand-Williams, W.; Cuvelier, M.E.; Berset, C. Use of a Free Radical Method to Evaluate Antioxidant Activity. LWT-Food Sci. Technol. 1995, 28, 25–30. [Google Scholar] [CrossRef]
- Fournand, D.; Vicens, A.; Sidhoum, L.; Souquet, J.-M.; Moutounet, M.; Cheynier, V. Accumulation and Extractability of Grape Skin Tannins and Anthocyanins at Different Advanced Physiological Stages. J. Agric. Food Chem. 2006, 54, 7331–7338. [Google Scholar] [CrossRef]
- Merken, H.M.; Beecher, G.R. Liquid Chromatographic Method for the Separation and Quantification of Prominent Flavonoid Aglycones. J. Chromatogr. A 2000, 897, 177–184. [Google Scholar] [CrossRef] [PubMed]
- Kumari, J.; Nikhanj, P. Evaluation of Edible Coatings for Microbiological and Physicochemical Quality Maintenance of Fresh Cut Papaya. J. Food Process Preserv. 2022, 46, e16790. [Google Scholar] [CrossRef]
- European Commission. Working Document on Microbial Contaminant Limits for Microbial Pest Control Products; European Commission: Brussels, Belgium, 2012. [Google Scholar]
- Paniagua, A.C.; East, A.R.; Hindmarsh, J.P.; Heyes, J.A. Moisture Loss Is the Major Cause of Firmness Change during Postharvest Storage of Blueberry. Postharvest Biol. Technol. 2013, 79, 13–19. [Google Scholar] [CrossRef]
- Medina-Jaramillo, C.; Quintero-Pimiento, C.; Gómez-Hoyos, C.; Zuluaga-Gallego, R.; López-Córdoba, A. Alginate-Edible Coatings for Application on Wild Andean Blueberries (Vaccinium meridionale Swartz): Effect of the Addition of Nanofibrils Isolated from Cocoa By-Products. Polymers 2020, 12, 824. [Google Scholar] [CrossRef]
- Ghellam, M.; Zannou, O.; Pashazadeh, H.; Galanakis, C.M.; Aldawoud, T.M.S.; Ibrahim, S.A.; Koca, I. Optimization of Osmotic Dehydration of Autumn Olive Berries Using Response Surface Methodology. Foods 2021, 10, 1075. [Google Scholar] [CrossRef]
- Gu, X.; Li, J.; Yang, L.; Liu, L.; Li, T.; Zhang, H.; Gao, Y.; Xiao, L. Comparative Study on the Different Edible Coatings Loaded with Fennel Essential Oil/β-Cyclodextrin Microcapsules for Blueberry Preservation. J. Hortic. Sci. Biotechnol. 2024, 99, 584–596. [Google Scholar] [CrossRef]
- Gidado, M.J.; Gunny, A.A.N.; Gopinath, S.C.B.; Ali, A.; Wongs-Aree, C.; Salleh, N.H.M. Challenges of Postharvest Water Loss in Fruits: Mechanisms, Influencing Factors, and Effective Control Strategies—A Comprehensive Review. J. Agric. Food Res. 2024, 17, 101249. [Google Scholar] [CrossRef]
- Priya, K.; Thirunavookarasu, N.; Chidanand, D.V. Recent Advances in Edible Coating of Food Products and Its Legislations: A Review. J. Agric. Food Res. 2023, 12, 100623. [Google Scholar] [CrossRef]
- Chettri, S.; Sharma, N.; Mohite, A.M. Edible Coatings and Films for Shelf-Life Extension of Fruit and Vegetables. Biomater. Adv. 2023, 154, 213632. [Google Scholar] [CrossRef] [PubMed]
- Pham, T.T.; Nguyen, L.L.P.; Dam, M.S.; Baranyai, L. Application of Edible Coating in Extension of Fruit Shelf Life: Review. AgriEngineering 2023, 5, 520–536. [Google Scholar] [CrossRef]
- Pellegrino, M.; Elechi, J.O.G.; Plastina, P.; Loizzo, M.R. Application of Natural Edible Coating to Enhance the Shelf Life of Red Fruits and Their Bioactive Content. Appl. Sci. 2024, 14, 4552. [Google Scholar] [CrossRef]
- Totad, M.G.; Sharma, R.R.; Sethi, S.; Verma, M.K. Effect of Edible Coatings on Quality of Blueberry Fruits under Supermarket Storage Conditions. Indian J. Agric. Sci. 2020, 90, 780–783. [Google Scholar] [CrossRef]
- César de Albuquerque Sousa, T.; de Lima Costa, I.H.; Gandra, E.A.; Meinhart, A.D. Use of Edible Coatings as a New Sustainable Alternative to Extend the Shelf Life of Strawberries (Fragaria ananassa): A Review. J. Stored Prod. Res. 2024, 108, 102375. [Google Scholar] [CrossRef]
- Guerreiro, A.C.; Gago, C.M.L.; Faleiro, M.L.; Miguel, M.G.C.; Antunes, M.D.C. Raspberry Fresh Fruit Quality as Affected by Pectin- and Alginate-Based Edible Coatings Enriched with Essential Oils. Sci. Hortic. 2015, 194, 138–146. [Google Scholar] [CrossRef]
- Khodaei, D.; Hamidi-Esfahani, Z.; Rahmati, E. Effect of Edible Coatings on the Shelf-Life of Fresh Strawberries: A Comparative Study Using TOPSIS-Shannon Entropy Method. NFS J. 2021, 23, 17–23. [Google Scholar] [CrossRef]
- Bapary, M.S.; Islam, M.N.; Kumer, N.; Tahery, M.H.; Al Noman, M.A.; Mohi-Ud-Din, M. Postharvest Physicochemical and Nutritional Properties of Tomato Fruit at Different Maturity Stages Affected by Physical Impact. Appl. Food Res. 2024, 4, 100636. [Google Scholar] [CrossRef]
- Fukudome, C.; Takisawa, R.; Nakano, R.; Kusano, M.; Kobayashi, M.; Motoki, K.; Nishimura, K.; Nakazaki, T. Analysis of Mechanism Regulating High Total Soluble Solid Content in the Parthenocarpic Tomato Fruit Induced by Pat-k Gene. Sci. Hortic. 2022, 301, 111070. [Google Scholar] [CrossRef]
- Šuput, D.; Lazarević, J.; Filipović, V.; Nićetin, M.; Knežević, V.; Lončar, B.; Pezo, L. The Effect of Osmotic Dehydration and Starch Coating on the Microbiological Stability of Apples. J. Process. Energy Agric. 2020, 24, 35–38. [Google Scholar] [CrossRef]
- Lerici, C.R.; Pinnavaia, G.; Rosa, M.D.; Bartolucci, L. Osmotic Dehydration of Fruit: Influence of Osmotic Agents on Drying Behavior and Product Quality. J. Food Sci. 1985, 50, 1217–1219. [Google Scholar] [CrossRef]
- Huynh, N.K.; Wilson, M.D.; Stanley, R.A. Extending the Shelf Life of Raspberries in Commercial Settings by Modified Atmosphere/Modified Humidity Packaging. Food Packag. Shelf Life 2023, 37, 101069. [Google Scholar] [CrossRef]
- Alqahtani, N.K.; Alkhamis, B.; Alnemr, T.M.; Mohammed, M. Combined Influences of Edible Coating and Storage Conditions on the Quality of Fresh Dates: An Investigation and Predictive Analysis Using Artificial Neural Networks. Heliyon 2025, 11, e42373. [Google Scholar] [CrossRef] [PubMed]
- Anthon, G.E.; LeStrange, M.; Barrett, D.M. Changes in PH, Acids, Sugars and Other Quality Parameters during Extended Vine Holding of Ripe Processing Tomatoes. J. Sci. Food Agric. 2011, 91, 1175–1181. [Google Scholar] [CrossRef] [PubMed]
- Zhang, W.; Jiang, Y.; Zhang, Z. The Role of Different Natural Organic Acids in Postharvest Fruit Quality Management and Its Mechanism. Food Front. 2023, 4, 1127–1143. [Google Scholar] [CrossRef]
- Rodriguez, A.; Soteras, M.; Campañone, L. Review: Effect of the Combined Application of Edible Coatings and Osmotic Dehydration on the Performance of the Process and the Quality of Pear Cubes. Int. J. Food Sci. Technol. 2021, 56, 6474–6483. [Google Scholar] [CrossRef]
- Rocha-Parra, D.F.; Lanari, M.C.; Zamora, M.C.; Chirife, J. Influence of Storage Conditions on Phenolic Compounds Stability, Antioxidant Capacity and Colour of Freeze-Dried Encapsulated Red Wine. LWT 2016, 70, 162–170. [Google Scholar] [CrossRef]
- de la Torre-Robles, A.; Monteagudo, C.; Mariscal-Arcas, M.; Lorenzo-Tovar, M.L.; Olea-Serrano, F.; Rivas, A. Effect of Light Exposure on the Quality and Phenol Content of Commercial Extra Virgin Olive Oil during 12-Month Storage. J. Am. Oil Chem. Soc. 2019, 96, 381–389. [Google Scholar] [CrossRef]
- Zdulski, J.A.; Rutkowski, K.P.; Konopacka, D. Strategies to Extend the Shelf Life of Fresh and Minimally Processed Fruit and Vegetables with Edible Coatings and Modified Atmosphere Packaging. Appl. Sci. 2024, 14, 11074. [Google Scholar] [CrossRef]
- Ladika, G.; Tsiaka, T.; Stavropoulou, N.A.; Strati, I.F.; Sinanoglou, V.J. Enhancing the Nutritional Value and Preservation Quality of Strawberries through an Optimized Osmotic Dehydration Process. Appl. Sci. 2024, 14, 9211. [Google Scholar] [CrossRef]
- Liu, J.; Liu, Y.; Wang, X. Effects of Bioactive Compounds and Pharmacological Activities in Medicinal Fruits and Vegetables by Thermal Processing. J. Future Foods 2023, 3, 252–262. [Google Scholar] [CrossRef]
- Arias, A.; Feijoo, G.; Moreira, M.T. Exploring the Potential of Antioxidants from Fruits and Vegetables and Strategies for Their Recovery. Innov. Food Sci. Emerg. Technol. 2022, 77, 102974. [Google Scholar] [CrossRef]
- Toydemir, G.; Gultekin Subasi, B.; Hall, R.D.; Beekwilder, J.; Boyacioglu, D.; Capanoglu, E. Effect of Food Processing on Antioxidants, Their Bioavailability and Potential Relevance to Human Health. Food Chem. X 2022, 14, 100334. [Google Scholar] [CrossRef] [PubMed]
- Jung, J.; Lin, C.; Zhao, Y. Enhancing Anthocyanin–Phenolic Copigmentation through Epicarp Layer Treatment and Edible Coatings to Retain Anthocyanins in Thermally Processed Whole Blueberries. J. Food Sci. 2022, 87, 3809–3821. [Google Scholar] [CrossRef]
- Yan, X.-M.; Dong, J.-Y.; Guo, N.; Zhu, G.-L. Application of Gellan Gum-Black Rice Anthocyanin-Titanium Dioxide Composite Film in the Coating Preservation of Blueberry. Sci. Technol. Cereals Oils Foods 2024, 32, 106–113. [Google Scholar]
- Rocha, R.; Pinela, J.; Abreu, R.M.V.; Añibarro-Ortega, M.; Pires, T.C.S.P.; Saldanha, A.L.; Alves, M.J.; Nogueira, A.; Ferreira, I.C.F.R.; Barros, L. Extraction of Anthocyanins from Red Raspberry for Natural Food Colorants Development: Processes Optimization and In Vitro Bioactivity. Processes 2020, 8, 1447. [Google Scholar] [CrossRef]
- Pantelidis, G.; Vasilakakis, M.; Manganaris, G.; Diamantidis, G. Antioxidant Capacity, Phenol, Anthocyanin and Ascorbic Acid Contents in Raspberries, Blackberries, Red Currants, Gooseberries and Cornelian Cherries. Food Chem. 2007, 102, 777–783. [Google Scholar] [CrossRef]
- Borges, G.; Degeneve, A.; Mullen, W.; Crozier, A. Identification of Flavonoid and Phenolic Antioxidants in Black Currants, Blueberries, Raspberries, Red Currants, and Cranberries. J. Agric. Food Chem. 2010, 58, 3901–3909. [Google Scholar] [CrossRef]
- Song, C.; Ma, X.; Li, Z.; Wu, T.; Raghavan, G.V.; Chen, H. Mass Transfer during Osmotic Dehydrationand Its Effect on Anthocyanin Retention of Microwave Vacuum-dried Blackberries. J. Sci. Food Agric. 2020, 100, 102–109. [Google Scholar] [CrossRef]
- Khalid, M.A.; Niaz, B.; Saeed, F.; Afzaal, M.; Islam, F.; Hussain, M.; Mahwish Khalid, H.M.S.; Siddeeg, A.; Al-Farga, A. Edible Coatings for Enhancing Safety and Quality Attributes of Fresh Produce: A Comprehensive Review. Int. J. Food Prop. 2022, 25, 1817–1847. [Google Scholar] [CrossRef]
- Nieto, G.; Ros, G.; Castillo, J. Antioxidant and Antimicrobial Properties of Rosemary (Rosmarinus officinalis L.): A Review. Medicines 2018, 5, 98. [Google Scholar] [CrossRef] [PubMed]
- Kola, A.; Vigni, G.; Lamponi, S.; Valensin, D. Protective Contribution of Rosmarinic Acid in Rosemary Extract Against Copper-Induced Oxidative Stress. Antioxidants 2024, 13, 1419. [Google Scholar] [CrossRef] [PubMed]
- Da Silva Pinto, M.; Lajolo, F.M.; Genovese, M.I. Bioactive Compounds and Antioxidant Capacity of Strawberry Jams. Plant Foods Hum. Nutr. 2007, 62, 127–131. [Google Scholar] [CrossRef]
- Aaby, K.; Ekeberg, D.; Skrede, G. Characterization of Phenolic Compounds in Strawberry (Fragaria × Ananassa) Fruits by Different HPLC Detectors and Contribution of Individual Compounds to Total Antioxidant Capacity. J. Agric. Food Chem. 2007, 55, 4395–4406. [Google Scholar] [CrossRef]
- Cho, J.-S.; Lim, J.H.; Park, K.J.; Choi, J.H.; Ok, G.S. Prediction of Pelargonidin-3-Glucoside in Strawberries According to the Postharvest Distribution Period of Two Ripening Stages Using VIS-NIR and SWIR Hyperspectral Imaging Technology. LWT 2021, 141, 110875. [Google Scholar] [CrossRef]
- Yadav, A.K.; Singh, S.V. Osmotic Dehydration of Fruits and Vegetables: A Review. J. Food Sci. Technol. 2014, 51, 1654–1673. [Google Scholar] [CrossRef]
- Li, W.; Pang, X.; Xiao, J.; Wang, X.; He, R.; Zhao, X. Degradation Kinetics of Pelargonidin-3-(p-Coumaroyl)Diglucoside-5-(Malonyl)Glucoside and Pelargonidin-3-(Feruloyl)Diglucoside-5-(Malonyl)Glucoside in Red Radish during Air-Impingement Jet Drying. LWT 2020, 127, 109390. [Google Scholar] [CrossRef]
- Kalt, W.; Ryan, D.A.J.; Duy, J.C.; Prior, R.L.; Ehlenfeldt, M.K.; Vander Kloet, S.P. Interspecific Variation in Anthocyanins, Phenolics, and Antioxidant Capacity among Genotypes of Highbush and Lowbush Blueberries (Vaccinium Section Cyanococcus Spp.). J. Agric. Food Chem. 2001, 49, 4761–4767. [Google Scholar] [CrossRef]
- Castrejón, A.D.R.; Eichholz, I.; Rohn, S.; Kroh, L.W.; Huyskens-Keil, S. Phenolic Profile and Antioxidant Activity of Highbush Blueberry (Vaccinium corymbosum L.) during Fruit Maturation and Ripening. Food Chem. 2008, 109, 564–572. [Google Scholar] [CrossRef]
- You, Q.; Wang, B.; Chen, F.; Huang, Z.; Wang, X.; Luo, P.G. Comparison of Anthocyanins and Phenolics in Organically and Conventionally Grown Blueberries in Selected Cultivars. Food Chem. 2011, 125, 201–208. [Google Scholar] [CrossRef]
- Skrede, G.; Wrolstad, R.E.; Durst, R.W. Changes in Anthocyanins and Polyphenolics During Juice Processing of Highbush Blueberries (Vaccinium corymbosum L.). J. Food Sci. 2000, 65, 357–364. [Google Scholar] [CrossRef]
- Muñoz-Fariña, O.; López-Casanova, V.; García-Figueroa, O.; Roman-Benn, A.; Ah-Hen, K.; Bastias-Montes, J.M.; Quevedo-León, R.; Ravanal-Espinosa, M.C. Bioaccessibility of Phenolic Compounds in Fresh and Dehydrated Blueberries (Vaccinium corymbosum L.). Food Chem. Adv. 2023, 2, 100171. [Google Scholar] [CrossRef]
- Abdel-Aal, E.-S.M.; Young, J.C.; Rabalski, I. Anthocyanin Composition in Black, Blue, Pink, Purple, and Red Cereal Grains. J. Agric. Food Chem. 2006, 54, 4696–4704. [Google Scholar] [CrossRef]
- Khoo, H.E.; Azlan, A.; Tang, S.T.; Lim, S.M. Anthocyanidins and Anthocyanins: Colored Pigments as Food, Pharmaceutical Ingredients, and the Potential Health Benefits. Food Nutr. Res. 2017, 61, 1361779. [Google Scholar] [CrossRef]
- Mateus, N.; Silva, A.M.S.; Vercauteren, J.; de Freitas, V. Occurrence of Anthocyanin-Derived Pigments in Red Wines. J. Agric. Food Chem. 2001, 49, 4836–4840. [Google Scholar] [CrossRef] [PubMed]
- Dai, H.; Forbes, A.; Guo, X.; He, L. Prediction of Anthocyanin Color Stability against Iron Co-Pigmentation by Surface-Enhanced Raman Spectroscopy. Foods 2022, 11, 3436. [Google Scholar] [CrossRef]
- Qin, C.-G.; Li, Y.; Niu, W.; Ding, Y.; Shang, X.; Xu, C. Composition Analysis and Structural Identification of Anthocyanins in Fruit of Waxberry. Czech J. Food Sci. 2011, 29, 171–180. [Google Scholar] [CrossRef]
- Wang, H.; Race, E.J.; Shrikhande, A.J. Characterization of Anthocyanins in Grape Juices by Ion Trap Liquid Chromatography−Mass Spectrometry. J. Agric. Food Chem. 2003, 51, 1839–1844. [Google Scholar] [CrossRef]
- Enaru, B.; Drețcanu, G.; Pop, T.D.; Stǎnilǎ, A.; Diaconeasa, Z. Anthocyanins: Factors Affecting Their Stability and Degradation. Antioxidants 2021, 10, 1967. [Google Scholar] [CrossRef] [PubMed]
- Yang, W.; Guo, Y.; Liu, M.; Chen, X.; Xiao, X.; Wang, S.; Gong, P.; Ma, Y.; Chen, F. Structure and Function of Blueberry Anthocyanins: A Review of Recent Advances. J. Funct. Foods 2022, 88, 104864. [Google Scholar] [CrossRef]
Disclaimer/Publisher’s Note: The statements, opinions and data contained in all publications are solely those of the individual author(s) and contributor(s) and not of MDPI and/or the editor(s). MDPI and/or the editor(s) disclaim responsibility for any injury to people or property resulting from any ideas, methods, instructions or products referred to in the content. |
© 2025 by the authors. Licensee MDPI, Basel, Switzerland. This article is an open access article distributed under the terms and conditions of the Creative Commons Attribution (CC BY) license (https://creativecommons.org/licenses/by/4.0/).








































































