Abstract
This study develops a value-added processing technique for grade-out cape gooseberry (Physalis peruviana Linn.) by applying mild hydrostatic osmotic pretreatment combined with rotary tray drying. Fruits classified as grade-out, often discarded due to aesthetic flaws, were subjected to osmotic treatment at 0.5 bar for 12 h using a sucrose solution enhanced with citric acid and glycerin. Pretreatment significantly elevated water loss (52.61%) and solid gain (18.12%), reducing moisture content prior to drying. Rotary tray drying was conducted at temperatures of 50, 60, and 70 °C. Drying at 60 °C achieved the ideal balance between efficiency and product quality. Samples pretreated and dried at 60 °C exhibited a 35% reduction in drying time while preserving superior color (ΔE = 13.54 ± 1.81), vitamin C (71.76 ± 2.57 mg/100 g dry matter, DM), total phenolic content (202.9 ± 10.91 mg GAE/100 g DM), and antioxidant activity (ABTS = 95.87 ± 3.41 µmol TE/g DM; DPPH = 89.97 ± 1.27 µmol TE/g DM). A production trial was conducted using 1500 kg of raw material from the Mae Hae Royal Project Development Center in Chiang Mai, Thailand. This process yielded 220 kg of high-quality dried fruit at an overall cost of USD 6.93 per kg. Local farmers successfully applied this technique, demonstrating its potential to enhance livelihoods, avoid postharvest losses, and valorize low-quality produce in line with Sustainable Development Goal 12. This supports the Royal Project Foundation’s vision for sustainable agriculture.
1. Introduction
Cape gooseberry (Physalis peruviana Linn.), part of the Solanaceae family, is becoming popular because it can be grown in different ways, is nutritious, and can be processed for added value [1,2]. Additionally, its adaptability to varied climatic conditions, including saline soils and limited water availability, positions it as a resilient crop in the face of climate change [3]. In Thailand, the Royal Project Foundation has integrated cape gooseberry into highland agriculture to support the sufficiency economy philosophy, emphasizing environmental stewardship, social inclusion, and economic resilience [4,5]. However, cape gooseberry production faces challenges, with up to 60% of fruits being downgraded due to cosmetic defects that do not compromise nutritional value but render them unsuitable for fresh markets. This issue is compounded by the reliance on expensive and complex imported food processing equipment, poorly suited to the needs of small-scale farmers [6]. Osmotic dehydration (OD) has emerged as a practical strategy to reduce postharvest losses and add value to grade-out fruits. This non-thermal pretreatment allows partial water removal and solute infusion, stabilizing the fruit while preserving nutritional and sensory properties [7]. The effectiveness of OD can be significantly enhanced by integrating mild hydrostatic pressure, improving mass transfer, and offering microbiological benefits [8].
Hot-air drying commonly follows OD to reach the desired final moisture content. Although traditional hot-air drying is cost-effective, it often results in uneven drying and nutrient degradation. Rotary tray dryers address these issues by ensuring controlled airflow and temperature consistency, helping preserve quality attributes [9]. Adopting hydrostatic pressure-assisted OD combined with rotary tray drying represents a transformative solution that integrates food security, resource efficiency, postharvest innovation, and community development. However, research on this combination for underutilized, grade-out fruits in highland agricultural settings is lacking, with few studies providing comprehensive assessments [7,9].
This study aims to investigate the effect of hydrostatic pressure-assisted osmotic pretreatment on the drying behavior and quality of grade-out cape gooseberry from highland areas. Specifically, it evaluates the impact of pretreatment at 0.5 bar for 12 h and subsequent hot-air drying at 50 °C, 60 °C, and 70 °C on various parameters. A preliminary cost analysis is also conducted to assess the feasibility of adopting this value-adding technology for highland smallholder farmers.
2. Materials and Methods
2.1. Materials
In this study, grade-out fruits were classified into two categories: (i) those with visible mold on the calyx and (ii) those with skin cracks or fissures both identifiable by visual inspection (Figure 1). Although these fruits retain acceptable nutritional quality, they are typically rejected from the fresh market due to their unattractive appearance.
Figure 1.
Grade-out cape gooseberry employed in this experiment: (a) visible mold growth on the calyx, (b) cracking of the skin fruit.
As such, they were selected as raw materials for investigating value-added processing and postharvest waste reduction strategies. All samples were cultivated from cape gooseberry plants under the supervision of the Luang Mae Hae Royal Project Development Center (latitude: 18.7725° N, longitude: 98.5797° E), covering a total area of 30 rai.
During preparation, grade-out cape gooseberry was washed, trimmed, and immersed in 1000 ppm potassium metabisulfite (KMS) solution for 10 min. KMS serves as an antimicrobial and anti-browning agent in fruit processing. To address potential health risks for sulfite-sensitive individuals, fruits were thoroughly rinsed with hot water at 50 °C. Residual sulfite was subsequently decomposed during washing and eliminated through hot-air drying. Ahamad et al. [10] demonstrated that these processes effectively reduce sulfite levels to acceptable standards, ensuring consumer safety.
2.2. Hydrostatic Osmotic Pretreatment
The hydrostatic osmotic system (Figure 2) consisted of a 50 L pressure vessel chamber constructed from 0.6 mm thick SUS 304-grade stainless steel. The equipment was developed by the Smart Farm Engineering and Agricultural Innovation Program, School of Renewable Energy, Maejo University, Thailand.
Figure 2.
Operational schematic of mild hydrostatic osmotic pretreatment: (1) air compressor pump, (2) air supply hose, (3) pressure gauge, (4) safety valve, (5) pressure chamber top, (6) pressure chamber vessel body, (7) temperature gauge.
The cover of the pressure vessel was designed to work in conjunction with an air compression system, which included a pneumatic pump, and a safety valve set at 0.5 bar to ensure stable internal pressure throughout the pretreatment process. We prepared an osmotic solution of 55° Brix by dissolving 11 kg of commercial sucrose in 9 L of water and heating it to 95 °C for 10 min. After cooling, 20 g of food-grade citric acid and 1000 mL of glycerin were added and mixed thoroughly [11]. Citric acid helps prevent browning by stopping an enzyme called polyphenol oxidase, while glycerin keeps things moist and improves texture and color [12]. For pretreatment, 40 kg of grade-out cape gooseberry was placed in the 50 L pressure vessel, and the prepared solution (20 L) was added. The cover was sealed, and a mild hydrostatic pressure of 0.5 bar was applied to facilitate solute uptake and controlled dehydration over a 12 h period. This pressure was chosen because Luechai et al. [11] found that using more than 0.5 bar could make cape gooseberry too soft and lose its shape.
2.3. Rotary Tray Dryer
The rotary tray dryer used in this study incorporates a rotating tray system designed to improve heat distribution efficiency and facilitate the transfer of appropriate technology to community-level applications. This dryer has been registered under Thailand’s petty patent number 18896 and was developed in compliance with national industrial standards. The equipment is constructed with stainless steel components (SUS304 grade) to ensure durability and food-grade hygiene. Detailed specifications and operational descriptions of the system have been previously reported by Assawarachan [6]. Figure 3 presents a representation of the dryer. The temperature control system employs a PID controller, whereas the airflow and tray rotation control system utilize an on–off mechanism.
Figure 3.
Rotary tray dryer registered under Thailand’s petty patent number 18896: (a) exterior view of the complete unit, (b) internal rotary tray mechanism.
2.4. Drying Parameter
2.4.1. Moisture Content
The moisture content of the samples was determined according to AOAC Official Method 920.151 [13]. Approximately 5 g of each sample was weighed before and after drying at 70 °C under vacuum conditions (pressure not exceeding 100 mmHg) until a constant weight was achieved. The moisture content (MC) was calculated both on a wet basis (%w.b.) and a dry basis (%d.b.) using the following equations.
where , are the weight of sample before the drying (g) and the weight of the sample after drying to a constant weight (g, dry matter, DM), respectively. The drying properties of grade-out cape gooseberry samples were obtained according to AOAC Official Method 920.151 [13] for the drying rate and by g water/g dry matter for the moisture content. Recordings of samples were made every hour.
2.4.2. Water Activity
The water activity (aw) of the samples was determined using a portable water activity analyzer (HygroPalm HP23-AW-A with HC2-AW probe, Rotronic AG, Bassersdorf, Switzerland). Measurements were performed in triplicate at 25 ± 0.5 °C under equilibrium conditions.
2.4.3. Determination of Water Loss and Solid Gain
Water loss (WL) and solid gain (SG) were evaluated to assess mass transfer during osmotic dehydration. Fresh grade-out cape gooseberry was weighed, then immersed in a 55° Brix sucrose solution under mild hydrostatic pressure (0.5 bar). After treatment, excess surface solution was blotted, and the samples were reweighed. Dry matter contents of both untreated and treated samples were determined via vacuum oven drying at 70 °C under vacuum conditions to constant weight. The calculations for WL (%) and SG (%) were based on the mass balance approach, as described by Torreggiani and Bertolo [14]:
where ww0 is the weight of water and ws0 is the weight of solids initially present in the fruit, since wt and wst are the weight of the fruit and the weight of the solids at the end of the treatment, respectively.
2.5. Optical Properties
The color of grade-out cape gooseberry samples was measured using a Chroma Meter (CR-400, Konica Minolta, Inc., Tokyo, Japan) in the CIE Lab color space, with calibration performed using a white standard (Y = 93.9, x = 0.3160, y = 0.3323). Measurements were taken under D65 illumination with an 8 mm aperture. The L*, a*, and b* values were recorded from three positions on each sample and averaged. L* indicates lightness, a* redness to greenness, and b* yellowness to blueness. Triplicate samples were analyzed. Total color difference (ΔE) from the control was calculated as:
where L0*, a0*, and b0* refer to the values of the control or untreated sample.
2.6. Determination of Vitamin C, Total Phenolic Content, and Antioxidant Capacity
Vitamin C Determination was analyzed using the DCPIP spectrophotometric method (UV–Vis spectrophotometer model V-730; JASCO Corporation, Easton, MD, USA), in which absorbance was measured at 520 nm after reaction with 2,6-dichlorophenol-indophenol (DCPIP). Results were expressed as mg ascorbic acid per 100 g fresh weight, based on a standard calibration curve [15].
Total Phenolic Content (TPC) was determined using the Folin–Ciocalteu colorimetric method. In brief, 0.5 mL of the fruit extract was mixed with 2.5 mL of 10% (v/v) Folin–Ciocalteu reagent. After 5 min, 2.0 mL of 7.5% (w/v) sodium carbonate solution was added. The mixture was incubated in the dark at room temperature (25 °C) for 60 min. Absorbance was measured at 725 nm using a UV–Vis spectrophotometer. TPC was expressed as mg gallic acid equivalents (GAE) per 100 g fresh weight, based on a standard calibration curve.
ABTS radical cation (ABTS•⁺) scavenging activity was determined following the method of Osorio-Arias et al. [16] with minor modifications. ABTS•⁺ was generated by mixing 7 mM ABTS and 2.45 mM potassium persulfate and left in the dark at room temperature for 12–16 h. The solution was diluted with ethanol to an absorbance of 0.70 ± 0.02 at 734 nm. Then, 200 µL of the diluted ABTS•⁺ solution was mixed with 20 µL of extract and incubated at 30 °C for 30 min. Absorbance was measured at 734 nm. Results were expressed as µmol Trolox equivalents per gram dry matter (µmol TE/g DM).
Antioxidant Capacity (DPPH): The DPPH radical scavenging activity was measured following the method of Ignat et al. [17]. A 0.2 mM DPPH solution was prepared in 95% ethanol. Ten microliters of sample extract were mixed with 200 µL of DPPH solution in a 96-well plate and incubated in the dark for 30 min at room temperature. Absorbance was measured at 514 nm, and antioxidant capacity was expressed as micromoles of Trolox equivalents per gram dry matter (µmol TE/g DM).
2.7. Microbiological Analysis
Microbiological analysis was conducted to determine the total plate count and yeast and mold counts of dried grade-out cape gooseberry using 3M™ Petrifilm™ plates (3M Company, St. Paul, MN, USA). The results were evaluated based on the microbial limits specified by the Thai Industrial Standards Institute (TISI) for dried fruit products [18].
2.8. Cost Analysis
A production cost analysis was conducted based on actual expenses from pilot-scale processing of 1500 kg of grade-out cape gooseberry at the Mae Hae Royal Project Development Center. Costs were categorized into four main components: raw materials, pretreatment, drying, and labor. Packaging and storage costs were not included in this analysis but are recommended for future study. Calculations were based on direct operating costs, excluding depreciation. The unit cost per kilogram (kg) of dried product was determined by dividing the total cost by the net dried weight. This study’s economic feasibility assessment utilized established methodologies: Santana et al. [19] implemented direct cost allocation in grain drying systems, whereas Pise [20] accounted for labor, energy, and equipment depreciation in fruit drying operations. These methodologies were modified to assess the feasibility of executing the suggested value-added process in small-scale highland processing systems.
2.9. Statistical Analysis
Experiment was arranged in a completely randomized design (CRD) with two factors: pretreatment condition (with and without mild hydrostatic osmotic pretreatment) and drying temperature (50, 60 and 70 °C) and the each experiment was replicated thrice. Data were analyzed by two-way analysis of variance (ANOVA), and treatment means were compared using Tukey’s honestly significant difference (HSD) test at p<0.05. Statistical analyses were performed using OriginPro version 8.0 (OriginLab Corporation, Northampton, MA, USA) and SPSS Statistics version 28.0 (IBM Corp., Armonk, NY, USA) licensed under Maejo University terms (https://spss.mju.ac.th/). Data are presented as means ± SD.
3. Results
3.1. Efficacy of Hydrostatic Osmotic Pretreatment
The experimental results presented in Figure 4 indicate considerable changes in the parameters of water loss (WL), solid gain (SG), and moisture content (MC) in grade-out cape gooseberry samples undergoing osmotic pretreatment under mild hydrostatic pressure (0.5 bar). WL increased gradually from 0% to 52.61% during the period of 12 h, whereas SG increased from 0% to 18.12%, and MC reduced from 4.56 g/g DM to 1.56 g/g DM. These are indicative of the improved efficiency of mass transfer under the conditions of applied pressures. In the present work, the osmotic solution was initially at a concentration of 55° Brix, in the constituency of which a predominance of sugar solids was present in the solution. Post the osmotic treatment under mild hydrostatic pressure, the osmotic solution concentration was found to decrease to 27° Brix, which shows a high rate of water transfer from the fruit to the solution and accompanying migration of the dissolved solids to the interior of the tissues. Similar studies of osmotic treatment of fruit using a concentrated solution have also reported the same results [21]. One of the primary reasons for this phenomenon is increased mass transfer, wherein the external pressure facilitates the flow of water out and diffusion of the solute inwardly. A mild pressure lowers the boundary layer of the fruit surface toward the osmotic solution, hence diffusing at faster levels [22]. Increased transfer is further supplemented by the rise in the chemical potential gradient in the direction of the tissue and the surrounding material [23].
Figure 4.
Changes in water loss (WL), solid gain (SG), and moisture content (MC) in grade-out cape gooseberry samples subjected to osmotic pretreatment under mild hydrostatic pressure (0.5 bar) at different time intervals.
Representative photographs of grade-out cape gooseberry before and after treatment of the 12 h hydrostatic osmotic pretreatment process at 0.5 bar are shown in Figure 5, which shows structural, and surface changes related to the mass transfer process. In addition, the phenomenon of tissue deformation is also significant. Plant tissues, being matrices of cellulose, pectin, and other polysaccharides, undergo transient deformation under applied pressure. Such deformation opens the pore size and develops microchannels, thereby enhancing mass exchange. The elasticity and hydraulic permeability of plant material subjected to the same stress can play a crucial role in affecting water removal and the uptake of solutions. Thermodynamically, the mass transfer happening in this context aligns with Le Chatelier’s principle, whereby a system subjected to external perturbation will tend to react in a way that minimizes the disturbance occurring in it. In this context, the increase in external pressure causes the flow of water from the interior of the fruit towards the osmotic medium, thereby minimizing the internal hydrostatic pressure. Such a process also causes an increase in the density and firmness of the tissues, and this helps in the enhancement of structural stability during subsequent drying processes [24]. Concomitant increases in WL and SG coupled with the decrease in solution concentration from 55 to 27 °Brix prove the correlation of a robust bidirectional mass transfer. Such a correlation supports the reinforcement of the tissues, shrinking, and enhancing firmness, thereby enhancing the quality of the fruit upon drying. The research on gentle osmotic pretreatment using hydrostatic pressure shows significant improvements in the nutrition and physical quality of dried fruit before they are hot dried. This technique enhances the removal of water and nutrient retentivity, evidenced by the work of Yulni et al. [25] and Nudar et al. [26]. The interaction of osmotic drying and drying kinetics with the pretreatments can optimize the quality of the final product [27]. Further, the analyses validate enhanced consistency and flavor profiles, corroborating the studies of the combined drying techniques [28]. These developments place mild hydrostatic pressure at the center of maximizing the productivity of dried fruits [29].
Figure 5.
Hydrostatic pressure (p = 0.5 bar) osmotic pretreatment procedure: (a) photograph of grade-out cape gooseberry fresh fruit, (b) photograph of grade-out cape gooseberry after a 12 h hydrostatic osmotic pretreatment.
3.2. Characteristics of Drying Process
In this study, the drying characteristics of grade-out cape gooseberry subjected to mild hydrostatic osmotic pretreatment were compared with untreated fresh samples using a rotary tray dryer. The drying system operates by generating hot air through the combustion of liquefied petroleum gas (LPG) and circulating air within the drying chamber using electric power. The integration of these mechanisms results in low energy consumption and a simple operational design, making the rotary tray dryer an appropriate and farmer-friendly technology.
Royal Development Centers in the hill areas have been able to apply rotary tray dryers to produce agricultural products in an effort to enhance the value of agricultural products, including processing of dried flower tea, dried fruits, and herbs. At present, 6 Royal Development Centers are utilizing the dryers, including Sa-ngo Center, Mae Hae Center, Pangkha Center, Mae Pun Luang Center, Huai Nam Rin Center, and Letor Center with a total of 30 machines. Sa-ngo Center, in fact, has been in operation for a consecutive period of 13 years (2012–2025).
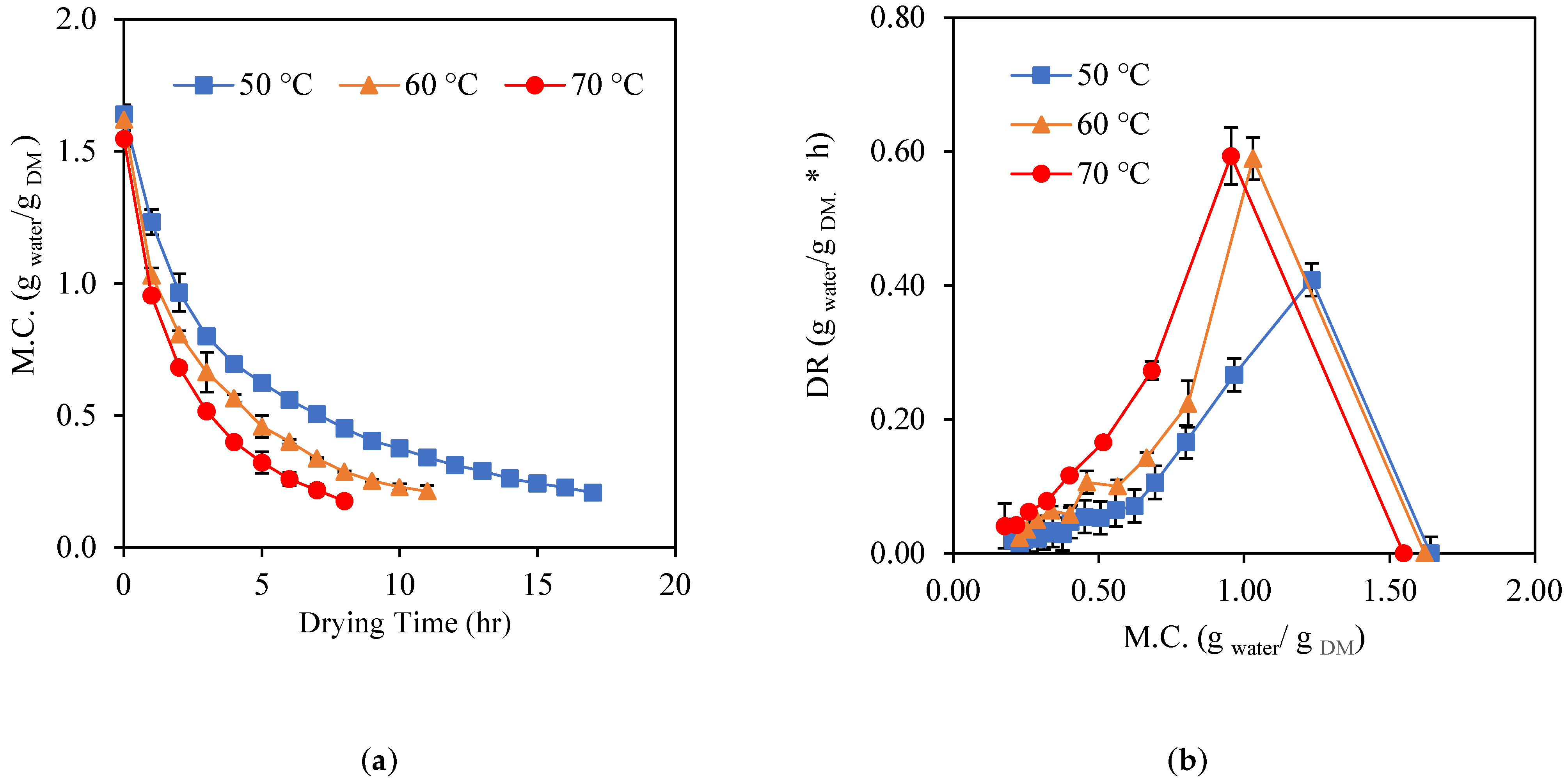
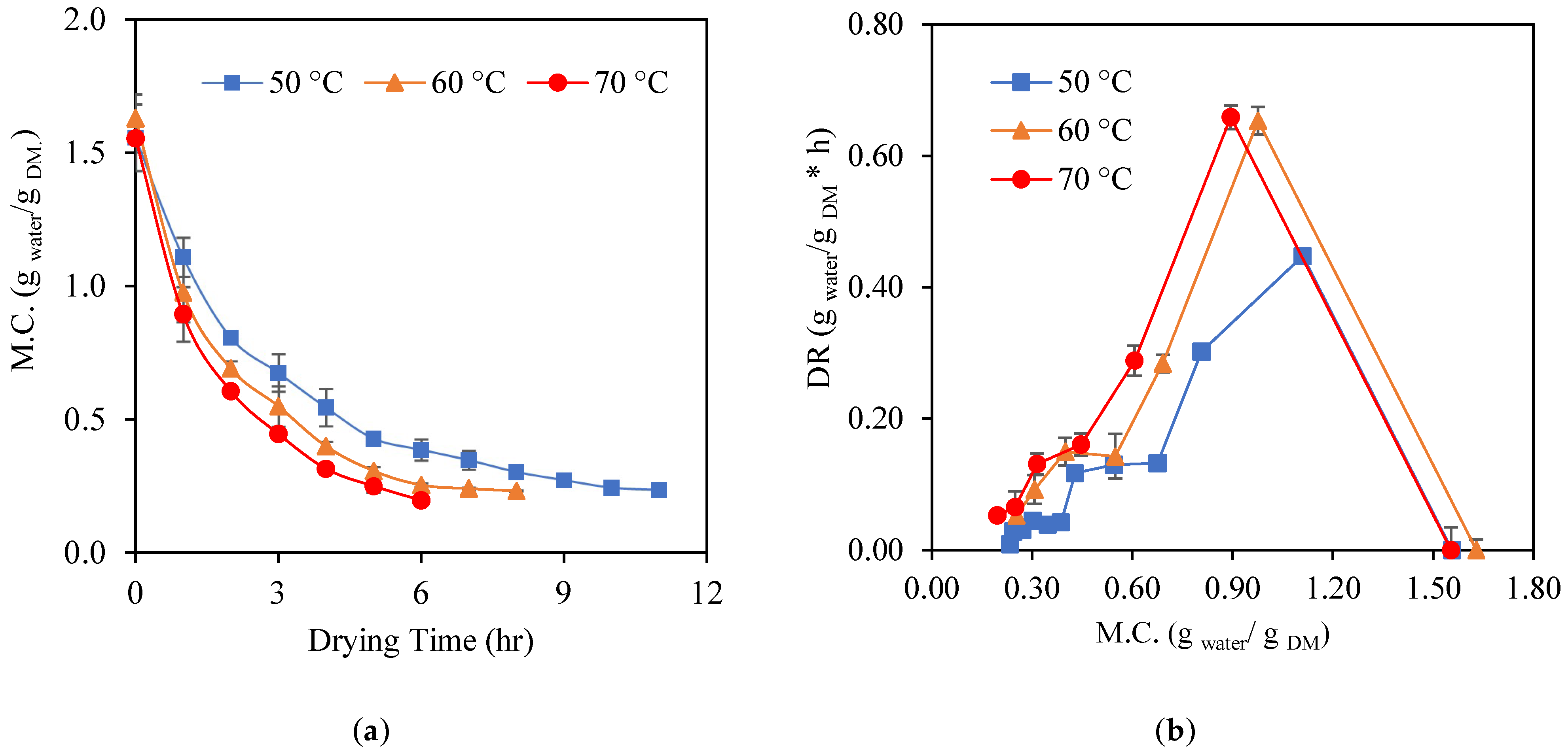
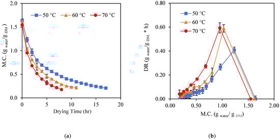
Grade-out cape gooseberry samples pretreated with mild hydrostatic osmotic dehydration at a pressure of 0.5 bar exhibited initial moisture contents ranging from 1.6287 ± 0.0883 to 1.5564 ± 0.1239 g water/g dry matter (DM). Subsequent hot-air drying at temperatures of 50, 60, and 70 °C effectively reduced the moisture content to between 0.2348 ± 0.0215 and 0.1962 ± 0.0189 g water/g DM, requiring 11, 8, and 6 h, respectively. In contrast, untreated fresh samples dried at the same temperatures exhibited moisture contents ranging from 0.1757 ± 0.0188 to 0.2125 ± 0.0061 g water/g DM, with significantly longer drying times of 17, 11, and 8 h, respectively. The comparative analysis (Figure 6) clearly demonstrates that mild hydrostatic osmotic pretreatment significantly reduces the drying time by 35.29%, 27.27%, and 25.00% at 50, 60, and 70 °C, respectively.
Figure 6.
Drying kinetics of untreated grade-out cape gooseberry samples at different drying temperatures using a rotary tray dryer: (a) moisture content (g water/g DM) vs. drying time (h), (b) drying rate (g water/g DM·h) vs. drying time (h).
The moisture content–drying rate relationship indicates a typical falling-rate period under all drying conditions, with no constant-rate period observed (Figure 7). This finding confirms that moisture removal is predominantly governed by internal diffusion mechanisms rather than surface evaporation. The absence of a constant-rate period can be attributed to physicochemical changes in the tissue structure induced by osmotic pretreatment. During immersion in the concentrated sugar solution, intracellular water is withdrawn, while sucrose and glucose diffuse into the tissue matrix. These solutes contribute to the formation of a semi-permeable film on the fruit surface, primarily through hydrogen bonding with cell wall components such as pectin and cellulose. This surface layer functions as a diffusional barrier, limiting water vapor flux and increasing the viscosity of the boundary layer due to partial sugar crystallization [28].
Figure 7.
Drying kinetics of grade-out cape gooseberry samples pretreated with mild hydrostatic osmotic dehydration at different drying temperatures using a rotary tray dryer: (a) moisture content (g water/g DM) vs. drying time (h), (b) drying rate (g water/g DM·h) vs. drying time (h).
Although higher drying temperatures, particularly at 70 °C, facilitate faster initial moisture removal due to increased vapor pressure gradients, the drying process remains entirely within the falling-rate regime. The findings indicate that the movement of moisture is mainly affected by resistance inside the material, which is also impacted by the collapse of some cells and a layer rich in sugar that slows down water evaporation. The drying kinetics lack a constant-rate period. This implies that internal concentration gradients influence drying more than external parameters such as temperature or airflow [30]. Additionally, the buildup of sugars in the tissue not only makes the dried grade-out cape gooseberry taste better and feel nicer but also helps it stay strong and hold onto moisture. A comprehensive understanding of these mechanisms is vital for maximizing drying processes and improving both the quality and shelf life of dehydrated fruit products, which emphasizes the necessity of continued research in this field.
3.3. Temperature Affects Changes in Optical Properties
The optical properties (L*, a*, b*, and ΔE) of grade-out cape gooseberry were significantly influenced by both hydrostatic osmotic pretreatment and drying temperature (p < 0.05), as shown in Table 1. Fresh fruits exhibited high lightness (L* = 43.52 ± 2.71), redness (a* = 13.14 ± 1.55), and yellowness (b* = 34.43 ± 3.82), characteristic of fully matured fruits. After a 12 h (h) hydrostatic osmotic pretreatment, researchers observed a slight but noticeable reduction in L* and b* values (L* = 39.59 ± 1.08), while a* values remained relatively stable, indicating limited pigment leaching during solute infiltration. Drying temperature had a pronounced impact on color stability. Untreated samples dried at 70 °C showed a major loss of color, with L* dropping to 9.65 ± 0.82 and ΔE rising to 44.34 ± 1.46, probably because the pigments broke down due to the Maillard reaction and caramelization. In contrast, pretreated samples demonstrated significantly better color retention across all drying temperatures, particularly at 60 °C, where ΔE was minimized to 13.54 ± 1.81. Elevated temperatures and oxygen exposure accelerate the oxidative breakdown of carotenoids and anthocyanins, which primarily drives pigment degradation during drying [31]. Hydrostatic osmotic pretreatment helped reduce these problems in several ways: glycerin, which keeps things moist, lowered water loss and oxygen getting in while creating a barrier on the surface of the tissue, and citric acid acted as a strong antioxidant, preventing the breakdown of pigments and phenolic compounds. Additionally, the absorption of solutes during osmotic pretreatment created a glassy layer inside the fruit, which helped keep the cells stable and reduced the breakdown of pigments due to oxidation. Statistical analysis (ANOVA and Tukey’s HSD) confirmed that pretreated samples exhibited significantly lower ΔE and higher L* values than untreated ones (p < 0.05). These findings highlight how hydrostatic osmotic pretreatment works together to maintain the visual qualities during thermal drying.
Table 1.
Optical properties in CIE-L*a*b* of grade-out cape gooseberry processed under different conditions using hydrostatic osmotic pretreatment and rotary tray drying at Mae Hae Royal Project, Chiang Mai Province.
The total color difference (ΔE) between mild hydrostatically osmotic pretreated and dried grade-out cape gooseberry samples at 60 °C was found to be 9.12. In the field of color science, ΔE values between 2 and 3 are considered noticeable to the human eye, while values above 5 are clearly perceptible and often associated with visible color shifts in food products [32,33]. Although the observed ΔE value in this study exceeds the typical threshold for perceptibility, it remains within an acceptable range for dried fruit products. The mild color change can be attributed to natural pigment degradation and solute interactions during the drying process; however, the product still maintained a uniform and appealing appearance. Furthermore, consumers have demonstrated greater acceptance of such changes when they are accompanied by nutritional benefits and traditional characteristics [34,35,36,37].
3.4. Physicochemical Properties of Grade-Out Cape Gooseberry as Affected by Drying Temperature
3.4.1. Impact of Mild Hydrostatic Osmotic Pretreatment
The physicochemical properties of cape gooseberry were assessed before and after mild hydrostatic osmotic pretreatment. Parameters analyzed included vitamin C content, total phenolic content (TPC), and antioxidant activity, evaluated via ABTS and DPPH assays (Table 2). The vitamin C content in fresh (untreated) and pretreated samples was 26.93 ± 3.41 and 34.92 ± 2.48 mg/100 g fresh weight (FW), respectively, as determined via the DCPIP titration method. These values are consistent with earlier reports by Valente et al. [38] and Avendaño, et al. [39], who found levels of 33.1 ± 0.4 and 29.49 ± 1.39 mg/100 g FW, respectively.
Table 2.
Physicochemical characterization of fresh grade-out cape gooseberry.
The significant increase in the treated group suggests that the pretreatment protected or enhanced ascorbic acid. This effect may result from multiple mechanisms, including: (i) suppression of oxidative enzymes such as ascorbate oxidase under reduced water activity, (ii) decreased oxygen permeability due to the infiltration of solutes such as sucrose, glycerin, and citric acid, and (iii) formation of an osmotic barrier that limits oxidation and thermal degradation. Additionally, mild hydrostatic conditions may induce cellular stress responses, promoting the biosynthesis or mobilization of endogenous antioxidants [22,23].
For the total phenolic content (TPC), the fresh and treated fruits had similar values of 49.97 ± 1.38 and 50.43 ± 2.95 mg GAE/100 g FW, respectively. Although not statistically significant, this small increase suggests that phenolic compounds remained stable. Mild pretreatment may prevent degradation while improving extractability. Solute infiltration and slight structural loosening may enhance phenolic availability without triggering oxidation. Because many phenolics are bound within the cell wall, mild pressure may promote their release without damaging the cellular matrix.
The antioxidant capacity, based on ABTS and DPPH assays, slightly declined after pretreatment. The ABTS activity decreased from 24.73 ± 2.11 to 22.21 ± 1.93 µmol TE/g FW. Similarly, the DPPH activity dropped from 23.81 ± 1.35 to 21.27 ± 0.42 µmol TE/g FW. These reductions may reflect structural alterations in antioxidant compounds or dilution effects caused by solute movement. Despite the modest decline, the antioxidant potential remained considerable in treated samples. Overall, mild hydrostatic osmotic pretreatment enhanced vitamin C retention and maintained phenolic stability in cape gooseberry. Although a slight reduction in antioxidant activity was observed, the results support the use of this technique as a pre-drying strategy to preserve nutritional quality in minimally processed fruit products. The dried cape gooseberries from both sample groups exhibited no detectable total plate count (TPC) and yeast and mold count (YMC) (<1 CFU/g), indicating effective microbial control. This can be attributed to the pretreatment and drying processes, which resulted in a water activity (aw) lower than the standard set by the Thai Industrial Standards Institute [18]. Low water activity is known to inhibit microbial growth and enhance the shelf life of dried fruit products.
3.4.2. Impact of Drying Temperature
The effect of mild hydrostatic osmotic pretreatment was evaluated in comparison to untreated samples. Both groups were subjected to moisture reduction using a rotary tray dryer at 50, 60, and 70 °C, respectively. The final moisture content of the dried samples ranged from 0.2348 ± 0.0215 to 0.1962 ± 0.0189 g water/g dry matter (DM). Post-drying, physicochemical analyses were conducted to determine vitamin C content, total phenolic content (TPC), and antioxidant activity using ABTS and DPPH assays. Due to substantial differences in moisture content, direct comparison between fresh and dried samples was deemed inappropriate. Fresh cape gooseberry exhibited a moisture content of 1.5794 ± 0.8356 g water/g DM, whereas dried samples had significantly lower values. To enable an accurate comparison, vitamin C values were recalculated on a dry matter basis under the assumption of no nutrient loss. Based on this calculation, pretreated samples retained 90.07 ± 0.0332 mg/100 g DM (equivalent to 34.92 ± 1.48 mg/100 g FW), while the untreated group retained 69.45 ± 0.1057 mg/100 g DM (26.93 ± 2.41 mg/100 g FW). Experimental results revealed that pretreated samples retained vitamin C concentrations of 63.41 ± 2.01, 71.77 ± 2.57, and 50.07 ± 3.60 mg/100 g DM after drying at 50, 60, and 70 °C, respectively. These values correspond to losses of 29.59%, 20.38%, and 44.42%. In contrast, untreated samples retained only 20.08 ± 1.17, 22.13 ± 1.56, and 11.63 ± 1.46 mg/100 g DM, representing losses of 71.08%, 68.13%, and 83.25%, respectively. These findings confirm that osmotic pretreatment significantly improves vitamin C retention, with optimal preservation observed at 60 °C. This outcome aligns with Yulni et al. [24], who suggested that osmotic pretreatment enhances nutrient stability through structural cell modifications. Moreover, drying temperature is a critical factor influencing degradation kinetics. The inclusion of osmotic agents has been shown to stabilize bioactive compounds and improve storage longevity [40]. This integrated strategy is supported by Nudar et al. [26], who emphasized the synergy between pretreatment and drying parameters.
The osmotic solution containing citric acid, CaCl₂, and glycerol significantly improved vitamin C retention. Citric acid acts as an antioxidant and enzyme inhibitor. Calcium ions stabilize membranes by cross-linking pectin. Glycerol helps form a semi-permeable matrix, reducing moisture and nutrient loss [41]. Calcium ions contribute to membrane stabilization via pectin cross-linking, while glycerol supports the formation of a semi-permeable matrix, limiting moisture and nutrient loss. Thus, optimized osmotic dehydration is instrumental in preserving both nutritional and sensory quality in dried fruit products [42]. Figure 8 illustrates the comparative vitamin C content of grade-out cape gooseberry treated with mild hydrostatic osmotic pretreatment versus untreated samples across drying temperatures of 50, 60, and 70 °C, respectively. The results clearly demonstrate superior vitamin C retention in pretreated samples, particularly at 60 °C.
Figure 8.
The comparative analysis of vitamin C content in grade-out cape gooseberry was affected by pretreatment with mild osmotic hydrostatic methods and drying temperatures of 50, 60, and 70 °C. Lowercase letters (a–e) show significant differences within pretreatment groups; uppercase letters (A,B) show differences between groups at each drying temperature (p < 0.05, Tukey’s HSD).
The total phenolic content (TPC) in fresh and pretreated samples ranged from 49.97 ± 1.38 to 50.43 ± 2.95 mg GAE/100 g FW, showing no significant difference. This consistency likely reflects the naturally high phenolic content in both the peel and pulp, including phenolic acids and flavonoids such as quercetin, myricetin, and kaempferol. These compounds possess potent antioxidant activity and exhibit greater thermal stability than ascorbic acid.
TPC values were calculated on a dry weight basis to facilitate accurate comparison under ideal conditions with no compound loss. Under these assumptions, TPC was estimated at 130.08 mg GAE/100 g DW. Pretreated samples showed significantly lower TPC losses of 18.6 ± 1.2%, 20.1 ± 0.9%, and 21.4 ± 1.0% compared to 34.5 ± 1.7%, 36.0 ± 1.5%, and 37.2 ± 1.8% in untreated samples. One-way ANOVA confirmed the significant effect of pretreatment on TPC retention (p < 0.01), with Tukey’s HSD test revealing lower losses in all pretreated groups compared to the control (p < 0.05).
Pretreatment effectively enhanced TPC retention across drying temperatures. At 50 °C, moderate losses were observed due to extended oxygen exposure. At 70 °C, however, degradation increased sharply, likely due to multiple factors including the Maillard reaction, thermal degradation, enzymatic browning, and volatilization. These results align with findings by Li et al. [43], who reported similar patterns of phenolic compound degradation in plant materials at elevated temperatures. Overall, pretreatment combined with drying at 60 °C yielded the best outcome for phenolic preservation, as shown in Figure 9.
Figure 9.
The comparative analysis of TPC content in grade-out cape gooseberry was affected by pretreatment with mild osmotic hydrostatic methods and drying temperatures of 50, 60, and 70 °C. Lowercase letters (a–e) show significant differences within pretreatment groups; uppercase letters (A,B) show differences between groups at each drying temperature (p < 0.05, Tukey’s HSD).
The influence of drying temperatures on the antioxidant activity in the grade-out cape gooseberry has attracted attention, particularly through tests such as ABTS and DPPH. Variable temperatures can significantly affect the retention of bioactive compounds, which leads to changes in antioxidant properties [44]. Optimal conditions can improve the stability of antioxidants, while excessive heat can degrade these compounds [45]. Studies suggest that lyophilization can preserve more antioxidants compared to traditional drying methods [46]. The impact of temperature and storage on antioxidant effect is still important to enhance their health potential. Both the ABTS and DPPH antioxidant activities followed the same trend for drying temperature and pretreatment, being significantly higher in pretreated samples, especially at 60 °C (Figure 10 and Figure 11).
Figure 10.
The comparative analysis of antioxidant capacity (ABTS) in grade-out cape gooseberry was affected by pretreatment with mild osmotic hydrostatic methods and drying temperatures of 50, 60, and 70 °C. Lowercase letters (a–f) show significant differences within pretreatment groups; uppercase letters (A,B) show differences between groups at each drying temperature (p < 0.05, Tukey’s HSD).
Figure 11.
The comparative analysis of antioxidant capacity (DPPH) in cape gooseberry was affected by pretreatment with mild osmotic hydrostatic methods and drying temperatures of 50, 60, and 70 °C, respectively. Lowercase letters (a–d) show significant differences within pretreatment groups; uppercase letters (A,B) show differences between groups at each drying temperature (p < 0.05, Tukey’s HSD).
3.5. Analysis of Drying Costs
The study demonstrated that the combination of mild hydrostatic osmotic pretreatment and rotary tray drying is technically feasible and economically viable for processing grade-out cape gooseberry in highland agricultural settings. The experiment was conducted under real operating conditions at the Mae Hae Royal Project Development Center, Chiang Mai Province, Thailand, using 1500 kg of grade-out fruit as input. Grade-out cape gooseberries meeting the quality criteria were purchased at a price of 2.5 USD per kilogram, while undersized fruits (below 2.5 cm in diameter) were categorized as substandard but still marketable and acquired at a lower price of 0.5 USD per kilogram. Fruits exhibiting visible mold growth on the calyx or skin fissures were considered unacceptable for fresh market consumption. Grade-out cape gooseberries were defined as those not conforming to the fresh quality control standards established by the Mae Hae Royal Project Development Center due to apparent external imperfections.
After sorting and trimming, 1260 kg of usable fruit remained, and a total of 220 kg of dried product with 0.1962 ± 0.0189 to 0.2348 ± 0.0215 g water/g DM was obtained after 20 processing cycles. The application of mild hydrostatic pressure during osmotic dehydration enhanced mass transfer and contributed to shorter drying times, thereby improving overall energy efficiency. The rotary tray dryer, developed through local appropriate technology initiatives, proved suitable for decentralized operations due to its consistent heat distribution, low maintenance requirements, and ease of use. The process relied on five laborers per batch (two for pretreatment and three for drying and packaging), all compensated at USD 1.00 per hour.
Table 3 summarizes the cost components associated with the pilot-scale production of dried grade-out cape gooseberry using mild hydrostatic osmotic pretreatment and rotary tray drying. The total processing cost was calculated at USD 1510.50, or USD 6.93 per kilogram of final product. This included raw material, labor, electricity, fuel gas, equipment maintenance, and depreciation. The depreciation cost of the dryer was estimated at USD 148 for the trial, based on 0.1% per cycle. With an estimated wholesale price of USD 12 per kilogram, the gross margin was approximately USD 5.07 per kilogram, indicating strong potential for community-scale value addition. The system employed in this study offers a more affordable and accessible alternative, balancing cost-effectiveness with product quality and local adaptability.
Table 3.
Cost components of processing grade-out cape gooseberry with mild hydrostatic osmotic pretreatment using rotary tray dryer.
Based on the grade-out cape gooseberry yield data of 12,000 kg in 2025, this research estimates that the yield is equivalent to 8 production cycles. This estimation is derived from the calculated amount of dried grade-out cape gooseberry, which is equal to 1760 kg. Investing in a mild hydrostatic osmotic pretreatment system worth USD 3000 would result in a profit of USD 8870 for farmers. The calculation of the payback period (BP) is shown in Equation (6) as follows:
where I is the initial capital outlay, and C is the net cash inflow received annually.
This indicates that the investment in the mild hydrostatic osmotic pretreatment system can be recovered within approximately 0.34 years, demonstrating its economic viability for farmers. Beyond technical and economic performance, the processing approach also contributes to sustainability goals. Utilizing grade-out fruit reduces postharvest losses and supports food waste valorization, aligning with Sustainable Development Goal 12: Responsible Consumption and Production. The increased energy efficiency from osmotic pretreatment also supports environmental resource conservation. Moreover, the adoption of locally developed drying technology empowers smallholder farmers by improving access to processing solutions, supporting local livelihoods, and fostering inclusive rural development [47]. Despite its promising outcomes, this study does not include costs related to packaging, distribution, or product certification. These factors should be addressed in future research to provide a more comprehensive understanding of economic feasibility. Long-term assessments of system scalability, durability, and supply chain integration are also recommended to strengthen the applicability of this model for broader implementation in highland agriculture.
4. Discussion
This study, conducted under real-world conditions at the Mae Hae Royal Project Development Center in Chiang Mai, Thailand, demonstrates the feasibility of using appropriate technologies to valorize food waste, particularly in the context of smallholder farming. Mild hydrostatic osmotic pretreatment at 0.5 bar for 12 h significantly reduced the drying time by promoting water loss and solid gain, lowering initial moisture content before hot-air drying. The osmotic solution of sucrose, citric acid, and glycerin diffused into the fruit, inducing osmotic pressure and micro-pore formation, enhancing mass transfer and moisture migration during drying.
Drying at 60 °C using a rotary tray dryer maintained superior color (CIE Lab*), retained bioactive compounds (vitamin C, phenolics, antioxidants), and suppressed non-enzymatic browning. Citric acid and glycerin in the osmotic solution inhibited pigment degradation and enhanced nutritional quality. Cost analysis from a 1500 kg production trial confirmed economic viability, with a total cost of USD 6.93/kg and projected retail price of USD 15/kg, indicating favorable profit margins for highland farming systems. This supports transforming food waste into high-value products, aligning with the Royal Project Foundation’s sustainability goals. Additional research is recommended concerning textural and sensory properties, microbial safety, shelf-life, and a comprehensive cost-benefit analysis to improve the product for broader commercial acceptance under nationally recognized brands. This research demonstrates the technical viability and economic potential of mild hydrostatic osmotic pretreatment in conjunction with rotary tray drying for the valorization of grade-out cape gooseberry in highland agriculture. This model, when properly scaled and integrated into community-based processing centers, can enable the value-added transformation of up to 150 metric tons of grade-out cape gooseberry each year. The initiative presents a feasible strategy for improving smallholder incomes, reducing postharvest waste, and expanding access to premium dried fruit markets, all within the context of the Royal Project Foundation, which includes over 200,000 farmers in the highlands as members [48].
5. Conclusions
This research validated the technical and economic feasibility of mild hydrostatic osmotic pretreatment followed by rotary tray drying for upgrading grade-out cape gooseberry in highland agriculture. Pretreatment at 0.5 bar for 12 h enhanced mass transfer, reduced drying time by 35%, and maintained color (L* = 36.29 ± 4.87, a* = 13.37 ± 0.59, b* = 24.18 ± 4.29, ΔE = 13.54 ± 1.81), vitamin C (71.76 ± 2.57 mg/100 g), phenolics (202.9 ± 10.91 mg GAE/100 g), and antioxidants (ABTS: 95.87 ± 3.41 µmol TE/g, DPPH: 89.97 ± 1.27 µmol TE/g). A 1500 kg production trial at the Mae Hae Royal Project Development Center yielded 220 kg of premium dried cape gooseberry at USD 6.93/kg cost and USD 15/kg projected retail price. Local farmers successfully implemented the process, demonstrating its suitability for smallholders. The findings support subgrade fruit utilization, commercial applications, and sustainable highland development, aligning with SDG 12. Efficient adoption by farmers shows the model’s potential to improve livelihoods within the Royal Project Foundation’s sustainable agriculture initiatives.
6. Patents
The rotary tray dryer employed in this study is a patented invention (patent no. 18896) developed as part of the “Drying Process Development of Chamomile, Chrysanthemum, and Herb for the Sa-Ngo Royal Project Development Center Phase 2” project (CRP6205012320), which received funding from the Agricultural Research Development Agency (Public Organization).
Funding
This study was conducted under the projects “Amplification of Rotation Dryer for Processing Agricultural Products: A Case Study of the Development Royal Project (PRP6607031340)”, funded by the Agricultural Research Development Agency (Public Organization), Thailand.
Data Availability Statement
The data that support the findings of this study are available from the corresponding author upon reasonable request.
Acknowledgments
The author would like to thank Mae Hae Royal Project Development Center, Chiang Mai, Thailand, for supplying 1500 kg cape gooseberries and to helped facilitate the research project.
Conflicts of Interest
The author declares no conflicts of interest.
References
- Muñoz, P.; Parra, F.; Simirgiotis, M.J.; Sepúlveda Chavera, G.F.; Parra, C. Chemical Characterization, Nutritional and Bioactive Properties of Physalis peruviana Fruit from High Areas of the Atacama Desert. Foods 2021, 10, 2699. [Google Scholar] [CrossRef] [PubMed]
- Monroy-Velandia, D.; Coy-Barrera, E. Effect of Salt Stress on Growth and Metabolite Profiles of Cape Gooseberry (Physalis peruviana L.) along Three Growth Stages. Molecules 2021, 26, 2756. [Google Scholar] [CrossRef]
- Gómez Racines, L.; Buitrago Vera, J.M. Export of Organic Cape Gooseberry (Physalis peruviana) as an Alternative Illicit Crop Substitution: Survey of Consumers in Namur, Belgium. Sustainability 2023, 15, 16604. [Google Scholar] [CrossRef]
- Bhaktikul, K.; Aroonsrimorakot, S.; Laiphrakpam, M. Sustainable Low-Carbon Community Development: A Study Based on a Royal Project for Highland Community Development in Thailand. J. Community Dev. Res. (Humanit. Soc. Sci.) 2021, 14, 14–28. [Google Scholar]
- Nosten, M. Rotational Farming by the Karen People and Its Role in Livelihood Adaptive Capacity and Biocultural Conservation: A Case Study of Upland Community Forestry in Thailand. Ph.D. Thesis, University of British Columbia, Vancouver, BC, Canada, 2024. [Google Scholar]
- Assawarachan, R. Rotary Tray Hot-Air Dryer with Two-Stage Temperature Control System. Thai Petty Patent No. 18896, 2020, 14 December 2021. [Google Scholar]
- Ahmed, M.; Hasan, M.; Islam, M.N. Effect of osmotic dehydration pretreatment on drying kinetics and quality characteristics of fruits and vegetables: A review. J. Food Process. Preserv. 2021, 45, e15434. [Google Scholar] [CrossRef]
- Kumar, V.; Singh, J.; Kumar, R.; Sunil; Chaudhary, V.; Singh, B. Effect of Drying Methods and Pretreatments on Dehydration and Rehydration Characteristics of Osmo-Dried Papaya Slices; Hind Agricultural Research and Training Institute: Meerut, India, 2025; Available online: https://www.cabidigitallibrary.org/doi/pdf/10.5555/20219982832 (accessed on 4 June 2025).
- Kroehnke, J.; Szadzińska, J.; Radziejewska-Kubzdela, E.; Biegańska-Marecik, R.; Musielak, G.; Mierzwa, D. Osmotic Dehydration and Convective Drying of Kiwifruit (Actinidia deliciosa)—The Influence of Ultrasound on Process Kinetics and Product Quality. Ultrason. Sonochem. 2021, 71, 105377. [Google Scholar] [CrossRef]
- Ahamad, S.; Sagar, V.R.; Asrey, R.; Islam, S.; Tomar, B.S.; Vinod, B.R.; Kumar, A. Nutritional Retention and Browning Minimisation in Dehydrated Onion Slices through Potassium Metabisulphite and Sodium Chloride Pre-Treatments. Int. J. Food Sci. Technol. 2024, 59, 5794–5805. [Google Scholar] [CrossRef]
- Luechai, N.; Khamsuk, T.; Aramkhiphai, S.; Keadsak, P.; Lungjitang, N. Effect of Temperature on Quality Change of Drying Cape Gooseberry (Physalis peruviana Linn.). Unpublished. Undergraduate Thesis, Bachelor of Engineering Program in Smart Farm and Agricultural Innovation. School of Renewable Energy, Maejo University, Chiang Mai, Thailand, 2025; p. 66. [Google Scholar]
- Bhat, T.A.; Rather, A.H.; Hussain, S.Z.; Naseer, B.; Qadri, T.; Nazir, N. Efficacy of Ascorbic Acid, Citric Acid, Ethylenediaminetetraacetic Acid, and 4-Hexylresorcinol as Inhibitors of Enzymatic Browning in Osmo-Dehydrated Fresh Cut Kiwis. J. Food Meas. Charact. 2021, 15, 4354–4370. [Google Scholar] [CrossRef]
- AOAC International. Official Method 920.151: Solids (Total) in Fruits and Fruit Products. In Official Methods of Analysis of AOAC International, 21st ed.; AOAC International: Gaithersburg, MD, USA, 2019. [Google Scholar]
- Torreggiani, D.; Bertolo, G. Osmotic Pre-Treatments in Fruit Processing: Chemical, Physical and Structural Effects. J. Food Eng. 2001, 49, 247–253. [Google Scholar] [CrossRef]
- AOAC International. Official Method 967.21: Ascorbic Acid in Vitamin Preparations and Juices. In Official Methods of Analysis of AOAC International, 21st ed.; AOAC International: Gaithersburg, MD, USA, 2023. [Google Scholar]
- Osorio-Arias, J.; Delgado-Arias, S.; Cano, L.; Zapata, S.; Quintero, M.; Nuñez, H.; Ramírez, C.; Simpson, R.; Vega-Castro, O. Sustainable Management and Valorization of Spent Coffee Grounds through the Optimization of Thin Layer Hot Air-Drying Process. Waste Biomass Valorization 2019, 11, 5015–5026. [Google Scholar] [CrossRef]
- Ignat, I.; Volf, I.; Popa, V.I. A Critical Review of Methods for Characterization of Polyphenolic Compounds in Fruits and Vegetables. Food Chem. 2011, 126, 1821–1835. [Google Scholar] [CrossRef] [PubMed]
- TIS 919–2532; Dried Fruit Products. Thai Industrial Standards Institute: Bangkok, Thailand, 1989. Available online: https://fic.nfi.or.th/law/upload/file1/TH_358.pdf (accessed on 20 May 2025).
- Santana, P.A.; de Carvalho Lopes, D.; Neto, A.J.S. Economic Analysis of Low-Temperature Grain Drying. Emir. J. Food Agric. 2019, 31, 930–936. [Google Scholar] [CrossRef]
- Pise, V.H. Techno-Economic Evaluation for Cost-Effective Drying of Different Fruit Products. In Dried Fruit Products; CRC Press: Boca Raton, FL, USA, 2024; pp. 206–233. [Google Scholar]
- Goula, A.M.; Adamopoulos, K.G.; Chatzitakis, P.C.; Nikas, V.A. Prediction of lycopene degradation during a drying process of tomato pulp. J. Food Eng. 2006, 74, 37–46. [Google Scholar] [CrossRef]
- Garcia-Noguera, J.; Oliveira, F.I.P.; Gallão, M.I.; Weller, C.L.; Rodrigues, S.; Fernandes, F.A.N. Ultrasound-Assisted Osmotic Dehydration of Strawberries: Effect of Pretreatment Time and Ultrasonic Frequency. Dry. Technol. 2010, 28, 294–303. [Google Scholar] [CrossRef]
- Shi, J.; Le Maguer, M. Osmotic Dehydration of Foods: Mass Transfer and Modeling Aspects. Food Rev. Int. 2002, 18, 305–335. [Google Scholar] [CrossRef]
- Nowacka, M.; Tylewicz, U.; Laghi, L.; Dalla Rosa, M.; Witrowa-Rajchert, D. Effect of Ultrasound Treatment on the Water State in Kiwifruit during Osmotic Dehydration. Food Chem. 2014, 144, 18–25. [Google Scholar] [CrossRef]
- Yulni, T.; Agusta, W.; Jayanegara, A.; Alfa, M.N.; Hartono, L.K.; Mariastuty, T.E.P.; Lintang, M.M.J. Unveiling the Influence of Osmotic Pretreatment on Dried Fruit Characteristics: A Meta-Analysis Approach. Prev. Nutr. Food Sci. 2024, 29, 178–189. [Google Scholar] [CrossRef]
- Nudar, J.; Roy, M.; Ahmed, S. Combined osmotic pretreatment and hot air drying: Evaluation of drying kinetics and quality parameters of adajamir (Citrus assamensis). Heliyon 2023, 9, e19545. [Google Scholar] [CrossRef]
- Boateng, I.D. Thermal and Nonthermal Assisted Drying of Fruits and Vegetables: Underlying Principles and Role in Physicochemical Properties and Product Quality. Food Eng. Rev. 2023, 15, 113–155. [Google Scholar] [CrossRef]
- Araújo, A.L.D.; Pena, R.D.S. Combined Pulsed Vacuum Osmotic Dehydration and Convective Air-Drying Process of Jambolan Fruits. Foods 2023, 12, 1785. [Google Scholar] [CrossRef]
- Jin, W.; Zhang, M.; Sun, Q.; Mujumdar, A.S.; Yu, D. Effects of Ultrasonic-Assisted Osmotic Pretreatment on Convective Air-Drying Assisted Radio Frequency Drying of Apple Slices. Dry. Technol. 2025, 43, 467–482. [Google Scholar] [CrossRef]
- Leelapattana, W.; Assawarachan, R. Enhancing technology transfer and innovation for processing of dried yellow chrysanthemum (Chrysanthemum indicum) flowers: A case study of the Mae Wang Lao Community Enterprise Group, Chiang Rai Province. J. Food Process. Preserv. 2025, 2025, 3541701. [Google Scholar] [CrossRef]
- Osae, R.; Adjonu, R.; Apaliya, M.T.; Engmann, F.N.; Owusu-Ansah, P.; Fauzia, A.S.; Alolga, R.N. Freeze-Thawing and Osmotic Dehydration Pretreatments on Physicochemical Properties and Quality of Orange-Fleshed Sweet Potato Slice during Hot Air Drying. Food Chem. Adv. 2024, 5, 100843. [Google Scholar] [CrossRef]
- Torres, J.A.; Abdel-Kader, A.Y.; Karel, M. Osmotic dehydration of fruits: Mass transfer and quality. In Handbook of Food Preservation; CRC Press: Boca Raton, FL, USA, 2006; pp. 447–469. [Google Scholar]
- Mayor, L.; Sereno, A.M. Modelling Shrinkage during Convective Drying of Food Materials: A Review. J. Food Eng. 2004, 61, 373–386. [Google Scholar] [CrossRef]
- Norouzi, S.; Orsat, V.; Yeasmen, N.; Dumont, M.J. Osmotic Dehydration of Waxy Skinned Berries—A Review. Dry. Technol. 2024, 42, 1270–1294. [Google Scholar] [CrossRef]
- Huerta-Vera, K.; Flores-Andrade, E.; Contreras-Oliva, A.; Villegas-Monter, Á.; Chavez-Franco, S.; Arévalo-Galarza, M. Incorporation of Bioactive Compounds in Fruit and Vegetable Products through Osmotic Dehydration: A Review. Rev. Mex. Cienc. Agríc. 2023, 14, 8. [Google Scholar] [CrossRef]
- Pathare, P.B.; Opara, U.L.; Al-Said, F.A.J. Colour measurement and analysis in fresh and processed foods: A review. Food Bioprocess Technol. 2013, 6, 36–60. [Google Scholar] [CrossRef]
- Clydesdale, F.M. Color as a factor in food choice. Crit. Rev. Food Sci. Nutr. 1993, 33, 83–101. [Google Scholar] [CrossRef]
- Valente, A.; Albuquerque, T.G.; Sanches-Silva, A.; Costa, H.S. Ascorbic Acid Content in Exotic Fruits: A Contribution to Produce Quality Data for Food Composition Databases. Food Res. Int. 2011, 44, 2237–2242. [Google Scholar] [CrossRef]
- Avendaño, W.A.; Muñoz, H.F.; Leal, L.J.; Deaquiz, Y.A.; Castellanos, D.A. Physicochemical characterization of cape gooseberry (Physalis peruviana L.) fruits ecotype Colombia during preharvest development and growth. J. Food Sci. 2022, 87, 2583–2598. [Google Scholar] [CrossRef]
- Mousa, E.A.; Ali, M.I.K.; Hassan, N.A.; Elbassiony, K.R. Effect of Osmo-Dehydration and Gamma Irradiation on Nutritional Characteristics of Dried Fruit. Egypt. J. Food Sci. 2024, 52, 1. [Google Scholar] [CrossRef]
- Haneef, N.; Hanif, N.; Hanif, T.; Raghavan, V.; Garièpy, Y.; Wang, J. Food fortification potential of osmotic dehydration and the impact of osmo-combined techniques on bioactive component saturation in fruits and vegetables. Braz. J. Food Technol. 2024, 27, e2023028. [Google Scholar] [CrossRef]
- Ladika, G.; Tsiaka, T.; Stavropoulou, N.A.; Strati, I.F.; Sinanoglou, V.J. Enhancing the Nutritional Value and Preservation Quality of Strawberries through an Optimized Osmotic Dehydration Process. Appl. Sci. 2024, 14, 9211. [Google Scholar] [CrossRef]
- Li, T.; Shen, P.; Liu, W.; Liu, C.; Liang, R.; Yan, N.; Chen, J. Major Polyphenolics in Pineapple Peels and Their Antioxidant Interactions. Int. J. Biol. Macromol. 2018, 121, 238–247. [Google Scholar] [CrossRef]
- Agudelo-Sánchez, S.; Mosquera-Palacios, Y.; David-Úsuga, D.; Cartagena-Montoya, S.; Duarte-Correa, Y. Effect of processing methods on the postharvest quality of cape gooseberry (Physalis peruviana L.). Horticulturae 2023, 9, 1158. [Google Scholar] [CrossRef]
- Gallon Bedoya, M.; Cortes Rodriguez, M.; Gil, J.H. Physicochemical stability of colloidal systems using the cape gooseberry, strawberry, and blackberry for spray drying. J. Food Process. Preserv. 2020, 44, e14705. [Google Scholar] [CrossRef]
- Rinaldi, B.J.D.; Montanher, P.F.; Johann, G. Brewing of craft beer enriched with freeze-dried cape gooseberry: A promising source of antioxidants. Braz. J. Food Technol. 2022, 25, e2022019. [Google Scholar] [CrossRef]
- Pretty, J. Agricultural sustainability: Concepts, principles and evidence. Philos. Trans. R Soc. B Biol. Sci. 2008, 363, 447–465. [Google Scholar] [CrossRef]
- Royal Project Foundation. Official Letter Requesting Permission to Propose a Project to the Royal Project Foundation; (Doc. No. ล.02/1251/2566); Royal Project Foundation: Chiang Mai, Thailand, 2023. [Google Scholar]
Disclaimer/Publisher’s Note: The statements, opinions and data contained in all publications are solely those of the individual author(s) and contributor(s) and not of MDPI and/or the editor(s). MDPI and/or the editor(s) disclaim responsibility for any injury to people or property resulting from any ideas, methods, instructions or products referred to in the content. |
© 2025 by the author. Licensee MDPI, Basel, Switzerland. This article is an open access article distributed under the terms and conditions of the Creative Commons Attribution (CC BY) license (https://creativecommons.org/licenses/by/4.0/).










