Next Article in Journal
Closed-Loop Solar Tracking Control Strategy to Correct Drift in a CPV System Using Image Processing
Previous Article in Journal
Modeling and Optimization of p-Benzoquinone Degradation via Flow-By Electro-Oxidation on Boron-Doped Diamond Electrodes
 
 
Font Type:
Arial Georgia Verdana
Font Size:
Aa Aa Aa
Line Spacing:
Column Width:
Background:
Article

Use of Reconstructed Pore Networks for Determination of Effective Transport Parameters of Commercial Ti-Felt PTLs

by
Haashir Altaf
1,2,*,
Tamara Miličic
1,2,
Felix Faber
1,
Tanja Vidaković-Koch
2,
Evangelos Tsotsas
1 and
Nicole Vorhauer-Huget
1,*
1
Institute of Process Engineering, Otto von Guericke University, 39106 Magdeburg, Germany
2
Max Planck Institute for Dynamics of Complex Technical Systems, 39106 Magdeburg, Germany
*
Authors to whom correspondence should be addressed.
Processes 2025, 13(4), 943; https://doi.org/10.3390/pr13040943
Submission received: 20 February 2025 / Revised: 14 March 2025 / Accepted: 18 March 2025 / Published: 22 March 2025
(This article belongs to the Section Particle Processes)

Abstract

The efficiency of an electrolyzer is significantly influenced by mass, heat, and charge transport within its porous transport layer (PTL). The infeasibility of measuring them in-situ makes it challenging to study their influence experimentally, leading to the adoption of various modeling approaches. This study applies pore network (PN) modeling to investigate mass transport properties and capillary invasion behavior in three commercial titanium felt PTLs commonly used in proton exchange membrane water electrolyzers (PEMWEs). One PTL has a graded structure. Reconstructed PNs were derived from microcomputed X-ray tomography (µ-CT) data, allowing for a detailed analysis of pore size distributions, absolute and relative permeabilities, capillary pressure curves, and residual liquid saturations. The results from the PN approach are compared to literature correlations. The absolute permeability of all PTLs is between 1.1 × 10−10 m2 and 1.5 × 10−10 m2, with good agreement between PNM results and predictions from the Jackson and James model and the Tomadakis and Sotirchos model, the two latter involving the fiber diameter as a model parameter. The graded PTL, with fiber diameters varying between 25 µm and 40 µm, showed the best agreement with literature correlations. However, the capillary pressure curves exhibited significant deviations from the Leverett and Brooks–Corey equations at low and high liquid saturations, emphasizing the limitations of these correlations. In addition, residual liquid saturation varied strongly with PTL structure. The thicker PTL with a slightly narrower pore size distribution, demonstrated a lower residual liquid saturation (19%) and a more homogeneous invasion compared to the graded PTL (64%), which exhibited significant gas fingering. The results suggest that higher gas saturation could enhance gas removal, with much higher relative permeabilities, despite the greater PTL thickness. In contrast, the graded PTL achieves the highest relative liquid permeability (~70%) while maintaining a relative gas permeability of ~30%. These findings highlight the impact of microstructure on invasion and transport properties and suggest PN modeling as a powerful tool for their study.

1. Introduction

Porous materials play a pivotal role in numerous scientific and engineering disciplines [1,2], involving also the porous transport layers (PTLs) [3,4] commonly used in Polymer Electrolyte Membrane Water Electrolysis (PEMWE), which is increasingly recognized for clean hydrogen production. The PTL’s function within the electrolyzer is critical, as it facilitates various mutual transport phenomena. These include the conveyance of fluids to and from the catalyst layer [5,6], heat transport, and electron transfer from the catalyst layer. Should the mass transport through the PTL be hindered, oxygen produced during the process may accumulate within the catalyst layer, obstructing water access to the catalyst’s reactive sites. This blockage can lead to mass transport losses, which notably diminish the system’s efficiency, especially at higher current densities [5,6,7]. On the other hand, water starvation degrades heat transfer with the risk of material degradation or membrane dehydration. Given the crucial role of the PTL in mass transport, a special focus is on the influence of microstructure on mass transport losses with the aim of overcoming existing limitations. For this purpose, various different designs were proposed in the past, including thinner PTLs and graded structures.
Direct experimental determination of mass transport losses within the PTL can be complex, expensive, or sometimes impossible. Therefore, spatially resolved mathematical models are usually applied for predicting mass transport losses in electrolyzers [8,9,10]. However, these models rely on effective transport parameters, like permeability, or capillary pressure curves and saturation profiles, which are also difficult to obtain experimentally. This issue is particularly pronounced in commercial titanium (Ti)-felt PTLs characterized by high porosity, where either only scarce or no data are currently available. For example, in Zinser et al. [11], PTL porosity greater than 60% has been recommended for optimal mass transport, highlighting the urgent need for reliable mass transfer coefficients and invasion properties also for these applications. Such PTLs from Zinser et al. [11], with high porosity, have up to date only rarely been investigated in the literature and hence there is a lack of available data.
Different theoretical [12,13,14,15], as well as experimental [16,17,18,19] studies, provide permeability values of PTLs or correlations to calculate permeability for fibrous materials. However, they are either for simpler geometries or lower porosities than recommended for commercial Ti-felt PTLs used for high current density operations. For example, one of the most broadly used permeability correlations is the Kozeny–Carman equation [13]. However, it is not readily applicable for complex geometries such as fibrous PTLs due to the uncertainty of involved constants. The Jackson and James model (JJM) [12,14] instead is frequently applied to fibrous porous media. It involves the porosity of the fibrous domain and the fiber diameter as the only two parameters to be determined. Such parameters are relatively easily accessible, e.g., by established imaging techniques. An almost linear relationship of permeability with porosity is generally found for porosities between 70 and 90%, which might oversimplify the actual situations. The Tomadakis and Sotirchos model (TSM) [13,20] has therefore been proposed as a further development of JJM and it is typically used for random fiber structures. Besides porosity and fiber diameter, Tomadakis and Sotirchos introduced the percolation threshold of the structure and a fitting parameter α, both provided in [13,20] for different fiber configurations and flow directions. For horizontal fiber orientation and through-plane direction, the percolation threshold is εp = 0.11 and α = 0.785 [11].
Additionally, accurate modeling of two-phase flow in PTLs necessitates information on capillary pressures. To date, correlations such as the Leverett equation (LE) [21] and the Brooks–Corey [22] equation (BCE) have been predominantly utilized [23]. Interestingly, although these correlations have been widely applied in the modeling of two-phase phenomena in fuel cells, their origins trace back to the study of porous media in geology and applicability to fibrous porous media could therefore be questioned.
Independent of the specific application, the accurate prediction of transport properties in porous media relies heavily on the knowledge of the porous structure, which is commonly extracted by imaging techniques [14]. For example, microcomputed X-ray imaging is able to capture the skeleton structure and voids within the porous material [24]. Once a 3D image stack is obtained, it goes through an image processing workflow after which it can be used to run simulations directly within the structure [14]. The challenge in such techniques is the availability of computational power, which puts a limit on the domain size to be investigated. For example, solving the Navier–Stokes equation using computational fluid dynamics (CFD) [24] with just a few hundred pores can be very computationally intensive and also time-consuming. While the achievable accuracy through such simulations can be quite good, it puts a limit on the domain size being used, thereby potentially underestimating the statistical behavior. On the contrary, techniques like pore network modeling (PNM) demand much less computational power due to the simplification of structure [25]. While CFD models simulate the fluid flow through the entire geometry of a porous material, considering the detailed pore structure and fluid dynamics, PNMs rely on a discretized network of pores and throats. This discretization relies mostly on a simplification of the actual pore morphology by spherical and cylindrical geometries, representing the original porous domain in the reconstructed pore network (PN). As a result, PNMs might underestimate intricate flow patterns, especially in the case of turbulence flow, which CFD would capture more accurately. The PNM approach can therefore be regarded as a compromise between accuracy and computational efficiency [26].
In available studies using PNM for predicting transport properties, idealized 2D or 3D PNs [25,27] are often used. Such networks are realized with a cubic arrangement of pores and throats. The computational effort and time for such networks are generally low and they have been experimentally validated [28]. However, the match of transport properties to reconstructed porous domains is lacking. For example, in the case of fibrous materials, the coordination numbers can be very high [14] and the idealized networks may not be conceptually suitable for such applications. Recently, the applicability of regular 2D/3D PNM to more realistic porous networks has been demonstrated in several publications, where some uncertainties of this approach have also been addressed [29].
Wang et al. [30] studied fibrous materials and the effect of geometric properties on the extracted PNs. Their results yielded that—in spite of the geometric representation with spheres and cylinders—their reconstructed PN is a good approximation of surface area and volume of pore space. In another recent study of fibrous porous media, Huang et al. [31] validated PNMs using LBM (Lattice Boltzmann Model) simulations. They used different methods to extract pore sizes from images and approximated the structure by inscribed maximal-ball or area-equivalent radius and a shape factor. They compared the PNM simulation results with LBM in terms of relative permeability of the non-wetting phase and found a very good agreement when they employed the Mayer, Stowe, and Princen method [31] to calculate the entry capillary pressure for their fibrous structures. Dong et al. [32] argued that the shape factor can play a role in defining complex geometries. These authors used cylindrical capillaries in their PNM, but together with a dimensionless factor equivalent to the ratio of cross-sectional area to the square of the perimeter to account for the irregularities, which was previously introduced by Mason et al. [33] and Oren et al. [34]. However, their study focused on different porous media unlike the fibrous material studied here.
In this study, we demonstrate how reconstructed porous domains obtained by X-ray tomography scans can be used to estimate local saturation with gas and liquid phase, residual liquid saturation, capillary pressure curves, and permeability of commercial Ti-felt PTLs. The pore-scale simulation results are compared to LE and BCE for the capillary pressure curve and to JJM and TSM for absolute permeability. The comparison of PNM results with literature correlations highlights the practical advantages of PNM, as it provides more accurate predictions due to the consideration of the exact local pore structure, unlike the commonly applied empirical approaches that originate from different applications with other geometrical peculiarities. The results can be useful for parameterization of continuum models with more accurate transport properties.
The realistic PTL-PNM is additionally used for the determination of the residual liquid saturation, as well as relative permeabilities, which are key parameters of mass transfer models, such as, e.g., presented in Nasta et al. [35]. By analyzing these transport parameters, we explore the role of the PTL microstructure in facilitating gas removal and water supply. Building on these results, recommendations are made regarding tailoring the design of PTLs to achieve distinct properties.

2. Materials and Methods

2.1. Commercial PTLs Investigated in This Study

We investigate commercial Ti-felt PTLs with high porosities that are commonly used in PEMWEs (Table 1). The three selected PTLs have a similar porosity. The two PTLs from NV Bekaert SA (Zwevegem, Belgium) have different thicknesses (PTL2 and PTL3) and the PTL from Sylatech GmbH (Walzbachtal, Germany) has a graded pore structure (PTL1 in Table 1).
It is important to highlight that due to the manufacturing process of Ti-felt PTLs, the structures exhibit usually a strong anisotropy. In this study, we consider only the mass transfer perpendicular to the fiber orientation (Figure 1), i.e., analog to the conditions inside an actually operating PEMWE.

2.2. Determination of PTL Morphology

2.2.1. X-Ray Microcomputed Tomography

Microcomputed X-ray tomography (µ-CT) was used for the determination of porosity and pore size distribution of the individual PTLs. PTL1 was previously used in electrochemical experiments and was therefore compressed to a thickness of 0.85 mm. µ-CT imaging was selected because of the great difference between the attenuation coefficients of air (inside void space) and Ti-fibers [36], as well as the good relation between the size of the micro-structures and the resolution. The measurements were performed using a CT-Alpha from ProCon X-ray GmbH (Sarstedt, Germany). A resolution of 3.9 µm per voxel was obtained with sample sizes of 5.4 × 5.0 × 0.85 mm3 (PTL1), 5.4 × 5.0 × 0.5 mm3 (PTL2, Figure 2), and 5.4 × 5.0 × 1.0 mm3 (PTL3). The acceleration voltage was 50 kV, the current 160 μA, the exposure time 2000 ms, and the number of projections 1200. The image reconstruction was done using Volex (Fraunhofer ISS, Fürth, Germany).

2.2.2. Pore Network Reconstruction from Image Data

Image processing of the reconstructed domains was performed in ImageJ 2.1051 (plugins MorphoLibJ [37] and BoneJ), Matlab R2020b, and Geodict (Math2Market GmbH, Kaiserslautern, Germany; Module: FlowDict).
The porosities were determined from the binarized images using Otsu thresholding for binarization. Determination of the pore size distribution required the segmentation of the void space into individual pores. This procedure included the application of Euclidean distance transformation, Gaussian blur filter, and watershed segmentation [14,38] (Figure 3).
Masking of the watershed image in Figure 3c with the original binary image from Figure 3a resulted in the final segmented image. A unique integer value (also denoted as label) was assigned to each region in order to convert the µ-CT scan into a PN. The watershed markers were used for the identification of the pore centers. The pore sizes were approximated by inscribed balls [14], i.e., by the radius of the largest sphere that fits into a pore at its center. As a consequence of the strongly heterogeneous pore structure, the inserted balls did not perfectly cover the overall pore volume. Instead, a significant residual pore volume remained unoccupied after this step. The residual volume was compensated by the integration of cylinders (i.e., sticks) (Figure 4a). The half stick width, rt, was calculated by the contact area between two watershed regions, and the stick length, Lt, was defined by subtracting pore radii from the distance L between two corresponding pores. This yielded finally a ball-and-stick network with similar (invasion) cross sections and thus capillarity as the original domain (Figure 4b). In the following, the balls are denoted as pores and the sticks as throats. The pore-throat-network structure (including information about neighboring elements) was finally created using the basic concept from various previous studies [32,39,40].
Information about the reconstructed pore networks is summarized in Table 2.
The porosities, pore size distributions, throat size, and length distributions of the three investigated PTLs are summarized in Figure 5. The porosity values are slightly smaller than the producer values given in Table 1. This is most probably explained by small uncertainties in both binarization and experimental procedures applied by the producers (not specified) [41]. For this reason, we scrutinized the porosity of PTL1 additionally by Helium pycnometry (GeoPyc 1360 from Micromeritics Instruments Corporation, Norcross, GA, USA), obtaining a value of 74%; and alternatively, with GeoDict (commercial image processing tool), obtaining 74.8%. Both values agree very well with the result from our in-house image processing tool for PTL1.
The overall volume of pores and throats and the porosity were used to validate the pore-throat segmentation of the void space. The resulting porosities for PTL1, PTL2, and PTL3 are 73.7%, 67.4%, and 71.6%, respectively. This shows a very good agreement for PTL1 and PTL3, with a binarized porosity of 74% and 72% (Figure 5), and highlights the efficiency of the simple structure approximation approach. The difference of 5.6% in the porosity of PTL2 is possibly due to the lower coordination number (8) compared to the other two PTLs, and hence, resulting in fewer possibilities to allocate the residual pore volume to throats. Here, other concepts, such as those introduced in the work of Faber et al. [42], could yield a higher accuracy.
Moreover, the fiber diameter for all PTLs was analyzed using the BoneJ plugin in ImageJ. The average values are: df,PTL1 = 29.7 µm, df,PTL2 = 23.4 µm, and df,PTL3 = 21.5 µm. The maximum values are: df,PTL1 = 74.1 µm, df,PTL2 = 64.0 µm, and df,PTL3 = 52.3 µm. The minimum diameter for all PTLs is 7.8 µm, i.e., 2 voxels. This corresponds to a minimum radius of 1 voxel or 3.9 µm, which is not necessarily the actual minimum fiber size, but rather the smallest measurable unit imposed by the resolution and the BoneJ algorithm. To detect smaller variations, a higher-resolution scan (e.g., 2 microns per voxel) would be needed. As expected, PTL1 yields the highest variation of fiber diameters (roughly in the range of the absolute values given in Table 1). However, the determined fiber diameters, unlike the ones provided by the suppliers (Table 1), are not uniform. These deviations could contribute to the observed differences in porosity compared to the supplier’s reported values. The size variations are emphasized at this point as a basis for the below discussion of results (especially found for permeability).
The smallest inscribed ball radius measured by the MorphoLibJ plugin is 14.3 µm (3.67 voxels) for all PTLs, given a resolution of 3.9 µm per voxel. This suggests that the algorithm or measurement tool in MorphoLibJ should be able to resolve all pores. The minimum throat radius for all PTLs, calculated in MATLAB from the interfacial area and the corresponding equivalent radius, derived from two watershed regions, is 2.2 µm. This corresponds to a diameter of 4.4 µm, approximately equal to a resolution of 3.9 µm (voxel), which represents the smallest measurable diameter. To detect much smaller elements and reduce the lower bounds, higher resolution imaging would be required. This suggests that the resolution limitations could have a minimal impact on the determination of residual liquid saturation in throats smaller than this.
As can be seen in Figure 5, besides porosity and coordination number, the pore and throat sizes inside the two Bekaert PTLs (PTL2 and PTL3) differ from each other, which was not expected based on the producer data provided in Table 1. Instead, we expected very similar structural properties. It can strongly be assumed that the variations documented by our image processing approach affect the transport properties in addition to the thickness variation.

3. Determination of Structure-Related Mass Transport Parameters

The capillary pressure curves and absolute permeabilities were determined with established standard correlations from the literature referring to PEMWE. In addition, these parameters, together with the relative permeabilities and residual PN saturations, were also derived from PNM simulations using the above-introduced reconstructed domains and the PN drainage model first presented in our previous study [28]. In this approach, viscous friction forces in the liquid phase and wetting liquid films are neglected, and pressure, temperature, surface tension, and wettability of the solid are kept constant (P = 1 bar, T = 353.15 K, σ = 0.0627 N/m, θ = 60°). Note that the selected wettability corresponds to the wettability of titanium with water [43] and the temperature and pressure are similar to the invasion conditions inside a PEMWE [44]. We used the Young–Laplace equation to compute the competitive invasion of pores with radius rp and throats with radius rt (cf. Figure 4a). This means that pores and throats were invaded independently of each other according to their individual invasion pressure threshold.
Based on the comparison of the PNM results with the literature correlations, we provide the following recommendations for the applicability of the latter to commercial Ti-felt PTLs with high porosity.

3.1. Saturation

The residual liquid saturation, Sr, denotes the final saturation in PNM simulations. It is achieved when the liquid phase is completely split into single clusters with no continuous pathway between the top and bottom sides of the PTL [39,45]. In this situation, liquid pumping is interrupted, and the remaining liquid is not drainable by the invading gas phase.
The PN (liquid) saturation is generally computed as the ratio between liquid-filled pores (Vp,S=1) and throats (Vt,S=1) related to the total number of pores and throats (Vp,tot + Vt,tot), i.e.,
S = V p , S = 1 + V t , S = 1 V p , t o t + V t , t o t .
Note that partially filled pores and throats (with 0 < S > 1) do not occur in the simple drainage PNM [21].
At a liquid saturation of around Sr = 64%, the liquid phase was completely split up into single clusters, and liquid transport through the domain was interrupted for PTL1; values of around 65% and 19% were found for PTL2 and PTL3, respectively.
This shows that more gas pathways, potentially advantageous for better gas removal, might be realizable with PTL3, where a lower liquid and ergo higher overall gas saturation is observed. Compared to the other PTLs, it has only a slightly smaller variance in pore sizes (Figure 5). Based on drainage theory, a narrow pore size distribution could potentially favor a rather stabilized, i.e., flat, invasion front, with more pores and throats being invaded. However, as also supported by saturation profiles provided in Figure 6, this is not observed in PTL3.
In the graded PTL1, the smaller number of invasions is associated with gas fingering, enabled by the higher probability of the gas phase following the pore size gradient in a vertical direction rather than spreading to the lateral sides. Such a behavior was also observed in previously conducted neutron imaging experiments [46], where the graded PTL had a much higher frequency for gas release through the PTL rather than striving for a higher gas saturation. This assumption is also supported by saturation profiles in Figure 6.
The comparison of PTL1 and PTL3 especially highlights the trade-off between gas removal and liquid retention, which is critical for efficient operation. PTL3, with its only marginally narrower pore size distribution than PTL2 and greater thickness (cf. Table 2), seems to offer improved gas removal. This means that if the drained pores in PTL3 are not imbibed repeatedly by water under actual operation conditions, the low residual liquid saturation might favor water starvation in PEMWE. Water starvation would not only reduce performance but also accelerate the degradation of components (especially in the catalyst layer) due to diminished heat transport through the PTL. This is especially regarded as critical at high current density operations, where efficient heat removal based on sufficient liquid transport is essential. The graded structure of PTL1 instead enables more efficient liquid retention while still maintaining sufficient gas pathways for oxygen removal.
In addition to the residual saturation, the liquid saturation profiles for each PTL are provided in Figure 6. For this purpose, the PTLs were split into several layers (of ~8 µm height each) and the saturation in each layer was determined analog to Equation (1). The dotted lines in Figure 6 represent the top of the PTL. Figure 6a shows the profiles at the start of the simulation when only the surface pores are empty, and all the remaining pores and throats are liquid-saturated. In Figure 6b, the profiles are shown at a point when the first breakthrough of the gas phase occurs at the bottom of the PN. This happens in all cases shortly after the start of gas invasion. At this time, only a slight change in overall saturation compared to Figure 6a is observed. This is because the PNs are relatively thin, with only a few pores across the thickness (cf. Figure 4b), and the breakthrough occurs already within a few invasion events in all cases (<10).
In Figure 6c, the saturation profiles are plotted for the situation of the complete interruption of the water transport pathways between the top and bottom sides (also referring to the residual PN liquid saturation). This shows that the top of PTL1 (~150 µm) has a higher liquid saturation (S > 0.8) than its bottom (S~0.6). This is explained by the favorable invasion of larger pores located at the bottom side. Such a saturation profile could be favorable for high current densities, where efficient liquid management is crucial for maintaining optimal performance and preventing membrane dehydration. A similar behavior is observed for PTL2, which is not graded. PTL3 instead reveals a roughly homogeneous distribution of the remaining isolated liquid clusters (in Figure 6c), which is in pronounced contrast to the other two PTLs studied here. Interestingly, in PTL3 breakthrough occurs at a similar high liquid saturation as in the other two cases. After that, though, the gas phase spreads significantly (and obviously quite homogenously) before complete liquid cluster disconnection is achieved. If this observation is solely related to the greater thickness of the material (cf. Table 2) or another structural parameter yet remains open for future studies.

3.2. Absolute Permeability

The PTLs’ permeabilities were determined using the completely empty (S = 0) domains reconstructed from µ-CT images. For this purpose, mass transfer resistance was assigned to throats, following the approach first presented in [28]. That is, mass transfer through any one throat is computed based on the gas pressure difference between the two adjacent pores (1,2), as shown in Figure 4a, using the Hagen–Poiseuille equation:
M ˙ g = ρ g π r t 4 8 η g L P 1 P 2
In this, P1 and P2 are the pressures in the two neighboring pores and M ˙ g is the mass flow of gas through each empty throat; ρg = 0.98 kg/m3 is the density of the gas phase and ηg = 22 µPa⋅s is its dynamic viscosity [47].
The resulting set of linear equations is then transferred into the matrix notation:
P = A / b .
In this, A represents the matrix of gas conductivities of the throats:
g g = ρ g π r t 4 8 η g L .
As the pores are not considered hydraulic conductors [14,48], the conductivities inside pores are not computed. In Equation (3), b denotes the vector of given boundary conditions associated with each pore:
b = g P .
To facilitate the flow through PTLs, the boundary conditions of the PN were set to Ptop = 1 bar and Pbottom = 2 bar. Solving Equation (3) yields the pressure distribution in the PN, and then with the help of Equation (2), flow through each throat becomes available.
The absolute permeabilities of the overall PNs were then derived on the Darcy scale:
K P N S = 0 = η g ρ g M ˙ g P N A P N L P N Δ P P N ,
with APN = 27.5 × 10−6 m2 being the cross-sectional area of all PTL-PNs, and LPN = 0.53 × 10−3 m (PTL1), 0.34 × 10−3 m (PTL2), and 0.78 × 10−3 m (PTL3) are the heights (cf. Table 2). In Equation (6), M ˙ g P N is the overall gas flow rate between the bottom and top sides computed for the given ΔPPN = PbottomPtop.
The calculated absolute permeabilities are summarized in Table 3. PTL1 was additionally analyzed by GeoDict. A very similar permeability of 1.1 × 10−10 m2 (PTL1) was found for a domain size of 0.85 × 0.85 × 0.85 mm3.
In summary, the computed absolute permeability values are roughly quite similar to each other, which could be associated with the similar range of pore sizes in the studied PTLs and their very similar porosities. Surprisingly, grading of the structure does not reveal a significant impact on the permeability, as only a slightly higher value is observed. This finding might be explained by the pore size distributions and Equations (2) and (6). More specifically, PTL1 exhibits fewer smaller pores below 20 µm, which, according to Equations (2) and (6), could have a positive impact on the absolute permeability.
The intrinsic absolute permeabilities were additionally computed with the Jackson and James model (JJM) [12,14],
K J J M = 3 d f 2 80 1 ε ln 1 ε 0.931 ,
as well as the Tomadakis and Sotirchos model (TSM) [13,20],
K T S M = ε ε ε p α + 2 d f 2 32 ln 2 ε 1 ε p α α + 1 ε ε p 2 .
In the given equations, df is the fiber diameter, ε is the material porosity, εp = 0.11 is the percolation threshold, and α = 0.785 is a fitting parameter [13]. The percolation threshold is related to the probability of continuous pathways of pores between the bottom and top sides. The values of both, εp and α, were adopted from the literature for horizontally aligned fibers and flow in through-plane direction. More specifically, the selected values correspond to the 2-d configuration in the original literature [13].
Equations (7) and (8) were solved using the constant values of porosity and fiber diameter, as provided by the manufacturer and summarized in Table 1. The results are provided in Table 3 along with results from PNM simulations. Note that the results for PTL2 and PTL3 are identical when using Equations (7) and (8) with the very same values of porosity and fiber diameter (from Table 1). Another result would be expected if the porosity obtained by our method or the identified variation of fiber diameters given in Section 2.2.2 would be used instead in Equations (7) and (8). In order to capture this variation in a general and rather global way, we present the absolute permeability as a function of these parameters in Figure 7.
Both literature approaches predict generally very similar values in the range of porosities and fiber diameters provided in Table 1 and Section 2.2.2, when the TSM is further parameterized with εp = 0.11 and α = 0.785. The JJM values are slightly higher than the TSM values and vary linearly with porosity in the semi-log plot. Even small uncertainty in porosity values yields variations between K = 0.18 × 10−10 m2 (referred to 72% porosity) to K = 0.50 × 10−10 m2 (referred to 80% porosity) for a fiber diameter of 20 µm and using JJM. The variation with fiber diameter is even more significant, as it extends over one order of magnitude (between approximately K = 2 × 10−11 m2 to K = 2 × 10−10 m2) for both literature approaches. The fiber diameter can therefore be regarded as a critical parameter in literature correlations. More clearly, the producer values provided in Table 1 are only bulk-averaged and do not reflect the actual variations discovered in Section 2.2.2. This affects the accuracy of permeability calculations, as documented in Figure 7b. The PNM approach is considered more accurate in this regard, as it computes mass transfer through single pores. Figure 7 furthermore reveals that parameters α and εp can yield a decrease in permeability in the same range as porosity and fiber diameter.
Based on the above, it is not surprising that the agreement of literature correlations with PNM simulations is especially good for PTL1, for which two distinct fiber diameters were provided by the producer. As the sensitivity to the fiber radius is higher compared to the other parameters, the values provided for PTL1 (namely 25 and 40 µm) induce a certain flexibility for fitting, which is not available for PTL2-3, where a constant fiber diameter was provided by the producer (Table 1). A good match of JJM/TSM/PNM is found for employing the maximum fiber diameter of 40 µm and a porosity of 80%, i.e., for PTL1 (Table 1 and Table 3 and Figure 7). Following calculations outlined in Equations (2)–(6), the PNM-based permeability strongly depends on the cross-section of the smallest pores at the top interface in the graded PTL1 (cf. Figure 1). This means, while from the literature correlations, it would be concluded that the absolute permeability could be increased by increasing porosity and fiber diameter, PNM simulation clearly reflects that larger pores would be recommended (which though might be in conjunction with higher porosity and greater fiber diameters).
In brief, the following can be summarized for the permeability:
  • JJM and TSM yield similar values in the studied ranges of porosity and fiber diameter.
  • The permeabilities computed with TSM and JJM are in most cases slightly lower than the PNM results.
  • The agreement with PNM depends on the selection of the fiber diameter because of its greater impact on permeability in the studied ranges.
  • A good agreement of JJM and TSM with PNM is found for df = 40 µm, which is in the range of the documented experimental values.

3.3. Relative Permeability

The relative permeabilities of gas and liquid can generally be computed on the basis of saturation profiles given in Figure 6 and absolute permeability. Following the work of Vorhauer et al. [39], the relative permeabilities of gas and liquid phase are calculated from:
k r e l , l , g S l , g = η l , g ρ l , g M ˙ l , g P N A P N L P N Δ P l , g ,
depending on the liquid saturation, i.e., Sl = S (Equation (1)), or gas saturation, Sg = 1 − S.
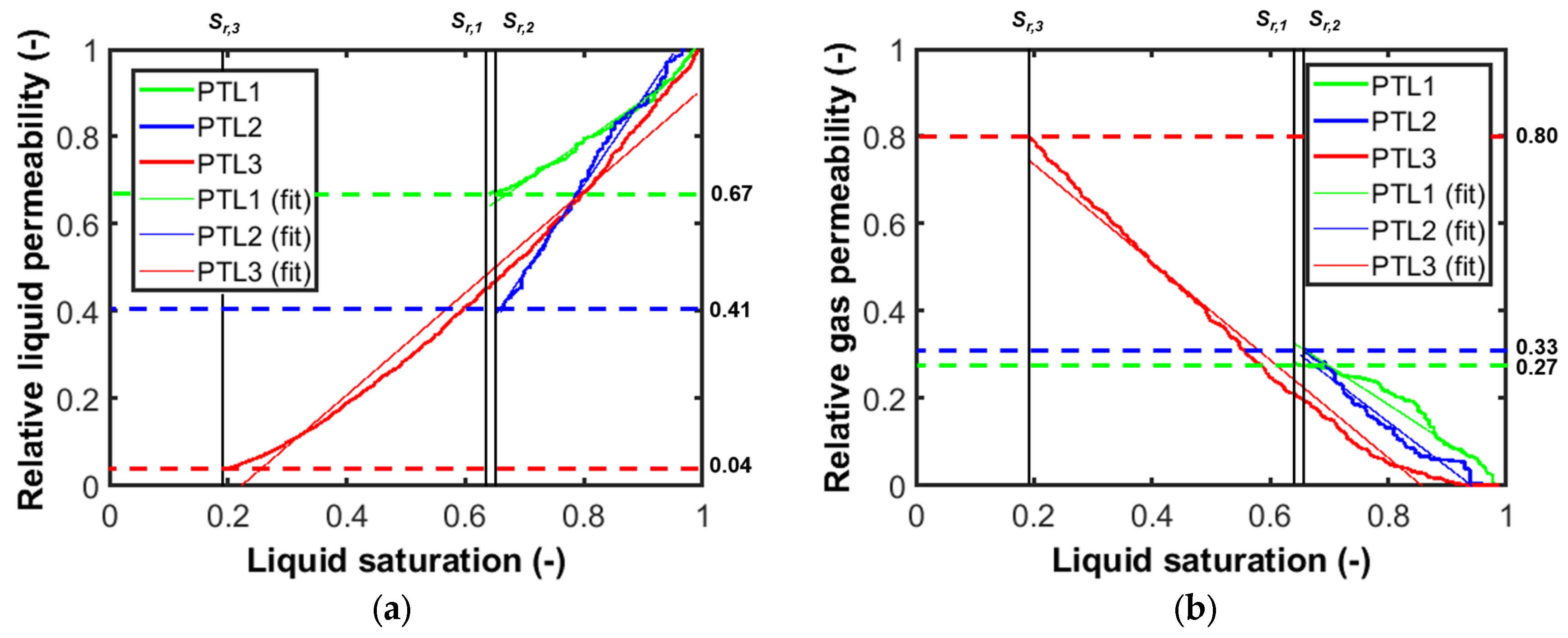
The results are summarized in Figure 8 for liquid saturations varying between S = 1 (starting point of invasion) and Sr.
Figure 8 indicates, that the liquid permeabilities remain at a comparably high level in PTL1 and PTL2. In fact, PTL1 achieves 1.75 times higher liquid permeability than PTL2, although both PTLs exhibit similar structural properties and residual liquid saturation. This outcome indicates that the liquid distribution might be more favorable for liquid transport in PTL1, which can be explained by different invasion patterns at the end of drainage, as reported in Figure 6c. The saturation profile of PTL1 in Figure 6c suggests more evolved gas fingering. In contrast, for PTL3, in which the residual liquid saturation is significantly lower than in the other two cases, the relative liquid permeability decreases below 0.1.
The maximum relative gas permeability is, as expected, achieved when the high gas pressures drain the maximum amount of water at the moment of cluster disconnection. This means that the gas transport is essentially anticipated to improve in the presence of high gas pressures, i.e., when more gas pathways are opened. As a consequence of the high residual liquid saturations in PTL1 and PTL2, the relative gas permeabilities remain at an overall lower level than in PTL3, where more gas drains pores and throats from water. The highest relative gas permeability is therefore observed for PTL3, which achieves the lowest residual liquid saturation.
These outcomes additionally support the above discussion (Section 3.1) related to the trade-off between liquid saturation (i.e., better heat management and hydration of membrane but worse gas removal) and gas saturation (better gas removal but also water starvation).
The relative liquid permeabilities in Figure 8 were approximated by linear functions:
k r e l , l S = a l S + c l ,
and
k r e l , g S = a g S + c g .
The fitting parameters are provided in Table 4.
The linear relationships are significantly different than the usually assumed cubic dependence on liquid saturation [21,22,49]:
k r e l , l = S 3 .
Whereby the relative gas permeability is usually simply computed by:
k r e l , g = 1 k r e l , l .
Empirical approaches for relative gas and liquid permeabilities are summarized in the work of Holzer et al. [45] for Polymer Electrolyte Fuel Cells. These correlations compute the saturation from capillary pressure curves and relate the relative permeability of the liquid to that of the gas phase, as in the above-given Equation (13). In our approach, the gas permeability is independently computed from the liquid permeability, considering the remaining isolated liquid clusters, which should provide more accurate values for the gas phase.
Figure 8 reveals that, due to the achievable low liquid saturation and the corresponding high gas saturation in PTL3, the relative permeability of the gas phase yields much higher values than in the other two PTLs. As the absolute permeability is not much lower than in PTL1-2, it can be anticipated that PTL3 gains significantly better gas transport properties than the other PTLs. Postulating periodic imbibition/drainage invasion based on previous findings [46], the realizable high values for both, liquid and gas phases could attribute certain benefits to PTL3 associated with findings in this study.

3.4. Capillary Pressure

The capillary pressure curves were obtained by a classical PNM drainage simulation, namely by the order of stepwise oxygen invasion of an initially fully liquid saturated pore-throat network [50]. This method is principally based on the information about the individual invasion pressure thresholds of liquid pores and throats along the moving gas-liquid phase boundary, starting from one PTL interface (the top side in our study), whereas the lateral interfaces are impermeable, and the bottom side is not invaded.
In brief, when the pressure difference between the invading gas phase and the receding liquid phase becomes higher, the invasion occurs in ever smaller pores and throats, opening more pathways for the gas phase inside the PTL, following the Young–Laplace equation:
P c = 2 σ cos θ r p , t ,
with Pc being the capillary pressure of pores and throats with radius rp,t (approximating the pores and throats by spheres and cylinders, respectively).
With Equation (14) and the pore size distributions given in Figure 5, we obtained the capillary pressure curves in Figure 9.
Practically each pore invasion is associated with a different capillary pressure in the complete range between Pc,min (invasion of the largest pore of the whole network) and Pc,max (invasion of the smallest pore of the network) because of the random pore size distribution. Additionally, at least PTL2-3 have a spatially constant invasion probability, as the structures are not graded. However, here we have plotted only the values that yield a continuously increasing function, assuming that all pores with lower entry pressure than the actual invasion pressure would automatically be invaded once the invasion front reaches them. We have thus considered only the invaded candidates that have a smaller radius than all previously invaded pores for plotting. The dotted lines in Figure 9 depict the stepwise increment of pressure resulting in the invasion of several pores and throats at a given pressure level and, hence, a corresponding stepwise decrease in liquid saturation.
The maximum capillary pressures of the invasion process were achieved in the moment of cluster disconnection, which is also referred to as the residual PTL liquid saturation Sr (PTL1: 0.64; PTL2: 0.65; PTL3: 0.19), and the simultaneous loss of a continuous pathway of the liquid phase between the open PTL invasion interface and the opposite side. The capillary pressure curves have been computed beyond this point, invading finally the complete domains with gas. As can be seen in Figure 9, the critical saturations, as well as the capillary pressure curves computed with the PNM, strongly depend on the PTL structure.
Figure 9 reveals two major aspects. At first, the trends of PTL2 and PTL3 are almost parallel to each other. PTL3, with the overall smaller pores, achieves generally higher capillary pressures than PTL2, with overall larger pores. It shows that overall higher gas pressures are required to invade the smaller pores of PTL3. The associated increase of the gas pressure at the catalyst layer side could positively affect gas transport in a PEMWE, as it is expected to yield higher gas pressure gradients over the PTL (i.e., between the catalyst layer and the flow channel), together with higher relative gas permeabilities and a similar absolute permeability as found for PTL1,2.
Secondly, the capillary pressure curve of the graded PTL1 makes a transition between PTL2 (with larger pores), where overlapping is seen for the higher liquid saturations (down to approximately S = 0.5), and PTL3 (with smaller pores). The agreement between PTL1 and PTL2 is very good in the range above the residual liquid saturation, indicating that both PTLs have a very similar invasion behavior and require similar gas invasion pressures, i.e., independent of the pore/throat size gradient.
The curves representing the PNM simulation results in Figure 9 were fitted with the following correlation:
P c = a tanh 1 2 S 1 + d + e S h ,
with S being the liquid saturation. Parameters a, d, e, and h are summarized in Table 5 for the three investigated PTLs.
In order to allow comparison with the literature approaches [21,49], the capillary pressure curves were computed also for saturations lower than the residual saturations in Figure 9, realized by invading the isolated liquid clusters in the PNM.
The PNM simulation results are compared with the Leverett equation (LE) [21]:
P c , L E = σ cos θ ε K 0.5 J S ,
which contains the Leverett function,
J S = 1.417 1 S 2.120 1 S 2 + 1.263 1 S 3 ,
that introduces the capillary pressure dependence on saturation for 0° < θ < 90°. Additionally, in Equation (16), ε and K represent porosity and absolute permeability, respectively. For estimation of the latter, refer to Section 3.2. The LE-based plots for all three PTLs are represented by thin-dashed lines; the thick-dotted lines in Figure 10, Figure 11 and Figure 12 represent the Brooks–Corey equation (BCE) [22,51,52]:
P c , B C E = 2 σ cos θ r m a x S n 1 λ ,
where rmax is the maximum pore radius and λ is the pore size distribution index. A higher value of λ refers to a narrower pore size distribution and vice versa. For Figure 10, we used λ = 4 based on the work of Rajora et al. [22] for PEMWE and Corey et al. [51]. Furthermore, Sn is the normalized residual saturation:
S n = S S r 1 S r ,
to account for the incomplete emptying of porous materials up to a certain saturation, as illustrated in Figure 10. However, for the sake of comparison with PNM and LE, BCE is also plotted for an overall saturation between 0 and 1, i.e., Sn = 0 in Equation (18) and Figure 11 and Figure 12.
We used the same surface tension and contact angle in Equations (16) and (18) as for the PNM simulations above (σ = 0.0627 N/m, θ = 60°). All other parameters were determined by PNM analysis and are provided in Table 2 and Table 3 and Figure 5.
Figure 11 demonstrates that, according to the variation of parameters involved in the two approximation approaches, a certain flexibility for adjustments exists. In brief, both empirical correlations are able to predict roughly similar trends as the PNM. The best matches are highlighted in Figure 12 and Table 6. In brief, the porosity variations, as well as the maximum pore sizes, seem not to be the important factors according to Figure 11. Rather, accurate values of permeability and wetting angle appear as key for an acceptable fitting to the PNM results. However, the plots clearly reveal that a good agreement between both literature relationships and PNM is only achieved for intermediate values of liquid saturation. The parameter values provided in Table 6 are only in good agreement in terms of the assumed wetting angle of 60° (referring to LE); the permeability values are all significantly lower than predicted by PNM and the same applies to the maximum pore radius, which is also lower in the fitted curves than provided by PNM evaluation.
Dramatic deviations are especially observed for BCE at low saturations and for LE at low and high saturations. Our PNM simulation results reveal an offset of Pc at S = 1, i.e., the curves do not start at Pc (S = 0) = 0. This is reasonable as the invasion starts in the first (top) interface pore at a discrete value of Pc > 0. The offset value is related to the largest interface pore, according to Equation (14). This is partly reflected by BCE, but not at all by LE. BCE also agrees very well at low saturations. Having in mind the aforementioned residual saturation for liquid cluster isolation, this has, however, only a minor relevance for drainage invasion simulations. Employing the residual saturation instead in Equation (18) would yield rather a dramatic overestimation of capillary pressures by BCE (as demonstrated by Figure 10). In summary, neither LE nor BCE would be recommended for the studied PTLs (independent of grading) according to the results of this study.

4. Summary and Conclusions

In this work, three different commercial Ti-felt PTLs commonly used in proton exchange membrane water electrolyzers (PEMWEs) were investigated: Two from Bekaert with different thicknesses (PTL2 and PTL3), and one from Sylatech with a graded pore structure (PTL1). These PTLs were chosen to compare invasion behavior and mass transport properties based on pore network modeling (PNM) and literature correlations. Microcomputed X-ray tomography (µ-CT) was used to determine the porous structures, i.e., porosities, pore size distributions, and fiber sizes. The pore networks were reconstructed from the image data using a maximum ball approximation of the pores. The remaining pore space was assigned to cylindrical throats with varying diameters and lengths. Notably, the pore and throat sizes varied significantly between the studied PTLs, which is generally expected to influence their transport properties.
The determined absolute permeability was found in the range between 1.1 × 10−10 m2 and 1.5 × 10−10 m2, with good agreement between PNM and Jackson and James (JJM), as well as the Tomadakis and Sotirchos model (TSM). A good agreement of the literature correlations was obtained by adjusting the fiber diameter according to the data provided by the producers. The best match was therefore found for the graded PTL1, for which two different fiber sizes, 25 µm and 40 µm, were specified by Sylatech. In contrast to the literature correlations, the physically based PNM provides an orientation for the adjustment of absolute permeability in PTLs based on pore sizes.
The relative gas and liquid permeabilities were determined from PNM saturation profiles, thereby taking the residual liquid saturations into account. The latter is associated with the remaining isolated liquid clusters at the end of the drainage process. As these clusters do not have access to a continuous pathway between the top and bottom sides, they cannot be invaded by the gas phase. The residual saturation depended strongly on the PTL structure. In the graded structure, the breakthrough of the gas phase was facilitated by the increasing invasion probability in the invasion direction (i.e., from the top with overall smaller pores to the bottom with overall larger pores). Gas fingering resulted in overall higher residual liquid saturation values. In contrast, drainage of PTL3 resulted in a significantly lower residual liquid saturation. It was discussed that the high gas saturations achieved in the case of PTL3 can be favorable for gas removal. In addition, the capillary pressure curves revealed higher invasion pressures for PTL3, indicating that higher gas pressures are to be built up to invade the structure from top to bottom. Anticipating frequent drainage and imbibition around a quasi-steady overall pore network saturation, as documented in [53], PTL3 would exhibit certain advantages for gas removal. On the other hand, the graded structure of PTL1 was found to offer a compromise between gas and liquid transport because of the high overall permeability and the low final gas saturation (in line with the high residual liquid saturation) at the end of the drainage simulation. This might be advantageous for heat management and membrane hydration at high current densities in PEMWEs. In the end, a trade-off between liquid and gas transport is required to evaluate PTL performance in specific situations [54,55].
The capillary pressure curves were compared with the Leverett (LE) and the Brooks–Corey equation (BCE). Both revealed a good agreement at intermediate liquid saturation values. While LE failed to predict the capillary pressure, both at high and low liquid saturations, BCE could be fitted to the PNM curves, especially at low saturation values, which are, however, never achieved in a drainage simulation because of the remaining isolated liquid clusters. Interestingly, the graded PTL1 showed a transitional behavior between PTL2 (with overall larger pores) and PTL3 (with overall smaller pores).
In the face of these findings, the substitution of parameters used in continuum approaches, such as those by Rajora et al. [22], with tailored values based on PNM simulations is expected to improve the accuracy of such models, even though the actual porous structure is simplified in the PNM approach (by spheres/balls and cylinders/sticks). PNM offers a good compromise between computational efficiency and accuracy, providing more accurate results than empirical literature correlations, especially for relative permeabilities and capillary pressure curves. Although it simplifies the exact pore structure, PNM captures key transport phenomena, making it a suitable option when large domains or many repetitions of the simulations are required.

Author Contributions

Conceptualization, H.A. and N.V.-H.; methodology, H.A. and T.M.; software, H.A.; validation, H.A.; formal analysis, H.A. and N.V.-H.; investigation, H.A. and N.V.-H.; resources, N.V.-H. and E.T.; data curation, H.A. and T.M.; writing—original draft preparation, H.A.; writing—review and editing, H.A. and N.V.-H.; visualization, H.A. and F.F.; supervision, N.V.-H. and T.V.-K.; project administration, N.V.-H., T.V.-K., and E.T.; funding acquisition, N.V.-H., T.V.-K., and E.T. All authors have read and agreed to the published version of the manuscript.

Funding

This research is funded by the Research Center for Dynamic Systems (CDS) under project ID ZS/2023/12/182075. It is a central scientific institution of Otto von Guericke University Magdeburg in accordance with the Higher Education Act of the State of Saxony-Anhalt. The CDS brings together Otto von Guericke University and the Max Planck Institute to achieve the jointly set goals. This collaboration formed the International Max Planck Research School for Advanced Methods in Process and Systems Engineering (IMPRS ProEng) and this research is performed under the banner of IMPRS ProEng.

Data Availability Statement

Data are contained within the article.

Conflicts of Interest

The authors declare no conflicts of interest.

Abbreviations

The following abbreviations are used in this manuscript:
BCEBrooks–Corey equation
μ-CTMicrocomputed X-ray tomography
GDLGas diffusion layer
LELeverett equation
PEMWEProton exchange membrane water electrolyzer
PNPore networks
PNMPore network model
PTLPorous transport layer
TiTitanium
List of Symbols
a,c,d,e,hFitting parameters, /
ACross-sectional area, m2 or matrix of conductances, /
dDiameter, m
gConductance, m·s
JLeverett function, /
KAbsolute permeability, m2
krelRelative permeability, /
LLength of throat, m
M ˙ Mass flowrate, kg·s−1
PcCapillary pressure, Pa
PPressure, Pa
rRadius, m
SSaturation, /
SnNormalized residual saturation, /
xThickness of PTL, m
αFitting parameter, /
εPorosity, /
εpPercolation threshold, /
ηDynamic viscosity, Pa·s
θWetting angle, °
λPore size distribution index, /
ρDensity, kg·m−3
Subscripts
1, 2 Pore 1 or 2
fFiber
gGas
lLiquid
maxMaximum value
pPore
rResidual
tThroat

References

  1. Al-Yaseri, A.; Fatah, A.; Adebayo, A.R.; Al-Qasim, A.S.; Patil, P.D. Pore structure analysis of storage rocks during geological hydrogen storage: Investigation of geochemical interactions. Fuel 2024, 361, 130683. [Google Scholar] [CrossRef]
  2. Uliasz-Misiak, B.; Misiak, J.; Lewandowska-Śmierzchalska, J. Hydrogen Storage in Porous Rocks: A Bibliometric Analysis of Research Trends. Energies 2024, 17, 805. [Google Scholar] [CrossRef]
  3. Kim, P.J.; Lee, C.; Lee, J.K.; Fahy, K.F.; Bazylak, A. In-Plane Transport in Water Electrolyzer Porous Transport Layers with Through Pores. J. Electrochem. Soc. 2020, 167, 124522. [Google Scholar] [CrossRef]
  4. Lala, S.F.; Shahgaldi, S. Mass and charge transport phenomena in porous transport layer for proton exchange membrane water electrolyzers: A review. Energy Rep. 2025, 13, 162–183. [Google Scholar] [CrossRef]
  5. Hwang, C.M.; Ishida, M.; Ito, H.; Maeda, T.; Nakano, A.; Hasegawa, Y.; Yokoi, N.; Kato, A.; Yoshida, T. Influence of properties of gas diffusion layers on the performance of polymer electrolyte-based unitized reversible fuel cells. Int. J. Hydrogen Energy 2011, 36, 1740–1753. [Google Scholar] [CrossRef]
  6. Lettenmeier, P.; Kolb, S.; Sata, N.; Fallisch, A.; Zielke, L.; Thiele, S.; Gago, A.S.; Friedrich, K.A. Comprehensive investigation of novel pore-graded gas diffusion layers for high-performance and cost-effective proton exchange membrane electrolyzers. Energy Environ. Sci. 2017, 10, 2521–2533. [Google Scholar] [CrossRef]
  7. Zhang, X.; Wang, J.; Habudula, G.; Liu, J.; Kang, T. A review of gas-liquid flow characteristics of anode porous transport layer in proton exchange membrane electrolysis cell. Int. J. Hydrogen Energy 2025, 100, 1010–1029. [Google Scholar] [CrossRef]
  8. Falcão, D.S.; Pinto, A. A review on PEM electrolyzer modelling: Guidelines for beginners. J. Clean. Prod. 2020, 261, 121184. [Google Scholar] [CrossRef]
  9. Amoury, B.; Le, T.D.; Dillet, J.; Leclerc, S.; Maranzana, G.; Didierjean, S. Two-Phase Flow Through the PTL of PEM Water Electrolyzer: MRI Experiments and Numerical Modeling Using Phase-Field Theory. Meet. Abstr. 2023, MA2023-02, 1807. [Google Scholar] [CrossRef]
  10. Salihi, H.; Ju, H. Two-Phase Modeling and Simulations of a Polymer Electrolyte Membrane Water Electrolyzer Considering Key Morphological and Geometrical Features in Porous Transport Layers. Energies 2023, 16, 766. [Google Scholar] [CrossRef]
  11. Zinser, A.; Papakonstantinou, G.; Sundmacher, K. Analysis of mass transport processes in the anodic porous transport layer in PEM water electrolysers. Int. J. Hydrogen Energy 2019, 44, 28077–28087. [Google Scholar] [CrossRef]
  12. Jackson, G.W.; James, D.F. The permeability of fibrous porous media. Can. J. Chem. Eng. 1986, 64, 364–374. [Google Scholar] [CrossRef]
  13. Tomadakis, M.M.; Robertson, T.J. Viscous Permeability of Random Fiber Structures: Comparison of Electrical and Diffusional Estimates with Experimental and Analytical Results. J. Compos. Mater. 2005, 39, 163–188. [Google Scholar] [CrossRef]
  14. Gostick, J.T. Versatile and efficient pore network extraction method using marker-based watershed segmentation. Phys. Rev. E 2017, 96, 23307. [Google Scholar] [CrossRef]
  15. Schuler, T.; de Bruycker, R.; Schmidt, T.J.; Büchi, F.N. Polymer Electrolyte Water Electrolysis: Correlating Porous Transport Layer Structural Properties and Performance: Part I. Tomographic Analysis of Morphology and Topology. J. Electrochem. Soc. 2019, 166, F270–F281. [Google Scholar] [CrossRef]
  16. Gostick, J.T.; Fowler, M.W.; Pritzker, M.D.; Ioannidis, M.A.; Behra, L.M. In-plane and through-plane gas permeability of carbon fiber electrode backing layers. J. Power Sources 2006, 162, 228–238. [Google Scholar] [CrossRef]
  17. James, J.P.; Choi, H.-W.; Pharoah, J.G. X-ray computed tomography reconstruction and analysis of polymer electrolyte membrane fuel cell porous transport layers. Int. J. Hydrogen Energy 2012, 37, 18216–18230. [Google Scholar] [CrossRef]
  18. Parra-Restrepo, J.; Bligny, R.; Dillet, J.; Didierjean, S.; Stemmelen, D.; Moyne, C.; Degiovanni, A.; Maranzana, G. Influence of the porous transport layer properties on the mass and charge transfer in a segmented PEM electrolyzer. Int. J. Hydrogen Energy 2020, 45, 8094–8106. [Google Scholar] [CrossRef]
  19. Stiber, S.; Balzer, H.; Wierhake, A.; Wirkert, F.J.; Roth, J.; Rost, U.; Brodmann, M.; Lee, J.K.; Bazylak, A.; Waiblinger, W.; et al. Porous Transport Layers for Proton Exchange Membrane Electrolysis Under Extreme Conditions of Current Density, Temperature, and Pressure. Adv. Energy Mater. 2021, 11, 2100630. [Google Scholar] [CrossRef]
  20. Tomadakis, M.M.; Sotirchos, S.V. Ordinary and transition regime diffusion in random fiber structures. AIChE J. 1993, 39, 397–412. [Google Scholar] [CrossRef]
  21. Han, B.; Mo, J.; Kang, Z.; Yang, G.; Barnhill, W.; Zhang, F.-Y. Modeling of two-phase transport in proton exchange membrane electrolyzer cells for hydrogen energy. Int. J. Hydrogen Energy 2017, 42, 4478–4489. [Google Scholar] [CrossRef]
  22. Rajora, A.; Haverkort, J.W. An Analytical Model for Liquid and Gas Diffusion Layers in Electrolyzers and Fuel Cells. J. Electrochem. Soc. 2021, 168, 34506. [Google Scholar] [CrossRef]
  23. Miličić, T.; Altaf, H.; Vorhauer-Huget, N.; Živković, L.A.; Tsotsas, E.; Vidaković-Koch, T. Modeling and Analysis of Mass Transport Losses of Proton Exchange Membrane Water Electrolyzer. Processes 2022, 10, 2417. [Google Scholar] [CrossRef]
  24. Satjaritanun, P.; O’Brien, M.; Kulkarni, D.; Shimpalee, S.; Capuano, C.; Ayers, K.E.; Danilovic, N.; Parkinson, D.Y.; Zenyuk, I.V. Observation of Preferential Pathways for Oxygen Removal through Porous Transport Layers of Polymer Electrolyte Water Electrolyzers. iScience 2020, 23, 101783. [Google Scholar] [CrossRef]
  25. El Hannach, M.; Prat, M.; Pauchet, J. Pore network model of the cathode catalyst layer of proton exchange membrane fuel cells: Analysis of water management and electrical performance. Int. J. Hydrogen Energy 2012, 37, 18996–19006. [Google Scholar] [CrossRef]
  26. Eghbalmanesh, A.; Fathiganjehlou, A.; Rieder, D.R.; Hoogendoorn, M.; Miloshevska, M.; Baltussen, M.W.; Peters, E.; Buist, K.A.; Kuipers, J. CFD-validated pore network modeling of packed beds of non-spherical particle. Chem. Eng. Sci. 2024, 283, 119396. [Google Scholar] [CrossRef]
  27. Ceballos, L.; Prat, M.; Duru, P. Slow invasion of a nonwetting fluid from multiple inlet sources in a thin porous layer. Phys. Rev. E Stat. Nonlin. Soft Matter Phys. 2011, 84, 56311. [Google Scholar] [CrossRef]
  28. Altaf, H.; Vorhauer, N.; Tsotsas, E.; Vidaković-Koch, T. Steady-State Water Drainage by Oxygen in Anodic Porous Transport Layer of Electrolyzers: A 2D Pore Network Study. Processes 2020, 8, 362. [Google Scholar] [CrossRef]
  29. Rigby, S.P. Do Pores Exist?—Foundational Issues in Pore Structural Characterisation. Foundations 2024, 4, 225–248. [Google Scholar] [CrossRef]
  30. Wang, F.; Schiller, U.D. Computational characterization of nonwoven fibrous media: I. Pore-network extraction and morphological analysis. Phys. Rev. Mater. 2020, 4, 227. [Google Scholar] [CrossRef]
  31. Huang, X.; Zhou, W.; Deng, D. Validation of pore network modeling for determination of two-phase transport in fibrous porous media. Sci. Rep. 2020, 10, 20852. [Google Scholar] [CrossRef]
  32. Dong, H.; Blunt, M.J. Pore-network extraction from micro-computerized-tomography images. Phys. Rev. E Stat. Nonlin. Soft Matter Phys. 2009, 80, 36307. [Google Scholar] [CrossRef]
  33. Mason, G.; Morrow, N.R. Capillary behavior of a perfectly wetting liquid in irregular triangular tubes. J. Colloid Interface Sci. 1991, 141, 262–274. [Google Scholar] [CrossRef]
  34. Oren, P.-E.; Bakke, S.; Arntzen, O.J. Extending Predictive Capabilities to Network Models. SPE J. 1998, 3, 324–336. [Google Scholar] [CrossRef]
  35. Nasta, P.; Vrugt, J.A.; Romano, N. Prediction of the saturated hydraulic conductivity from Brooks and Corey’s water retention parameters. Water Resour. Res. 2013, 49, 2918–2925. [Google Scholar] [CrossRef]
  36. Hubbel, J.H.; Seltzer, S. Tables of X-Ray Mass Attenuation Coefficients and Mass Energy-Absorption Coefficients, NIST Standard Reference Database 126. Last Update to Data Content: July 2004 | NISTIR 5632. [CrossRef]
  37. Legland, D.; Arganda-Carreras, I.; Andrey, P. MorphoLibJ: Integrated library and plugins for mathematical morphology with ImageJ. Bioinformatics 2016, 32, 3532–3534. [Google Scholar] [CrossRef]
  38. Gostick, J.; Aghighi, M.; Hinebaugh, J.; Tranter, T.; Hoeh, M.A.; Day, H.; Spellacy, B.; Sharqawy, M.H.; Bazylak, A.; Burns, A.; et al. OpenPNM: A Pore Network Modeling Package. Comput. Sci. Eng. 2016, 18, 60–74. [Google Scholar] [CrossRef]
  39. Vorhauer, N.; Altaf, H.; Tsotsas, E.; Vidakovic-Koch, T. Pore Network Simulation of Gas-Liquid Distribution in Porous Transport Layers. Processes 2019, 7, 558. [Google Scholar] [CrossRef]
  40. Lee, J.K.; Lee, C.; Bazylak, A. Pore network modelling to enhance liquid water transport through porous transport layers for polymer electrolyte membrane electrolyzers. J. Power Sources 2019, 437, 226910. [Google Scholar] [CrossRef]
  41. Thomson, P.-R.; Aituar-Zhakupova, A.; Hier-Majumder, S. Image Segmentation and Analysis of Pore Network Geometry in Two Natural Sandstones. Front. Earth Sci. 2018, 6, 58. [Google Scholar] [CrossRef]
  42. Faber, F.; Vorhauer-Huget, N.; Thomik, M.; Gruber, S.; Först, P.; Tsotsas, E. Pore-scale study of coupled heat and mass transfer during primary freeze-drying using an irregular pore network model. Dry. Technol. 2024, 43, 162–182. [Google Scholar] [CrossRef]
  43. Arbabi, F.; Kalantarian, A.; Abouatallah, R.; Wang, R.; Wallace, J.S.; Bazylak, A. Feasibility study of using microfluidic platforms for visualizing bubble flows in electrolyzer gas diffusion layers. J. Power Sources 2014, 258, 142–149. [Google Scholar] [CrossRef]
  44. Shiva Kumar, S.; Himabindu, V. Hydrogen production by PEM water electrolysis—A review. Mater. Sci. Energy Technol. 2019, 2, 442–454. [Google Scholar] [CrossRef]
  45. Holzer, L.; Pecho, O.; Schumacher, J.; Marmet, P.; Büchi, F.N.; Lamibrac, A.; Münch, B. Microstructure-property relationships in a gas diffusion layer (GDL) for Polymer Electrolyte Fuel Cells, Part II: Pressure-induced water injection and liquid permeability. Electrochim. Acta 2017, 241, 414–432. [Google Scholar] [CrossRef]
  46. Altaf, H.; Miličić, T.; Vidakovic-Koch, T.; Tsotsas, E.; Arlt, T.; Kardjilov, N.; Manke, I.; Vorhauer-Huget, N. Neutron Imaging Experiments to Study Mass Transport in Commercial Titanium Felt Porous Transport Layers. J. Electrochem. Soc. 2023, 170, 064507. [Google Scholar] [CrossRef]
  47. VDI Heat Atlas. Heat Atlas; Springer: Berlin/Heidelberg, Germany, 2010; ISBN 978-3-540-77876-9. [Google Scholar]
  48. Lee, C.; Hinebaugh, J.; Banerjee, R.; Chevalier, S.; Abouatallah, R.; Wang, R.; Bazylak, A. Influence of limiting throat and flow regime on oxygen bubble saturation of polymer electrolyte membrane electrolyzer porous transport layers. Int. J. Hydrogen Energy 2017, 42, 2724–2735. [Google Scholar] [CrossRef]
  49. Grigoriev, S.A.; Kalinnikov, A.A.; Millet, P.; Porembsky, V.I.; Fateev, V.N. Mathematical modeling of high-pressure PEM water electrolysis. J. Appl. Electrochem. 2010, 40, 921–932. [Google Scholar] [CrossRef]
  50. Vorhauer-Huget, N.; Altaf, H.; Dürr, R.; Tsotsas, E.; Vidaković-Koch, T. Computational Optimization of Porous Structures for Electrochemical Processes. Processes 2020, 8, 1205. [Google Scholar] [CrossRef]
  51. Corey, R.H.B.a.A.T. Hydraulic Properties of Porous Media and Their Relation to Drainage Design. Trans. ASAE 1964, 7, 26–28. [Google Scholar] [CrossRef]
  52. Nazari, F.; Aghabozorgi Nafchi, S.; Vahabzadeh Asbaghi, E.; Farajzadeh, R.; Niasar, V.J. Impact of capillary pressure hysteresis and injection-withdrawal schemes on performance of underground hydrogen storage. Int. J. Hydrogen Energy 2024, 50, 1263–1280. [Google Scholar] [CrossRef]
  53. Bhaskaran, S.; Miličić, T.; Vidaković-Koch, T.; Kumar Surasani, V.; Tsotsas, E.; Vorhauer-Huget, N. Model PEM water electrolyzer cell for studies of periodically alternating drainage/imbibition cycles. Int. J. Hydrogen Energy 2024, 77, 1432–1442. [Google Scholar] [CrossRef]
  54. Zlobinski, M.; Schuler, T.; Büchi, F.N.; Schmidt, T.J.; Boillat, P. Transient and Steady State Two-Phase Flow in Anodic Porous Transport Layer of Proton Exchange Membrane Water Electrolyzer. J. Electrochem. Soc. 2020, 167, 84509. [Google Scholar] [CrossRef]
  55. Seweryn, J.; Biesdorf, J.; Schmidt, T.J.; Boillat, P. Communication—Neutron Radiography of the Water/Gas Distribution in the Porous Layers of an Operating Electrolyser. J. Electrochem. Soc. 2016, 163, F3009–F3011. [Google Scholar] [CrossRef]
Figure 1. Exemplary illustration of the anisotropic morphology and graded structure of PTL1, with (a) average fiber diameter of 25 µm on the top side (catalyst layer side in PEMWE), and (b) 40 µm on the bottom side (water inlet side in PEMWE). The considered invasion direction of the gas phase is in the direction of increasing pore sizes, i.e., top to bottom, in the below-presented simulations. The size of the illustrated domain is 4.5 × 3.5 × 0.85 mm3.
Figure 1. Exemplary illustration of the anisotropic morphology and graded structure of PTL1, with (a) average fiber diameter of 25 µm on the top side (catalyst layer side in PEMWE), and (b) 40 µm on the bottom side (water inlet side in PEMWE). The considered invasion direction of the gas phase is in the direction of increasing pore sizes, i.e., top to bottom, in the below-presented simulations. The size of the illustrated domain is 4.5 × 3.5 × 0.85 mm3.
Processes 13 00943 g001
Figure 2. Top view of the Ti-felt PTL from Bekaert (PTL2).
Figure 2. Top view of the Ti-felt PTL from Bekaert (PTL2).
Processes 13 00943 g002
Figure 3. Extracted selected 2D image cross-section from PTL1 after: (a) Binarization; (b) Euclidean distance transformation; (c) Watershed segmentation.
Figure 3. Extracted selected 2D image cross-section from PTL1 after: (a) Binarization; (b) Euclidean distance transformation; (c) Watershed segmentation.
Processes 13 00943 g003
Figure 4. (a) A very simplified 2D schematic illustrating the segmentation of void space into pores and throats; (b) Complete pore-throat-network reconstructed from the µ-CT image of PTL2.
Figure 4. (a) A very simplified 2D schematic illustrating the segmentation of void space into pores and throats; (b) Complete pore-throat-network reconstructed from the µ-CT image of PTL2.
Processes 13 00943 g004
Figure 5. Numerically determined structural data using µ-CT imaging and an in-house image processing toolbox: (a) PTL1; (b) PTL2; (c) PTL3. The values of PTL1 were determined after use and compression of this PTL inside an experimental PEMWE cell. The given pore size distributions are based on the approximation of pores by maximum inscribed ball diameters with average pore radii of 42.8 µm (PTL1), 50.9 µm (PTL2), and 36.7 µm (PTL3). Similarly, average throat radii are 31.8 µm (PTL1), 32.4 µm (PTL2), and 26.1 µm (PTL3). The average throat lengths are 148 µm (PTL1), 128 µm (PTL2), and 140 µm (PTL3).
Figure 5. Numerically determined structural data using µ-CT imaging and an in-house image processing toolbox: (a) PTL1; (b) PTL2; (c) PTL3. The values of PTL1 were determined after use and compression of this PTL inside an experimental PEMWE cell. The given pore size distributions are based on the approximation of pores by maximum inscribed ball diameters with average pore radii of 42.8 µm (PTL1), 50.9 µm (PTL2), and 36.7 µm (PTL3). Similarly, average throat radii are 31.8 µm (PTL1), 32.4 µm (PTL2), and 26.1 µm (PTL3). The average throat lengths are 148 µm (PTL1), 128 µm (PTL2), and 140 µm (PTL3).
Processes 13 00943 g005aProcesses 13 00943 g005b
Figure 6. Saturation profiles with respect to PTL thickness at (a) the start of simulation when all surface pores (not throats) are gas saturated (initial saturations are S = 0.98; 0.97 and 0.99, for PTL1-3, respectively), (b) first gas breakthrough (S = 0.97; 0.96 and 0.99) and (c) complete water-disconnection (S = Sr = 0.64; 0.65 and 0.19). The bottom of the PTL is at the left (thickness 0) and the dotted lines refer to the top side of each case.
Figure 6. Saturation profiles with respect to PTL thickness at (a) the start of simulation when all surface pores (not throats) are gas saturated (initial saturations are S = 0.98; 0.97 and 0.99, for PTL1-3, respectively), (b) first gas breakthrough (S = 0.97; 0.96 and 0.99) and (c) complete water-disconnection (S = Sr = 0.64; 0.65 and 0.19). The bottom of the PTL is at the left (thickness 0) and the dotted lines refer to the top side of each case.
Processes 13 00943 g006
Figure 7. Dependence of TSM and JJM on (a) porosity ε with df = 20 µm, (b) fiber diameter df with ε = 0.77, (c) percolation threshold εp, and (d) fitting parameter α (only for TSM) within ranges that refer to the studied cases (ε = 0.77 and df = 20 µm). The vertical grey lines in (c,d) represent the reference setting of the TSM solution, and the shaded areas indicate the range of values in studied PTLs (both, Table 1 and Section 2.2.2). The permeability values obtained by PNM are plotted against the average values of porosity and fiber diameter in each case (cf. Section 2.2.2).
Figure 7. Dependence of TSM and JJM on (a) porosity ε with df = 20 µm, (b) fiber diameter df with ε = 0.77, (c) percolation threshold εp, and (d) fitting parameter α (only for TSM) within ranges that refer to the studied cases (ε = 0.77 and df = 20 µm). The vertical grey lines in (c,d) represent the reference setting of the TSM solution, and the shaded areas indicate the range of values in studied PTLs (both, Table 1 and Section 2.2.2). The permeability values obtained by PNM are plotted against the average values of porosity and fiber diameter in each case (cf. Section 2.2.2).
Processes 13 00943 g007
Figure 8. (a) Relative permeability of liquid and (b) gas as a function of overall liquid saturation. The residual liquid saturation Sr is specified by the black vertical lines. The thin solid lines are linear approximations of the relationships according to Equations (10) and (11).
Figure 8. (a) Relative permeability of liquid and (b) gas as a function of overall liquid saturation. The residual liquid saturation Sr is specified by the black vertical lines. The thin solid lines are linear approximations of the relationships according to Equations (10) and (11).
Processes 13 00943 g008
Figure 9. Comparison of capillary pressure curves obtained by PNM simulation for PTL1-3. The dotted lines were obtained from the PNM simulation, and the solid lines represent the curve fit with Equation (15). The residual liquid saturations of individual PTLs are highlighted by the black vertical lines.
Figure 9. Comparison of capillary pressure curves obtained by PNM simulation for PTL1-3. The dotted lines were obtained from the PNM simulation, and the solid lines represent the curve fit with Equation (15). The residual liquid saturations of individual PTLs are highlighted by the black vertical lines.
Processes 13 00943 g009
Figure 10. Capillary pressure curves for PTL3 (Sr = 0.19) with parameters from Table 6 are plotted as an example to illustrate how BCE curve cannot be compared to PNM when employing Sn ≠ 0.
Figure 10. Capillary pressure curves for PTL3 (Sr = 0.19) with parameters from Table 6 are plotted as an example to illustrate how BCE curve cannot be compared to PNM when employing Sn ≠ 0.
Processes 13 00943 g010
Figure 11. Capillary pressure curves: (a,c,e) Comparison of LE and PNM capillary pressure curves at minimum and maximum values of (a) porosity ε (with θ = 60° and K = 1.4 × 10−10 m2) and (c) permeability K (with θ = 60° and ε = 0.74). In (e), LE curves are shown for θ = 0°, 40°, and 60° (with ε = 0.74 and K = 1.4 × 10−10 m2). (b,d,f) Comparison of BCE and PNM capillary pressure curves: (b) using the maximum pore radius rmax (with θ = 60° and λ = 4); (d) using pore size index λ = 2, 4, and 6 (with θ = 60° and rmax = 106 μm); (f) using θ = 0°, 40°, and 60° (with λ = 4 and rmax = 106 μm).
Figure 11. Capillary pressure curves: (a,c,e) Comparison of LE and PNM capillary pressure curves at minimum and maximum values of (a) porosity ε (with θ = 60° and K = 1.4 × 10−10 m2) and (c) permeability K (with θ = 60° and ε = 0.74). In (e), LE curves are shown for θ = 0°, 40°, and 60° (with ε = 0.74 and K = 1.4 × 10−10 m2). (b,d,f) Comparison of BCE and PNM capillary pressure curves: (b) using the maximum pore radius rmax (with θ = 60° and λ = 4); (d) using pore size index λ = 2, 4, and 6 (with θ = 60° and rmax = 106 μm); (f) using θ = 0°, 40°, and 60° (with λ = 4 and rmax = 106 μm).
Processes 13 00943 g011aProcesses 13 00943 g011b
Figure 12. Best fits for PTL1, 2, and 3 using (a) LE and (b) BCE in comparison with PNM capillary pressure curves. Parameters of these fits are provided in Table 6.
Figure 12. Best fits for PTL1, 2, and 3 using (a) LE and (b) BCE in comparison with PNM capillary pressure curves. Parameters of these fits are provided in Table 6.
Processes 13 00943 g012
Table 1. List of PTLs used in this study along with the data provided by the producers.
Table 1. List of PTLs used in this study along with the data provided by the producers.
PTL and ProducerProducer Data
Thickness, mmPorosity, %Average Fiber
Diameter, µm
Sylatech (PTL1)1.0008025 (top) and 40 (bottom)
Bekaert (PTL2)0.5007720
Bekaert (PTL3)1.0007720
Table 2. Pore network parameters of the studied PTLs. Note that the domain thickness is less than the sample thickness provided in Table 1 due to the cropping of some layers from the µ-CT image stacks, which was required for image processing.
Table 2. Pore network parameters of the studied PTLs. Note that the domain thickness is less than the sample thickness provided in Table 1 due to the cropping of some layers from the µ-CT image stacks, which was required for image processing.
PTL1PTL2PTL3
Size of computational domain (mm3)5.4 × 5.1 × 0.535.4 × 5.1 × 0.345.4 × 5.1 × 0.78
Number of pores (-)313420656547
Number of throats (-)16,063851338,873
Average coordination number of pores (-)10812
Reconstructed pore network porosity (%)73.767.471.6
Binarized µ-CT image porosity (%)747372
Table 3. Summary of absolute permeabilities determined by PNM simulations and literature correlations calculated for εp = 0.11, α = 0.785, and ε and df from Table 1.
Table 3. Summary of absolute permeabilities determined by PNM simulations and literature correlations calculated for εp = 0.11, α = 0.785, and ε and df from Table 1.
Absolute Permeability (m2)PTL1PTL2PTL3
PNM1.5 × 10−101.4 × 10−101.1 × 10−10
TSM0.70 × 10−10 (df = 25 µm)0.30 × 10−100.30 × 10−10
1.8 × 10−10 (df = 40 µm)
1.3 × 10−10 (Mean)
JJM0.79 × 10−10 (df = 25 µm)0.35 × 10−100.35 × 10−10
2.0 × 10−10 (df = 40 µm)
1.4 × 10−10 (Mean)
Table 4. Fitting parameters of relative permeability plots.
Table 4. Fitting parameters of relative permeability plots.
PTL1PTL2PTL3
al0.942.001.17
cl0.04−0.91−0.26
ag−0.87−1.03−1.12
cg0.890.970.97
Table 5. Parameters of the capillary pressure curve in Equation (15).
Table 5. Parameters of the capillary pressure curve in Equation (15).
PTL1PTL2PTL3
a−1.726 × 102−1.641 × 102−2.057 × 102
d−3.118 × 1047.141 × 101−3.165 × 104
e3.213 × 1049.059 × 1023.297 × 104
h−6.762 × 10−3−1.038 × 10−15.902 × 10−3
Table 6. Parameters of LE and BCE capillary pressure curves (best fits) in Figure 11.
Table 6. Parameters of LE and BCE capillary pressure curves (best fits) in Figure 11.
PTL1PTL2PTL3
LE parameters
ε (-)0.740.730.72
K (m2)0.60 × 10−100.84 × 10−100.39 × 10−10
θ (°)606060
BCE parameters
rmax (µm)1009080
λ (-)4.35.25.2
θ (°)405035
Disclaimer/Publisher’s Note: The statements, opinions and data contained in all publications are solely those of the individual author(s) and contributor(s) and not of MDPI and/or the editor(s). MDPI and/or the editor(s) disclaim responsibility for any injury to people or property resulting from any ideas, methods, instructions or products referred to in the content.

Share and Cite

MDPI and ACS Style

Altaf, H.; Miličic, T.; Faber, F.; Vidaković-Koch, T.; Tsotsas, E.; Vorhauer-Huget, N. Use of Reconstructed Pore Networks for Determination of Effective Transport Parameters of Commercial Ti-Felt PTLs. Processes 2025, 13, 943. https://doi.org/10.3390/pr13040943

AMA Style

Altaf H, Miličic T, Faber F, Vidaković-Koch T, Tsotsas E, Vorhauer-Huget N. Use of Reconstructed Pore Networks for Determination of Effective Transport Parameters of Commercial Ti-Felt PTLs. Processes. 2025; 13(4):943. https://doi.org/10.3390/pr13040943

Chicago/Turabian Style

Altaf, Haashir, Tamara Miličic, Felix Faber, Tanja Vidaković-Koch, Evangelos Tsotsas, and Nicole Vorhauer-Huget. 2025. "Use of Reconstructed Pore Networks for Determination of Effective Transport Parameters of Commercial Ti-Felt PTLs" Processes 13, no. 4: 943. https://doi.org/10.3390/pr13040943

APA Style

Altaf, H., Miličic, T., Faber, F., Vidaković-Koch, T., Tsotsas, E., & Vorhauer-Huget, N. (2025). Use of Reconstructed Pore Networks for Determination of Effective Transport Parameters of Commercial Ti-Felt PTLs. Processes, 13(4), 943. https://doi.org/10.3390/pr13040943

Note that from the first issue of 2016, this journal uses article numbers instead of page numbers. See further details here.

Article Metrics

Back to TopTop