The Hydrodynamics of Electrically Charged Flows
Abstract
1. Introduction
2. Physical Model (Electrospray Process)
Study Limits
3. Materials and Methods
3.1. Experimental Setup
Working Fluid
3.2. Data Acquisition and Image Analysis
3.2.1. Design of Experiments (Statistical Analysis)
3.2.2. Experimental Conditions
4. Results and Discussion
4.1. Phenomenological Description
4.1.1. Jet Opening Angle
4.1.2. Particle Size and Distribution
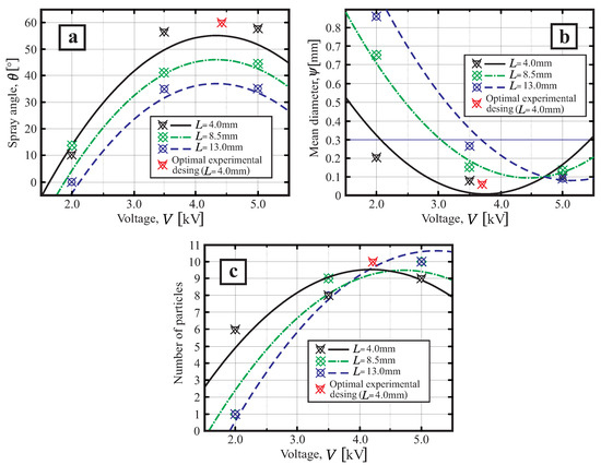
4.2. Statistical Analysis (Process Optimization)
5. Conclusions
Author Contributions
Funding
Data Availability Statement
Acknowledgments
Conflicts of Interest
References
- Tycova, A.; Prikryl, J.; Kotzianova, A.; Datinska, V.; Velebny, V.; Foret, F. Electrospray: More than just an ionization source. Electrophoresis 2021, 42, 103–121. [Google Scholar] [CrossRef]
- Jaworek, A.; Sobczyk, A.T.; Krupa, A. Electrospray application to powder production and surface coating. J. Aerosol. Sci. 2018, 125, 57–92. [Google Scholar] [CrossRef]
- He, T.; Jokerst, J.V. Structured micro/nano materials synthesized via electrospray: A review. Biomater. Sci. 2020, 8, 5555–5573. [Google Scholar] [CrossRef] [PubMed]
- Conde, J.J.; Ferreira-Aparicio, P.; Chaparro, A.M. Anti-corrosion coating for metal surfaces based on superhydrophobic electrosprayed carbon layers. Appl. Mater. Today 2018, 13, 100–106. [Google Scholar] [CrossRef]
- Pendar, M.-R.; Páscoa, J.C. Numerical modeling of electrostatic spray painting transfer processes in rotary bell cup for automotive painting. Int. J. Heat Fluid Flow 2019, 80, 108499. [Google Scholar] [CrossRef]
- Pendar, M.-R.; Rodrigues, F.; Páscoa, J.C.; Lima, R. Review of coating and curing processes: Evaluation in automotive industry. Phys. Fluids 2022, 34, 101301. [Google Scholar] [CrossRef]
- Rostamabadi, H.; Falsafi, S.R.; Rostamabadi, M.M.; Assadpour, E.; Jafari, S.M. Electrospraying as a novel process for the synthesis of particles/nanoparticles loaded with poorly water-soluble bioactive molecules. Adv. Colloid Interface Sci. 2021, 290, 102384. [Google Scholar] [CrossRef] [PubMed]
- Dai, F.; Huang, J.; Liao, W.; Li, D.; Wu, Y.; Huang, J.; Long, Y.; Yuan, M.; Xiang, W.; Tao, F.; et al. Chitosan-TiO2 microparticles LBL immobilized nanofibrous mats via electrospraying for antibacterial applications. Int. J. Biol. Macromol. 2019, 135, 233–239. [Google Scholar] [CrossRef] [PubMed]
- Davoodi, P.; Feng, F.; Xu, Q.; Yan, W.-C.; Tong, Y.W.; Srinivasan, M.P.; Sharma, V.K.; Wang, C.-H. Coaxial electrohydrodynamic atomization: Microparticles for drug delivery applications. J. Control. Release 2015, 205, 70–82. [Google Scholar] [CrossRef] [PubMed]
- Steipel, R.T.; Gallovic, M.D.; Batty, C.J.; Bachelder, E.M.; Ainslie, K.M. Electrospray for generation of drug delivery and vaccine particles applied in vitro and in vivo. Mater. Sci. Eng. C-Mater. Biol. Appl. 2019, 105, 110070. [Google Scholar] [CrossRef] [PubMed]
- Tanhaei, A.; Mohammad, M.; Hamishehkar, H.; Hamblin, M.R. Electrospraying as a novel method of particle engineering for drug delivery vehicles. J. Control. Release 2021, 330, 851–865. [Google Scholar] [CrossRef] [PubMed]
- Xu, H.; Wang, J.; Li, B.; Yu, K.; Wang, H.; Tian, J.; Li, B. Electrospray characteristics and cooling performance of dielectric fluid HFE-7100. Energy 2022, 259, 125072. [Google Scholar] [CrossRef]
- Fenn, J.B.; Mann, M.; Meng, C.K.; Wong, S.F.; Whitehous, C.M. Electrospray Ionization for Mass Spectrometry of Large Biomolecules. Science 1989, 246, 4926. [Google Scholar] [CrossRef] [PubMed]
- Chaparro, A.M.; Ferreira-Aparicio, P.; Folgado, M.A.; Martin, A.J.; Daza, L. Catalyst layers for proton exchange membrane fuel cells prepared by electrospray deposition on Nafion membrane. J. Power Sources 2011, 196, 4200–4208. [Google Scholar] [CrossRef]
- Kumar, P.; Kwon, C.; Kwon, K.; Yoh, J.J. On the cone-to-jet transition region and its significance in electrospray propulsion. Acta Astronaut. 2023, 205, 12–22. [Google Scholar] [CrossRef]
- Gibbons, M.J.; Robinson, A.J. Electrospray array heat transfer. Int. J. Therm. Sci. 2018, 129, 451–461. [Google Scholar] [CrossRef]
- Taheri, V.; Rahnama, H.E.; Morad, M.R. High flow rate electrospray cooling performance of water-ethanol mixtures. Appl. Therm. Eng. 2024, 239, 122200. [Google Scholar] [CrossRef]
- Han, Y.; Wei, C.; Dong, J. Droplet formation and settlement of phase-change ink in high resolution electrohydrodynamic (EHD) 3D printing. J. Manuf. Process. 2015, 20, 485–491. [Google Scholar] [CrossRef]
- Wu, C.; Tetik, H.; Cheng, J.; Ding, W.; Guo, H.; Tao, X.; Zhou, N.; Zi, Y.; Wu, Z.; Wu, H.; et al. Electrohydrodynamic Jet Printing Driven by a Triboelectric Nanogenerator. Adv. Funct. Mater. 2019, 29, 1901102. [Google Scholar] [CrossRef]
- Farjam, N.; Spiegel, I.A.; Barton, K. High-fidelity Modeling and Validation of Electrohydrodynamic Jet Printing. Materialia 2022, 26, 101578. [Google Scholar] [CrossRef]
- Wang, Z.; Wang, Q.; Li, B.; Zhang, Y.; Wang, J.; Tub, J. An experimental investigation on cone-jet mode in electrohydrodynamic (EHD) atomization. Exp. Therm. Fluid Sci. 2020, 114, 110054. [Google Scholar] [CrossRef]
- Gañán-Calvo, A.M.; López-Herrera, J.M.; Herrada, M.A.; Ramos, A.; Montanero, J.M. Review on the physics of electrospray: From electrokinetics to the operating conditions of single and coaxial Taylor cone-jets, and AC electrospray. J. Aerosol. Sci. 2020, 125, 32–56. [Google Scholar] [CrossRef]
- Ingram, G.T. Studies in electrohydrodynamics I. The circulation produced in a drop by an electric field. R. Soc. Lond. A 1966, 291, 159–166. [Google Scholar]
- Jiang, Y.; Yang, L.; Ye, D.; Guan, Y.; Deng, W.; Lai, W.; Huang, Y. Modeling and analysis of jetting behavior of surface charge induced electrohydrodynamic printing. Phys. Fluids 2024, 36, 102002. [Google Scholar] [CrossRef]
- Eden, A.; McCallum, C.; Storey, B.D.; Pennathur, S.; Meinhart, C.D. Analyte preconcentration in nanofluidic channels with nonuniform zeta potential. Phys. Rev. Fluids 2017, 2, 124203. [Google Scholar] [CrossRef]
- Dastourani, H.; Jahannama, M.R.; Eslami-Majd, A. A physical insight into electrospray process in cone-jet mode: Role of operating parameters. Int. J. Heat Fluid Flow 2018, 70, 315–335. [Google Scholar] [CrossRef]
- Zagnoni, M.; Cooper, J.M. On-chip electrocoalescence of microdroplets as a function of voltage, frequency and droplet size. Lab Chip 2009, 9, 2652–2658. [Google Scholar] [CrossRef] [PubMed]
- García-Sánchez, P.; Ramos, A.; Mugele, F. Electrothermally driven flows in ac electrowetting. Phys. Rev. E 2010, 81, 015303(R). [Google Scholar] [CrossRef]
- Ouedraogo, Y.; Gjonaj, E.; Weiland, T.; Gersem, H.D.; Steinhausen, C.; Lamanna, G.; Weigand, B.; Preusche, A.; Dreizler, A.; Schremb, M. Electrohydrodynamic simulation of electrically controlled droplet generation. Int. J. Heat Fluid Flow 2017, 64, 120–128. [Google Scholar] [CrossRef]
- Guan, Y.; Wang, M.; Wu, S.; Sha, Y.; Tian, Y.; Ye, D.; Huang, Y. The internal flow behaviors during Taylor cone formation of pulsating electrohydrodynamic jet printing. Phys. Fluids 2022, 34, 122007. [Google Scholar] [CrossRef]
- Pan, Y.; Zeng, L. Simulation and Validation of Droplet Generation Process for Revealing Three Design Constraints in Electrohydrodynamic Jet Printing. Micromachines 2019, 10, 94. [Google Scholar] [CrossRef] [PubMed]
- Singh, S.K.; Subramanian, A. Phase-field simulations of electrohydrodynamic jetting for printing nano-to-microscopic constructs. RSC Adv. 2020, 10, 25022–25028. [Google Scholar] [CrossRef] [PubMed]
- Yan, F.; Farouk, B.; Kob, F. Numerical modeling of an electrostatically driven liquid meniscus in the cone-jet mode. J. Aerosol. Sci. 2003, 34, 99–116. [Google Scholar] [CrossRef]
- Lastow, O.; Balachandran, W. Numerical simulation of electrohydrodynamic (EHD) atomization. J. Electrost. 2006, 64, 850–859. [Google Scholar] [CrossRef]
- Herrada, M.A.; López-Herrera, J.M.; Gañan-Calvo, A.M.; Vega, E.J.; Montanero, J.M.; Popinet, S. Numerical simulation of electrospray in the cone-jet mode. Phys. Rev. E 2012, 86, 026305. [Google Scholar] [CrossRef]
- Gamero-Castaño, M.; Magnani, M. Numerical simulation of electrospraying in the cone-jet mode. J. Fluid Mech. 2019, 859, 247–267. [Google Scholar] [CrossRef]
- Gañán-Calvo, A.M. Cone-Jet Analytical Extension of Taylorś Electrostatic Solution and the Asymptotic Universal Scaling Laws in Electrospraying. Phys. Rev. Lett. 1997, 79, 2. [Google Scholar] [CrossRef]
- Gañan-Calvo, A.M.; Montanero, J.M. Revision of capillary cone-jet physics: Electrospray and flow focusing. Phys. Rev. E 2009, 79, 066305. [Google Scholar] [CrossRef] [PubMed]
- Wang, Z.; Xia, L.; Tian, L.; Wang, J.; Zhan, S.; Huo, Y.; Tu, J. Natural periodicity of electrohydrodynamic spraying in ethanol. J. Aerosol. Sci. 2018, 117, 127–138. [Google Scholar] [CrossRef]
- Li, Y.; Wang, Z.; Li, B.; Tian, J.; Yu, K. Molecular dynamics simulation of the cone-jet electrospray: Role of surfactants. Int. J. Heat Mass Transf. 2023, 214, 124388. [Google Scholar] [CrossRef]
- Kim, H.-H.; Kim, J.-H.; Ogata, A. Time-resolved high-speed camera observation of electrospray. J. Aerosol. Sci. 2011, 42, 249–263. [Google Scholar] [CrossRef]
- Wang, Z.; Chen, Y.; Xue, J.; Li, B.; Wang, J.; Dong, Q. Electrospray modes of liquids in electrohydrodynamic atomization: A review. Phys. Fluids 2024, 36, 111304. [Google Scholar] [CrossRef]
- Park, I.; Hong, W.S.; Kim, S.B.; Kim, S.S. Experimental investigations on characteristics of stable water electrospray in air without discharge. Phys. Rev. E 2017, 95, 063110. [Google Scholar] [CrossRef] [PubMed]
- Wang, S.; Yazdekhasti, A.; Alizadeh, A.; Basem, A.; Jasim, D.J.; Al-Rubaye, A.H.; Salahshour, S.; Toghraie, D. Calculating minimum droplet diameter in dripping, spindle, and cone-jet modes based on experimental data in the electrospray process. Exp. Therm. Fluid Sci. 2024, 154, 111154. [Google Scholar] [CrossRef]
- Wang, Z.; Zhang, Y.; Wang, Q.; Dong, K.; Yang, S.; Jiang, Y.; Zheng, J.; Li, B.; Huo, Y.; Wang, X.; et al. Dynamics of droplet formation with oscillation of meniscus in electric periodic dripping regime. Exp. Therm. Fluid Sci. 2021, 120, 110250. [Google Scholar] [CrossRef]
- Wang, Z.; Li, R.; Tian, L.; Xia, L.; Zhan, S.; Wang, J.; Tu, J. Visualization of periodic emission of drops with micro-dripping mode in electrohydrodynamic (EHD) atomization. Exp. Therm. Fluid Sci. 2019, 105, 307–315. [Google Scholar] [CrossRef]
- Wang, Z.; Dai, Q.; Yang, S.; Tian, J.; Wang, J.; Huo, Y.; Wang, J. An experimental study on the role of electrical conductivity in the steady cone-jet electrospray. Int. J. Multiph. Flow 2024, 171, 104696. [Google Scholar] [CrossRef]
- Gañán-Calvo, A.M.; López-Herrera, J.M.; Riesco-Chueca, P. The combination of electrospray and flow focusing. J. Fluid Mech. 2006, 566, 421–445. [Google Scholar] [CrossRef]
- Wang, Q.; Wang, Z.; Yang, S.; Li, B.; Xu, H.; Yu, K.; Wang, J. Experimental study on electrohydrodynamic atomization (EHDA) in stable cone-jet with middle viscous and low conductive liquid. Exp. Therm. Fluid Sci. 2021, 121, 110260. [Google Scholar] [CrossRef]
- Morad, M.R.; Rajabi, A.; Razavi, M.; Sereshkeh, S.R.P. A Very Stable High Throughput Taylor Cone-jet in Electrohydrodynamics. Sci. Rep. 2016, 6, 38509. [Google Scholar] [CrossRef] [PubMed]
- Kebriaee, A.; Morad, M.R.; Rajabi, A.; Nasiri, H.; Pejman, S.R.; Haeri, S.A.A.R.; Javadi, E. LED nanosecond pulsed imaging for electrohydrodynamic liquid breakup of a modified nozzle. Exp. Therm. Fluid Sci. 2018, 98, 546–556. [Google Scholar] [CrossRef]
- Kong, Q.; Yang, S.; Wang, Q.; Wang, Z.; Dong, Q.; Wang, J. Dynamics of electrified jets in electrohydrodynamic atomization. Case Stud. Therm. Eng. 2022, 29, 101725. [Google Scholar] [CrossRef]
- Shao, Y.; Wang, J.; Wang, H.; Zhou, X.; Xie, Z.; Zhu, X.; Ding, Y.; Chen, R.; Liao, Q. Characterization of dynamics and heat transfer in electro-spray at elevated flow rates. Int. J. Heat Mass Transf. 2024, 226, 125473. [Google Scholar] [CrossRef]
- Rajabi, A.; Javadi, E.; Sereshkeh, S.R.P.; Morad, M.R.; Kebriaee, A.; Nasiri, H.; Haeri, S.A.A.R. Experimental characterization of an extended electrohydrodynamic cone-jet with a hemispherical nozzle. Phys. Fluids 2018, 30, 114108. [Google Scholar] [CrossRef]
- Naderi, P.; Shams, M.; Ghassemi, H. Investigation on the onset voltage and stability island of electrospray in the cone-jet mode using curved counter electrode. J. Electrost. 2019, 98, 1–10. [Google Scholar] [CrossRef]
- Huo, Y.; Wang, J.; Zuo, Z.; Fan, Y. Visualization of the evolution of charged droplet formation and jet transition in electrostatic atomization. Phys. Fluids 2015, 27, 114105. [Google Scholar] [CrossRef]
- Yazdekhasti, A.; Pishevara, A.; Valipouri, A. Investigating the effect of electrical conductivity on electrospray modes. Exp. Therm. Fluid Sci. 2019, 100, 328–336. [Google Scholar] [CrossRef]
- Eow, J.S.; Ghadiri, M.; Sharif, A. Deformation and break-up of aqueous drops in dielectric liquids in high electric fields. J. Electrost. 2001, 51–52, 463–469. [Google Scholar] [CrossRef]
- Tian, J.; Kong, L.; Li, B.; Chen, Y.; Wang, Z.; Wang, J.; Chen, B.; Xiong, J. Experimental investigation on heat transfer performance during electrospray cooling with ethanol-R141b mixture. Appl. Therm. Eng. 2023, 230, 120879. [Google Scholar] [CrossRef]
- Grifoll, J.; Rosell-Llompart, J. In-situ charge reduction of electrospray plumes by unipolar corona ions. J. Aerosol. Sci. 2024, 175, 106277. [Google Scholar] [CrossRef]
- Gañán-Calvo, A.M.; López-Herrera, J.M.; Rebollo-Muñoz, N.; Montanero, J.M. The onset of electrospray: The universal scaling laws of the first ejection. Sci. Rep. 2016, 6, 32357. [Google Scholar] [CrossRef] [PubMed]
- Suo, X.; Zhang, K.; Huang, X.; Wang, D.; Jia, H.; Yang, F.; Zhang, W.; Li, J.; Tu, L.; Song, P. Electrospray beam currents in the cone-jet mode based on numerical simulation. Phys. Fluids 2023, 35, 013603. [Google Scholar] [CrossRef]
- Rosell-Llompart, J.; Grifoll, J.; Loscertales, I.G. Electrosprays in the cone-jet mode: From Taylor cone formation to spray development. J. Aerosol. Sci. 2018, 125, 2–31. [Google Scholar] [CrossRef]
- Guerrero, J.; Hijano, A.J.; Lobato, M.A.; Higuera, F.J.; Loscertales, I.G.; Fernandez-Nieves, A. Emission modes in electro co-flow. Phys. Fluids 2019, 31, 082009. [Google Scholar] [CrossRef]
- Samant, A. Modal and nonmodal stability analysis for an electrified falling film. Phys. Rev. E 2023, 107, 045105. [Google Scholar] [CrossRef]
- Zhang, W.; Bi, D.; Wei, Y. Effect of Archimedes number on the dynamics of free-falling perforated disks. Phys. Fluids 2024, 36, 013324. [Google Scholar] [CrossRef]
- Leppinen, D.; Lister, J.R. Capillary pinch-off in inviscid fluids. Phys. Fluids 2003, 15, 568–578. [Google Scholar] [CrossRef]
- Gan, Y.; Jiang, Z.; Li, H.; Luo, Y.; Chen, X.; Shi, Y.; Yan, Y.; Yan, Y. A comparative study on droplet characteristics and specific charge of ethanol in two small-scale electrospray systems. Sci. Rep. 2019, 9, 18791. [Google Scholar] [CrossRef]
- Lamanna, G.; Kamoun, H.; Weigand, B.; Steelant, J. Towards a unified treatment of fully flashing sprays. Int. J. Multiph. Flow 2014, 58, 168–184. [Google Scholar] [CrossRef]
- Alghamdi, T.; Thoroddsen, S.T.; Hernández-Sánchez, J.F. Ultra-high speed visualization of a flash-boiling jet in a low pressure environment. Int. J. Multiph. Flow 2019, 110, 238–255. [Google Scholar] [CrossRef]
- Box, G.E.P.; Hunter, J.S.; Hunter, W.G. Statistics for Experimenters; John Wiley and Sons, Inc.: Hoboken, NJ, USA, 1978. [Google Scholar]
- Borra, J.-P. Review on water electro-sprays and applications of charged drops with focus on the corona-assisted cone-jet mode for High Efficiency Air Filtration by wet electro-scrubbing of aerosols. J. Aerosol. Sci. 2018, 125, 208–236. [Google Scholar] [CrossRef]
- Le, N.-T.; Myrick, J.M.; Seigle, T.; Huynh, P.T.; Krishnan, S. Mapping electrospray modes and droplet size distributions for chitosan solutions in unentangled and entangled concentration regimes. Adv. Powder Technol. 2018, 29, 3007–3021. [Google Scholar] [CrossRef]
- Castillo-Orozco, E.; Kar, A.; Kumar, R. Electrospray mode transition of microdroplets with semiconductor nanoparticle suspension. Sci. Rep. 2017, 7, 5144. [Google Scholar] [CrossRef] [PubMed]












| Dimensionless Parameter | Relationship | Definition | References |
|---|---|---|---|
| Reynolds [] | inertial/viscous | [64] | |
| Weber [] | inertial/surface tension | [55] | |
| [64] | |||
| Froude [] | inertial/gravitational | [65] | |
| Ohnesorge [] | viscous/surface tension | [55] | |
| Archimedes [] | gravitational/viscous | [66] | |
| Bond [] | gravitational/surface tension | [63] | |
| Electric Weber [] | inertial–electric/surface tension | [47] | |
| Electric Bond [] | electric/surface tension | [54] | |
| Parameter [Γ] | electric/gravitational | – | |
| Parameter [] | electric/viscous | – |
| Variable | Value | Unit |
|---|---|---|
| Surface tension [] | 0.022 | N/m |
| Density [] | 789.3 | kg/m3 |
| Dynamic viscosity [] | 0.00117 | Pa·s |
| Electrical conductivity [K] | 5 × 105 | S/m |
| Relative permittivity [] | 25.3 | – |
| Purity, [] | 99.7% | – |
| Factor | Unit | Level | ||
|---|---|---|---|---|
| Low | Medium | High | ||
| Voltage [V] | kV | 2.0 | 3.5 | 5.0 |
| Distance [L] | mm | 4.0 | 8.5 | 13.0 |
| Variable | Value | Unit | Dimensionless Parameter | Value |
|---|---|---|---|---|
| Voltage [V] | 2.0–5.0 | kV | Bond [] | 0.008–1.6 |
| Distance [L] | 4–13 | mm | Electric Bond [] | 0–8.45 |
| Inner nozzle diameter [] | 300 | μm | Parameter [Γ] | 0–280 |
| Opening ring diameter [l] | 2000 | μm | Reynolds [] | 17.48 |
| Gravity [g] | 9.81 | kg·m/s2 | Weber [] | 0.150 |
| Flow rate [Q] | 0.501 | mL/min | Ohnesorge [] | 0.022 |
| Air permittivity [] | 8.859 × 10−12 | F/m | Electric Weber [] | 237.7 |
| Factor | Prediction Model |
|---|---|
| Spray angle, | = −79.0926 + 65.7778 V − 2.00741 L − 7.6 |
| θ [°] | |
| Number of particles | n = −2.792118 + 7.18519 V − 1.20576 L − 0.962963 + |
| n | 0.22222 + 0.0164609 |
| Mean particle diameter | = 0.7657769 − 0.577241 V + 0.134685 L + |
| [mm] | 0.0921481 − 0.0286296 |
| Response | Test | ||||||||
|---|---|---|---|---|---|---|---|---|---|
| Variable | 1 | 2 | 3 | 4 | 5 | 6 | 7 | 8 | 9 |
| Spray angle θ [°] | |||||||||
| Experimental | 10.3 | 13.7 | 0 | 56 | 42 | 34.9 | 57.7 | 44.6 | 34.9 |
| Predicted | 17.03 | 8 | −1.03 | 50 | 41.5 | 32.0 | 54.76 | 43.73 | 33.5 |
| Number of particles n | |||||||||
| Experimental | 6 | 1 | 1 | 8 | 9 | 8 | 9 | 10 | 10 |
| Predicted | 4.94 | 2.44 | 0.50 | 9 | 8 | 7.85 | 8.94 | 9.45 | 10.61 |
| Mean particle diameter [mm] | |||||||||
| Experimental (average) | 0.2 | 0.754 | 0.96 | 0.082 | 0.154 | 0.266 | 0.106 | 0.126 | 0.093 |
| Predicted | 0.322 | 0.705 | 1.06 | 0.012 | 0.185 | 0.352 | 0.167 | 0.115 | 0.088 |
Disclaimer/Publisher’s Note: The statements, opinions and data contained in all publications are solely those of the individual author(s) and contributor(s) and not of MDPI and/or the editor(s). MDPI and/or the editor(s) disclaim responsibility for any injury to people or property resulting from any ideas, methods, instructions or products referred to in the content. |
© 2025 by the authors. Licensee MDPI, Basel, Switzerland. This article is an open access article distributed under the terms and conditions of the Creative Commons Attribution (CC BY) license (https://creativecommons.org/licenses/by/4.0/).
Share and Cite
Pastor-Reyes, O.; Hernández-Sánchez, J.F.; Martínez-Arellano, I.; Sánchez, S.; Castillo, J.; Damián, R.; Zenit, R.; Brito-de la Fuente, E.; Ascanio, G. The Hydrodynamics of Electrically Charged Flows. Processes 2025, 13, 567. https://doi.org/10.3390/pr13020567
Pastor-Reyes O, Hernández-Sánchez JF, Martínez-Arellano I, Sánchez S, Castillo J, Damián R, Zenit R, Brito-de la Fuente E, Ascanio G. The Hydrodynamics of Electrically Charged Flows. Processes. 2025; 13(2):567. https://doi.org/10.3390/pr13020567
Chicago/Turabian StylePastor-Reyes, Octavio, José Federico Hernández-Sánchez, Isadora Martínez-Arellano, Salvador Sánchez, José Castillo, Ricardo Damián, Roberto Zenit, Edmundo Brito-de la Fuente, and Gabriel Ascanio. 2025. "The Hydrodynamics of Electrically Charged Flows" Processes 13, no. 2: 567. https://doi.org/10.3390/pr13020567
APA StylePastor-Reyes, O., Hernández-Sánchez, J. F., Martínez-Arellano, I., Sánchez, S., Castillo, J., Damián, R., Zenit, R., Brito-de la Fuente, E., & Ascanio, G. (2025). The Hydrodynamics of Electrically Charged Flows. Processes, 13(2), 567. https://doi.org/10.3390/pr13020567

