Digitised Optimisation of Nanoparticle Synthesis via Laser Ablation: An Industry 4.0 Multivariate Approach for Enhanced Production
Abstract
1. Introduction
2. Materials and Methods
2.1. Experimental Setup
2.2. Target Preparation
2.3. Nanoparticle Colloid Characterisation
2.4. Test Scheduling
2.5. Model Development
2.5.1. Taguchi Orthogonal Array
2.5.2. Full-Factorial Design
3. Results
3.1. Taguchi Model
3.1.1. Signal-to-Noise Analysis
3.1.2. ANOVA Analysis
Colloid Absorbance
Nanoparticle Diameter
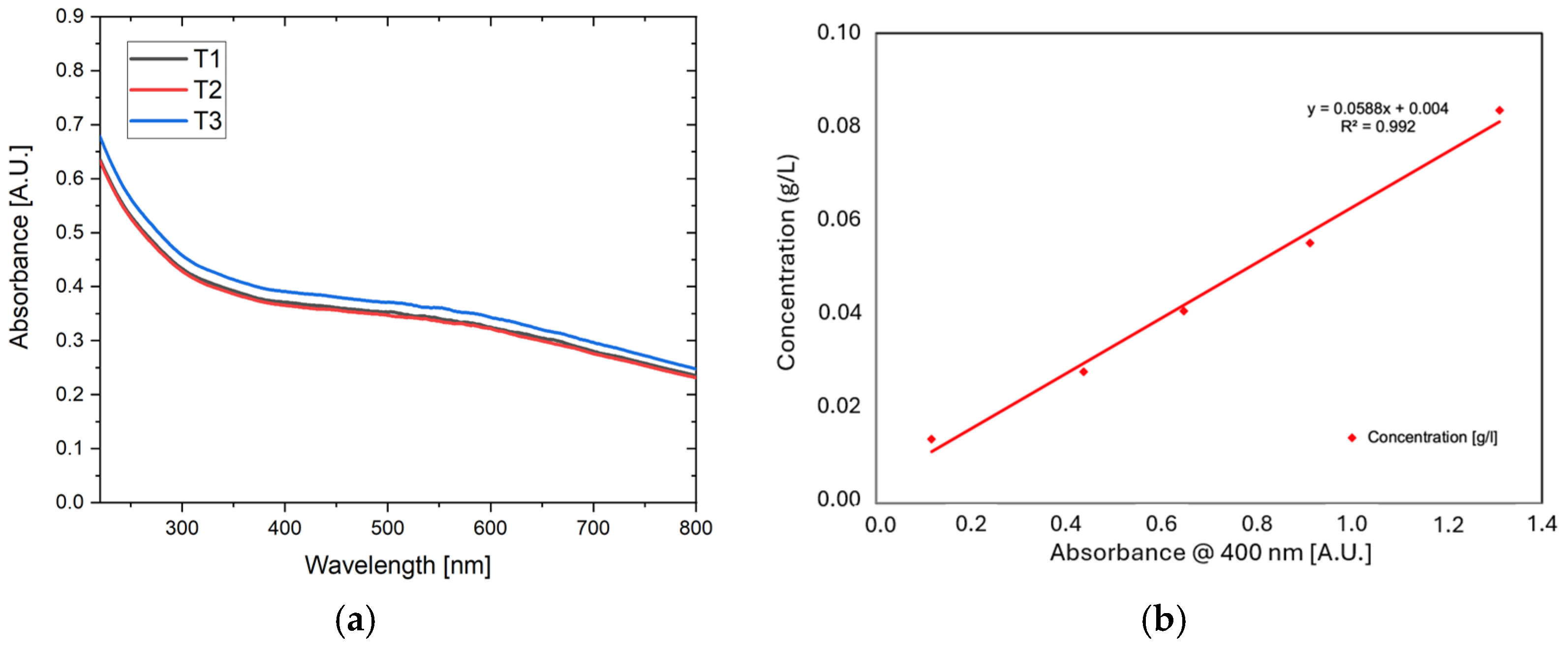
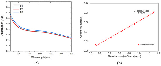
3.1.3. Model Validation
3.2. Full-Factorial Model
ANOVA Analysis
4. Discussion
5. Conclusions
Supplementary Materials
Author Contributions
Funding
Data Availability Statement
Acknowledgments
Conflicts of Interest
References
- Barcikowski, S.; Amendola, V.; Marzun, G.; Rehbock, C.; Reichenberger, S.; Zhang, D.; Gökce, B. Handbook of Laser Synthesis of Colloids; DuEPublico: Duisburg-Essen, Germany, 2016. [Google Scholar]
- Freeland, B.; McCann, R.; O’Neill, P.; Sreenilayam, S.P.; Tiefenthaler, M.; Dabros, M.; Juillerat, M.; Foley, G.; Brabazon, D. Real-time monitoring and control for high-efficiency autonomous laser fabrication of silicon nanoparticle colloids. Int. J. Adv. Manuf. Technol. 2021, 114, 291–304. [Google Scholar] [CrossRef]
- Manikandan, N.A.; McCann, R.; Kakavas, D.; Rochfort, K.D.; Sreenilayam, S.P.; Alkan, G.; Stornetta, T.; McGivern, A.R.; Grintzalis, K.; Friedrich, B.; et al. Production of Silver Nano-Inks and Surface Coatings for Anti-Microbial Food Packaging and Its Ecological Impact. Int. J. Mol. Sci. 2023, 24, 5341. [Google Scholar] [CrossRef]
- Tsaramirsis, G.; Kantaros, A.; Al-Darraji, I.; Piromalis, D.; Apostolopoulos, C.; Pavlopoulou, A.; Alrammal, M.; Ismail, Z.; Buhari, S.M.; Stojmenovic, M.; et al. A Modern Approach towards an Industry 4.0 Model: From Driving Technologies to Management. J. Sens. 2022, 2022, 5023011. [Google Scholar] [CrossRef]
- Parmar, A.; Kapil, S.; Sachar, S.; Sharma, S. Design of experiment based methodical optimization and green syntheses of hybrid patchouli oil coated silver nanoparticles for enhanced antibacterial activity. Curr. Res. Green Sustain. Chem. 2020, 3, 1000016. [Google Scholar] [CrossRef]
- McCann, R.; Bagga, K.; Duaux, G.; Stalcup, A.; Vázquez, M.; Brabazon, D. Taguchi method modelling of Nd:YAG laser ablation of microchannels on cyclic olefin polymer film. Opt. Laser Technol. 2018, 106, 265–271. [Google Scholar] [CrossRef]
- Loutas, T.H.; Sotiriadis, G.; Tsonos, E.; Psarras, S.; Kostopoulos, V. Investigation of a pulsed laser ablation process for bonded repair purposes of CFRP composites via peel testing and a design-of-experiments approach. Int. J. Adhes. Adhes. 2019, 95, 102407. [Google Scholar] [CrossRef]
- Schatz, A.; Pantel, D.; Hanemann, T. Application of DoE methods to establish a model for the pulsed laser deposition of PZT thin-films. In Proceedings of the 2016 Joint IEEE International Symposium on the Applications of Ferroelectrics, European Conference on Application of Polar Dielectrics, and Piezoelectric Force Microscopy Workshop (ISAF/ECAPD/PFM), Darmstadt, Germany, 21–25 August 2016. [Google Scholar]
- Khan, R.; Inam, M.A.; Park, D.R.; Zam Zam, S.; Yeom, I.T. Taguchi Orthogonal Array Dataset for the Effect of Water Chemistry on Aggregation of ZnO Nanoparticles. Data 2018, 3, 21. [Google Scholar] [CrossRef]
- El-Ghwas, D.E.; Mazeed, T.E.; El-Waseif, A.; Al-Zahrani, H.A.; Almaghrabi, O.A.; Elazzazy, A.M. Factorial Experimental Design for Optimization of Zinc Oxide Nanoparticle Production. Curr. Nanosci. 2020, 16, 51–61. [Google Scholar] [CrossRef]
- Zielinska, A.; Ferreira, N.R.; Durazzo, A.; Lucarini, M.; Cicero, N.; Mamouni, S.E.; Silva, A.M.; Nowak, I.; Santini, A.; Souto, E.B. Development and Optimization of Alpha-Pinene-Loaded Solid Lipid Nanoparticles (SLN) Using Experimental Factorial Design and Dispersion Analysis. Molecules 2019, 24, 2683. [Google Scholar] [CrossRef]
- Freeland, B.; McCann, R.; Alkan, G.; Friedrich, B.; Foley, G.; Brabazon, D. Stable nano-silver colloid production via Laser Ablation Synthesis in Solution (LASiS) under laminar recirculatory flow. Adv. Mater. Process. Technol. 2020, 6, 677–685. [Google Scholar] [CrossRef]
- Balachandran, A.; Sreenilayam, S.P.; Madanan, K.; Thomas, S.; Brabazon, D. Nanoparticle production via laser ablation synthesis in solution method and printed electronic application- A brief review. Results Eng. 2022, 16, 100646. [Google Scholar] [CrossRef]
- Khairani, I.Y.; Minguez-Vega, G.; Donate-Buendia, C.; Gokce, B. Green nanoparticle synthesis at scale: A perspective on overcoming the limits of pulsed laser ablation in liquids for high-throughput production. Phys. Chem. Chem. Phys. 2023, 25, 19380–19408. [Google Scholar] [CrossRef] [PubMed]
- Intartaglia, R.; Bagga, K.; Brandi, F. Study on the productivity of silicon nanoparticles by picosecond laser ablation in water: Towards gram per hour yield. Opt. Express. 2014, 22, 3117–3127. [Google Scholar] [CrossRef] [PubMed]
- Cannon, P.; Freeland, B.; Jaquiery, M.; McGlynn, E.; Gaughran, J. Single-step functionalization of silicon nanoparticles providing efficient DNA binding. Colloids Surf. A Physicochem. Eng. Asp. 2022, 648, 129217. [Google Scholar] [CrossRef]
- Pavithran, S.S.; McCann, R.; McCarthy, E.; Freeland, B.; Fleischer, K.; Goodnick, S.; Bowden, S.; Honsberg, C.; Brabazon, D. Silver and Copper nano-colloid generation via Pulsed Laser Ablation in Liquid: Recirculation nanoparticle production mode. ESAFORM, ESAFORM. In Proceedings of the 24th International Conference on Material Forming, Liège, Belgique, 14–16 April 2021. [Google Scholar] [CrossRef]
- Lopez, J.; Kling, R.; Torres, R.; Lidolff, A.; Delaigue, M.; Ricaud, S.; Hönninger, C.; Mottay, E. Comparison of picosecond and femtosecond laser ablation for surface engraving of metals and semiconductor. In Proceedings of the SPIE 8243, Laser Applications in Microelectronic and Optoelectronic Manufacturing (LAMOM) XVII, 8243, San Francisco, CA, USA, 23–26 January 2012. [Google Scholar]
- Intartaglia, R.; Bagga, K.; Scotto, M.; Diaspro, A.; Brandi, F. Luminescent silicon nanoparticles prepared by ultra short pulsed laser ablation in liquid for imaging applications. Opt. Mater. Express 2012, 2, 510–518. [Google Scholar] [CrossRef]
- Intartaglia, R.; Bagga, K.; Brandi, F.; Das, G.; Genovese, A.; Di Fabrizio, E.; Diaspro, A. Optical properties of femtosecond laser-synthesized silicon nanoparticles in deionized water. J. Phys. Chem. C. 2011, 115, 5102–5107. [Google Scholar] [CrossRef]
- Zhang, D.; Gokce, B.; Barcikowski, S. Laser Synthesis and Processing of Colloids: Fundamentals and Applications. Chem. Rev. 2017, 117, 3990–4103. [Google Scholar] [CrossRef]
- Sajti, C.L.; Sattari, R.; Chichkov, B.N.; Barcikowski, S. Gram scale synthesis of pure ceramic nanoparticles by laser ablation in liquid. J. Phys. Chem. C. 2013, 114, 2421–2427. [Google Scholar] [CrossRef]
- Bagga, K.; McCann, R.; Wang, M.; Stalcup, A.; Vazquez, M.; Brabazon, D. Laser assisted synthesis of carbon nanoparticles with controlled viscosities for printing applications. J. Colloid Interface Sci. 2015, 447, 263–268. [Google Scholar] [CrossRef]
- Rehbock, C.; Merk, V.; Gamrad, L.; Streubela, R.; Barcikowski, S. Size control of laser-fabricated surfactant-free gold nanoparticles with highly diluted electrolytes and their subsequent bioconjugation. Phys. Chem. Chem. Phys. 2013, 15, 3057–3067. [Google Scholar] [CrossRef]
- Cortez-Lemus, N.A.; Licea-Claverie, A.; Paraguay-Delgado, F.; Alonso-Nuñez, G. Gold nanoparticles size design and control by poly(N,N′-diethylaminoethyl methacrylate). J. Nanomater. 2015, 2015, 273814. [Google Scholar] [CrossRef]
- Semlali, S.; Cormary, B.; De Marco, M.L.; Majimel, J.; Saquet, A.; Coppel, Y.; Gonidec, M.; Rosa, P.; Drisko, G.L. Effect of solvent on silicon nanoparticle formation and size: A mechanistic study. Nanoscale 2019, 11, 4696–4700. [Google Scholar] [CrossRef] [PubMed]
- Amendola, V.; Meneghetti, M. What controls the composition and the structure of nanomaterials generated by laser ablation in liquid solution? Phys. Chem. Chem. Phys. 2013, 15, 3027–3046. [Google Scholar] [CrossRef]
- Yang, S.; Cai, W.; Zhang, H.; Xu, X.; Zeng, H. Size and Structure Control of Si Nanoparticles by Laser Ablation in Different Liquid Media and Further Centrifugation Classification. J. Phys. Chem. C. 2009, 113, 19091–19095. [Google Scholar] [CrossRef]
- Bajaj, G.; Soni, R.K. Effect of liquid medium on size and shape of nanoparticles prepared by pulsed laser ablation of tin. Appl. Phys. A. 2009, 97, 481–487. [Google Scholar] [CrossRef]












| Factors | Symbol | Unit | Level −2 | Level −1 | Level +1 | Level +2 | R |
|---|---|---|---|---|---|---|---|
| Laser power | LP | [%] | 61 | 74.5 | 87 | 100 | 87 |
| Repetition rate | RR | [KHz] | 10 | 30 | 50 | 70 | 10 |
| Scan-speed | SS | [mm/s] | 2 | 4 | 6 | 8 | 2 |
| Flow rate | FR | [ml/min] | 15 | 90 | 165 | 240 | 165 |
| Solvent pressure | P | [bar] | 1 | 1.7 | 2.3 | 3 | 1 |
| Factors | Symbol | Unit | Level −1 | Level 0 | Level +1 | R |
|---|---|---|---|---|---|---|
| Laser power | LP | % | 70 | 80 | 100 | 80 |
| Repetition rate | RR | kHz | 10 | 35 | 60 | 35 |
| Scan-speed | SS | mm/s | 1.8 | 4.8 | 7.8 | 4.8 |
| Label | Run | FR | P | LP | RR | SS | UV–Vis Abs @ 400 nm | Np Size | Np Size (Filt.) |
|---|---|---|---|---|---|---|---|---|---|
| [ - ] | [ - ] | [ml/min] | [bar] | [%] | [kHz] | [mm/s] | [A.U] | [nm] | [nm] |
| 1 | 1 | −2 | +2 | +2 | +2 | +2 | 0.075 | 232 | 29 |
| 2 | 2 | +2 | −2 | +2 | −1 | 1 | 0.330 | 257 | 52.7 |
| 3 | 3 | +2 | +2 | −2 | +1 | −1 | 0.014 | 166 | 32.4 |
| 4 | 4 | +1 | −2 | +1 | +2 | −1 | 0.018 | 161 | 53.8 |
| 5 | 5 | +1 | +1 | −2 | −1 | +2 | 0.074 | 200 | 55.1 |
| 6 | 6 | +1 | −1 | +2 | +1 | −2 | 0.245 | 242 | 47.6 |
| R1 | 7 | +1 | −2 | +1 | −2 | −2 | 0.286 | 212 | 52.5 |
| 7 | 8 | +2 | +1 | −1 | +2 | −2 | 0.004 | 171 | 55 |
| 8 | 9 | −2 | +1 | +1 | +1 | +1 | 0.010 | 193 | 50.9 |
| 9 | 10 | −1 | −2 | −1 | +1 | +2 | 0.012 | 188 | 51 |
| 10 | 11 | +1 | +2 | −1 | −2 | +1 | 0.265 | 325 | 52.5 |
| 11 | 12 | −1 | +2 | +1 | −1 | −2 | 0.360 | 309 | 67.2 |
| 12 | 13 | −1 | −1 | −2 | +2 | +1 | 0.000 | 327 | 40.2 |
| R2 | 14 | +1 | −2 | +1 | −2 | −2 | 0.296 | 275 | 74.8 |
| 13 | 15 | −1 | +1 | +2 | −2 | −1 | 0.332 | 251 | 43.3 |
| 14 | 16 | +2 | −1 | +1 | −2 | +2 | 0.319 | 125 | 46.3 |
| 15 | 17 | −2 | −2 | −2 | −2 | −2 | 0.142 | 268 | 6.8 |
| 16 | 18 | −2 | −1 | −1 | −1 | −1 | 0.050 | 226 | 77.3 |
| R3 | 19 | +1 | −2 | +1 | −2 | −2 | 0.305 | 292 | 49 |
| Response | Factor | Level | Delta | Rank | |||
|---|---|---|---|---|---|---|---|
| −2 | −1 | 1 | 2 | ||||
| Colloid absorbance | RR | −12 | −16.78 | −32.02 | −46.11 | 34.11 | 1 |
| LP | −38.77 | −31.24 | −23.42 | −13.48 | 25.29 | 2 | |
| FR | −26.37 | −33.91 | −20.32 | −26.32 | 13.6 | 3 | |
| SS | −21.67 | −26.89 | −34.9 | −23.46 | 13.23 | 4 | |
| P | −25.07 | −31.64 | −30.21 | −20 | 11.65 | 5 | |
| NPs size | RR | −40.15 | −41.36 | −40.04 | −35.77 | 5.59 | 1 |
| LP | −38.45 | −41.9 | −36.43 | −40.54 | 5.47 | 2 | |
| FR | −38.89 | −41.41 | −40.51 | −36.51 | 4.91 | 3 | |
| SS | −41.68 | −38.36 | −39.61 | −37.67 | 4.01 | 4 | |
| P | −37.89 | −39.92 | −38.37 | −41.15 | 3.26 | 5 | |
| Response | DoF | Adjusted R2 | Predicted R2 | Adequate Precision | F Value |
|---|---|---|---|---|---|
| Absorbance units (A.U) | 7 | 0.92 | 0.83 | 16.20 | 31.25 |
| Response | DoF | Adjusted R2 | Predicted R2 | Adequate Precision | F Value |
|---|---|---|---|---|---|
| NPs size (nm) | 8 | 0.75 | 0.49 | 10.75 | 7.71 |
| Filtered NPs size (nm) | 3 | 0.31 | 0.17 | 5.77 | 1.07 |
| Label [ - ] | FR [mL/min] | P [bar] | LP [%] | RR [kHz] | SS [mm/s] | Abs. Pred. [A.U.] | Abs. Exp [A.U.] | MRE [%] | Ablation Rate [mg/h] |
|---|---|---|---|---|---|---|---|---|---|
| Ver 1 (V1–V3) | 199 | 1 | 92 | 25 | 6 | 0.25 | 0.327 ± 0.01 | 30.98 | 24.3 ± 3.9 |
| Ver 2 (V4–V6) | 101 | 2.4 | 100 | 10 | 4 | 0.36 | 0.337 ± 0.01 | 6.5 | 21.0 ± 0.2 |
| Testmax (T1-3) | 188 | 2.5 | 100 | 24 | 2 | 0.44 | 0.372 ± 0.01 | 38.2 | 25.2 ± 2.5 |
| Target | Run | LP | SS | RR | UV–Vis Abs @ 400 | DLS Size |
|---|---|---|---|---|---|---|
| [ - ] | [ - ] | [%] | [mm/s] | [kHz] | [ - ] | [nm] |
| 1 | 1 | 0 | −1 | 0 | 0.2638 | 68.8 |
| 1 | 2 | 1 | −1 | 0 | 0.3271 | 139.8 |
| 1 | 3 | 1 | 1 | 0 | 0.3474 | 129.7 |
| 1 | 4 | 1 | 0 | −1 | 0.3196 | 88.6 |
| 1 | 5 | −1 | 0 | −1 | 0.2100 | 63.4 |
| 1 | 6 | 1 | 1 | 1 | 0.1687 | 174.2 |
| 1 | 7 | 0 | 0 | 0 | 0.2728 | 106.7 |
| 2 | 8 | 0 | 1 | 0 | 0.2802 | 36.1 |
| 2 | 9 | −1 | −1 | −1 | 0.2921 | 117.1 |
| 2 | 10 | 0 | 0 | −1 | 0.3157 | 122.3 |
| 2 | 11 | −1 | −1 | 1 | 0.0202 | 58.2 |
| 2 | 12 | 0 | −1 | 1 | 0.0402 | 120.8 |
| 2 | 13 | 1 | 0 | 1 | 0.1589 | 253.2 |
| 2 | 14 | 1 | 1 | −1 | 0.3132 | 123.0 |
| 3 | 15 | 0 | 0 | 0 | 0.2300 | 190.7 |
| 3 | 16 | −1 | 0 | 1 | 0.0095 | 67.5 |
| 3 | 17 | −1 | 1 | 0 | 0.1609 | 235.7 |
| 3 | 18 | 1 | −1 | −1 | 0.3079 | 110.0 |
| 3 | 19 | 1 | 0 | 0 | 0.3386 | 92.8 |
| 3 | 20 | 0 | 0 | 0 | 0.2974 | 113.3 |
| 4 | 21 | −1 | −1 | 0 | 0.1627 | 94.1 |
| 4 | 22 | −1 | 0 | 0 | 0.1667 | 47.3 |
| 4 | 23 | −1 | 1 | 1 | 0.0047 | 126.1 |
| 4 | 24 | 1 | −1 | 1 | 0.1324 | 90.3 |
| 4 | 25 | 0 | 0 | 0 | 0.2714 | 212.8 |
| 4 | 26 | 0 | 0 | 1 | 0.0565 | 267.8 |
| 4 | 27 | −1 | 1 | −1 | 0.2571 | 243.2 |
| 5 | 28 | 0 | 1 | 1 | 0.0432 | 153.3 |
| 5 | 29 | 0 | −1 | −1 | 0.3259 | 95.7 |
| 5 | 30 | 0 | 1 | −1 | 0.3113 | 136.0 |
| Response | DoF | Adjusted R2 | Predicted R2 | Adequate Precision | F Value |
|---|---|---|---|---|---|
| Absorption (A.U) | 3 | 0.926 | 0.910 | 31.48 | 122.34 |
Disclaimer/Publisher’s Note: The statements, opinions and data contained in all publications are solely those of the individual author(s) and contributor(s) and not of MDPI and/or the editor(s). MDPI and/or the editor(s) disclaim responsibility for any injury to people or property resulting from any ideas, methods, instructions or products referred to in the content. |
© 2025 by the authors. Licensee MDPI, Basel, Switzerland. This article is an open access article distributed under the terms and conditions of the Creative Commons Attribution (CC BY) license (https://creativecommons.org/licenses/by/4.0/).
Share and Cite
Freeland, B.; McCann, R.; Akkoyunlu, B.; Tiefenthaler, M.; Dabros, M.; Juillerat, M.; Rochfort, K.D.; Foley, G.; Brabazon, D. Digitised Optimisation of Nanoparticle Synthesis via Laser Ablation: An Industry 4.0 Multivariate Approach for Enhanced Production. Processes 2025, 13, 388. https://doi.org/10.3390/pr13020388
Freeland B, McCann R, Akkoyunlu B, Tiefenthaler M, Dabros M, Juillerat M, Rochfort KD, Foley G, Brabazon D. Digitised Optimisation of Nanoparticle Synthesis via Laser Ablation: An Industry 4.0 Multivariate Approach for Enhanced Production. Processes. 2025; 13(2):388. https://doi.org/10.3390/pr13020388
Chicago/Turabian StyleFreeland, Brian, Ronan McCann, Burcu Akkoyunlu, Manuel Tiefenthaler, Michal Dabros, Mandy Juillerat, Keith D. Rochfort, Greg Foley, and Dermot Brabazon. 2025. "Digitised Optimisation of Nanoparticle Synthesis via Laser Ablation: An Industry 4.0 Multivariate Approach for Enhanced Production" Processes 13, no. 2: 388. https://doi.org/10.3390/pr13020388
APA StyleFreeland, B., McCann, R., Akkoyunlu, B., Tiefenthaler, M., Dabros, M., Juillerat, M., Rochfort, K. D., Foley, G., & Brabazon, D. (2025). Digitised Optimisation of Nanoparticle Synthesis via Laser Ablation: An Industry 4.0 Multivariate Approach for Enhanced Production. Processes, 13(2), 388. https://doi.org/10.3390/pr13020388

