Abstract
A high-temperature resistant suspension stabilizer, SIAM-1, for high-density cement slurry used in deep/ultra-deep well cementing has been successfully developed. This suspension stabilizer is based on the temperature-resistant monomers 2-acrylamido-2-methylpropane sulfonic acid (AMPS) and N,N-dimethylacrylamide (NNDMA). Meanwhile, two functional monomers, long-hydrophobic-side-chain temperature-sensitive monomers and temperature-resistant monomer-modified nano-SiO2 monomers, were introduced. To enhance the participation of two functional monomers in the polymerization process, a method combining a small amount of acrylamide (AM) and emulsion polymerization was employed, leading to the successful synthesis of SIAM-1 with a high content of functional monomers. The study also explores the effects of polymerization method and AM on the conformational characteristics of the resulting polymers. The results confirm that the polymer structure aligns with the designed configuration, and SIAM-1 demonstrates excellent high-temperature resistance, with a tolerance of up to 210 °C. The optimal dosage of AM was found to be 4% of the total monomer mass. SIAM-1 exhibits excellent high-temperature rheological properties, maintaining a viscosity as high as 128 mP·s at 210 °C. Moreover, it effectively improves the suspension stability of the cement slurry at 210 °C. The density differences in the conventional-density and high-density cement slurries are 0.006 g∙cm−3 and 0.039 g∙cm−3, respectively. This research is beneficial for increasing the viscosity of the cement slurry at high temperatures, effectively preventing the settlement of solid-phase particles under high-temperature and high-pressure well conditions. Consequently, it enhances the cementing effect of deep/ultra-deep wells and reduces cementing-related risks.
1. Introduction
Due to the abundant reserves and vast resource potential of deep oil and gas formations, the focus of exploration and development efforts has gradually shifted towards these deeper reservoirs [1,2,3]. Cementing plays a critical role in the construction of oil and gas wells, bridging the gap between drilling and subsequent development phases. It is crucial for ensuring the operational lifespan of wells and for facilitating the safe and efficient extraction of oil and gas resources [4,5]. However, the challenges presented by deep and ultra-deep wells—characterized by high-temperature and high-pressure environments—place heightened demands on cementing operations [6,7]. To balance the formation pressure, a high-density cement slurry is needed for cementing [8]. For example, in recent years, China has been developing deep oil and gas extraction methods with high temperature and pressure, complex geological conditions, and other characteristics, often drilled with ultrahigh-pressure layer sections. The site cement slurry density has been as high as 2.60 g/cm3, and the bottom of the well temperature is as high as 198 °C [9,10,11]. The high-temperature and high-pressure problems faced by deep oil and gas development are prominent, especially the combined effect of high-temperature and high-pressure conditions, which puts forward higher requirements and challenges for the stability of anti-temperature settlement and performance control of high-density cement slurry [12,13,14]. In cementing operations, the density of the cement slurry is increased by incorporating a large amount of weighting agent [15,16,17,18]. Under a high-temperature environment, due to its high density and large amount of weighting agent in the high-density cement slurry, the slurry is very prone to settlement and destabilization, and the solid-phase particles of the weighting agent settle and gather or even agglomerate [19,20]. This causes bridge plugging, the precipitation of a significant amount of free fluid, or the formation of oil, gas, and water flow paths, leading to a high risk of cementing construction and a low cementing quality qualification rate, and even jeopardizing the production and safety of high-temperature and high-pressure oil and gas wells [21,22,23,24]. Therefore, it is of great significance to ensure the good settlement stability of high-temperature and high-density cement slurries to improve cementing quality and ensure the safety of cementing construction.
The addition of suspension stabilizers is a common practice to improve the stability of cemented water slurries [16,25,26]. The commonly used suspension stabilizers are inorganic materials and organic polymers. Inorganic materials, including ultrafine materials, nanomaterials, microsilica, bentonite, and sea foam, through the hydration of the formed network structure play a role in stabilizing the settlement, but adding too many inorganic material stabilizers can affect the fluidity of the slurry, and it has a negative impact on the strength of the cementitious stone [27,28,29]. Organic polymers, including xanthan gum, guar gum, Wenlun gum, AMPS-type polymers, etc., improve the settlement stability by enhancing the viscosity of the cement slurry and increasing the viscous force between particles [30,31]. However, under high-temperature conditions, polymers undergo degradation reactions in the form of depolymerization, random chain breakage, and group removal, which reduce their molecular weights, thus greatly reducing the system viscosity and losing the suspension ability [32]. Therefore, it is crucial to develop high-temperature-resistant suspension stabilizers for high-density cement slurries.
Currently, relatively little attention has been given to the settlement stability of cement slurries. There are only a handful of available suspension stabilizer products, predominantly composite suspension stabilizers with limited temperature resistance. Nevertheless, the overall performance of cement slurries containing these composite suspension stabilizers is far from satisfactory. The hydration temperature and rate of the inorganic materials within the composites are challenging to control, which impose significant limitations on the application of these stabilizers.
In light of these shortcomings in the existing anti-settlement technologies for cement slurries, we have developed a novel suspension stabilizer, SIAM-1, which is specifically tailored for high-temperature and high-density cement slurries. SIAM-1 is built upon temperature-resistant monomers AMPS and NNDMA, with the incorporation of temperature-sensitive monomers featuring long hydrophobic side-chains and graft-modified nano-SiO₂ temperature-resistant monomers. Considering that both of these monomers exhibit a certain degree of hydrophobicity and poor dispersibility in aqueous solutions, we innovatively adopted a method that combines the addition of a small amount of AM monomer with emulsion polymerization to enhance the incorporation of the two functional monomers into the polymer.
Consequently, a temperature-resistant polymer, SIAM-1, suitable for cement slurries in deep and ultra-deep well cementing, has been successfully synthesized. It is capable of withstanding temperatures up to 210 °C. This development presents a new approach of improving the settlement stability of high-temperature and unconventional density cementing slurries and provides technical support for the development and utilization of deep oil and gas resources.
2. Experimental
2.1. Main Reagents
2-Acrylamido-2-methylpropane (AMPS), analytically pure, Guangdong Wengjiang Chemical Reagent Co., Ltd. (Shaoguan, China); N,N-dimethylacrylamide (NNDMA), analytically pure, Shanghai Aladdin Biochemical Science & Technology Co., Ltd. (Shanghai, China); modified nano-SiO2 monomers, self-manufactured; vinyltriethoxysilane (VTES), analytically pure, Shanghai Aladdin Biochemical Science & Technology Co., Ltd. (Shanghai, China); temperature-sensitive monomer, self-manufactured; acrylamide (AM), analytically pure, Shanghai Aladdin Biochemical Science and Technology Co., Ltd. (Shanghai, China); and G-grade oil well cement, Jiahua Special Cement Co., Ltd. (Jiahua, China), were utilized in the experiments.
2.2. Synthesis of Suspension Stabilizers
The suspension stabilizer SIAM-1 was meticulously prepared in the laboratory as follows: AMPS, NNDMA, AM, and long side-chain hydrophobic monomer were introduced into a three-necked flask containing deionized water, which was deoxidized in advance, and mixed thoroughly. The pH of the mixture was adjusted and white oil, span80, and OP-10 were added. Subsequently, graft-modified nano-SiO2 monomers were added to the reaction system after ultrasonic dispersion for 30 min. The molar ratio of AMPS to NNDMA was maintained at 2:3, LSTM was added to account for 16 wt% of the total mass of the monomers, and graft-modified nano-SiO2 monomers accounted for 3 wt% of the total mass of the monomers. The total monomer mass concentration was 24–28 wt%. White oil was 10 wt% of the total mass of the mixture. The reaction was carried out at 30 °C for 8 h with continuous nitrogen flux. After the completion of the reaction, the suspension stabilizer SIAM-1 is emulsified, purified, dried, and milled, or it can be exported as a product without emulsification.
Thermosensitive monomers with long hydrophobic alkyl side-chains were prepared using chloropropylene and dimethyl alkyl (C18-C22) amines as raw materials. The principle of the nucleophilic substitution reaction between amine and halogenated hydrocarbons was utilized, with anhydrous ethanol as the solvent. The reaction temperature was set at 70 °C, and the reaction was kept at constant temperature with stirring and reflux for approximately 20 h. Then, the mixture was distilled under reduced pressure to remove the ethanol solvent, and a light-yellow substance was obtained, which was the cationic long-hydrophobic-alkyl-side-chain temperature-sensitive monomer.
The modified nano-SiO2 monomer was prepared by adding a certain amount of ethanol, nano-SiO2 particles, distilled water, and ammonia sequentially into a round-bottomed flask, and ultrasonic treatment was performed for approximately 30 min to ensure that the nano-SiO2 particles were fully dispersed. Then, an appropriate amount of vinyltriethoxysilane (VTES) was added to the round-bottomed flask, the temperature was controlled at approximately 30 °C, and the reaction time was approximately 18 h. Finally, centrifugal separation and distilled water washing were performed, and the modified nano-SiO2 monomer was produced.
2.3. Microscopic Characterization and Evaluation of the Polymer Suspension Stabilizer
(1) Infrared spectral analysis
The purified polymer SIAM-1 samples were pressed with KBr in an agate mortar ground to approximately 15 μm using a NEXUS FT Fourier-transform infrared (FTIR) spectrometer (Thermo Nicolet co., Madison, Wisconsin, USA) for infrared spectroscopic analysis; the number of scans was 28, and the range of wavenumbers was 400–4000 cm−1.
(2) Thermal stability analysis
The thermal stability of the polymers was tested using a TGA-50 thermal analyzer from Shimadzu, Japan. The test conditions were a nitrogen atmosphere, a temperature range of 25–800 °C, and a temperature increase rate of 10 °C/min.
(3) High-temperature rheological performance test
The rheological properties of the polymer solutions at high temperatures were evaluated using a HAAKE Mars high-temperature rheometer. SIAM-1 solution with a mass concentration of 0.40% was prepared, fully dissolved, and tested for its rheological properties at high temperatures and high pressures, and after reaching 210 °C, the temperature and shear rate were maintained constant and continued to be tested for 20 min, with a shear rate of 170 s−1 and a temperature range of 25~210 °C.
(4) Cryo-scanning electron microscopy test
A certain amount of polymer SIAM-1 was fully dissolved and then quickly frozen in liquid nitrogen, and then, sublimation gold plating treatment was performed to observe the microstructure of the polymer using an FEI-Helios5 cryo-scanning electron microscope.
2.4. Cement Application Performance Test
A conventional density cement paste system and a high-density cement paste system were formulated and tested for relevant cement paste properties according to API RP 10B-2 (2013) [33].
The formula of the conventional density cement slurry system is as follows: G-grade cement + 40% silica powder + 2.5% high-temperature fluid loss additives + 0.1–1% suspension stabilizer SIAM-1 + 0.3% friction reducer + 0.3% defoamer + 1.5% high-temperature retarding agent, a water/cement ratio of 0.38, and a density of 1.895 g/cm3.
The high-temperature high-density cement slurry system formula is as follows: G-grade cement + 38% silica powder + 132% ilmenite + 3% Mn3O4 (Micromax) + 3% high-temperature fluid loss additives + 0.1-1% suspension stabilizer SIAM-1 + 1.5% friction reducer + 0.25% defoamer + 2.0% high-temperature retarding agent + 68% water, a water/cement ratio of 0.44, and a density of 2.35 g/cm3.
(1) Cement slurry settlement stability performance test
The proposed experimental procedure is as follows: Firstly, the conventional-density cement slurry and high-density cement slurries are prepared. Subsequently, they are placed in an environment with a temperature of 210 °C for curing over a period of 48 h. After the curing process is completed, the densities are carefully sampled and tested at the upper, middle, and lower parts of the cement specimens. Finally, the density differences are calculated based on the obtained density values.
With reference to SY/T 6544-2017 [34], the maximum density difference in conventional-density cement slurry should be less than 0.03 g/cm3. The maximum density difference in the high-density cement slurry should be less than 0.05 g/cm3.
(2) Free fluid test of cement slurry
The well-mixed cement slurry was poured into a clean, dry glass test tube to the 250 mL mark. The test tube was sealed and allowed to stand for 2.5 h, and then, the volume of free fluid in the upper part of the tube was measured. The separated volume fraction of free water in the cement slurry was then calculated.
(3) Fluid loss property test
The cement slurry fluid loss test was carried out according to the API method. The fluid loss of the cement slurry was determined using the GGS-42 high-temperature and high-pressure fluid loss instrument. The experimental temperature was 210 °C.
(4) Compatibility test of the cement slurry system
To evaluate the performance of the high-density cement slurry system after adding SIAM-1, the initial consistency, thickening time, and compressive strength of the cement slurry were tested. The compressive strength test cement stone curing temperature was 210 °C, and the curing time was 72 h.
3. Results and Discussion
3.1. Molecular Structural Design
Acrylamide monomer (AM) [35,36] is a frequently employed reactive monomer for polymer additives in the petroleum industry. The polymers derived from polymerization reactions involving AM possess properties such as flocculation, dispersion, thickening, and shear resistance. Nevertheless, experimental investigations have revealed that polymers with a higher content of AM monomers are more likely to fracture under high-temperature conditions. This characteristic is detrimental to the high-temperature resistance of co-polymers. Despite this drawback, the polyacrylamide molecular chain, owing to its abundant active amide groups, can undergo hydrolysis, crosslinking, degradation, and other chemical reactions. It exhibits a strong affinity for most substances containing hydrogen bonds, endowing polyacrylamide and its derivatives with distinct advantages in settlement stabilization, suspension, and thickening.
N, N-dimethyl acrylamide (NNDMA) [37,38] is a monomer in which the two hydrogen atoms on the amide group of AM are substituted by methyl groups. As a result, the hydrolytic stability of its co-polymer is significantly enhanced compared to that of AM, thereby improving its resistance to temperature and salt. The molecular active double bond and the unique hydrophilic and lipophilic physical properties of NNDMA render it easy to self-polymerize or co-polymerize with other monomers, facilitating the formation of polymers with a high degree of polymerization. Its self-polymers and co-polymers possess excellent dispersibility, moisture absorption capacity, compatibility, and antistatic and bonding properties. NNDMA side groups have good hydration, hydrophobicity, and electrostatic repulsion, which can improve the chain rigidity and solution viscosity of polymers after participating in the polymerization reaction.
2-Acrylamido-2-methylpropanesulfonic acid (AMPS) [39] contains sulfonate groups and amide groups and has a large intramolecular spatial resistance. These structures make the filter loss depressant thermally stable, hydrolytically stable, and polymerizable and therefore can improve the temperature and salt resistance of the polymer.
Nano-SiO2 [40] is a surface polyhydroxylated, nanoscale, highly active inorganic nanomaterial that can effectively improve the settlement stability of cement slurry to the mechanical properties of cement stone. Therefore, the nano-SiO2 material was considered to be graft-modified to introduce unsaturated carbon-carbon double bonds so that it could participate in the polymerization reaction as a polymerization monomer.
The long side-chains in the molecular chain of long side-chain hydrophobic monomers are hydrophobic. In an aqueous solution, the hydrophobicity of the hydrophobic group causes intramolecular or intermolecular bonding of the polymer molecular chain [41]. With increasing temperature, due to the enhanced thermal movement of the molecules, the intermolecular association is further enhanced, resulting in the formation of a spatially crosslinked network structure. This can effectively improve the viscosity and settlement stability of cement slurry.
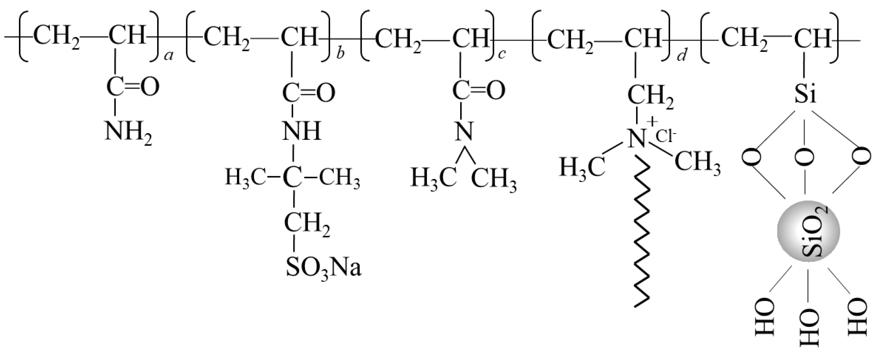
Therefore, the suspension stabilizer we developed is based on NNDMA and AMPS, with the introduction of two main functional monomers, namely, the modified nano-silica monomer and the long side-chain hydrophobic monomer, to enhance the high-temperature viscosity of the polymer and the suspension stability of the cement slurry. However, due to the fact that both the modified nano-silica monomer and the long side-chain hydrophobic monomer possess a certain degree of hydrophobicity, along with large steric hindrance and low reactivity, we innovatively adopted a method combining the addition of a small amount of AM monomer and emulsion polymerization. This effectively improved the degree of participation of the two functional monomers in the polymerization process and increased the monomer proportion of the two functional monomers in the polymer. Consequently, the viscosity of the polymer solution at medium and high temperatures was effectively enhanced, preventing the settlement of solid-phase particles such as weighting agents in the cement slurry, especially in high-density cement slurries, and effectively improving the settlement stability of high-temperature and high-density cement slurries. The molecular structural formula of the suspension stabilizer is shown in Figure 1.
Figure 1.
Molecular structure formula of suspension stabilizer SIAM-1.
3.2. Effect of AM Addition on Suspension Stabilizers
To test the effect of AM monomer addition on the polymerization experiments, the rheological properties and temperature resistance of the suspension stabilizer solutions before and after high-temperature maintenance with different AM monomer contents were tested experimentally, and the experimental results are shown in Figure 2. In this case, the AM addition amount is the proportion of AM mass to the total monomer mass, and the high-temperature maintenance temperature is 210 °C for 3 h.

Figure 2.
The effect of different AM monomer contents on the rheological properties of polymer solutions before and after high-temperature conditioning: (a) apparent viscosity; (b) dynamic shear; and (c) fluidity index. ① AM addition is the proportion of AM monomer to the total monomer mass. ② The viscosity before high-temperature conditioning exceeded the range of the six-speed viscometer when the AM monomer dosage was 16% of the total monomer mass; therefore, this set of data lacked the data before conditioning.
As shown in Figure 2, the viscosity of the polymer solution was extremely low when the amount of AM monomer was 0, indicating that only a small amount of the polymerized monomer was involved in the reaction, and most of the monomers did not participate in the polymerization reaction, which indicated that the polymerization reaction was difficult to carry out without adding AM monomer. With the increase in AM monomer, the viscosity of the polymer solution gradually increased, indicating that AM can effectively promote the polymerization reaction. When the content of AM monomer is greater than 4% of the total monomer mass, the viscosity of the polymer solution tends to stabilize, but the viscosity after high-temperature conditioning drops dramatically. This is because the AM monomer can effectively improve the reactivity of the polymerization reaction and promote the polymerization reaction. However, the inherent temperature intolerance of the AM monomer makes it possible to affect the temperature resistance of the polymer by adding too much.
Therefore, the anti-temperature effect and viscosity of the polymer reach the optimal value when the AM monomer content is 4% of the total monomer mass. Moreover, the changes in dynamic shear and fluidity index of this concentration of polymer before and after high-temperature conditioning are very small, indicating that the polymer can withstand high temperatures well. This can ensure the viscosity of the suspension stabilizer polymer solution, ensure the suspension ability of the suspension stabilizer solution, and maintain stable performance after high-temperature maintenance. When the AM content is too high, although it has better performance at low and medium temperatures, the viscosity decreases greatly after high-temperature maintenance, indicating that the polymer has been structurally damaged at high temperatures, and it cannot be applied to high-temperature high-density cement slurries. When the AM content is low, although it can achieve the effect of high temperature resistance, the polymerization reaction is slow and insufficient, resulting in a lower viscosity of the polymer solution. This leads to the need for a higher dosage to achieve the same viscosity, resulting in a waste of medicines and a larger drop in viscosity at mid-temperature conditions, which is not conducive to the stabilization of the settlement of the entire temperature range.
In addition, the effect of AM monomers on the molecular weight of the polymers was evaluated by gel permeation chromatography, and the test results were processed using specialized 1260 Infinity II GPC/SEC analysis software to obtain the molecular weights of the polymers, as shown in Table 1.
Table 1.
Molecular weight of polymers.
As seen from Table 1, the number average molecular weight and weight average molecular weight of the polymer with 4% AM addition were slightly higher than those of the polymer without AM addition, indicating that the addition of AM monomer during the polymerization process can effectively increase the molecular weight of the polymer. The higher molecular index of the polymer without AM is due to insufficient reaction, resulting in a more dispersed molecular weight of the polymer.
3.3. Effect of Polymerization Mode on Suspension Stabilizers
The effect of emulsion polymerization and aqueous solution polymerization on the rheological properties of polymer SIAM-1 was tested experimentally, and the viscosity changes before and after high-temperature conservation were tested for emulsion polymerization and aqueous solution polymerization, respectively, and the results are shown in Figure 3.
Figure 3.
Effect of different polymerization methods on suspension stabilizers.
As shown in Figure 3, the synthesis method of emulsion polymerization can effectively improve the temperature resistance of the polymers and can slow the rate of decrease in the polymer solution with increasing temperature. This is because the synthesis method of emulsion polymerization can effectively increase the participation rate of long-hydrophobic-side-chain temperature-sensitive monomers as well as modified nano-SiO2 monomers during the polymerization process, which enhances the temperature resistance of the polymers.
3.4. Microscopic Characterization and Mechanistic Studies
3.4.1. Infrared Spectral Analysis
The IR spectra of SIAM-1 were tested, and it can be seen from Figure 4 that 2939 cm−1 and 2829 cm−1 are the characteristic absorption peaks of methyl and methylene groups; 3439 cm−1 and 1610 cm−1 are the characteristic absorption peaks of amide groups; 1199 cm−1 and 1147 cm−1 are the characteristic absorption peaks of sulfonate groups in AMPS; 1041 cm−1 are the characteristic absorption peaks of nanosized SiO2 in Si-O-Si, and 626 cm−1 is the characteristic absorption peak of the long-chain alkyl group in the long-hydrophobic-side-chain temperature-sensitive monomer. Therefore, our synthesized hydrophobic temperature-sensitive monomers contain amide groups, sulfonic acid groups, methyl groups, long-chain methylene groups, and other characteristic groups, which are completely consistent with the structure of the expected products.
Figure 4.
Infrared spectral analysis of polymer SIAM-1.
3.4.2. Thermogravimetric Analysis
The thermogravimetric test of the suspension stabilizers was analyzed, and it can be seen from Figure 5 that the thermogravimetric curve of the suspension stabilizer can be divided into four stages. The first stage is 25–307 °C. This stage shows a decreasing and then flattening trend, with a decreasing section at lower temperatures because the polymer molecules have hydrophilic groups and adsorbed hydration groups, which are highly susceptible to water absorption and moisture in the air. Losses in this stage are mainly due to evaporation of water by heat. The second stage is 307–330 °C. The weight of the polymer decreases significantly in this stage with a weight loss of approximately 28.17 wt%. The loss of mass in this stage is due to the decomposition of a large number of side groups in the polymer molecule, such as amide groups and sulfonic acid groups. The third stage is 330–416 °C. The weight loss in this stage is further aggravated with a loss of approximately 27.31 wt.%. The mass loss in this stage is due to the breakage of the main chain of the polymer molecules and the gradual decomposition of the polymer molecules. The fourth stage is above 416 °C, and the weight of the polymer is stable, indicating that it has decomposed completely. The results show that the oil well cement suspension stabilizer has excellent thermal stability, and its molecular structure can be guaranteed to be intact below 307 °C.
Figure 5.
TGA curves of polymer SIAM-1.
3.4.3. Rheological Properties of Polymer Solutions at High Temperatures
SIAM-1 solutions were prepared at a mass concentration of 0.40% and tested for rheological properties at high temperatures (25–210 °C) and high pressures. After reaching 210 °C, the temperature and shear rate were maintained constant, and the test was continued for 20 min at a shear rate of 170 s−1.
As shown in Figure 6, the viscosity of the 0.40% polymer remained basically stable when the temperature was below 105 °C. This was because the presence of AM effectively promoted a large number of long side-chain hydrophobic monomers to participate in the co-polymerization reaction. Among them, a large number of long hydrophobic side-chains underwent hydrophobic association as the temperature increased, which effectively compensated for the decrease in the viscosity of the polymer solution.
Figure 6.
Rheological curves of polymer SIAM-1.
Moreover, the SIAM-1 solution still had a viscosity of 128 mPa·s when the temperature rose to 210 °C. After high-temperature shearing for 20 min, it could still maintain a high viscosity of 86 mPa·s. This was due to the fact that the presence of AM facilitated the introduction of modified nano-SiO2 monomer, effectively enhancing the high-temperature tolerance of the polymer. Through the synergistic effect of modified nano-SiO2 monomer and long side-chain hydrophobic monomer, the viscosity of the polymer at high temperatures was effectively increased. This played a favorable role in promoting the settlement of solid-phase particles in the cement slurry.
3.4.4. Microstructure of Aqueous Polymer Solution
To observe the microstructure of the suspension stabilizer solution, the microscopic morphology of the polymers with different AM monomer additions before and after high-temperature conditioning was observed separately using cryo-scanning electron microscopy, and the results are shown in Figure 7.

Figure 7.
Comparison of polymer morphology under a cryo-scanning electron microscope before and after conditioning at 210 °C: (a) pre-conservation, (b) post-conservation, 4% AM (SIAM-1), and (c) post-conservation, 16% AM.
In the research field of the correlation between material properties and structures, in-depth analysis of the microstructural evolution of polymers under different conditions is crucial for expanding their engineering applications. Based on the experimental results shown in Figure 7, when 4% AM monomer was added to the polymer system, and the polymer was placed in an environment of 210 °C for 3 h, a comparison of before and after conditioning showed that its structure exhibited certain stability characteristics. In both stages, the polymer presented a typical dense network structure.
However, after exposure to high temperatures, significant changes occurred in the microstructural level of the polymer with 4% AM monomer added. When compared with the initial state, the density of its network structure was significantly enhanced. Through high-resolution microscopy and related micro-characterization techniques, a unique complex interpenetrating network structure could be clearly observed. In-depth analysis revealed that the formation of this structure was attributed to the synergistic effect between the hydrophobic association of long side-chains inside the polymer and the hydrogen bonding on the surface of nano-SiO2.
From the perspective of reaction mechanism, during the emulsion polymerization process, an appropriate amount of AM monomer could have a positive impact on the kinetics of the entire reaction system. The presence of AM monomer effectively increased the activity of the reaction system, enabling the modified nano-SiO2 monomer and the long side-chain hydrophobic monomer in the system to participate more fully in the polymerization reaction process. In a high-temperature environment, intermolecular association occurred among the hydrophobic groups within the polymer. Meanwhile, the abundant hydrogen bonds on the surface of nano-SiO2 interacted with the polymer molecular segments, and the two effects worked together to drive the polymer solution to build a more compact and orderly three-dimensional network structure.
The formation of this fine structure had a significant impact on the optimization of the macroscopic properties of the polymer. From the rheological perspective, it could significantly increase the viscosity of the polymer at high temperatures and enhance the deformation resistance of the polymer solution. In the cement slurry system, this characteristic could effectively suppress the settlement behavior of solid-phase particles such as weighting agents, reduce the inhomogeneity of the system caused by particle settlement, and thus greatly improve the settlement stability of the cement slurry, providing a solid material foundation for the engineering applications of cement-based materials in high-temperature and complex environments.
Further focusing on the data presented in Figure 7c, when 16% AM monomer was added to the polymer system and it was subjected to high-temperature treatment, the microstructural of the polymer was mainly characterized by a linear structure. Through image analysis and microstructural characterization, obvious structural fracture phenomena could be clearly observed. This experimental phenomenon indicated that, in a high-temperature environment, the introduction of excessive AM monomer caused the original network structure of the polymer to be damaged, thus affecting its performance in practical applications.
3.4.5. Settlement Stability
To understand the high-temperature stability of the cement slurry in the wellbore, it is necessary to simultaneously determine whether free fluid separates from the slurry and whether settlement of cement particles occurs. Therefore, two experiments, free fluid measurement and settlement stability test, were conducted to comprehensively evaluate the ability of SIAM-1 to regulate the high-temperature stability of cement slurry.
To investigate the effect pattern of polymers with different AM monomer additions on the settlement properties of cement slurry, the effect of polymers with 0%, 4%, 8%, and 16% AM additions on the settlement stability of conventional-density cement slurry was tested. Due to the low viscosity of the polymer without AM addition, the polymer addition was increased to 0.5%, and the rest of the polymers were added at a concentration of 0.2%.
As shown in Figure 8, the polymer with 4% AM addition (SIAM-1) has the best effect on the regulation of the high-temperature stability of the cement slurry. The polymer without AM has less effect on the high-temperature stability of cement slurry because the AM structure has more active amide groups, which can be hydrolyzed, crosslinked, degraded, and subjected to other chemical reactions, making its polymer have a strong advantage in settlement stabilization, suspension, thickening, and other aspects. The polymer with too high of an AM addition is prone to bond breakage at high temperatures, which destroys the reticulated crosslinking structure, thus affecting the settlement stability of the cement slurry.
Figure 8.
Effect of different AM additions of polymers on the high-temperature stability of conventional-density cement slurry.
In the research process of exploring the high-temperature settlement stability of cement slurry, this experiment focused on the effects of different SIAM-1 addition amounts on conventional-density and high-density cement slurry systems. The corresponding experimental results are intuitively presented in Figure 9.
Figure 9.
Effect of SIAM-1 on high-temperature stability of cement slurry: (a) conventional-density cement and (b) high-density cement.
It can be clearly seen from Figure 9 that, when SIAM-1 was not added, the physical properties of the conventional-density and high-density cement slurries changed significantly under the condition of a high temperature of 210 °C. Specifically, the density differences between the upper and lower parts of the two slurries increased to 0.330 g∙cm−3 and 0.948 g∙cm−3, respectively, and meanwhile, the free fluid contents reached 12.8 mL and 21.2 mL, respectively. These parameter changes indicate that the solid-phase particles in the cement slurry settled significantly under the high temperature of 210 °C, putting the entire cement slurry system in an unstable settlement state, which will undoubtedly have an adverse impact on its practical application.
In contrast, after adding 0.4 wt% of SIAM-1, the density differences between the upper and lower parts of the conventional-density and high-density cement slurries were greatly reduced and stabilized at 0.006 g∙cm−3 and 0.039 g∙cm−3, respectively. This performance not only fully meets the requirements specified in the SYT 6544–2017 “Performance Requirements for Oil Well Cement Slurry”, where the density difference between the upper and lower parts of the conventional-density cement slurry should be less than 0.03 g∙cm−3 and that of the high-density cement slurry should be less than 0.05 g∙cm−3, but also effectively satisfies the actual needs of on-site construction for the settlement stability of cement slurry, laying a solid theoretical and data foundation for subsequent related engineering practices.
3.4.6. Composite Properties of Cement Slurry
To determine the compatibility of the suspension stabilizer with the cement slurry system, the properties of the cement slurry system containing the suspension stabilizer were tested for high-temperature fluid loss properties, thickening time, and compressive strength, and the results of the tests are shown in Figure 10 and Figure 11.
Figure 10.
Effect of SIAM-1 on compressive strength of cement slurry: (a) conventional-density cement and (b) high-density cement.
Figure 11.
Effect of SIAM-1 on comprehensive performance of cement slurry: (a) thickening time and (b) fluid loss.
As seen from Figure 10 and Figure 11, the initial consistency and thickening time of the high-density cement slurry basically remained stable after the addition of the suspension stabilizer to the high-density cement slurry. The fluid loss of the cement slurry was obviously reduced, and the degree of compressive resistance was also enhanced. The results show that the suspension stabilizer has no adverse effect on the comprehensive performance of the cement slurry system and can meet the field requirements of cement slurry.
4. Discussion
In this study, a high temperature anti-suspension stabilizer, SIAM-1, has been successfully developed for high-density cement slurries for deep/ultra-deep well cementing, which is of great significance in the field of petroleum engineering cementing. In this study, 2-acrylamido-2-methylpropanesulfonic acid (AMPS) and N,N-dimethylacrylamide (NNDMA) were selected as the basic high-temperature monomers of SIAM-1, and two functional monomers, a long-hydrophobic-side-chain thermosensitive monomer and a graft-modified nano-SiO2 monomer, were introduced. The innovative method of adding a small amount of acrylamide (AM) and emulsion polymerization effectively enhanced the polymerization participation of functional monomers, and synthesized the high-performance SIAM-1. This method solved the problem of functional monomer polymerization, and provided a new idea for the preparation of high-temperature anti-suspension stabilizers.
The performance of SIAM-1 was excellent, with a temperature resistance of 210 °C and a high viscosity of 128 mP·s. Moreover, SIAM-1 was able to improve the settlement stability of the slurry at high temperatures, and the difference in density between the regular and high-density slurries after curing at 210 °C was 0.006 g∙cm−3 and 0.039 g∙cm−3, respectively. This can effectively improve the construction performance of cement paste and the quality of cement sheath in deep/ultra-deep wells under high temperature conditions and reduce the risk of cementing.
However, there are some shortcomings in this study: the data of SIAM-1 are only laboratory tests and have not been applied in the field. The long-term stability and durability of SIAM-1 in complex downhole environments have not been studied deeply enough, and more simulation experiments and field tests are needed. In the future, in-depth research on long-term performance, exploring the compatibility with other admixtures, and conducting corresponding field tests are important research directions in this field. This study provides a new path for the research and development of high-temperature anti-suspension stabilizers, which has a broad application and research prospect.
5. Conclusions
(1) Through infrared spectroscopy, thermogravimetric analysis, and low-temperature scanning electron microscope analysis, the high-temperature suspension stabilizer SIAM-1 was successfully synthesized. The thermal degradation temperature of SIAM-1 reaches as high as 307 °C, and its structure remains stable after being stored at 210 °C for 3 h. Furthermore, it maintains a relatively high viscosity after continuous shearing at 210 °C for 20 min, demonstrating its excellent high-temperature resistance and rheological properties.
(2) The method combining a small amount of AM monomer and emulsion polymerization can effectively promote the participation of two main functional monomers, namely, the modified nano-silica monomer and the long side-chain hydrophobic monomer, in the polymerization reaction. In this way, the yield of the polymerization reaction can be increased, and the medium- and high-temperature viscosity of the polymer solution can be improved. However, an excessive addition amount will significantly reduce the temperature resistance of SIAM-1.
(3) SIAM-1 effectively improves the settlement stability of cement slurries at high temperatures. Under conditions of 210 °C, the density differences in the conventional-density and high-density cement slurries are 0.006 g∙cm−3 and 0.039 g∙cm−3, respectively. It also does not negatively affect the initial consistency, thickening time, fluid loss reduction performance, and compressive strength of the set cement in high-density cement slurries. This ensures the construction performance of cement slurries and the quality of cement sheaths in deep/ultra-deep wells under high-temperature conditions.
Author Contributions
Conceptualization, C.W. and L.S.; methodology, J.L.; formal analysis, L.S.; data curation, Y.L.; writing—original draft preparation, L.S.; writing—review and editing, C.W. All authors have read and agreed to the published version of the manuscript.
Funding
This research was funded by National Natural Science Foundation of China (No. 52288101, No. 52074329) and Research Project of China National Offshore Oil Corporation (No. 2022FS-04).
Data Availability Statement
Some or all of the data, models, or code that support the findings of this study are available from the corresponding author upon reasonable request.
Conflicts of Interest
Author Yang Li was employed by the company Sinopec Research Institute of Petroleum Engineering Co., Ltd. The remaining authors declare that the research was conducted in the absence of any commercial or financial relationships that could be construed as a potential conflict of interest.
References
- Cheng, P.; Yu, S.; Ren, Y.; Tian, H. Identification of complex crude oil categories in ultra-deep petroleum systems based on a new fluorescence analysis method: An example from the southwestern Tabei Uplift, Tarim Basin, China. Mar. Petrol. Geol. 2024, 165, 106888. [Google Scholar] [CrossRef]
- Teske, S.; Sawyer, S.; Schäfer, O.; Pregger, T. Energy revolution-a sustainable world energy outlook 2015. Energ. Effic. 2015, 4, 409–433. [Google Scholar] [CrossRef]
- Zhang, G.; Qu, H.; Zhang, F.; Chen, S. Major new discoveries of oil and gas in global deepwaters and en-lightenmen. Acta. Petrolei. Sinica. 2019, 40, 1–34. [Google Scholar]
- Taoutaou, S.; Bonnecaze, A.; Dondale, A.; Jain, B.; Abdullah, N. Ensuring well integrity in HP/HT wells: Brunei case study. In Proceedings of the Abu Dhabi International Petroleum Exhibition and Conference, Abu Dhabi, UAE, 1–4 November 2010; Society of Petroleum Engineers: Richardson, TX, USA, 2010. SPE-136884-MS. [Google Scholar]
- Abdelaal, A.; Elkatatny, S.; Abdel Fattah, A.M. Perlite incorporation for sedimentation reduction and improved properties of high-density geopolymer cement for oil well cementing. Sci. Rep. 2024, 14, 9707. [Google Scholar] [CrossRef]
- Zhang, C. Changes in the global energy strategic landscape: Implications for China’s international strategic environment. East. Asian. Policy. 2015, 7, 73–85. [Google Scholar] [CrossRef]
- Zhang, G.; Ma, F.; Liang, Y.; Zhao, Z. Domain andtheory-technology progress of global deep oil &. gas exploration. Acta. Petrolei. Sinica. 2015, 36, 1156–1166. [Google Scholar]
- Mozaffari, S.; Rahmani, O.; Piroozian, A.; Ziabakhsh-Ganji, Z.; Mostafavi, H. Oil-well lightweight cement slurry for improving compressive strength and hydration rate in low-temperature conditions. Constr. Build. Mater. 2022, 357, 129301. [Google Scholar] [CrossRef]
- Li, L. Development of natural gas industry in China: Review and prospect. Nat. Gas. Ind. 2021, 41, 1–11. [Google Scholar] [CrossRef]
- Li, Y.; Xue, Z.; Cheng, Z.; Jiang, H.; Wang, R. Progress and development directions of deep oil and gas exploration and development in China. China. Pet. Explor. 2020, 25, 45–57. [Google Scholar]
- Zhang, X.; Liu, J.; Sun, J.; Lv, K.; Wang, Z.; Xu, Z.; Sun, Y. Novel Modified Styrene-Based Microspheres for Enhancing the Performance of Drilling Fluids at High Temperatures. Gels 2023, 9, 763. [Google Scholar] [CrossRef]
- Bhattacharyya, S.C. China and the global energy crisis: Development and prospects for China’s oil and natural gas. Int. J. Eenergy. Sect. Ma. 2013, 29, 185–186. [Google Scholar] [CrossRef]
- Ren, X. Discussion on current situation and development trend of ultra-deep drilling technology. China. Pet. Chem. Stand. Qual. 2019, 39, 148–150. [Google Scholar]
- Wang, Z. Research on cementing technology progress of CNPC. West-China. Explor. Eng. 2021, 33, 34–35, 38. [Google Scholar]
- Salehi, R.; Paiaman, A.M. A novel cement slurry design applicable to horizontal well conditions. Pet. Coal. 2019, 51, 270–276. [Google Scholar]
- Güllü, H. Comparison of rheological models for jet grout cement mixtures with various stabilizers. Constr. Build. Mater. 2016, 127, 220–236. [Google Scholar] [CrossRef]
- Heinold, T.; Dillenbeck, R.; Rogers, M. The effect of key cement additives on the mechanical properties of normal density oil and gas well cement systems. In Proceedings of the SPE Asia Pacific Oil and Gas Conference and Exhibition, Melbourne, Australia, 8–10 October 2002; Society of Petroleum Engineers: Richardson, TX, USA, 2002. SPE-77867-MS. [Google Scholar]
- Johnston, N.C.; Senese, M. New approach to high density cement slurries for cementing high pressure, high temperature wells. In Proceedings of the European Petroleum Conference, Cannes, France, 16–18 November 1992; Society of Petroleum Engineers: Richardson, TX, USA, 1992. SPE24976-MS. [Google Scholar]
- Yu, Y.; Liu, S.; Yuan, J.; Jin, J.; Qi, F.; Li, M. Evaluation method for settling stability of slurry under high temperature condition. Drilling. Fluid. Completion. Fluid. 2011, 28, 52–54. [Google Scholar]
- Jain, B.; Raiturkar, H.; Holmes, C.; Dahlin, A. Using particle-size distribution technology for designing high-density, high-performance cement slurries in demanding frontier exploration wells in South Oman. In Proceedings of the IADC/SPE Drilling Conference, New Orleans, Louisiana, 23–25 February 2000; Society of Petroleum Engineers: Richardson, TX, USA, 1992. SPE59134-MS. [Google Scholar]
- Tan, B.; Lang, M.; Harshad, D. High-strength, low-density cement pumped on-the-fly using volumetric mixing achieves cement to surface in heavy loss coal seam gas field. In Proceedings of the SPE Asia Pacific Oil and Gas Conference and Exhibition, Perth, Australia, 22–24 October 2012; Society of Petroleum Engineers: Richardson, TX, USA, 2012. SPE158092. [Google Scholar]
- Casabonne, J.M.; Jouve, M.; Nelson, E. High Temperature Retarders for Oil Field Cements, Cement Slurries and Corresponding Cementing Processes. U.S. Patent US5503671, 2 April 1996. [Google Scholar]
- Xue, Y.; Wang, C.; Liu, J.; Sun, J.; Chen, Z.; Xia, Y.; Chen, L.; Wang, E.; Li, Y. A cement hydration kinetics model and its application in designing cement formulation for natural gas hydrate well. Cem. Concr. Res. 2024, 179, 107483. [Google Scholar] [CrossRef]
- Eoff, L.S.; Buster, D. High temperature synthetic cement retarder. SPE International Symposium on Oilfield Chemistry. In Proceedings of the SPE International Symposium on Oilfield Chemistry, San Antonio, TX, USA, 14–17 February 1995; Society of Petroleum Engineers: Richardson, TX, USA, 1995. SPE-28957-MS. [Google Scholar]
- Poinot, T.; Govin, A.; Grosseau, P. Influence of hydroxypropylguars on rheological behavior of cement-based mortars. Cem. Concr. Res. 2014, 58, 161–168. [Google Scholar] [CrossRef]
- Yong, Y. Development and field application of a new high-temperature cement suspension agent. Petrol. Drill. Tec. 1900, 44, 44–49. [Google Scholar]
- Chen, X.; Wang, C.; Wang, H.; Wang, R. Prevention Strategy of Cement Slurry Sedimentation under High Temperature. Part 1: A Polymer with Continuous Thermo-Thickening Behavior from 48 to 148 °C. J. Phys. Chem. 2019, 123, 18573–18584. [Google Scholar] [CrossRef]
- Li, H.; Zhu, H.; Xing, X.; Li, L. Review on suspending agents for cement slurry. Oilfield Chem. 2014, 31, 307–310. [Google Scholar]
- Üzer, E.; Plank, J. Impact of welan gum stabilizer on the dispersing performance of polycarboxylate superplasticizers. Cem. Concr. Res. 2016, 82, 100–106. [Google Scholar] [CrossRef]
- Haidher, S.; Kale, S.; Affes, S.; Nair, S.K. HPHT cement system design—East coast case history. In Proceedings of the SPE/IADC Indian Drilling Technology Conference and Exhibition, Mumbai, India, 16–18 October 2006; Society of Petroleum Engineers: Richardson, TX, USA, 1995. SPE104048-MS. [Google Scholar]
- Hou, Y.; Guo, Y.; Qian, S.; Khan, H.; Han, G.; Zhang, W. A new thermoresponsive polymer of poly(N-acetoxylethyl acrylamide). Polymer 2019, 167, 159–166. [Google Scholar] [CrossRef]
- Funkhouser, G.; Leotaud, L.; Bratcher, J. Delayed-release suspending aid provides cement-slurry stability in high-temperature, horizontal wells. In Proceedings of the SPE International Symposium on Oilfield Chemistry, The Woodlands, TX, USA, 13–15 April 2015; Society of Petroleum Engineers: Richardson, TX, USA, 2015. SPE173725. [Google Scholar]
- API RP 10B-2; Recommended Practice for Testing Well Cements. API: Washington, DC, USA, 2013.
- SY/T 6544-2017; Performance Requirements for Oil Wellcement Slurries. China Oilfield Services Co., Ltd.: Tianjin, China, 2017.
- Bensmida, S.; Ghannouchi, F.M.; Bergeault, E. An original setup for power amplifier AM-AM and AM-PM characterization. In Proceedings of the 2008 IEEE Instrumentation and Measurement Technology Conference, Victoria, BC, Canada, 12–15 May 2008; IEEE: New York, NY, USA, 2008; pp. 54–57. [Google Scholar]
- Danieli, R.; Piazzon, L.; Giofrè, R.; Colantonio, P.; Giannini, F. Low cost AM/AM and AM/PM characterization setup based on scalar measurements. In Proceedings of the 2013 European Microwave Integrated Circuit Conference, Nuremburg, Germany, 6–8 October 2013; IEEE: New York, NY, USA, 2013; pp. 396–399. [Google Scholar]
- Tang, S.; Zhu, C.; Wang, W. Feng. Z. Effects of AMPS-NNDMA and polycarboxylate superplasticizer on the adsorption and hydration properties of tricalcium silicate. J. Disper. Sci. Technol. 2019, 40, 1575–1580. [Google Scholar] [CrossRef]
- Lummer, N.R.; Plank, J. Combination of lignosulfonate and AMPS®-co-NNDMA water retention agent—An example for dual synergistic interaction between admixtures in cement. Cem. Concr. Res. 2012, 42, 728–735. [Google Scholar] [CrossRef]
- Mihai, M.; Simionescu, B.C. Calcium carbonate and poly (2-acrylamido-2-methylpropanesulfonic acid-co-acrylic acid). Rev. Roum. Chim. 2019, 64, 19–34. [Google Scholar] [CrossRef]
- Yang, L.; Wang, X.; Qiu, Q.; Gao, J.; Tang, C. The effect of surface hydroxylation of Nano-SiO2 on the insulating paper cellulose/Nano-SiO2 interface. Mater. Chem. Phys. 2021, 260, 124124. [Google Scholar] [CrossRef]
- Rong, Y.; Lai., X.; Li, Q.; Ding, X.; Wang, X.; Wen, X.; Guo, Y. Effect of hydrophobic monomers with different carbon chains on the structure–activity relationship of associating polyacrylamides. J. Polym. Res. 2024, 31, 242. [Google Scholar]
Disclaimer/Publisher’s Note: The statements, opinions and data contained in all publications are solely those of the individual author(s) and contributor(s) and not of MDPI and/or the editor(s). MDPI and/or the editor(s) disclaim responsibility for any injury to people or property resulting from any ideas, methods, instructions or products referred to in the content. |
© 2025 by the authors. Licensee MDPI, Basel, Switzerland. This article is an open access article distributed under the terms and conditions of the Creative Commons Attribution (CC BY) license (https://creativecommons.org/licenses/by/4.0/).












