Abstract
Tight sandstone reservoirs are characterized by fine-grained rock particles, a high clay content, and a complex interplay between the electrical properties and gas content. These factors contribute to low-contrast reservoirs, where the logging responses of the gas and water layers are similar, resulting in traditional logging interpretation charts exhibiting a low accuracy in the fluid-type classification. This inadequacy fails to meet the fluid identification needs of the study area’s reservoirs and severely restricts the exploration and development of unconventional oil and gas resources. To address this challenge, this study proposes a fluid identification method based on Bayesian-optimized Support Vector Machine (SVM) to enhance the accuracy and efficiency of the fluid identification in low-contrast reservoirs. Firstly, through a sensitivity analysis of the logging responses, sensitive logging parameters such as the natural gamma, compensated density, compensated neutron, and compensated sonic logs are selected as input data for the model. Subsequently, Bayesian optimization is employed to automatically search for the optimal combination of hyperparameters for the SVM model. Finally, an SVM model is established using the optimized hyperparameters to classify and identify the following four fluid types: water layers, gas layers, gas–water layers, and dry layers. The proposed method is applied to fluid identification in the study area, and comparative experiments are conducted with the K-Nearest Neighbor (KNN), Random Forest (RF), and AdaBoost models. The classification performance of each model is systematically evaluated using metrics such as the accuracy, recall, and F1-score. The experimental results indicate that the SVM model outperforms the other models in fluid identification, achieving an average accuracy of 91.41%. This represents improvements of 16.94%, 4.39%, and 8.30% over the KNN, RF, and AdaBoost models, respectively. These findings validate the superiority of the SVM model for fluid identification in the study area and provide an efficient and feasible solution for fluid identification in tight sandstone reservoirs.
1. Introduction
As exploration and development activities in the Xujiahe Formation of the Chuanzhong region continue to intensify, thin and low-contrast reservoirs with poor physical properties have become key targets for detailed exploration in this area. Low-contrast gas reservoirs are defined as hydrocarbon reservoirs with a resistivity ratio of gas layers to water layers less than two [1]. These reservoirs are primarily distributed in high-clay, fine-grained tight sandstone formations formed in weak hydrodynamic environments such as delta fronts, shallow marine shelves, and river settings [2,3]. Due to the high irreducible water saturation, clay mineral-associated conductivity, and differences in salinity between the oil and water layers, the resistivity of low-contrast reservoirs is typically lower than that of conventional hydrocarbon reservoirs [4]. This characteristic complicates the distinction between the gas and water layers during logging interpretation, leading to the underestimation of reserves and production potential.
In the realm of fluid identification in low-contrast reservoirs, extensive research has been conducted on the genesis mechanisms of various low-resistivity hydrocarbon reservoirs, which can be categorized into three main types. The first category focuses on the study of reservoir microcharacteristics, utilizing rock physics experimental data to analyze the impact of reservoir variations on parameters such as resistivity and water saturation from a low-contrast genesis perspective. For example, Mashaba et al. [5] investigated the effects of clay-bound water and silt-bound water on low resistivity, identifying them as the primary causes of low resistivity in the study area. Based on these findings, they improved Archie’s equation to calculate the water saturation. Pratama et al. [6] proposed an integrated workflow that combines facies analysis, rock typing, and rock physics analysis to calculate the shale volume, water saturation, and effective porosity, thereby identifying fluid types in low-contrast reservoirs. However, these methods often perform suboptimally in reservoirs with complex genesis and diverse fluid types. The second category of research primarily examines reservoir fluid characteristics and logging responses, identifying and classifying different fluid types by analyzing the relationship between conventional logging data and the physical properties of reservoir fluids. Common identification methods include crossover plots [7,8], movable water methods [9], W-S saturation models [10], and dual-water models [11]. Although these methods have improved the accuracy of fluid identification in low-contrast reservoirs to some extent, they primarily rely on logging data and focus on the electrical properties of the reservoir. In low-contrast reservoirs, electrical characteristics often fail to accurately reflect the true fluid distribution, and these methods exhibit strong regional dependency, resulting in significant variations in performance across different study areas and limiting their broader applicability. The third category of research is based on novel logging techniques, such as nuclear magnetic resonance (NMR) logging [12,13] and pulsed neutron logging [14], which provide more precise information on fluid distribution to identify low-contrast gas layers. Unlike traditional logging methods, these advanced logging technologies can thoroughly analyze the fluid porosity and the distribution of movable and immovable water, thereby effectively distinguishing between different fluid types. However, the high implementation costs of these methods and their limited adoption in many oilfields, coupled with insufficient logging data support, hinder their widespread application.
With the increasing scale and complexity of oilfield data, extracting valuable information from vast multi-source logging datasets and transforming logging evaluations into machine learning processes to enhance reservoir logging evaluation accuracy has become a research hotspot. The application of machine learning techniques in hydrocarbon reservoir evaluation is growing, particularly due to their significant advantages in improving the accuracy and reducing manual operations. Leveraging their powerful nonlinear fitting capabilities, machine learning algorithms can uncover latent features from conventional logging data, effectively addressing challenges in logging evaluation. Unsupervised algorithms, such as clustering and dimensionality reduction, are commonly used for logging data preprocessing [15], lithology classification [16], reservoir classification [17], and sweet spot prediction [18]. In supervised learning, classification algorithms and ensemble methods are suitable for thin bed identification [19] and fluid classification [20], while neural networks can be categorized into various types based on their structures. For instance, convolutional neural networks (CNNs), with their local receptive fields and weight-sharing characteristics, are well-suited for processing image data and are frequently used for resistivity imaging logging image filling [21] and image fracture identification [22]. Recurrent neural networks (RNNs), due to their cyclic connectivity structures, are appropriate for handling time series data, and are commonly applied in logging curve reconstruction [23] and physical parameter prediction [24].
Despite the ability of the aforementioned neural network algorithms to handle large-scale datasets, they typically require extensively labeled data and substantial computational resources, posing challenges for study areas with limited data. Specifically, in the study area of this paper, the availability of logging fluid test data is limited, and the number of samples is small, resulting in a high risk of overfitting during the training of deep learning models and making it difficult to fully exploit the potential information in the data. Given the size and characteristics of the dataset, this study opts for the SVM algorithm as the core method for fluid identification. As a mature supervised learning method, the SVM performs exceptionally well with small datasets, possesses strong generalization capabilities, and can efficiently find the optimal decision boundary through its training process, thereby avoiding the high dependency of deep learning on large datasets and computational resources [25]. During the data preprocessing stage, to mitigate the issue of class imbalance, this study employs the Synthetic Minority Over-Sampling Technique (SMOTE). The SMOTE enhances the number of minority class samples by generating synthetic samples, thereby improving the model’s ability to recognize minority classes. Subsequently, Bayesian optimization is utilized to automatically search for the key hyperparameters of the SVM, and the optimized parameters are used to train the model. Finally, the trained SVM model is applied to the test data to identify reservoir fluid properties, and the identification results are compared with those obtained using the KNN, RF, and AdaBoost methods to validate the effectiveness of the proposed approach.
2. Methodology
The SVM utilizes kernel functions to avoid directly computing inner products in the high-dimensional feature space, thereby improving the computational efficiency. Bayesian optimization, by constructing a probabilistic model for global optimization, enables the efficient exploration of the hyperparameter space and significantly reduces the computational burden of model training. This paper combines the SVM with Bayesian optimization to create a BO-SVM model, which facilitates efficient parameter selection for fluid recognition models and yields results with a higher accuracy.
2.1. Principle of Support Vector Machine
SVMs are widely utilized supervised learning algorithms for classification and regression analyses. The core concept involves constructing a hyperplane (Figure 1) that effectively separates samples of different classes while maximizing the margin between these classes, thereby enhancing the model’s generalization capability on unseen data [26,27]. Given the following training dataset in a feature space:
Figure 1.
Optimal hyperplane.
The optimal hyperplane can be defined as
where w is the weight vector, x is the input feature vector, and b is the bias term.
For all elements in the training set, w and b satisfy the following:
To improve the classification robustness, the objective of the SVM is to find the hyperplane that maximizes the margin between classes, thereby minimizing , while ensuring that all of the sample points are correctly classified under the following constraint:
For nonlinear datasets, the SVM employs a kernel function to add additional dimensions to the original data, transforming them into a linear problem in a higher-dimensional space. Through the kernel function, the SVM avoids the explicit computation of sample points in the high-dimensional space by instead computing the inner products between the samples. In this study, the Radial Basis Function (RBF) kernel is selected due to its strong nonlinear processing capabilities and relatively straightforward parameter tuning. It is defined as
where g is the kernel parameter of the RBF.
The kernel parameter g and the penalty parameter c significantly influence the performance of the SVM model. The parameter g controls the complexity of the model and the degree of fit to the training data, while c is used to adjust the number of misclassified samples in the training data. To achieve optimal classification performance, it is essential to select the optimal values of c and g through appropriate hyperparameter tuning methods, thereby attaining a good balance between the model’s generalization ability and its degree of fit.
2.2. Principle of Bayesian Optimization
Bayesian optimization (BO) is a global optimization method, based on Bayes’ theorem, designed to identify the optimal combination of hyperparameters with a minimal number of evaluations. This approach utilizes Gaussian processes to construct a probabilistic surrogate model, incorporating prior parameter information and iteratively updating prior knowledge, thereby determining the model’s optimal parameters in a relatively short time frame [28,29]. The expression for the Gaussian process is given by
where m(x) represents the mean function, indicating the mathematical expectation of the sample f(x).
Gaussian processes not only provide mean predictions of the objective function but also estimate uncertainty (i.e., variance). Leveraging this predictive information, Bayesian optimization constructs an acquisition function that guides the selection of the next sampling location. By continuously iterating the selection and evaluation of sampling points with the highest information gain, Bayesian optimization effectively searches for the optimal solution within the parameter space.
2.3. Fluid Identification Process Based on BO-SVM Model
The fluid identification process using the Bayesian-optimized SVM model is illustrated in Figure 2 and involves the following steps:
Figure 2.
BO-SVM training and prediction process.
- Preprocessing of Well Logging Data: Standardize and normalize the logging data, and partition it into training and testing sets.
- SVM Hyperparameter Optimization: Utilize Bayesian optimization to tune the penalty factor and kernel function parameters, estimate the generalization error of the optimal model, and identify the hyperparameters that achieve the highest estimation accuracy.
- Training the SVM Model: Train the SVM using the training dataset.
- Test Set Validation: Validate the performance of the optimized SVM model using the test set.
3. Dataset Analysis and Processing
The Xujiahe Formation of the Upper Triassic in the Chuanzhong region is situated within the western-dipping section of the Nanchong Anticline, part of the Guilongzhong gentle structural zone in the Sichuan Basin, exhibiting a gradual slope structural characteristic [30]. The hydrocarbon accumulation in this area primarily originates from coal-bearing source rocks, with the Xujiahe Formation and Jurassic clastic rocks serving as reservoirs. This configuration has led to the development of the following two regional hydrocarbon accumulation models: autochthonous and overthrust. Both the ancient and current structural phases during the accumulation period present as continuous slopes, which are favorable for the aggregation and preservation of oil and gas. The development of large fault systems, such as the Longquanshan Fault, has effectively connected the lower source rock strata, facilitating three-dimensional hydrocarbon accumulation across multiple layers [31]. The regional depositional environment is jointly controlled by underwater distributary channels, estuarine microfacies, and constructive diagenetic processes, resulting in the formation of extensive sand bodies. The lithology is predominantly fine sandstone and siltstone, characterized by a low porosity, a low permeability, and an extremely low porosity and permeability [32]. Within these formations, numerous low-contrast gas layers have developed, significantly increasing the difficulty of fluid identification.
In this study, a dataset was established based on the well data from 12 wells in the region, which include testing data. The logging data in this area include curves for the natural gamma (GR), deep resistivity (RT), shallow resistivity (RS), compensated density (DEN), compensated neutron (CNL), and compensated sonic (AC), with a sampling interval of 0.125 m. Based on the well testing data, the reservoir fluids in the region were classified into gas layers, water layers, gas–water layers, and dry layers, with corresponding labels of 0, 1, 2, and 3, respectively. A total of 2405 logging data points were collected, and the dataset was divided into training, validation, and test sets in a 7:1:2 ratio, which were used for model training, parameter optimization, and performance evaluation, respectively.
3.1. Intersection Plot Analysis and Sensitivity Analysis
Using test set data as an example, cross-plot and sensitivity boxplot analyses were conducted for the four fluid types. Figure 3 illustrates the pairwise relationships and the probability density distributions of individual parameters for the water layer, gas layer, gas–water layer, and dry layer across the five logging parameters. The selected logging parameters include the natural gamma, deep resistivity, compensated density, compensated neutron, and compensated sonic, which are key indicators for fluid identification. The diagonal plots in Figure 3 display the kernel density distribution curves for each fluid type’s logging parameters. From the figure, the following notable distribution differences can be observed among the fluid types for certain parameters: the gas and gas–water layers exhibit low natural gamma and low resistivity characteristics, while the water and dry layers show high natural gamma and low resistivity characteristics. In the three porosity curves, the gas layers display low compensated neutron values, while the gas–water, water, and dry layers exhibit higher compensated neutron values. The distributions of compensated density and compensated sonic responses for the four fluid types are relatively concentrated, with no significant differences. Although there are some distribution differences in the logging responses of different fluid types, the overall response ranges are quite similar, resulting in limited differentiation between fluid types in the logging parameter space. This overlap increases the complexity and challenges of the fluid identification.
Figure 3.
Cross-plots of the logging response characteristics for different fluids. The mean value of the GR curve was 67.58 API with a standard deviation of 14.03 API; the mean value of the RT curve was 18.41 Ω-m with a standard deviation of 10.9 Ω-m; the mean value of the DEN curve was 2.47 g/cm3 with a standard deviation of 0.07 g/cm3; the mean value of the CNL curve was 8.7% with a standard deviation of 3.3%; the mean value of the AC curve was 64.6 us/ft with a standard deviation was 3.7 us/ft.
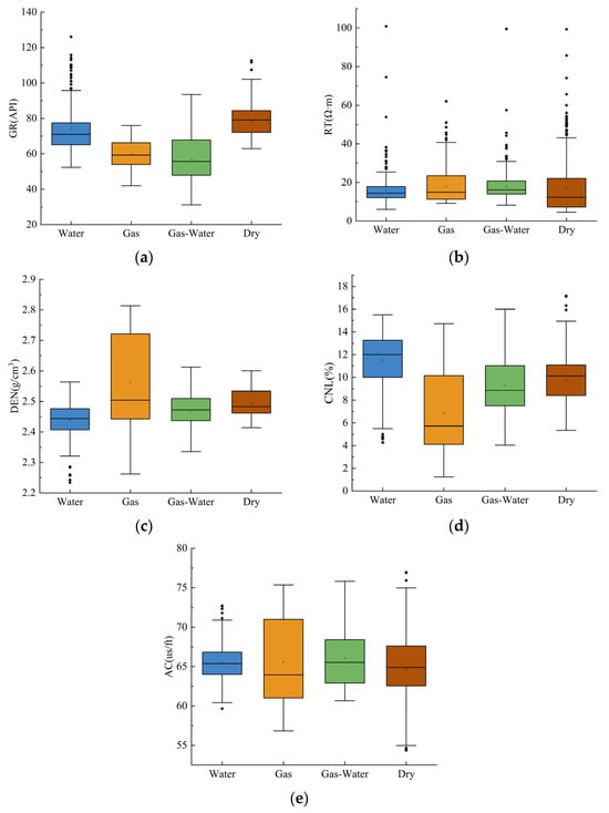
Figure 4 presents boxplots illustrating the responses of different fluid types across various logging parameters. As shown in Figure 4a, the natural gamma log exhibits a high sensitivity to dry layers, with minimal overlap in its distribution range compared to other fluid types. This indicates a clear advantage of natural gamma logging in the identification of dry layers. In contrast, Figure 4b demonstrates that deep resistivity has lower sensitivity to different fluid types, with significant overlap in responses among the various fluids. This overlap restricts the discriminative capability of deep resistivity in fluid identification. Regarding the compensated density (Figure 4c), the gas layers display higher compensated density values with a more dispersed distribution, whereas the water layers exhibit lower compensated density values with a more concentrated distribution. This suggests that compensated density logging effectively distinguishes between the gas and water layers. Additionally, the compensated neutron log results in Figure 4d show that the water layers have higher compensated neutron values with a minimal overlap with the other fluid types. Although there is some overlap among the gas layers, gas–water layers, and dry layers, the median values and distribution ranges still allow for preliminary differentiation of these fluid types. Finally, the compensated sonic log results in Figure 4e indicate that gas layers have a more dispersed compensated sonic distribution, while water layers, gas–water layers, and dry layers exhibit more concentrated distributions. This concentration further aids in distinguishing between different fluid types.
Figure 4.
Boxplots of different fluid log responses in the test set: (a) Natural gamma boxplot; (b) Deep resistivity boxplot; (c) Compensated density boxplot; (d) Compensated neutron boxplot; (e) Compensated sonic boxplot.
Through a comprehensive analysis of the cross-plots and boxplots, we observed varying sensitivities of different fluid types to the logging curves. However, due to the overlapping response regions among fluid types, the SVM model may experience overfitting for certain categories, particularly those with a larger number of samples. This overfitting not only affects the model’s accuracy but also diminishes its generalization capability on the test dataset. To mitigate the adverse effects of overlapping data, this study selects four logging curves—the natural gamma, compensated density, compensated neutron, and compensated sonic—as input features for the SVM model based on the boxplot analysis results. This selection enhances the accuracy and reliability of the fluid identification by focusing on logging parameters with a higher sensitivity to different fluid types.
Through a comprehensive analysis of the cross-plots and boxplots, it can be observed that different fluid types exhibit varying sensitivities to each logging curve. However, the overlap in the responses between the fluids makes it difficult to achieve accurate fluid identification by relying solely on the cross-plots of the two logging data. Therefore, a holistic analysis incorporating multiple logging data is required for a more thorough interpretation. Based on the results from the boxplot analysis, this study selects four logging curves with higher sensitivity—the natural gamma, compensated density, compensated neutron, and compensated sonic—as the input data for the SVM fluid identification model, aiming to enhance the accuracy and reliability of fluid recognition.
3.2. Logging Data Preprocessing
The SVM is a distance-based algorithm that relies on calculating the relative distances between data points to determine the classification boundary. However, the scale differences in the responses of various logging data can cause the SVM to be biased towards features with larger numerical values when calculating distances, thereby affecting the classification performance. To improve the classification accuracy and generalization ability of the model, Z-score standardization and min–max normalization are applied to process the logging data. The formulas are as follows:
where x represents the original data, μ is the mean of the sample data, σ is the standard deviation of the original data, z is the standardized value, xmin is the minimum value of the original data, xmax is the maximum value of the original data, and y is the normalized value.
3.3. Synthetic Minority Over-Sampling Technique Experiment
In practical applications, fluid test datasets often face class imbalance issues. As illustrated in Figure 5, the number of samples for the gas–water layers exceed that of the dry layers by more than twofold. This imbalance can lead the model to bias towards predicting the dominant class during training, thereby impairing its ability to accurately recognize minority classes and consequently reducing the overall prediction accuracy. To evaluate the effectiveness of the SMOTE technique in addressing the class imbalance, we applied SMOTE augmentation to the validation dataset and conducted fluid identification using the SVM model on both the augmented and non-augmented validation sets, as shown in Figure 6. Following the SMOTE processing, the prediction results for all of the classes showed improvement, particularly for the dry layers, where the number of misclassifications significantly decreased. By synthesizing the minority class samples, SMOTE enables the model to better learn the characteristics of minority classes in the presence of data imbalance, thereby enhancing classification accuracy and generalization capability.
Figure 5.
Sample sizes of the four fluid datasets.
Figure 6.
Confusion matrices of the SVM model fluid identification before and after the synthetic minority oversampling. (a) Recognition results before the synthetic minority oversampling. (b) Recognition results after the synthetic minority oversampling.
4. Comparative Experiment
This paper presents a comprehensive comparison and analysis of the performance of the Bayesian-optimized SVM, KNN, RF, and AdaBoost models in fluid recognition tasks. Through comparative experiments, we evaluated the performance of each model under different hyperparameter settings, focusing on metrics such as the accuracy, precision, recall, and F1-score to provide a thorough assessment of their effectiveness and adaptability in fluid recognition. Additionally, a confusion matrix was used to compare the models’ performance in fluid classification, further analyzing their predictive effectiveness across different fluid types.
4.1. Model Evaluation Metrics
To comprehensively evaluate the model’s performance, this study adopts a series of evaluation metrics, including accuracy (Ac), precision (P), recall (R), F1-score (F1), and the confusion matrix. These metrics provide different perspectives on the model’s identification effectiveness. Accuracy measures the overall correctness of the model’s predictions; precision and recall assess the model’s accuracy and coverage for positive class predictions, respectively; the F1-score, as the harmonic mean of precision and recall, offers a combined evaluation of the model’s performance [33]. The expressions for these evaluation metrics are as follows:
where TP represents the number of true positive samples correctly predicted by the model, TN represents the number of true negative samples, FP represents the number of negative samples incorrectly predicted as positive, and FN represents the number of positive samples incorrectly predicted as negative.
4.2. Hyperparameters of the Bayesian Optimization Model
In this study, Bayesian optimization was employed to fine-tune the hyperparameters of the SVM, KNN, RF, and AdaBoost models by using the training and validation datasets. The hyperparameter ranges for each model were set as follows: for the SVM, the penalty parameter c was in the range [0.1, 100], and the kernel parameter g was in the range [0.001, 0.1]; for the KNN, the number of neighbors n_nbrs was in the range [1, 50]; for the RF, the number of trees n_tree was in the range [50, 500], the maximum tree depth tree_depth was in the range [5, 50], and the minimum samples required to split a node min_split was in the range [2, 20]; for the AdaBoost, the number of weak learners n_estimators was in the range [50, 500], the learning rate lr was in the range [0.01, 1], and the maximum depth of the trees estimator_depth was in the range [1, 10].
Figure 7 illustrates the optimization results of the validation accuracy over 30 experiments for each model as the hyperparameters varied. Figure 8 displays the importance proportions of the different hyperparameters on the model performance following the experiments. For the SVM model, the penalty parameter C accounted for 83.6% of the importance, which was significantly higher than the kernel parameter g at 16.4%, indicating that C is the critical hyperparameter influencing the performance of the SVM model. In the Random Forest model, the tree depth tree_depth had the greatest impact on the model performance, accounting for 52.57%, followed by the minimum samples required to split a node min_split at 24.62%, and the number of trees n_tree at 22.81%. In the AdaBoost model, the depth of weak learners estimator_depth contributed the most to performance, accounting for 68.26%, followed by the learning rate lr at 29.54%, while the number of weak learners n_estimators had a minimal impact at only 2.2%. These results indicate that optimizing the key hyperparameters for each model is a crucial approach to enhancing the model performance.
Figure 7.
Bayesian optimization results.
Figure 8.
Importance proportion of the hyperparameters. (a) Importance proportion of the SVM hyperparameters; (b) Importance proportion of the RF hyperparameters; (c) Importance proportion of the AdaBoost hyperparameters.
Based on the optimization results from 30 experiments, the hyperparameter combination that achieved the highest validation accuracy was selected to construct the final model. The optimal hyperparameters for each model were as follows: for the SVM, the penalty parameter c was 21, and the kernel parameter g was 0.01128; for the KNN, the number of neighbors n_nbrs was 5; for the RF, the number of trees n_tree was 7, the maximum tree depth tree_depth was 27, and the minimum samples required to split a node min_split was 2; for the AdaBoost, the number of weak learners n_estimators was 90, the learning rate lr was 0.01, and the maximum depth of the trees estimator_depth was 9.
4.3. Comparison of Different Models
To evaluate the performance of the SVM, KNN, RF, and AdaBoost models in fluid identification tasks comprehensively, a comparative analysis of the fluid recognition results from the four models was conducted. The evaluation focused on metrics such as the accuracy (Ac), precision (P), recall (R), and F1-score (F1). Table 1 summarizes the precision, recall, and F1-score for each fluid type across the four models, while Figure 9 presents bar charts illustrating the accuracy and mean accuracy of the four models. Additionally, to provide a more intuitive analysis of each model’s performance in identifying different fluid types, confusion matrices were visualized (Figure 10) and compared with the actual fluid classifications (Figure 11).
Table 1.
Precision, recall, and F1-score of the fluid identification for the different models.
Figure 9.
Fluid identification accuracy and average accuracy for the different models. (a) SVM model; (b) KNN model; (c) RF model; (d) AdaBoost model.
Figure 10.
Confusion matrix for the fluid identification by the different models. (a) SVM model; (b) KNN model; (c) RF model; (d) AdaBoost model.
Figure 11.
Fluid identification results by the different models.
As shown in Table 1 and Figure 9, the SVM model exhibited the best overall performance. Its F1-scores ranged from 89% to 92%, with an average accuracy of 91.41%, surpassing the KNN, RF, and AdaBoost models by 16.94%, 4.39%, and 8.30%, respectively. The SVM demonstrated superior identification accuracy for the water and gas layers, achieving accuracies of 91.13% and 96.23%, respectively. The confusion matrix for the SVM model (Figure 10a) indicates a low misclassification rate for the water and gas–water layers, with only eight water layer samples incorrectly identified as gas–water layers. This aligns with its recall (91%) and precision (87%) values, highlighting the SVM’s strong discriminative capability and robust stability for primary fluid categories. The AdaBoost model showed outstanding performance in identifying the water layers, attaining a precision of 99% and an F1-score of 94%. The confusion matrix for the AdaBoost model (Figure 10d) reveals that only twelve water layer samples were misclassified as dry layers, demonstrating AdaBoost’s strong adaptability to fluid characteristics. However, AdaBoost’s performance in gas layer identification was suboptimal, with a recall of only 67%. The confusion matrix indicates that thirty gas layer samples were mistakenly identified as water layers, suggesting that the model’s feature extraction and recognition capabilities for gas layers need improvement. The RF model excelled in identifying gas–water layers, achieving a precision of 100% and an F1-score of 94%. The confusion matrix for the RF model (Figure 10c) shows that only eighteen gas–water layer samples were incorrectly classified, indicating strong adaptability to this fluid category’s features. However, the RF model exhibited a higher error rate in identifying water layers, with seventeen water layer samples misclassified as dry layers, resulting in a recall of 83% for the water layers, which is lower than that of the SVM and AdaBoost models. This suggests that the RF model has limited ability to distinguish boundary features for certain categories and exhibits lower stability compared to the SVM. The KNN model demonstrated relatively weak overall performance, particularly in identifying gas–water layers, with a recall of only 53% and an F1-score of 62%. The confusion matrix for the KNN model (Figure 10b) shows that sixty-six gas–water layer samples were misclassified as water layers, indicating that the KNN model struggles with handling complex class samples. However, the KNN model performed relatively well in identifying dry layers, achieving an accuracy of 96.25%, with only three dry layer samples misclassified as gas–water layers, indicating some adaptability in categories with simpler feature distributions and clearer boundaries.
Figure 11 displays the fluid identification results of the four models on the test set, revealing that the SVM model’s classification outcomes closely align with the actual classifications, demonstrating the superior identification accuracy and classification stability.
In summary, the SVM model demonstrated the most balanced performance across all of the fluid categories, exhibiting a clear advantage in the classification of the water and gas layers, making it well-suited for complex fluid identification scenarios. The AdaBoost model excelled in classifying gas–water layers but showed inferior performance in identifying gas layers alone. The RF model achieved the highest precision in gas–water layer classification; however, it lacked stability in classifying water and dry layers. The KNN model performed well in identifying dry layers but exhibited overall weaker performance, with significant deficiencies in classifying complex categories such as gas–water layers. These findings indicate that the SVM is the most appropriate model for fluid identification tasks in low-contrast reservoirs. In contrast, the classification performance of the KNN, RF, and AdaBoost models is highly influenced by the distribution of the sample features, rendering them less suitable for application in the study area.
5. Discussion
The Bayesian-optimized SVM method proposed in this study exhibits outstanding performance in fluid identification tasks within low-contrast reservoirs, particularly outperforming the KNN, RF, and AdaBoost models in the classification of water and gas layers. However, the accuracy of this method remains influenced by data quality and feature selection. In low-contrast reservoirs, the response differences among various fluid types are minimal, potentially leading to insufficient classification accuracy for certain categories.
Compared to deep learning methods, although the SVM performs exceptionally well in this study, it may present certain limitations when handling high-dimensional or imbalanced complex datasets. Deep learning algorithms, especially Convolutional Neural Networks (CNNs) and Recurrent Neural Networks (RNNs), with their robust feature extraction capabilities, could achieve higher accuracy in complex fluid identification tasks. However, deep learning methods typically rely on large volumes of labeled data and substantial computational resources, which can pose additional challenges in practical applications.
Furthermore, while the method presented in this paper performs excellently in low-contrast reservoirs in the Chuanzhong region, its adaptability to other geological structures or different reservoir characteristics still requires further validation. For instance, in fractured carbonate reservoirs, the complex fluid distribution and heterogeneity induced by fractures increase the difficulty of fluid identification. The presence of fractures complicates the distribution of logging data, thereby affecting the model’s classification performance. In such cases, traditional SVM methods may need to incorporate additional geological information, such as core data or seismic data, to enhance identification accuracy. For other reservoir types, such as loose sandstones, the Bayesian-optimized SVM may face significant challenges due to high noise levels in logging data under low-porosity and high-fluid-saturation environments, thereby increasing the difficulty of fluid identification. Therefore, future research could explore integrating Bayesian-optimized SVM with ensemble learning or deep learning methods to address fluid identification issues in complex environments.
To overcome the limitations of existing methods and broaden their application scope, future research could adopt strategies such as multi-model fusion and transfer learning. In multi-model fusion (as shown in Figure 12), combining various machine learning methods such as neural network, Random Forest, and Support Vector Machine models through ensemble learning can enhance the model accuracy and robustness in complex fluid identification scenarios. Transfer learning techniques can apply models trained in specific geological environments or reservoir types to different geological settings, thereby effectively addressing issues of insufficient data or high noise levels in logging data. Through these improvements, research can enhance the adaptability and identification accuracy of models across different geological conditions.
Figure 12.
Multi-model fusion framework for fluid identification.
6. Conclusions
This paper addresses the challenge of fluid identification in the low-contrast reservoirs of the Xujiahe Formation in the central Sichuan region, proposing a fluid recognition method based on the Bayesian-optimized support vector machine (SVM). A systematic comparative study is conducted with the KNN, RF, and AdaBoost models. The results demonstrate that the proposed Bayesian-optimized SVM model can automatically search for optimal hyperparameter combinations, significantly improving the performance in identifying water, gas, gas–water, and dry layers. It overcomes the inefficiency and instability of traditional manual tuning, providing an efficient and robust solution for complex fluid identification tasks.
The SVM model’s identification results for reservoir fluids in the study area closely match the actual interpretation results, with an average accuracy of 91.41%, which is significantly higher than those of the KNN, RF, and AdaBoost models. This highlights the model’s excellent performance and stability, making it suitable for fluid identification tasks in the study area. Especially in complex environments where fluid logging responses overlap, the Bayesian-optimized SVM method effectively improves the accuracy of fluid identification, helping exploration personnel to better distinguish between different fluid types, enhancing the exploration efficiency, reducing misjudgments, and minimizing human intervention errors. This approach significantly reduces exploration costs and provides more accurate scientific support for oil and gas field development.
Furthermore, the study found significant performance differences across models for identifying specific fluid types, offering important insights for optimizing fluid identification models based on specific scenario requirements. Future research will focus on enhancing model adaptability to complex fluid characteristics in low-contrast reservoirs and exploring multi-model fusion techniques to further improve the accuracy and robustness of fluid identification.
Author Contributions
Conceptualization, H.L.; Methodology, M.C.; Software, H.W.; Validation, B.Z., M.C. and H.L.; Formal Analysis, M.C.; Investigation, B.Z.; Resources, B.Z.; Data Curation, X.Z.; Writing—Original Draft Preparation, H.W.; Writing—Review and Editing, B.Z.; Visualization, B.Y.; Supervision, X.L.; Project Administration, M.C.; Funding Acquisition, H.L. All authors have read and agreed to the published version of the manuscript.
Funding
This research and article processing charges were funded by the Geological Exploration and Development Research Institute of CCDC, CNPC under the project “Key Technologies for Well Logging Evaluation of Tight Sandstone Gas Reservoirs in the Central and Western Sichuan Region”, grant number (CQCJ-2023-08).
Data Availability Statement
The data presented in this study are available on request from the corresponding author; however, due to the confidential nature of the project data used in the article, they cannot be made publicly available.
Acknowledgments
We would like to thank the editorial team and the anonymous reviewers for their strong support!
Conflicts of Interest
Authors Hongxi Li, Mingjiang Chen, Bo Yang and Xiansheng Li were employed by the company Petroleum Exploration and Development Research Institute of CNPC Chuanqing Drilling Engineering Company. The remaining authors declare that the research was conducted in the absence of any commercial or financial relationships that could be construed as a potential conflict of interest.
References
- Gao, L.; Xie, R.H.; Xiao, L.Z.; Wang, S.; Xu, C.Y. Identification of low-resistivity-low-contrast pay zones in the feature space with a multi-layer perceptron based on conventional well log data. Pet. Sci. 2022, 19, 570–580. [Google Scholar] [CrossRef]
- Liu, C.; Wang, Z.; Gu, Z.; Hu, Q.; Zhou, K.; Liang, Q. Resistivity cutoff of low-resistivity and low-contrast pays in sandstone reservoirs from conventional well logs: A case of Paleogene Enping Formation in A-Oilfield, Pearl River Mouth Basin, South China Sea. Open Geosci. 2023, 15, 20220520. [Google Scholar] [CrossRef]
- Luo, S.; Xu, H.; Liu, H.; Zhang, J.; Yan, H. Genetic mechanism and logging evaluation of low resistivity gas reservoirs in the Tainan Gas Field, eastern Qaidam Basin. Nat. Gas Ind. 2014, 34, 41–45. [Google Scholar]
- Jiang, Y.; Zhou, J.; Fu, X.; Cui, L.; Fang, C.; Cui, J. Analyzing the Origin of Low Resistivity in Gas-Bearing Tight Sandstone Reservoir. Geofluids 2021, 2021, 4341804. [Google Scholar] [CrossRef]
- Mashaba, V.; Altermann, W. Calculation of water saturation in low resistivity gas reservoirs and pay-zones of the Cretaceous Grudja Formation, onshore Mozambique basin. Mar. Pet. Geol. 2015, 67, 249–261. [Google Scholar] [CrossRef]
- Pratama, E.; Suhaili Ismail, M.; Ridha, S. An integrated workflow to characterize and evaluate low resistivity pay and its phenomenon in a sandstone reservoir. J. Geophys. Eng. 2017, 14, 513–519. [Google Scholar] [CrossRef]
- Das, B.; Chatterjee, R. Well log data analysis for lithology and fluid identification in Krishna-Godavari Basin, India. Arab. J. Geosci. 2018, 11, 1–12. [Google Scholar] [CrossRef]
- Bai, Z.; Tan, M.J.; Shi, Y.J.; Li, G. Genesis of low-resistivity oil pays and a fluid identification method for tight sandstone reservoirs:A case study of the Chang 8 Formation in the Longdong West area, Ordos Basin. Geophys. Prospect. Petroleum. 2022, 61, 750–760. [Google Scholar]
- Jin, W.H. Research on Gas-Water Distribution of Low Permeability Sandstone Gas Reservoir—Taking Su54 Area He8 and Shan1 Gas Reservoir as Example. Ph.D. Thesis, Chengdu University Technology, Chengdu, China, 2010. [Google Scholar]
- Wang, D.; Qi, J.; Chen, X.; Tang, H.; Yang, K.; Lyw, P. Forming reason analysis and saturation quantitative evaluation oflow-resistivity gas layer in N Gasfield of Donghai Sea. Complex Hydrocarb. Reserv. 2017, 10, 7–13. [Google Scholar]
- Feng, M.; Zhang, Z.; Song, Z.; Gan, R.; Hu, G.; Li, G.; Dou, H.; Deng, R. Saturation Calculation for Low-Resistivity Reservoirs Caused by Pyrite Conductivity. Processes 2024, 12, 2682. [Google Scholar] [CrossRef]
- Xie, R.; Xiao, L. Advanced fluid-typing methods for NMR logging. Pet. Sci. 2011, 8, 163–169. [Google Scholar] [CrossRef]
- Bai, Z.; Tan, M.; Li, B.; Shi, Y.; Zhang, H.; Li, G. Fluid Identification Method of Nuclear Magnetic Resonance and Array Acoustic Logging for Complex Oil and Water Layers in Tight Sandstone Reservoir. Processes 2023, 11, 3051. [Google Scholar] [CrossRef]
- Chen, Q.; Zhang, F.; Qiu, F.; Wang, Z.; Liu, Y.; Zhang, Q.; Tian, L.; Fan, J.; Liang, Q. Quantitatively determining gas content using pulsed neutron logging technique in closed gas reservoir. J. Pet. Sci. Eng. 2021, 198, 108149. [Google Scholar] [CrossRef]
- Kang, B.; Kim, S.; Jung, H.; Choe, J.; Lee, K. Efficient assessment of reservoir uncertainty using distance-based clustering: A review. Energies 2019, 12, 1859. [Google Scholar] [CrossRef]
- Cai, W.; Deng, R.; Gao, C.; Wang, Y.; Ning, W.; Shu, B.; Chen, Z. Evaluation techniques for shale oil lithology and mineral composition based on principal component analysis optimized clustering algorithm. Processes 2023, 11, 958. [Google Scholar] [CrossRef]
- Wu, B.H.; Xie, R.H.; Xiao, L.Z.; Guo, J.F.; Jin, G.W.; Fu, J.W. Integrated classification method of tight sandstone reservoir based on principal component analysis–simulated annealing genetic algorithm–fuzzy cluster means. Pet. Sci. 2023, 20, 2747–2758. [Google Scholar] [CrossRef]
- Abbas, K.A.; Gharavi, A.; Hindi, N.A.; Hassan, M.; Alhosin, H.Y.; Gholinezhad, J.; Ghoochaninejad, H.; Barati, H.; Buick, J.; Yousefi, P.; et al. Unsupervised machine learning technique for classifying production zones in unconventional reservoirs. Int. J. Intell. Netw. 2023, 4, 29–37. [Google Scholar] [CrossRef]
- Zhou, X.; Li, Y.; Song, X.; Jin, L.; Wang, X. Thin reservoir identification based on logging interpretation by using the support vector machine method. Energies 2023, 16, 1638. [Google Scholar] [CrossRef]
- Sun, Y.; Zhang, J.; Zhang, Y. Fluid classification through well logging is conducted using the extreme gradient boosting model based on the adaptive piecewise flatness-based fast transform feature extraction algorithm. Phys. Fluids 2024, 36, 016608. [Google Scholar] [CrossRef]
- Du, C.; Xing, Q.; Zhang, J.; Wang, J.; Liu, B.; Wang, Y. Inpainting electrical logging images based on deep CNN with attention mechanisms. In Proceedings of the 2020 IEEE Symposium Series on Computational Intelligence (SSCI), Canberra, ACT, Australia, 1–4 December 2020; IEEE: Piscataway, NJ, USA, 2020; pp. 607–610. [Google Scholar]
- Du, L.; Lu, X.; Li, H. Automatic fracture detection from the images of electrical image logs using Mask R-CNN. Fuel 2023, 351, 128992. [Google Scholar] [CrossRef]
- Yang, L.; Wang, S.; Chen, X.; Chen, W.; Saad, O.M.; Chen, Y. Deep-learning missing well-log prediction via long short-term memory network with attention-period mechanism. Geophysics 2023, 88, D31–D48. [Google Scholar] [CrossRef]
- Yang, L.; Fomel, S.; Wang, S.; Chen, X.; Chen, W.; Saad, O.M.; Chen, Y. Porosity and permeability prediction using a transformer and periodic long short-term network. Geophysics 2023, 88, WA293–WA308. [Google Scholar] [CrossRef]
- Deka, P.C. Support vector machine applications in the field of hydrology: A review. Appl. Soft Comput. 2014, 19, 372–386. [Google Scholar]
- Huang, S.; Cai, N.; Pacheco, P.P.; Narrandes, S.; Wang, Y.; Xu, W. Applications of support vector machine (SVM) learning in cancer genomics. Cancer Genom. Proteom. 2018, 15, 41–51. [Google Scholar]
- Zendehboudi, A.; Baseer, M.A.; Saidur, R. Application of support vector machine models for forecasting solar and wind energy resources: A review. J. Clean. Prod. 2018, 199, 272–285. [Google Scholar] [CrossRef]
- Shahriari, B.; Swersky, K.; Wang, Z.; Adams, R.P.; De Freitas, N. Taking the human out of the loop: A review of Bayesian optimization. Proc. IEEE 2015, 104, 148–175. [Google Scholar] [CrossRef]
- Yan, S.; Zhang, Y.; Liu, X.; Liu, R. Rock burst intensity classification prediction model based on a bayesian hyperparameter optimization support vector machine. Mathematics 2022, 10, 3276. [Google Scholar] [CrossRef]
- Liu, S.; Ren, X.; Yao, S.; Liu, Z.; Ning, M.; Wang, X.; Huang, X. Relationship between gas reservoir distribution and structural system of Upper Triassic Xujiahe Fm in the Sichuan Basin. Nat. Gas Ind. 2018, 38, 1–14. [Google Scholar] [CrossRef]
- Xie, C.; Yang, J.; Zhang, L.; Guo, J.; Jin, H.; Hao, C. Accumulation characteristics and large-medium gas reservoir-forming mechanism of tight sandstone gas reservoir in Sichuan Basin: Case study on the Upper Triassic Xujiahe Formation gas reservoir in central Si-chuan Basin. Nat. Gas Geosci. 2021, 32, 1201–1211. [Google Scholar] [CrossRef]
- Cao, Z.; Zhang, B.; Yang, R. New understanding of hydrocarbon accumulation model in whole petroleum system of the Upper Trassic Xujiahe Formation in the western Sichuan Basin. Nat. Gas Ind. 2023, 43, 40–53. [Google Scholar]
- Wang, T.T.; Wang, Z.H.; Li, F.; Zhao, W. Lithology Identification in Optuna-BiGRU Logging Based on Enhanced Multi-head Attention Mechanism. J. Earth Sci. Environ. 2024, 46, 127–142. [Google Scholar]
Disclaimer/Publisher’s Note: The statements, opinions and data contained in all publications are solely those of the individual author(s) and contributor(s) and not of MDPI and/or the editor(s). MDPI and/or the editor(s) disclaim responsibility for any injury to people or property resulting from any ideas, methods, instructions or products referred to in the content. |
© 2025 by the authors. Licensee MDPI, Basel, Switzerland. This article is an open access article distributed under the terms and conditions of the Creative Commons Attribution (CC BY) license (https://creativecommons.org/licenses/by/4.0/).











