Liquid–Solid Coupled Internal Flow Field Analysis of Natural Gas Hydrate Spiral-Swirling Downhole In Situ Separator
Abstract
1. Introduction
2. Geometric Model
2.1. Numerical Calculation Model
2.1.1. Fluid Control Equation
2.1.2. Turbulence Modeling
2.1.3. Multiphase Flow Modeling
2.2. Model Description
2.3. Boundary Conditions and Simulation Parameter Settings
3. Simulation Analysis of Flow Field Characteristics
3.1. Verification of Particle Motion Trajectory
3.2. Velocity Field
3.2.1. Mixed Slurry Velocity Distribution
3.2.2. Axial Velocity Distribution
3.2.3. Radial Velocity Distribution
3.2.4. Tangential Velocity Distribution
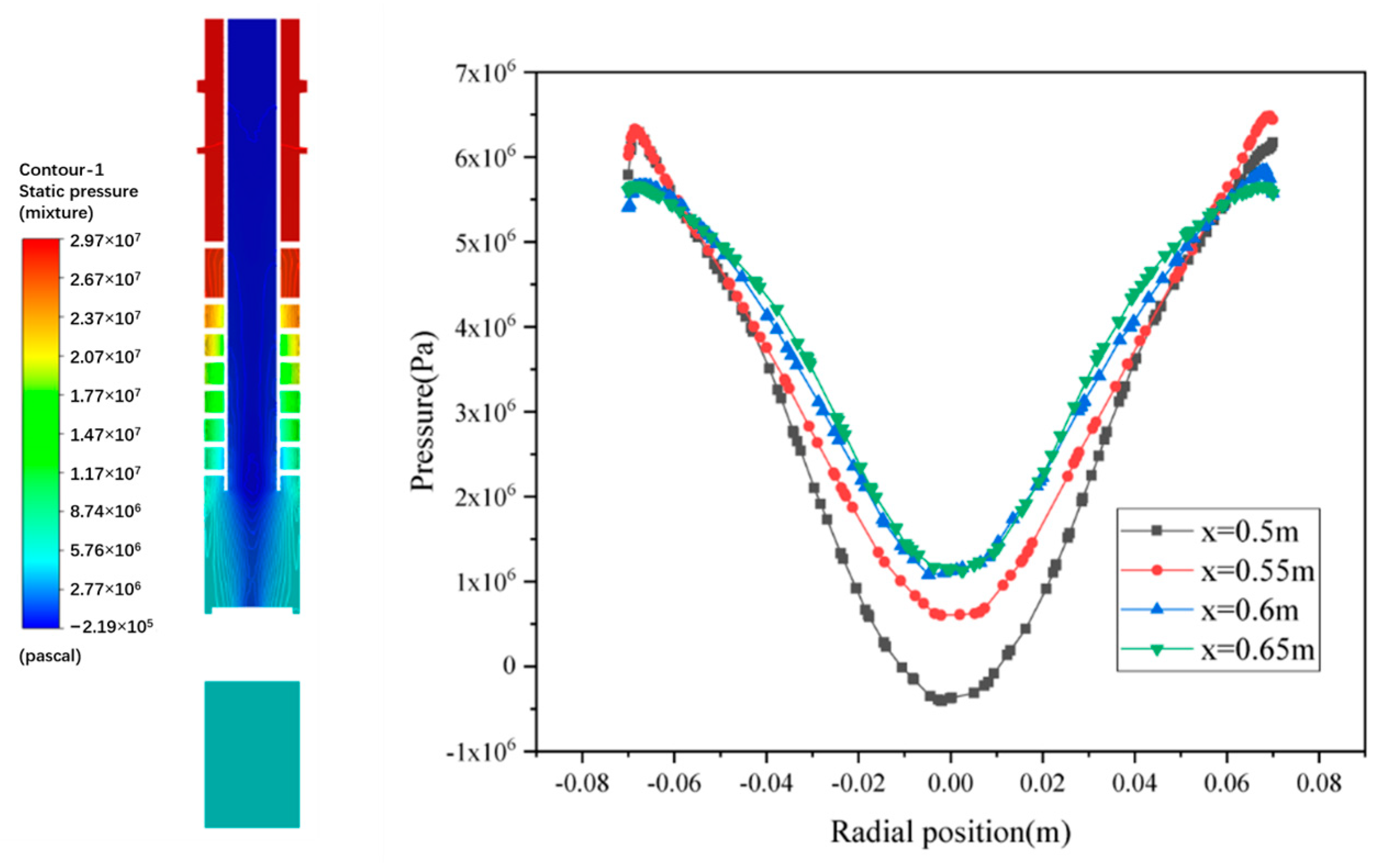
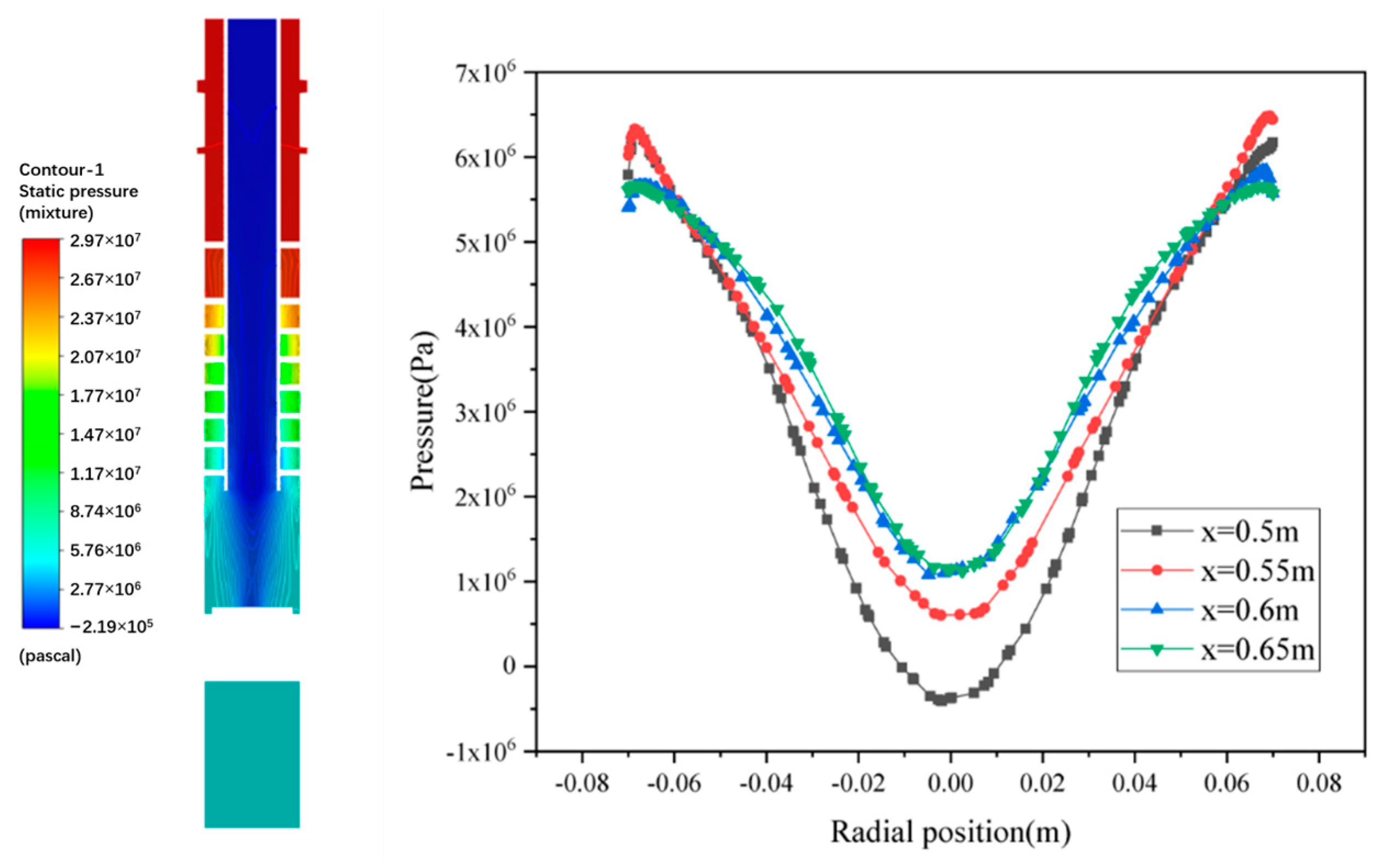
3.3. Pressure Field
3.4. Sediment Phase Distribution
3.5. Natural Gas Hydrate Phase Distribution
4. Experimental Verification
4.1. Experimental System
4.2. Comparison Validation
5. Conclusions
Author Contributions
Funding
Data Availability Statement
Conflicts of Interest
References
- Kezirian, M.T.; Phoenix, S.L. Natural Gas Hydrate as a Storage Mechanism for Safe, Sustainable, and Economical Production from Offshore Petroleum Reserves. Energies 2017, 10, 828. [Google Scholar] [CrossRef]
- Qiu, S.Z.; Wang, G.R.; Wang, L.Z.; Fang, X. A Downhole Hydrocyclone for the Recovery of Natural Gas Hydrates and Desanding: The CFD Simulation of the Flow Field and Separation Performance. Energies 2019, 12, 3257. [Google Scholar] [CrossRef]
- Sun, H.R.; Chen, B.B.; Yang, M.J. Effect of multiphase flow on natural gas hydrate production in marine sediment. J. Nat. Gas Sci. Eng. 2020, 73, 103066. [Google Scholar] [CrossRef]
- Wei, N.; Pei, J.; Zhao, J.; Zhang, L.; Zhou, S.; Luo, P.; Li, H.; Wu, J. A state-of-the-art review and prospect of gas hydrate reservoir drilling techniques. Front. Earth Sci. 2022, 10, 997337. [Google Scholar] [CrossRef]
- Koh, D.Y.; Kang, H.; Lee, J.W.; Park, Y.; Kim, S.J.; Lee, J.; Lee, J.Y.; Lee, H. Energy-efficient natural gas hydrate production using gas exchange. Appl. Energy 2016, 162, 114–130. [Google Scholar] [CrossRef]
- Wang, J.Q.; Han, F.X.; Li, S.G.; Ge, K.; Zheng, Z.W. Investigation of gas hydrate production with salinity via depressurization and thermal stimulation methods. J. Pet. Sci. Eng. 2020, 194, 107465. [Google Scholar] [CrossRef]
- Minagawa, H.; Ito, T.; Kimura, S.; Kaneko, H.; Noda, S.; Tenma, N. Depressurization and electrical heating of methane hydrate sediment for gas production: Laboratory-scale experiments. J. Nat. Gas Sci. Eng. 2018, 50, 147–156. [Google Scholar] [CrossRef]
- Sun, H.R.; Chen, B.B.; Zhao, G.J.; Zhao, Y.C.; Yang, M.J. Utilization of water-gas flow on natural gas hydrate recovery with different depressurization modes. Fuel 2021, 288, 119583. [Google Scholar] [CrossRef]
- Wang, B.; Fan, Z.; Wang, P.F.; Liu, Y.; Zhao, J.F.; Song, Y.C. Analysis of depressurization mode on gas recovery from methane hydrate deposits and the concomitant ice generation. Appl. Energy 2018, 227, 624–633. [Google Scholar] [CrossRef]
- Feng, Y.; Chen, L.; Suzuki, A.; Kogawa, T.; Okajima, J.; Komiya, A.; Maruyama, S. Numerical analysis of gas production from reservoir-scale methane hydrate by depressurization with a horizontal well: The effect of permeability anisotropy. Mar. Pet. Geol. 2019, 102, 817–828. [Google Scholar] [CrossRef]
- Ma, S.H.; Zheng, J.N.; Zhao, J.; Yang, M.J.; Song, Y.C. Experimental analysis on thermodynamic stability and methane leakage during solid fluidization process of methane hydrate. Fuel 2021, 284, 119020. [Google Scholar] [CrossRef]
- Zhang, G.; Li, J.; Yang, H.; Liu, G.; Pang, Q.; Wu, T.; Huang, H. Simulation research on solid fluidization exploitation of deepwater superficial layer natural gas hydrate reservoirs based on double-layer continuous pipe. J. Nat. Gas Sci. Eng. 2022, 108, 104828. [Google Scholar] [CrossRef]
- Wang, D.F.; Wang, G.R.; Zhong, L.; Liu, X.P. Effect of the protrusion of the mining chamber on particle recovery performance in solid-state fluidization mining for natural gas hydrate. Geoenergy Sci. Eng. 2024, 233, 212595. [Google Scholar] [CrossRef]
- Yuan, S.; Sun, G.; Cao, G.; Wu, Y.; Yue, Y.; Song, Z. Study of the performance and flow field of a new spiral-roof cyclone separator. Powder Technol. 2024, 438, 119605. [Google Scholar] [CrossRef]
- Sardar, R.; Oh, J.; Kim, M.; Lee, J.E.; Kim, S.; Kim, K.C. The effect of inlet velocity, gas temperature and particle size on the performance of double cyclone separator. Chem. Eng. Process.-Process Intensif. 2023, 191, 109469. [Google Scholar] [CrossRef]
- Guzniczak, E.; Krüger, T.; Bridle, H.; Jimenez, M. Limitation of spiral microchannels for particle separation in heterogeneous mixtures: Impact of particles’ size and deformability. Biomicrofluidics 2020, 14, 044113. [Google Scholar] [CrossRef]
- Mihandoust, A.; Maleki-Jirsaraei, N.; Rouhani, S.; Safi, S.; Alizadeh, M. Improvement of size-based particle separation throughput in slanted spiral microchannel by modifying outlet geometry. Electrophoresis 2020, 41, 353–359. [Google Scholar] [CrossRef] [PubMed]
- Saini, A.; Negi, A.S.; Kumar, A.; Chamkha, A.J. Radiative convective heat transfer and magneto-hydrodynamic flow in a viscous fluid-saturated porous channel with variable thermal conductivity. Int. J. Ambient. Energy 2024, 45, 2406908. [Google Scholar] [CrossRef]
- Rawat, S.K.; Yaseen, M.; Pant, M.; Ujarari, C.S.; Joshi, D.K.; Chaube, S.; Negi, A.S.; Kumar, M. Designing soft computing algorithms to study heat transfer simulation of ternary hybrid nanofluid flow between parallel plates in a parabolic trough solar collector: Case of artificial neural network and particle swarm optimization. Int. Commun. Heat Mass Transf. 2023, 148, 107011. [Google Scholar] [CrossRef]
- Negi, A.S.; Kumar, B. Nano-ferrofluid (Mn–Zn, CoFe2O4, Fe3O4) flow in a permeable channel with induced magnetic field. Waves Random Complex Media 2023, 51, 1–28. [Google Scholar] [CrossRef]
- Tang, Y.; Li, Z.; Wang, G.; He, Y. A novel approach for nature gas hydrate separation: Downhole spiral-cyclone coupled hydraulic in-situ separation. Chem. Eng. Res. Des. 2022, 188, 808–822. [Google Scholar] [CrossRef]
- Xie, B.; Li, S.; Jin, H.; Hu, S.; Wang, F.; Zhou, F. Analysis of the performance of a novel dust collector combining cyclone separator and cartridge filter. Powder Technol. 2018, 339, 695–701. [Google Scholar] [CrossRef]
- Lan, W.; Wang, H.; Li, Y.; Feng, K.; Zhang, X.; Liu, Y.; Zhu, X.; Chen, S. Numerical and experimental investigation on a downhole gas-liquid separator for natural gas hydrate exploitation. J. Pet. Sci. Eng. 2022, 208, 109743. [Google Scholar] [CrossRef]
- Nie, Q.; Zhang, S.F.; Huang, Y.; Yi, X.Z.; Wu, J.W. Numerical and Experimental Investigation on Safety of Downhole Solid-Liquid Separator for Natural Gas Hydrate Exploitation. Energies 2022, 15, 5649. [Google Scholar] [CrossRef]
- Qiu, S.Z.; Wang, G.R. Effects of Reservoir Parameters on Separation Behaviors of the Spiral Separator for Purifying Natural Gas Hydrate. Energies 2020, 13, 5346. [Google Scholar] [CrossRef]
- Chang, Y.L.; Ti, W.Q.; Wang, H.L.; Zhou, S.W.; Huang, Y.; Li, J.P.; Wang, G.R.; Fu, Q.; Lin, H.T.; Wu, J.W. Hydrocyclone used for in-situ sand removal of natural gas-hydrate in the subsea. Fuel 2021, 285, 119075. [Google Scholar] [CrossRef]
- Duan, X.; Wu, J.; Huang, Y.; Lin, H.; Zhou, S.; Zhu, J.; Nie, S.; Wang, G.; Ma, L.; Wang, H. Achieving effective and simultaneous consolidation breaking and sand removal in solid fluidization development of natural gas hydrate. Appl. Energy 2023, 351, 121673. [Google Scholar]
- Qiu, S.; Wang, T.; Wang, G.; Zhong, L.; Fang, X. Effect of Spiral Inlet Geometric Parameters on the Performance of Hydrocyclones Used for In Situ Desanding and Natural Gas Hydrate Recovery in the Subsea. ACS Omega 2023, 8, 5426–5436. [Google Scholar] [CrossRef]
- Foroozesh, J. Computational fluid dynamics study of the impact of surface roughnesson cyclone performance and erosion. Powder Technol. 2021, 389, 339–354. [Google Scholar] [CrossRef]
- Singh, H.; Kumar, S.; Mohapatra, S.K. Modeling of solid-liquid flow inside conical diverging sections using computational fluid dynamics approach. Int. J. Mech. Sci. 2020, 186, 105909. [Google Scholar] [CrossRef]
- Islam, M.T.; Nguyen, A.V. Effect of particle size and shape on liquid–solid fluidization in a HydroFloat cell. Powder Technol. 2021, 379, 560–575. [Google Scholar] [CrossRef]
- Heo, J.; Kim, K.D.; Kim, B.J. Improvement of One-Dimensional Two-Fluid Momentum Conservation Equations for Vertically Stratified Flow. Nucl. Technol. 2018, 204, 162–171. [Google Scholar] [CrossRef]
- Sun, Z.P.; Liu, C.Y.; Yang, G.; Chen, L. Orthogonal vortices characteristic, performance evaluation and classification mechanism of a horizontal classifier with three rotor cages. Powder Technol. 2022, 404, 117438. [Google Scholar] [CrossRef]
- Shastri, R.; Brar, L.S. Numerical investigations of the flow-field inside cyclone separators with different cylinder-to-cone ratios using large-eddy simulation. Sep. Purif. Technol. 2020, 249, 117149. [Google Scholar] [CrossRef]
- Xu, M.H.; Yang, L.S.; Sun, X.H.; Wang, J.X.; Gong, L. Numerical analysis of flow resistance reduction methods in cyclone separator. J. Taiwan Inst. Chem. Eng. 2019, 96, 419–430. [Google Scholar] [CrossRef]
- Li, H.; Song, Z.; Wang, R.; Sun, Z.; Zhang, A.; Zhang, X.; Si, H.; Hu, R.; Hu, Z. Study on the influence of baffle height and angle on the performance of coarse powder separator in power plant based on CFD-DPM method. Int. J. Heat Fluid Flow 2024, 109, 109523. [Google Scholar] [CrossRef]
- Zhang, L.H.; Fan, J.L.; Zhang, P.; Gao, F.; Chen, G.H.; Li, J.L. Effect of local erosion on the flow field and separation performance of the cyclone separator. Powder Technol. 2023, 413, 118007. [Google Scholar] [CrossRef]
















| Parameters | Sign | Value |
|---|---|---|
| Total height of separator | H | 1200 mm |
| Separator inner diameter | D1 | 140 mm |
| Number of cyclone inlet guide ports | N0 | 4 |
| Cyclone inlet helical pitch | h1 | 900 mm |
| Cyclone inlet helix turns | N1 | 0.25 |
| Cyclone inlet helix length | L | 180 mm |
| Distance from the bottom of the cyclone inlet to the bottom of the separator | H2 | 1000 mm |
| Spiral runner pitch | h2 | 78 mm |
| Overflow pipe inner diameter | D | 72 mm |
| Overflow pipe insertion length | L1 | 0 |
| Number of spiral turns of spiral runner | N2 | 5.25 |
| Vortex deflector position | E1 | 136 mm |
| Sedimentation depth | H1 | 317.5 mm |
| Vortex deflector diameter | D2 | 120 mm |
| Parameter | Value |
|---|---|
| Inlet velocity (m/s) | 10 |
| Inlet temperature (K) | 273.15 |
| Inlet turbulence intensity | 5% |
| Outlet relative pressure difference (MPa) | 0.1 |
| Medium | Density (kg/m3) | Particle (μm) | Viscosity (kg/(m·s)) | Volume Fraction |
|---|---|---|---|---|
| Gas hydrate | 910 | 50 | 1.2 × 10−5 | 15 |
| Solid particles (mud–sand) | 2600 | 50 | 1.72 × 10−5 | 20 |
| Water | 1030 | - | 1.7 × 10−3 | 65 |
Disclaimer/Publisher’s Note: The statements, opinions and data contained in all publications are solely those of the individual author(s) and contributor(s) and not of MDPI and/or the editor(s). MDPI and/or the editor(s) disclaim responsibility for any injury to people or property resulting from any ideas, methods, instructions or products referred to in the content. |
© 2025 by the authors. Licensee MDPI, Basel, Switzerland. This article is an open access article distributed under the terms and conditions of the Creative Commons Attribution (CC BY) license (https://creativecommons.org/licenses/by/4.0/).
Share and Cite
He, Y.; Jiang, X.; Tang, Y.; Zhou, Y.; Xie, N.; Wang, G. Liquid–Solid Coupled Internal Flow Field Analysis of Natural Gas Hydrate Spiral-Swirling Downhole In Situ Separator. Processes 2025, 13, 360. https://doi.org/10.3390/pr13020360
He Y, Jiang X, Tang Y, Zhou Y, Xie N, Wang G. Liquid–Solid Coupled Internal Flow Field Analysis of Natural Gas Hydrate Spiral-Swirling Downhole In Situ Separator. Processes. 2025; 13(2):360. https://doi.org/10.3390/pr13020360
Chicago/Turabian StyleHe, Yufa, Xiaohui Jiang, Yang Tang, Yunjian Zhou, Na Xie, and Guorong Wang. 2025. "Liquid–Solid Coupled Internal Flow Field Analysis of Natural Gas Hydrate Spiral-Swirling Downhole In Situ Separator" Processes 13, no. 2: 360. https://doi.org/10.3390/pr13020360
APA StyleHe, Y., Jiang, X., Tang, Y., Zhou, Y., Xie, N., & Wang, G. (2025). Liquid–Solid Coupled Internal Flow Field Analysis of Natural Gas Hydrate Spiral-Swirling Downhole In Situ Separator. Processes, 13(2), 360. https://doi.org/10.3390/pr13020360

