Abstract
In this article, the resveratrol content and antioxidant activity of extracts obtained from Japanese knotweed (Polygonum cuspidatum Siebold & Zucc.) were evaluated. The extracts were prepared by pressurized liquid extraction (PLE), maceration, ultrasound-assisted solvent extraction (UASE), and sea sand disruption method (SSDM) using different extractants (methanol, methanol–water mixture, and water). The following methods were used to study antioxidant properties: ABTS (2,2′-azino-bis(3-ethylbenzothiazoline-6-sulfonic acid), FRAP (ferric reducing antioxidant power), DPPH (2,2′-diphenyl-1-picrylhydrazyl), and CUPRAC (cupric ion reducing antioxidant capacity). It was proven that the resveratrol content depends not only on the extraction technique used but also on the solvent and extraction temperature. High resveratrol content was obtained by maceration and PLE using a mixture of methanol and water as the extraction solvent. Among the extracts tested, these were the ones showed the greatest antioxidant properties. However, it was confirmed that not only resveratrol but also other components of the extracts are responsible for the antioxidant properties. It was therefore shown that not only resveratrol, most commonly associated with Japanese knotweed, but also other ingredients affect the biological activity of this valuable-for-health plant.
1. Introduction
Traditional Chinese medicine is one of the oldest in the world and is based on a holistic approach to the human body [1]. According to it, the human body is not only individual organs but a whole that takes into account other dimensions of human life [2,3]. Its main objective is ill health prevention, which comes down to conscious disease prevention [4]. This involves eliminating the causes and removing the effects in the early stages of the disease—sometimes even a dozen or so years before external, permanent symptoms appear. Hence, Chinese medicine is preventive medicine. It is considered an ancient medical system that is based on a unique set of theories, techniques, and methods of treatment. Among them, it is worth mentioning the common use of herbs, which are very often taken in the form of special mixtures or decoctions [5,6].
Popular herbs used in Eastern medicine include Japanese knotweed (Latin: Polygonum cuspidatum Siebold & Zucc. or Reynoutria japonica Houtt.) [7,8]. This traditional Chinese herb grows throughout Asia, including China, Japan, and Taiwan. It can also be found in North America and Europe [9]. The roots of Polygonum cuspidatum are listed in the Pharmacopoeia of the People’s Republic of China under the name Huzhang [10]. Polygonum cuspidatum (Figure 1) has been used as a medicinal plant in Asian countries for thousands of years. It was most often used as a remedy for inflammation, skin and liver diseases, and constipation. Additionally, it has documented anti-inflammatory, antioxidant, antiviral, antimicrobial, and neuroprotective effects. It is also used to treat arthritis, colitis, and asthma [11,12].
Figure 1.
Illustrative photo of Polygonum cuspidatum used in this study and the molecular formula of the compound characteristic of this plant, i.e., trans-resveratrol [13].
The rhizome of Polygonum cuspidatum is rich in resveratrol, which, according to the literature, is mainly responsible for its health-promoting properties [14]. Resveratrol has anti-inflammatory effects. It also has a beneficial effect on immunity, as it has antibacterial, antiviral, and antifungal properties. Additionally, it supports the treatment of menopausal symptoms, helps reduce the level of bad LDL cholesterol in the blood, and also reduces the risk of lifestyle diseases, such as hypertension, type 2 diabetes, and obesity, and has a protective effect on the heart. It plays an important role not only in the prevention of cancer but also in its treatment [15,16]. It is also suggested to have a protective effect against neurodegenerative diseases, and, as a result, research is currently underway on its effectiveness in the treatment of Parkinson’s disease, Alzheimer’s disease, and Huntington’s chorea [17]. It is also used in the treatment of autoimmune diseases and Lyme disease. Producers of natural medicines and herbalists who praise properties of Polygonum cuspidatum emphasize that it is owing to resveratrol that the French enjoy good health and suffer from circulatory system diseases much less often than other Europeans. And since the French consume resveratrol mainly with red wine, which they emphasize, should not be consumed in excess, they recommend Polygonum cuspidatum as an alternative as a valuable and rich source of this ingredient.
Resveratrol is a powerful, natural antioxidant and as such is currently an ingredient in many products, from nutraceuticals to cosmetics [18]. In the latter case, it is claimed to act not only as a natural antioxidant but also as an anti-aging agent, and according to scientists, the antioxidant activity of trans-resveratrol is much stronger than that of vitamins C and E, most often associated with this activity [19,20]. Consequently, research is even being conducted on the incorporation of trans-resveratrol as an additive in plastic films intended for food packaging in order to increase the stability of the film and/or prevent food oxidation [21]. Therefore, with this information in mind and considering the scarcity of experimental studies on Polygonum cuspidatum, the aim of this paper is to investigate how much of this beneficial substance, i.e., resveratrol, is found in extracts obtained from this currently popular plant. Different extraction techniques and different process conditions were used in the studies. As such, in the studies, both the classic maceration method, still commonly used in pharmacognosy studies, and modern approaches to extraction in the solid–liquid system. The latter include the currently popular, sophisticated, and advanced assisted extraction techniques, i.e., pressurized liquid extraction (PLE) and ultrasound-assisted solvent extraction (UASE), used on an industrial scale as well as the extremely simple and cheap laboratory procedure known as the sea sand disruption method (SSDM). The assessment of antioxidant activity was carried out using the cation of the diammonium salt of 2,2′-azino-bis(3-ethylbenzothiazoline-6-sulfonic acid); 2,2′-diphenyl-1-picrylhydrazyl; and also, the iron ion reducing antioxidant parameter and the copper ion reducing antioxidant capacity. The commonly used names of these methods are ABTS, DPPH, FRAP, and CUPRAC, respectively. In the course of the study, the antioxidant properties of the obtained extracts are linked to the properties of resveratrol itself, which seems to be a novelty in the seemingly well-known topic of research on Polygonum cuspidatum.
2. Materials and Methods
2.1. Chemicals and Materials
2,2′-Azinobis(3-ethylbenzothiazoline-6-sulfonic acid) diammonium salt (ABTS), 2,2′-diphenyl-1-picrylhydrazyl (DPPH), 3,4′,5-trihydroxy-trans-stilbene (resveratrol), Folin–Ciocalteu’s phenol reagent, potassium persulfate (di-potassium peroxdisulfate), neocuproine (2,9-dimethyl-1,10- phenanthroline, Nc), 2,4,6-tri(2-pyridyl)-s-triazine (TPTZ), and Trolox were purchased from Sigma Aldrich (Poznań, Poland). Acetic acid, acetonitrile (Super Gradient), copper (II) chloride, iron (III) chloride hexahydrate, hydrochloric acid, ammonium acetate, ethanol, ethyl acetate, methanol, sodium acetate, and sodium carbonate were provided by the Polish Chemical Plant POCh (Gliwice, Poland). Water was purified using a Milli-Q system from Millipore (Millipore, Bedford, MA, USA). Ground Polygonum cuspidatum rhizomes were purchased from a local store (Lublin, Poland). According to the manufacturer’s declaration on the packaging, it contained only dried and ground knotweed rhizomes. Precisely weighed portions of the material were used for extraction.
2.2. Preparation of Extracts
In order to prepare solutions for testing antioxidant properties, the plant material was extracted. Various solid–liquid extraction methods were used for this purpose. They are presented below separately for the individual extraction techniques used. It is worth noting that in each technique, the same ratio of plant mass to extractant volume was used, i.e., 1:125.
2.2.1. Pressurized Liquid Extraction
PLE was performed on a Dionex ASE200 instrument (Dionex Corp., Sunnyvale, CA, USA). For this purpose, plant material (0.4 g) was mixed with appropriately prepared sand to reduce the volume of solvent used for extraction [22], placed in 22 mL stainless steel extraction vessels, and extracted using a slightly modified procedure described in [23]. The research used the following extraction conditions:
- temperature: 25 °C;
- static extraction time: 10 min;
- extraction pressure: 40 bar;
- solvent volume used to rinse the extraction vessel: 100% of the capacity of the empty vessel;
- purging time with nitrogen: 60 s at a pressure of 10 bar;
- the extraction solvents used: water, methanol–water mixture (50/50, v/v), and methanol.
Between subsequent extractions, the system was washed with the extraction solvent. The obtained extracts were quantitatively transferred to 50 mL volumetric flasks, which were then filled to capacity with an appropriate solvent (water, methanol, or a methanol–water mixture). The obtained extracts were diluted and subjected to chromatographic analysis (HPLC). The final concentration used in this study was 0.8 mg/mL (taking into account the initial mass of the herb used in this study and subsequent dilutions). It should be noted here that the starting solution (0.4 g/50 mL) was established based on the manufacturer’s recommendations for the use of the product. According to them, it is recommended to drink an infusion prepared by pouring two teaspoons of knotweed (2 × 1.64 g) with two cups of water (200 mL).
2.2.2. Ultrasound-Assisted Solvent Extraction
The UASE process was carried out under controlled conditions using a thermostatically controlled Elmasonic P ultrasonic bath (Elma, Singen, Germany):
- extraction solvent: water, methanol, and/or methanol–water mixture (50/50, v/v);
- temperature: 25 °C;
- the ultrasound frequency: 37 kHz;
- the generator power: 100% of the maximum power (720 W);
- the extraction time: 10 min;
- the ratio of plant material to the volume of the extraction mixture: 0.4 g/50 mL.
At the end, the extract was filtered through Whatman no.4 paper, diluted with an appropriate solvent and analyzed by HPLC.
2.2.3. Maceration
Portions of plant material (0.4 g) were poured with 50 mL of water, methanol, or methanol–water mixture (50/50, v/v). The whole thing was closed tightly and left for 24 h at room temperature. After this time, the obtained extract was filtered through Whatman no.4 paper, diluted, and subjected to HPLC.
2.2.4. Sea Sand Disruption Method
In the SSDM procedure, portions of ground dry knotweed rhizomes (200 mg) and sand (800 mg) were accurately weighed and mixed in a glass mortar [24]. After adding methanol (1 mL), used as a dispersion liquid, the entire mixture was ground for 10 min with a glass pestle until homogeneous pulp was obtained. The sides of the mortar and pestle were occasionally scraped with a spatula to ensure the best possible homogenization. After homogenization, the mixture was transferred with a spatula to a syringe barrel containing filter paper at the bottom. Another filter paper disc was placed on top of the mixture and tightly compressed with the syringe plunger. The mortar, pestle, and spatula were rinsed with elution solvent (water, methanol, or methanol–water solution), and the rinsed solution was transferred to the syringe barrel. Aliquots of the same solvent were then added to the barrel, and the sample was allowed to elute dropwise using a slight vacuum. Each sample was eluted into a 25 mL volumetric flask to give a plant weight to extractant volume ratio of 0.2 g to 25 mL (1:125). The obtained extracts were diluted and analyzed.
2.3. Chromatographic Analysis
Chromatographic measurements were performed using a Dionex DX600 liquid chromatograph (Dionex Corp., Sunnyvale, CA, USA) composed of a chromatograph enclosure (LC20) with a PEEK automated injection valve equipped with a 25 µL sample loop; a gradient pump (GP50); an absorbance detector (AD25); and a photodiode array detector (PDA100). The whole chromatographic system was under the control of the PeakNet6 data acquisition system. All separations were performed at 25 °C using a Prodigy ODS-2 column (5 µm, 250 × 4.6 mm ID, Phenomenex, Torrance, CA, USA) and a pre-column from the same company. A mixture of acetonitrile (solvent B) and Milli-Q deionized water with acetic acid (5% v/v) (solvent A) was used as the mobile phase. In all chromatographic separations, a mobile phase flow of 1 mL/min was used. Analyses were performed using gradient elution. Chromatographic separations were started by eluting the substances for 15 min with a constant composition of the mobile phase of 85% A and 15% B (v/v); then, a linear increase in solvent B was used for 25 min to reach its final value of 40% (increase B = 2.5%/minutes). Detection was set at 306 nm. During the course of each run, the absorbance spectra from PDA100 (in the range 190–650 nm) were collected continuously. Qualitative analysis was performed by comparing the retention times and absorption spectra of the trans-resveratrol standard with the substances analyzed in the extracts. A calibration curve for the resveratrol standard solutions was made in the concentration range from 0.001 to 0.01 mg/mL. Its characteristics are as follows: calibration curve equation: y = 240.80x − 0.1374, standard error of the curve: Sy = 0.1532, standard deviation of the slope coefficient: Sa = 17.5922, standard deviation of the intercept: Sb = 0.0986, limit of quantification: LOQ = 0.001 mg/mL, and coefficient of determination: R2 = 0.9995. The LOQ was assumed to be 10 × Sy/slope. Each extract was HPLC-analyzed three times.
2.4. Determination of Antioxidant Properties
The study of antioxidant activity was carried out using selected and most frequently used colorimetric methods based on the use of the cation of the diammonium salt of 2,2′-azino-bis(3-ethylbenzothiazoline-6-sulfonic acid) and 2,2′-diphenyl-1-picrylhydrazyl, in the ABTS and DPPH methods, respectively, and also based on the antioxidant parameter reducing iron ions and the antioxidant capacity reducing copper ions, in the FRAP and CUPRAC methods, respectively. In order to standardize the results, they were expressed in Trolox equivalents. All results were expressed in mg of Trolox per 1 g of sample.
All measurements were performed on equally diluted extracts, and appropriate extraction solvents were used for dilution. In each case, the final extract concentration was 0.8 mg/mL (taking into account the initial weight of the herb used for this study and subsequent dilutions). The antioxidant properties were measured spectrophotometrically by a UV Probe-2550 spectrophotometer (Shimadzu, Kyoto, Japan).
2.4.1. ABTS Method
The method used to determine antioxidant properties, understood as the ability to neutralize radicals by the tested extracts, was a method using a colored cation radical 2,2′-azinobis(3-ethylbenzenethiazoline-6-sulfonate) (ABTS) [25]. The cation radical was formed during a 12 h oxidation reaction of ABTS by potassium persulfate (K2S2O8), which was carried out in the dark at room temperature. Before the actual measurement, the cation radical was diluted with methanol so that the final absorbance was about 0.7 AU. The color change of the measuring solutions was determined at a wavelength of 744 nm. For this purpose, 2900 μL of ABTS+● solution and 100 μL of extract (either methanolic, aqueous, or aqueous/methanolic (50/50, v/v)) or resveratrol solution prepared in methanol–water mixture (50/50, v/v) were used each time. The percentage of inhibition (%I) was calculated after 60 min of reaction from the equation
where A60 and A0 are the absorbance values of ABTS+● at times 0 and 60, respectively.
2.4.2. DPPH Method
The ability to neutralize the DPPH color radical was determined in systems containing 2900 µL of a methanolic radical solution (A0 = 0.7 ± 0.05) and 100 µL of the tested extract [26]. Absorbance changes were monitored at 516 nm during the 60 min reaction. To zero the spectrophotometer, 2900 µL of methanol and 100 µL of the appropriate extraction solvent (methanol, water, or their mixture 50/50 v/v) were used. Then, the inhibition percentage was calculated based on Equation no. 1, where A60 and A0 are the absorbance values of DPPH• at 0 min and 60 min, respectively.
2.4.3. FRAP Method
FRAP determination was performed using the Benzie and Strain method [27]. For this purpose, the FRAP reagent was prepared by mixing the following solutions in a 1:1:10 ratio:
- FeCl3·6H2O (final concentration of Fe(III) in the aqueous solution was 20 mM);
- TPTZ in 40 mM HCl (final concentration of TPTZ was 10 mM);
- 0.3 M CH3COOH/CH3COONa buffer at pH = 3.6.
To assess the antioxidant properties, the obtained FRAP reagent was mixed in a volume of 2900 µL with 100 µL of a given extract. Absorbance was measured after one hour at a wavelength of 593 nm. 2900 µL of the FRAP reagent and the appropriate extraction solvent were used to zero the spectrophotometer. Antioxidant properties were expressed as absorbance values of the colored complex formed in the Fe(III) reduction reaction under the influence of the antioxidant.
2.4.4. CUPRAC Method
In this method, antioxidant properties are determined by measuring the absorbance of the colored copper–neocuproine complex, in which copper occurs in the +1 oxidation state [28]. The initial complex is prepared by mixing 740 µL of CuCl2 (final concentration of Cu(II) in the solution is 10 mM), 740 µL of neocuproine in ethanol with a final concentration of 7.5 mM), and 740 µL of 1.0 M buffer solution CH3COOH/CH3COONH4 at pH = 7.0. Then, the extract (100 µL) is added, and the whole is made up to 3 mL with water. After an hour’s reaction, in which copper is reduced under the influence of the antioxidant and the solution changes colour, the absorbance is measured at a wavelength of 450 nm. A mixture containing all the reagents and 100 µL of extraction solvent was used to zero the spectrophotometer.
2.5. Determination of Polyphenolic Compounds
The total concentration of polyphenol compounds was determined using the Folin–Ciocalteu method with some modifications [29]. For this purpose, a portion of the extract sample (100 μL) was mixed with 1580 μL of water and 100 μL of Folin–Ciocalteu reagent. After 5 min, 300 μL of 20% w/v aqueous sodium carbonate solution was added to the mixture. Absorbance was measured at 765 nm after two hours of incubation. Results were expressed as mg of gallic acid (GAE) per gram of dry plant material. For this purpose, a calibration curve was prepared for gallic acid in the concentration range of 5–1000 mg/L. For each extract, measurements were performed three times.
2.6. Statistical Analysis
Each extraction procedure for a given extraction solvent was repeated three times. In the case of determining the antioxidant activity, each measurement was repeated five times. All values were presented as mean values ± standard deviation (SD). One-way analysis of variance (ANOVA) and Fisher’s coefficient (F) were used to assess the effect of experimental factors. A significant effect of a given parameter was considered when the calculated F value (Fcal) exceeded the tabulated F value (Ftab), Fcal > Ftab. The p value was also used to determine the significance of each Fisher coefficient. Excel (Microsoft Excel 2010) was used for statistical analysis.
The statistical analysis was performed on the influence of different extraction procedures (for the same solvent) and different solvents (within a given extraction procedure) on the resveratrol and phenolics content and the observed antioxidant activity of the obtained extracts. Full statistical analysis, showing the significance of all data, is summarized in Tables S1–S6 in Supplementary Materials.
3. Results and Discussion
3.1. The Influence of Extraction Method and the Type of Solvent on the Efficiency of Trans-Resveratrol Extraction from Polygonum Cuspidatum
Figure 2 shows a comparison of the trans-resveratrol content in Polygonum cuspidatum extracts prepared using different extraction methods and different solvents. The results of the statistical analysis are summarized in Table S1 presented in Supplementary Materials, parts a and b, respectively. This research used both traditional extraction methods, such as maceration, and methods using various supporting factors, such as pressure or ultrasounds, facilitating the isolation of active ingredients from solid plant matrices [30,31]. Additionally, the experiments used an extremely simple and effective approach to the isolation of compounds from plants, namely the sea sand disruption method (SSDM), which is an alternative to the matrix solid-phase dispersion (MSPD) procedure. The application of sand as a dispersive abrasive material instead of a sorbent is intended to reduce costs and make the method even more environmentally friendly [32].
Figure 2.
Comparison of the trans-resveratrol content in Polygonum cuspidatum extracts obtained at room temperature under pressurized liquid extraction (PLE), maceration, ultrasound-assisted solvent extraction (UASE), and sea sand disruption method (SSDM) conditions using different extractants: methanol (blue bars), methanol–water mixture (orange bars), and water (green bars). Different letters indicate a significant difference between the values (One-way ANOVA, p < 0.05, n = 3).
In each technique, the extracts were obtained at room temperature using three extraction solvents: methanol (in place of expensive ethanol), a mixture of methanol and water (50/50, v/v), and pure water. The use of water as an extraction solvent seems to be particularly important here due to the fact that water is the solvent recommended by herbalists for preparing beverages from Polygonum cuspidatum. It should be added that in the case of both assisted extraction techniques, i.e., PLE and UASE, as well as the SSDM procedure, in which vigorous grinding and the resulting large contact surface between the phases of the extraction system are factors that increase the mass transfer of the analyte per unit of time, the same short isolation time was used, i.e., 10 min. In the case of maceration, due to the lack of any parameters that could positively affect the kinetics of the extraction process, with a given type of extracting solvent, the duration of the process was extended to one day. Practical considerations also spoke in favor of extending the maceration time. The results obtained in this series of studies are discussed below separately regarding the influence of the extraction solvent and method on the extraction efficiency of trans-resveratrol from Polygonum cuspidatum.
3.1.1. Influence of Extraction Solvent Type
As can be seen from the presented data, the resveratrol content in the extracts obtained from the same matrix varies depending on the extraction method and solvent used, although it should be emphasized that the same temperature conditions were applied in each method. In light of them, regardless of the extraction method used, the solvent differentiates the content of resveratrol in a statistically significant way. The obtained F values range from 13.26 to 1397.65 (see Table S1a). The best extraction solvent is undoubtedly the methanol–water mixture, and the weakest is water. The fact that the use of water as an extraction solvent is associated with a low content of trans-resveratrol in the tested extracts is not surprising because this compound exhibits negligible solubility in water, but dissolves quite well in alcohols [33].
According to [34], the high solubility of trans-resveratrol in alcohols is possible due to the stronger intermolecular interactions between resveratrol and the alcohol solvent, which overcome the interactions between molecules of the same type, i.e., resveratrol–resveratrol and solvent–solvent. In water–alcohol mixtures rich in water, trans-resveratrol is preferentially solvated by water [35]. However, when the mole fraction of alcohol in the mixture increases, the solubility of trans-resveratrol increases. According to the literature data [36], this effect is related to the disintegration of the ordered structure of water molecules around the nonpolar fragments of the trans-resveratrol molecule and the increase in its degree of solvation by alcohol molecules that are more hydrophobic than water. Considering the extraction efficiency of this analyte observed in the experiments presented here (see Figure 2), it seems that this effect is responsible for the higher yield of resveratrol in the water–alcohol mixture, regardless of the extraction technique.
3.1.2. Effect of Extraction Method
As mentioned above, the experiments whose results are compared in Figure 2 used different extraction methods. The best of them were obtained after one-day maceration. In the case of PLE, the resveratrol content revealed in the methanol–water extract after 10 min extraction at 25 °C is slightly lower to its content obtained in the methanol and methanol–water extracts prepared by the above-mentioned maceration. Similarly, the resveratrol amount in extracts obtained by the UASE and SSDM procedures is lower. The first one belongs to the so-called assisted extraction techniques in which, in order to increase the extraction efficiency per unit of time, the effects related to the cavitation phenomenon are used, specifically the effects accompanying the disappearance of the cavitation bubble [37]. In this technique, the release of phytochemicals occurs as a result of the increase in pressure in the cell leading to the rupture of cell walls and the release of compounds into the volume of the extraction solvent. Taking into account the statistical analysis of the effect of different extraction techniques for a given extractant on the resveratrol content in the extracts (see Table S1b), it should be stated that statistically insignificant results were obtained:
The use of UASE for the isolation of resveratrol from Polygonum cuspidatum is discussed in [38]. The authors of the cited paper obtained extracts with a relatively high content of resveratrol, which may be the effect of different extraction conditions compared to ours. In these experiments, apart from the use of ethanol as the extraction solvent, the extraction was carried out at a higher temperature (45 °C) and for a longer period of time (t = 30 min). However, in our case, owing to the comparison of different extraction techniques at ambient temperature, it was revealed that the ecological maceration process that does not require any energy input gives better results than UASE and PLE. Nevertheless, the fact that SSDM, considered a very effective technique for isolating compounds from plants, revealed small amounts of resveratrol aroused surprise. It should be remembered, however, that resveratrol, like other polyphenolic compounds, can occur not only in the aglycone form as free resveratrol but also as a glycoside. It is probable that higher resveratrol extraction yields are the effect of degradation of other compounds, including the mentioned glycosides, to free resveratrol.
As is known, the degree of degradation increases with the increase of extraction temperature and its duration [22,24]. Therefore, it is possible that higher UASE yields shown in the previously cited paper are the effect of transformation of more complex forms of resveratrol to the aglycone itself. It seems that the validity of this hypothesis is indirectly supported by the results obtained through the SSDM procedure referred to as non-destructive isolation method. However, at the current stage of research, these assumptions are difficult to prove explicitly. During the extraction of compounds from natural matrices, two opposing processes occur simultaneously: extraction and degradation/transformation of the released substances to other compounds [32]. The contribution of these processes to the resultant isolation yield is different and depends on the techniques and conditions used.
3.2. Comparison of Antioxidant Properties of Extracts Assessed by Different Methods with the Activity of Resveratrol Itself
3.2.1. Activity Assessed by the ABTS Method
The antioxidant activity of a substance can manifest itself in various ways, including by preventing the formation of reactive species, by neutralizing (scavenging) free radicals, by creating chelate complexes with pro-oxidant metals, or by removing/repairing damage caused by reactive species [39]. Among them, one of the most frequently determined is the ability to scavenge radicals. This property can be tested using various methods, but the ABTS method is most frequently used to assess the antioxidant capacity of food [36]. With this in mind, in this series of experiments, this research began with the assessment of the antiradical properties of extracts using the ABTS method.
In order to link the studied properties not only with the content of the characteristic compound of this plant, i.e., resveratrol (see data in Figure 2), but also with the content of other and typical natural antioxidants, i.e., polyphenolic compounds, the total content of phenolic compounds was determined using the Folin–Ciocalteu method. The studies were carried out on extracts obtained at room temperature using different extraction procedures and extraction solvents after an isolation time of 10 min for PLE, UASE, and SSDM and 24 h maceration. The results of the activity assessment are presented in Figure 3. The determined amounts of substances are summarized in Table 1. In turn, the results of the statistical analysis are summarized in Tables S2 and S3 in Supplementary Materials.
Figure 3.
Antiradical activity determined by the ABTS method and expressed as percentage inhibition (A) and in Trolox terms (B) for Polygonum cuspidatum extracts (concentration 0.8 mg/mL) obtained by extraction in the pressurized liquid extraction (PLE), maceration, ultrasound-assisted extraction (UASE), and sea sand disruption method (SSDM) using different extractants: methanol (blue bars), methanol–water mixture (orange bars), and water (green bars). Different letters indicate a significant difference between the values (One-way ANOVA, p < 0.05, n = 5).
Table 1.
The total phenolics content (in mg of gallic acid per 1 g plant) in the examined extracts assessed using the Folin–Ciocalteu method. Different letters indicate a significant difference between the values (One-way ANOVA, p < 0.05, n = 3).
Analysis of the data shown in Figure 3 allows us to conclude that the extracts in the ABTS tests exhibit different antiradical properties. These properties depend on the procedure used to obtain extracts as well as the type of extraction solvent. The influence of both factors is confirmed by statistical analysis (see Table S2) revealing statistical significance for the vast majority of them. The F value falls within the range from 17.41 to 790.51 at Ftab = 7.708. Statistically insignificant results were obtained only using UASE and SSDM techniques for methanol as an extractant (Fcal = 5.02 and p = 0.088), which is marked with the letter a in Figure 3 and Table S2b, and UASE in the case of using methanol and a methanol–water mixture as an extractant (Fcal = 3.15 and p = 0.15), which is marked with the letter A in Figure 3 and Table S2a.
The influence of the solvent on the antioxidant activity of plant extracts is known from the literature [39]. In the papers on determining the antioxidant properties of Polygonum cuspidatum, it was shown that its extracts obtained using ethanol and ethyl acetate have high antioxidant properties [40,41,42]. The results presented in this paper extend the knowledge on the influence of the extractant type on the antiradical activity of knotweed extracts, especially in methanol–water systems. The influence of pure methanol is known from the literature [43]. Nevertheless, referring to the cited literature, in our study, great emphasis was placed on the comparison of data obtained using different extraction methods and types of solvents. It was shown that the antioxidant properties of the tested extracts are different. Changing the extractant type changes the extraction selectivity and probably modifies biological activity. The greatest antioxidant properties are obtained using the mixture of methanol and water. Changing the extraction method changes the extraction efficiency and also modifies the extracts activity. However, the economical maceration procedure, considered by pharmacognosists as a simple and convenient technique of effective extraction from plants, allows obtaining extracts with the greatest antioxidant properties. These facts are confirmed by the results included in Table 1, which presents the content of polyphenolic compounds determined in each of the tested extracts (see Table S3). Thus, the higher activity of the extracts is associated not only with a higher content of resveratrol (see Figure 2) but also with a change in the content of polyphenolic compounds (see Table 1). The question arises whether resveratrol, as the most characteristic component of knotweed extracts, determines their antioxidant properties. To answer this question, another series of experiments was conducted. Their results are presented in Figure 4.
Figure 4.
Antioxidant activity of ABTS radical cation expressed as % inhibition (A) and in terms of Trolox (B) in a function of the concentration of the resveratrol standard in the solution.
Figure 4 shows the relationship between the %inhibitions of the ABTS cation radical as a function of resveratrol concentration. In the figure, the antioxidant properties of resveratrol standard solutions comparable to the activities of extracts are marked with a red frame. Based on the curve equation, IC50, IC30, and IC10 were calculated, which correspond to the concentrations of this compound needed to neutralize 50%, 30%, and 10% of the ABTS cation radical, respectively.
The presented data undoubtedly confirm that resveratrol has the ability to neutralize the ABTS cation radical. Yet, the calculated inhibition concentration values clearly indicate that not only resveratrol is responsible for the antioxidant properties of extracts obtained from Polygonum cuspidatum root. The concentrations of resveratrol in the extracts, taking into account the successive dilutions, are lower than the calculated inhibition concentration values (the above-mentioned IC50, IC30, and IC10) and are in the range from 0.2392 µg/mL to 0.872 µg/mL. For clarification, the methanol–water extract obtained by the PLE method (see Figure 3) shows an inhibition level of 46%. Therefore, if resveratrol was mainly responsible for the properties of the extracts, its concentration in the extract should be comparable to the calculated IC50 value (0.0172 mg/mL).
3.2.2. Activity Assessed by the DPPH, FRAP, and CUPRAC Methods
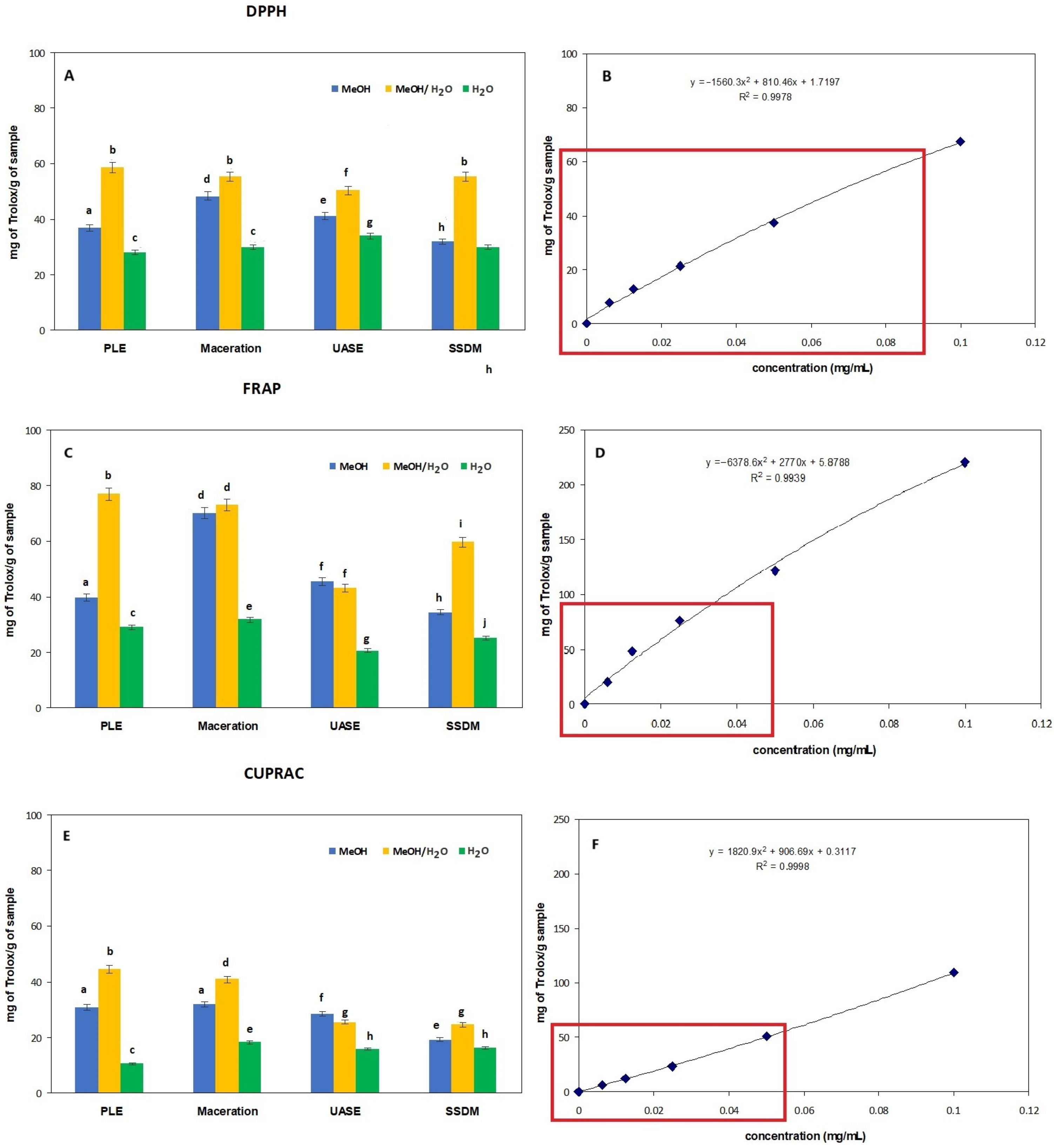
The results obtained using one method may be insufficient to reliably assess the antioxidant properties of the tested extracts and relate them to the resveratrol content. Therefore, other measurement methods were used in this study. In this series of experiments, the DPPH, FRAP, and CUPRAC methods were used, and the results obtained using them are presented in Figure 5A,C,E, respectively. The results of statistical analysis are summarized in Tables S4–S6 in Supplementary Materials, respectively. Data presented in Figure 5B,D,F relate the activity to the concentration of resveratrol standard solutions, which was determined using these methods. In these figures, as before, the antioxidant properties of resveratrol standard solutions comparable to the activities of extracts are marked with a red frame.
Figure 5.
Comparison of the antioxidant properties by DPPH method (A), FRAP (C), and CUPRAC method (E) of Polygonum cuspidatum extracts (concentration 0.8 mg/mL) obtained by extraction in the pressurized liquid extraction (PLE), maceration, ultrasound-assisted extraction (UASE), and sea sand disruption method (SSDM) using different extractants: methanol (blue bars), methanol–water mixture (orange bars), and water (green bars) and the activity of the resveratrol standard solutions assessed by DPPH method (B), FRAP (D), and CUPRAC method (F). Different letters indicate a significant difference between the values (One-way ANOVA, p < 0.05, n = 5).
Analysis of the data collected in Figure 5 shows that the antioxidant activity of the same extracts assessed by different methods is different. Differences in antioxidant properties between the methods are the effect of measuring different types of antioxidant capacity and different environments of the tested reaction. In the ABTS and DPPH methods, the ability of the sample to neutralize color radicals (ABTS cation radical and DPPH radical, respectively) is measured, while the differences in antioxidant properties between the DPPH and ABTS methods result from differences in the availability of unpaired electrons in the radicals. The lower values obtained in the DPPH method result from the lower availability of the unpaired electron on the DPPH radical due to the spherical obstacle. However, the values obtained by the FRAP method are higher than those obtained by the CUPRAC method. Most likely, despite the fact that both methods determine the ability to reduce metal ions, Fe3+ and Cu2+, respectively, they are not the same. They differ in the reaction environment (the FRAP method pH = 3.6 and the CUPRAC method pH = 7), which influences the ionization potential and the ability to transfer an electron [44].
Comparison of the antioxidant properties of extracts with the activities obtained from the solutions of the resveratrol standard alone shows that comparable values of antioxidant activity are observed for resveratrol concentrations higher than those characteristic for extracts (see Figure 2) This proves that not only resveratrol but also their other components are responsible for the antioxidant properties of Polygonum cuspidatum extracts.
4. Conclusions
The results presented and discussed in this study confirmed that Japanese knotweed root (Polygonum cuspidatum) is a rich source of resveratrol. The performed experiments showed that the extraction efficiency of this compound is influenced by the extraction method used and the extraction solvent type. The best results were obtained for macerates using methanol–water extraction mixture. The performed experiments have shown that the examined extracts have antioxidant properties. Among the compared methods of assessing antioxidant activity, the CUPRAC technique turned out to be the least sensitive. It was proven that the antioxidant activity of extracts depends not only on the content of resveratrol itself, but also on other extract components.
Supplementary Materials
The following supporting information can be downloaded at: https://www.mdpi.com/article/10.3390/pr13010009/s1, Table S1: ANOVA results (for data presented in Figure 2) assessing the impact of different solvents, i.e., MeOH, MeOH/H2O or H2O for a given extraction method, i.e., PLE or UASE or maceration or SSDM (part a) and extraction methods for a given extractant (part b) on the resveratrol content in the extracts (Fcrit = 7.708), Table S2: ANOVA results (for data presented in Figure 3) assessing the impact of different solvents, i.e., MeOH, MeOH/H2O or H2O for a given extraction method, i.e., PLE or UASE or maceration or SSDM (part a) and extraction methods for a given extractant (part b) on the antioxidant activity of the extracts assessed by ABTS method (Fcrit = 7.708)., Table S3: ANOVA results (for data presented in Table 1) assessing the impact of different solvents, i.e., MeOH, MeOH/H2O or H2O for a given extraction method, i.e., PLE or UASE or maceration or SSDM (part a) and extraction methods for a given extractant (part b) on the phenolics content in the extracts (Fcrit = 7.708), Table S4: ANOVA results (for data presented in Figure 5A) assessing the impact of different solvents, i.e., MeOH, MeOH/H2O or H2O for a given extraction method, i.e., PLE or UASE or maceration or SSDM (part a) and extraction methods for a given extractant (part b) on the antioxidant activity of the extracts assessed by DPPH method (Fcrit = 7.708), Table S5: ANOVA results (for data presented in Figure 5C) assessing the impact of different solvents, i.e., MeOH, MeOH/H2O or H2O for a given extraction method, i.e., PLE or UASE or maceration or SSDM (part a) and extraction methods for a given extractant (part b) on the antioxidant activity of the extracts assessed by FRAP method (Fcrit = 7.708), Table S6: ANOVA results (for data presented in Figure 5E) assessing the impact of different solvents, i.e., MeOH, MeOH/H2O or H2O for a given extraction method, i.e., PLE or UASE or maceration or SSDM (part a) and extraction methods for a given extractant (part b) on the antioxidant activity of the extracts assessed by CUPRAC method (Fcrit = 7.708).
Author Contributions
Conceptualization and methodology, M.O.-T.; writing—original draft preparation, M.O.-T.; writing—review and editing, D.W.; supervision, D.W. All authors have read and agreed to the published version of the manuscript.
Funding
This research received no external funding.
Institutional Review Board Statement
Not applicable.
Data Availability Statement
Data are contained within the article.
Acknowledgments
The authors would like to thank the Institute of Chemical Sciences of the Maria Curie-Skłodowska University in Lublin for creating the research infrastructure, without which this research would not be possible.
Conflicts of Interest
The authors declare no conflicts of interest.
References
- Yuan, H.; Ma, Q.; Ye, L.; Piao, G. The Traditional Medicine and Modern Medicine from Natural Products. Molecules 2016, 21, 559. [Google Scholar] [CrossRef] [PubMed]
- Ventegodt, S.; Andersen, N.J.; Merrick, J. Holistic Medicine: Scientific Challenges. Sci. World J. 2003, 3, 1108–1111. [Google Scholar] [CrossRef] [PubMed]
- Jasubhai, S. A Holistic Approach to Mental and Physical Well-Being. Forte J. Neurosci. Psychol. 2019, 1, 21–23. [Google Scholar] [CrossRef]
- Wang, Y. The scientific nature of traditional Chinese medicine in the post-modern era. J. Tradit. Chin. Med. Sci. 2019, 6, 195–200. [Google Scholar] [CrossRef]
- Su, X.; Yao, Z.; Li, S.; Sun, H. Synergism of Chinese Herbal Medicine: Illustrated by Danshen Compound. Evid.-Based Complement. Altern. Med. 2016, 2016, 7279361. [Google Scholar] [CrossRef]
- Wang, Y.; Yang, H.; Chen, L.; Jafari, M.; Tang, J. Network-based modeling of herb combinations in traditional Chinese medicine. Brief. Bioinform. 2021, 22, bbab106. [Google Scholar] [CrossRef]
- Peng, W.; Qin, R.; Li, X.; Zhou, H. Botany, phytochemistry, pharmacology, and potential application of Polygonum cuspidatum Sieb.et Zucc.: A review. J. Ethnopharmacol. 2013, 148, 729–745. [Google Scholar] [CrossRef]
- Yang, W.; Li, F.; Xing, X.; Wang, Z.; Yu, X. Study in Pesticide Activities of Polygonum cuspidatum Extracts and its Active Ingredient Resveratrol. Nat. Prod. Commun. 2019, 14, 1934578X19861022. [Google Scholar] [CrossRef]
- Guo, C.; Bai, M.; Miao, M.; Miao, Y. Analysis of the Chemical, Pharmacological and Clinical Applications of Polygonum cuspidatum. IOP Conf. Ser. Mater. Sci. Eng. 2018, 301, 012062. [Google Scholar] [CrossRef]
- Ke, J.; Lia, M.-T.; Xu, S.; Mac, J.; Liu, M.-Y.; Han, Y. Advances for pharmacological activities of Polygonum cuspidatum—A review. Pharm. Biol. 2023, 61, 177–188. [Google Scholar] [CrossRef]
- Kim, Y.-S.; Han, J.-H.; Lim, C.-H.; Fang, X.-Q.; Jang, H.-S.; Lee, S.-Y.; Yim, W.-J.; Lim, J.-H. Effects of Fermented Polygonum cuspidatum on the Skeletal Muscle Functions. Nutrients 2024, 16, 305. [Google Scholar] [CrossRef] [PubMed]
- Quinty, V.; Colas, C.; Nasreddine, R.; Nehmé, R.; Piot, C.; Draye, M.; Destandau, E.; Da Silva, D.; Chate, G. Screening and Evaluation of Dermo-Cosmetic Activities of the Invasive Plant Species Polygonum cuspidatum. Plants 2023, 12, 83. [Google Scholar] [CrossRef] [PubMed]
- Available online: https://en.wikipedia.org/wiki/Reynoutria_japonica. (accessed on 14 November 2024).
- Wang, D.-G.; Liu, W.-Y.; Chen, G.-C. A simple method for the isolation and purification of resveratrol from Polygonum cuspidatum. J. Pharm. Anal. 2013, 3, 241–247. [Google Scholar] [CrossRef] [PubMed]
- Gambini, J.; Inglés, M.; Olaso, G.; Lopez-Grueso, R.; Bonet-Costa, V.; Gimeno-Mallench, L.; Mas-Bargues, C.; Abdelaziz, K.M.; Gomez-Cabrera, M.C.; Vina, J.; et al. Properties of Resveratrol: In Vitro and In Vivo Studies about Metabolism, Bioavailability, and Biological Effects in Animal Models and Humans. Oxid. Med. Cell. Longev. 2015, 2015, 837042. [Google Scholar] [CrossRef]
- Kursvietiene, L.; Kopustinskiene, M.D.; Staneviciene, I.; Mongirdiene, A.; Kubová, K.; Masteikova, R.; Bernatoniene, J. Anti-Cancer Properties of Resveratrol: A Focus on Its Impact on Mitochondrial Functions. Antioxidant 2023, 12, 2056. [Google Scholar] [CrossRef]
- Arbo, B.D.; André-Miral, C.; Nasre-Nasser, R.G.; Schimith, L.E.; Santos, M.G.; Costa-Silva, D.; Muccillo-Baisch, A.L.; Hort, M.A. Resveratrol Derivatives as Potential Treatments for Alzheimer’s and Parkinson’s Disease. Front. Aging Neurosci. 2020, 12, 103. [Google Scholar] [CrossRef]
- Rossi, D.; Guerrini, A.; Bruni, R.; Brognara, E.; Borgatti, M.; Gambari, R.; Maietti, S.; Sacchetti, G. Trans-resveratrol in nutraceuticals: Issues in retail quality and effectiveness. Molecules 2012, 17, 12393–12405. [Google Scholar] [CrossRef]
- Olas, B.; Wachowicz, B. Resveratrol and vitamin C as antioxidants in blood platelets. Thromb. Res. 2002, 106, 143–148. [Google Scholar] [CrossRef]
- Kenchappa, V.; Wahl, M.; Heinle, H. Liposomes as carriers of resveratrol and vitamin E: Evaluating ameliorative antioxidant effect using chemical and cellular test systems. Int. J. Vitam. Nutr. Res. 2022, 92, 342–348. [Google Scholar] [CrossRef]
- Agustin-Salazar, S.; Gamez-Meza, N.; Medina-Juàrez, L.À.; Soto-Valdez, H.; Cerruti, P. From nutraceutics to materials: Effect of resveratrol on the stability of polylactide. ACS Sustain. Chem. Eng. 2014, 2, 1534–1542. [Google Scholar] [CrossRef]
- Wianowska, D.; Typek, R.; Dawidowicz, A.L. Chlorogenic acid stability in pressurized liquid extraction conditions. J. AOAC Int. 2015, 98, 415–421. [Google Scholar] [CrossRef] [PubMed]
- Wianowska, D.; Olszowy-Tomczyk, M.; Garbaczewska, S. A Central Composite Design in increasing the quercetin content in the aqueous onion waste isolates with antifungal and antioxidant properties. Eur. Food Res. Technol. 2022, 248, 497. [Google Scholar] [CrossRef]
- Wianowska, D. Application of Sea Sand Disruption Method for HPLC Determination of Quercetin in Plants. J. Liq. Chromatogr. Relat. Technol. 2015, 38, 1037–1043. [Google Scholar] [CrossRef]
- Re, R.; Pellegrini, N.; Proteggente, A.; Pannala, A.; Yang, M.; Rice-Evans, C. Antioxidant activity applying an improved ABTS radical cation decolorization assay. Free Radic. Biol. Med. 1999, 26, 1231–1237. [Google Scholar] [CrossRef] [PubMed]
- Garcia, E.J.; Oldoni, T.; de Alencar, S.M.; Reis, A.; Loguercio, A.D.; Grande, R.H.M. Antioxidant activity by DPPH assay of potential solutions to be applied on bleached teeth. Braz. Dent. J. 2012, 23, 22–27. [Google Scholar] [CrossRef]
- Spiegel, M.; Kapusta, K.; Kołodziejczyk, W.; Saloni, J.; Zbikowska, B.; Hill, G.A.; Sroka, Z. Antioxidant activity of selected phenolic acids–Ferric Reducing Antioxidant Power Assay and QSAR analysis of the structural features. Molecules 2020, 25, 3088. [Google Scholar] [CrossRef]
- Özyürek, M.; Güçlü, K.; Tütem, E.; Başkan, K.S.; Erçağ, E.; Çelik, S.E.; Baki, S.; Yildis, L.; Karaman, S.; Apak, R. A comprehensive review of CUPRAC methodology. Anal. Methods 2011, 3, 2439–2453. [Google Scholar] [CrossRef]
- Choma, I.M.; Olszowy, M.; Studziński, M.; Gnat, S. Determination of chlorogenic acid, polyphenols and antioxidants in green coffee by thin-layer chromatography, effect-directed analysis and dot blot—Comparison to HPLC and spectrophotometry methods. J. Sep. Sci. 2019, 42, 1542–1549. [Google Scholar] [CrossRef]
- Barp, L.; Višnjevec, A.M.; Moret, S. Pressurized Liquid Extraction: A powerful tool to implement extraction and purification of food contaminants. Foods 2023, 12, 2017. [Google Scholar] [CrossRef]
- Zhang, J.; Zhou, L.; Zhang, P.; Liu, T.; Yang, G.; Lin, R.; Zhou, J. Extraction of polydatin and resveratrol from Polygonum cuspidatum root: Kinetics and modeling. Food Bioprod. Process. 2015, 94, 518–524. [Google Scholar] [CrossRef]
- Wianowska, D.; Olszowy-Tomczyk, M. Matrix Solid-Phase Disperion. In Microextraction Techniques, 1st ed.; Rodríguez-Delgado, M.A., Socas-Rodríguez, B., Herrera-Herrera, A.V., Eds.; Springer: Cham, Switzerland, 2024; pp. 161–191. [Google Scholar]
- Robinson, K.; Mock, C.; Liang, D. Pre-formulation studies of resveratrol. Drug Dev. Ind. Pharm. 2015, 41, 1464–1469. [Google Scholar] [CrossRef] [PubMed]
- Ghazwani, M.; Alam, P.; Alqarni, M.H.; Yusufoglu, H.S.; Shakeel, F. Solubilization of trans-resveratrol in some mono-solvents and various propylene glycol + water mixtures. Molecules 2021, 26, 3091. [Google Scholar] [CrossRef] [PubMed]
- Sun, X.; Shao, Y.; Yan, W. Measurement and correlation of solubilities of trans-resveratrol in ethanol +water and acetone + water mixed solvents at different temperatures. J. Chem. Eng. Data 2008, 53, 2562–2566. [Google Scholar] [CrossRef]
- Romdhani, A.; Osorio, I.P.; Martínez, F.; Jouyban, A.; Acree, W.E., Jr. Further calculations on the solubility of trans-resveratrol in (Transcutol® + water) mixtures. J. Mol. Liq. 2021, 330, 115645. [Google Scholar] [CrossRef]
- Martins Strieder, M.; Keven Silva, E.; Angela, A.; Meireles, M. Specific Energy: A New Approach to Ultrasound-Assisted Extraction of Natural Colorants. Food Public. Health 2019, 9, 45–52. [Google Scholar] [CrossRef]
- Fletes-Vargas, G.; Rodríguez-Rodríguez, R.; Pacheco, N.; Pérez-Larios, A.; Espinosa-Andrews, H. Evaluation of the Biological Properties of an Optimized Extract of Polygonum cuspidatum Using Ultrasonic-Assisted Extraction. Molecules 2023, 28, 4079. [Google Scholar] [CrossRef]
- Olszowy-Tomczyk, M.; Wianowska, D. Comparison of the Antioxidant Properties of Extracts Obtained from Walnut Husks as well as the Influence of Juglone on Their Evaluation. Appl. Sci. 2024, 14, 2972. [Google Scholar] [CrossRef]
- Lin, Y.W.; Yang, F.J.; Chen, C.L.; Lee, W.T.; Chen, R.S. Free radical scavenging activity and antiproliferative potential of Polygonum cuspidatum root extracts. J. Nat. Med. 2010, 64, 146–152. [Google Scholar] [CrossRef]
- Pan, Y.; Zhang, X.; Wang, H.; Liang, Y.; Zhu, J.; Li, H.; Zhang, Z.; Wu, Q. Antioxidant potential of ethanolic extract of Polygonum cuspidatum and application in peanut oil. Food Chem. 2007, 105, 1518–1524. [Google Scholar] [CrossRef]
- Choi, D.-H.; Han, J.-H.; Yu, K.-H.; Hong, M.; Lee, S.-Y.; Park, K.-H.; Lee, S.-Y.; Kwon, T.-H. Antioxidant and Anti-Obesity Activities of Polygonum cuspidatum Extract through Alleviation of Lipid Accumulation on 3T3-L1 Adipocytes. J. Microbiol. Biotechnol. 2020, 30, 21–30. [Google Scholar] [CrossRef]
- Lee, M.-H.; Lin, C.-C. Comparison of the Antioxidant and Transmembrane Permeative Activities of the Different Polygonum cuspidatum Extracts in Phospholipid-Based Microemulsions. J. Agric. Food Chem. 2011, 59, 9135–9914. [Google Scholar] [CrossRef]
- Christodoulou, M.C.; Orellana Palacios, J.C.; Hesami, G.; Jafarzadeh, S.; Lorenzo, J.M.; Domínguez, R.; Moreno, A.; Hadidi, M. Spectrophotometric methods for measurement of antioxidant activity in food and pharmaceuticals. Antioxidants 2022, 11, 2213. [Google Scholar] [CrossRef]
Disclaimer/Publisher’s Note: The statements, opinions and data contained in all publications are solely those of the individual author(s) and contributor(s) and not of MDPI and/or the editor(s). MDPI and/or the editor(s) disclaim responsibility for any injury to people or property resulting from any ideas, methods, instructions or products referred to in the content. |
© 2024 by the authors. Licensee MDPI, Basel, Switzerland. This article is an open access article distributed under the terms and conditions of the Creative Commons Attribution (CC BY) license (https://creativecommons.org/licenses/by/4.0/).




