Numerical Investigation of Heat Transfer Characteristics Between Thermochemical Heat Storage Materials and Compressed Natural Gas in a Moving Bed
Abstract
1. Introduction
2. Methodology
2.1. Physical Model
2.2. Numerical Methodology
2.3. Method Validation
2.4. Verification of Mesh-Independence
3. Results and Discussion
3.1. Heat Transfer Characteristics of Hydrated Magnesium Sulfate Moving Bed
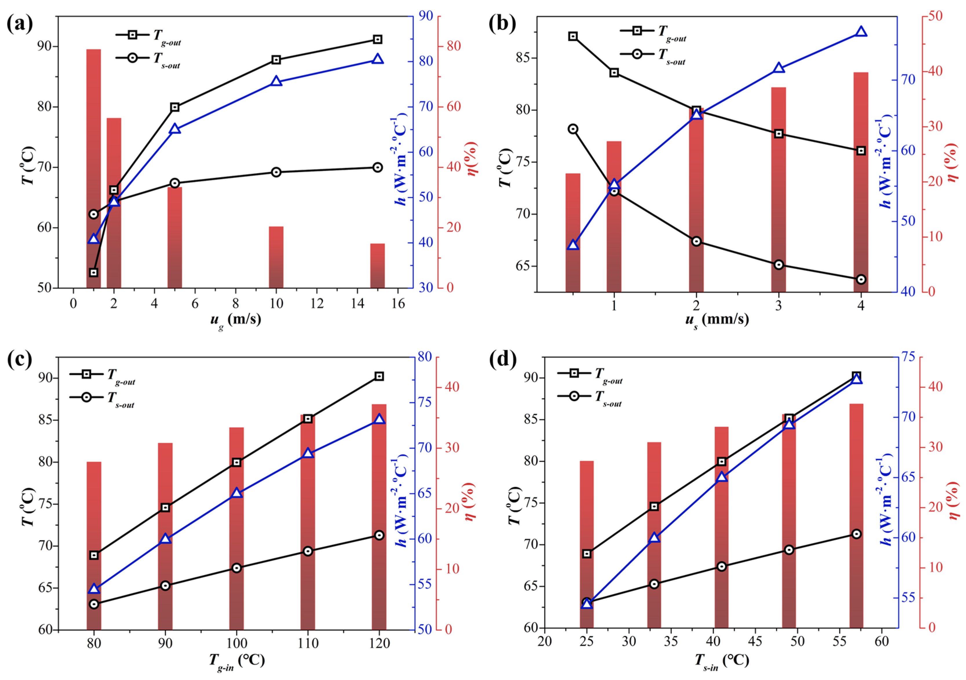
3.2. Influence of Operating Conditions on Heat Transfer Characteristics
3.3. Heat Transfer Characteristics of Composite Hydrated Salt Particles
4. Conclusions
- (1)
- The temperature of the natural gas decreased linearly along the height of the moving bed, while the temperature of the hydrated magnesium sulfate particles exhibited biphasic behavior, initially decreasing slowly and then rapidly once below 60 °C.
- (2)
- The natural gas and particle outlet temperatures changed synchronously, while the trends of the waste heat recovery ratio and natural gas outlet temperature were opposite to those of the aforementioned variables. The increase in all variables contributed to the improvement of the comprehensive heat transfer coefficient.
- (3)
- The cooling rate and waste heat recovery ratio can be significantly improved by using a composite material of hydrated calcium chloride and hydrated magnesium sulfate in the moving bed.
- (4)
- The device volume of the proposed moving bed heat exchange scheme is less than one-third that of the existing natural gas air-cooled heat exchanger.
Supplementary Materials
Author Contributions
Funding
Data Availability Statement
Conflicts of Interest
References
- Tang, H.; Yu, Y.; Sun, Q. Progress, Challenges, and Strategies for China’s Natural Gas Industry Under Carbon-Neutrality Goals. Processes 2024, 12, 1683. [Google Scholar] [CrossRef]
- Qin, F.; Tong, M.; Huang, Y.; Zhang, Y. Modeling, prediction and analysis of natural gas consumption in China using a novel dynamic nonlinear multivariable grey delay model. Energy 2024, 305, 132105. [Google Scholar] [CrossRef]
- Al-Shafi, M.; Massarweh, O.; Abushaikha, A.S.; Bicer, Y. A review on underground gas storage systems: Natural gas, hydrogen and carbon sequestration. Energy Rep. 2023, 9, 6251–6266. [Google Scholar] [CrossRef]
- Danilishin, A.M.; Kozhukhov, Y.V.; Neverov, V.V.; Malev, K.G.; Mironov, Y.R. The Task of Validation of Gas-Dynamic Characteristics of a Multistage Centrifugal Compressor for a Natural Gas Booster Compressor Station. In Proceedings of the Oil and Gas Engineering (OGE) Conference, Omsk, Russia, 24–28 April 2017. [Google Scholar]
- Chen, S.; Yu, Z.; Li, Y.; Wang, Z.; Si, M. Optimization of a Typical Gas Injection Pressurization Process in Underground Gas Storage. Sustainability 2024, 16, 8902. [Google Scholar] [CrossRef]
- Veerappa, M.P.K.; Venugopalachar, S. The possible influence of noise frequency components on the health of exposed industrial workers—A review. Noise Health 2011, 13, 16–25. [Google Scholar]
- Iglesias Garcia, S.; Ferreiro Garcia, R.; Carbia Carril, J.; Garcia, D.I. A review of thermodynamic cycles used in low temperature recovery systems over the last two years. Renew. Sustain. Energy Rev. 2018, 81, 760–767. [Google Scholar] [CrossRef]
- Imran, M.; Usman, M.; Park, B.-S.; Lee, D.-H. Volumetric expanders for low grade heat and waste heat recovery applications. Renew. Sustain. Energy Rev. 2016, 57, 1090–1109. [Google Scholar] [CrossRef]
- Huo, D.; Tian, H.; Shu, G.; Wang, W. Progress and prospects for low-grade heat recovery electrochemical technologies. Sustain. Energy Technol. Assess. 2022, 49, 101802. [Google Scholar] [CrossRef]
- Ghaib, K. Latent Heat Storage: Storage Materials, Heat Transfer, and Applications. Chem. Ing. Tech. 2017, 89, 1115–1125. [Google Scholar] [CrossRef]
- Guo, J.; Wang, J.; Liao, B.; Li, M.C.; Lv, X.; Wang, Q.; Li, Y.; Li, W.; Zhao, K.; Wu, N.; et al. Hydrate Decomposition Inhibitors by Phase Change Cooling Storage Based on an Electrostatic Spraying Method. Energy Fuels 2024, 38, 12978–12988. [Google Scholar] [CrossRef]
- Sarbu, I.; Sebarchievici, C. A Comprehensive Review of Thermal Energy Storage. Sustainability 2018, 10, 191. [Google Scholar] [CrossRef]
- Bennici, S.; Dutournie, P.; Cathalan, J.; Zbair, M.; Scuiller, E.; Vaulot, C.; Nguyen, M.H. Heat storage: Hydration investigation of MgSO4 active carbon composites, from material development to domestic applications scenarios. Renew. Sustain. Energy Rev. 2022, 158, 112197. [Google Scholar] [CrossRef]
- Nguyen, M.H.; Zbair, M.; Dutournie, P.; Bennici, S. Thermochemical sorption heat storage: Investigate the heat released from activated carbon beads used as porous host matrix for MgSO4 salt. J. Energy Storage 2023, 59, 106452. [Google Scholar] [CrossRef]
- Rehman, A.U.; Zhao, T.Y.; Shah, M.Z.; Khan, Y.; Hayat, A.; Dang, C.W.; Zheng, M.S.; Yun, S.N. Nanoengineering of MgSO4 nanohybrid on MXene substrate for efficient thermochemical heat storage material. Appl. Energy 2023, 332, 120549. [Google Scholar] [CrossRef]
- Liu, X.; Wang, H.M.; Liu, X.; Yang, F.M.; Guan, L.; Sani, S.; Sun, C.G.; Wu, Y.P. Development of MgSO4/mesoporous silica composites for thermochemical energy storage: The role of porous structure on water adsorption. Energy Rep. 2022, 8, 4913–4921. [Google Scholar] [CrossRef]
- Liu, H.; Nagano, K.; Sugiyama, D.; Togawa, J.; Nakamura, M. Honeycomb filters made from mesoporous composite material for an open sorption thermal energy storage system to store low-temperature industrial waste heat. Int. J. Heat Mass Transf. 2013, 65, 471–480. [Google Scholar] [CrossRef]
- Hongois, S.; Kuznik, F.; Stevens, P.; Roux, J.J. Development and characterisation of a new MgSO4-zeolite composite for long-term thermal energy storage. Sol. Energy Mater. Sol. Cells 2011, 95, 1831–1837. [Google Scholar] [CrossRef]
- Steiger, M.; Linnow, K.; Juling, H.; Guelker, G.; El Jarad, A.; Brueggerhoff, S.; Kirchner, D. Hydration of MgSO4·H2O and generation of stress in porous materials. Cryst. Growth Des. 2008, 8, 336–343. [Google Scholar] [CrossRef]
- Zhang, X.; Wang, F.; Zhang, Q.; Lei, X.; Wang, Y.; Zhang, Y.; Cheng, C.; Jin, T. Heat storage performance analysis of ZMS-Porous media/CaCl2/MgSO4 composite thermochemical heat storage materials. Sol. Energy Mater. Sol. Cells 2021, 230, 111246. [Google Scholar]
- Michel, B.; Mazet, N.; Mauran, S.; Stitou, D.; Xu, J. Thermochemical process for seasonal storage of solar energy: Characterization and modeling of a high density reactive bed. Energy 2012, 47, 553–563. [Google Scholar] [CrossRef]
- Rui, J.; Luo, Y.; Wang, M.; Peng, J.; She, X. Design and performance evaluation of an innovative salt hydrates-based reactor for thermochemical energy storage. J. Energy Storage 2022, 55, 105799. [Google Scholar] [CrossRef]
- Adnan, M.; Sun, J.; Ahmad, N.; Wei, J.J. Validation and sensitivity analysis of an Eulerian-Eulerian two-fluid model (TFM) for 3D simulations of a tapered fluidized bed. Powder Technol. 2022, 396, 490–518. [Google Scholar] [CrossRef]
- Huang, Z.; Wang, C.; Yang, Y.; Sun, J.; Wang, J.; Yang, Y.; Du, B. Modelling of gas-liquid-solid distribution in the cocurrent three-phase moving bed. Chem. Eng. J. 2023, 455, 140733. [Google Scholar] [CrossRef]
- Kandula, M. On the effective thermal conductivity of porous packed beds with uniform spherical particles. J. Porous Media 2011, 14, 919–926. [Google Scholar] [CrossRef]
- Liu, J.; Yu, Q.; Peng, J.; Hu, X.; Duan, W. Thermal energy recovery from high-temperature blast furnace slag particles. Int. Commun. Heat Mass Transf. 2015, 69, 23–28. [Google Scholar] [CrossRef]
- Liu, J.; Yu, Q.; Dou, C.; Li, R. Experimental Study on Heat Transfer Characteristics of Apparatus for Recovering the Waste Heat of Blast Furnace Slag. In Proceedings of the International Conference on Manufacturing Science and Engineering (ICMSE 2009), Zhuhai, China, 26–28 December 2010; pp. 2343–2346. [Google Scholar]
- Gangopadhyay, A.; Meckl, P.H. Extracting physical parameters from system identification of a natural gas engine. IEEE Trans. Control. Syst. Technol. 2001, 9, 425–434. [Google Scholar] [CrossRef]
- Zhang, X.; Yang, S.L.; Li, M.; Li, W.G.; Wang, Y.H. The High-Pressure Physical Property of Gas with CO2 in the Changshen Gas Reservoir. Pet. Sci. Technol. 2013, 31, 2110–2117. [Google Scholar] [CrossRef]
- Lopez-Benito, A.; Bolado-Lavin, R. A case study on global sensitivity analysis with dependent inputs: The natural gas transmission model. Reliab. Eng. Syst. Saf. 2017, 165, 11–21. [Google Scholar] [CrossRef]
- Fujioka, K.; Suzuki, H. Thermophysical properties and reaction rate of composite reactant of calcium chloride and expanded graphite. Appl. Therm. Eng. 2013, 50, 1627–1632. [Google Scholar] [CrossRef]
- N’Tsoukpoe, K.E.; Rammelberg, H.U.; Lele, A.F.; Korhammer, K.; Watts, B.A.; Schmidt, T.; Ruck, W.K.L. A review on the use of calcium chloride in applied thermal engineering. Appl. Therm. Eng. 2015, 75, 513–531. [Google Scholar] [CrossRef]








| Material | ρ kg/m3 | cp J/(kg·K) | ψ | K W/(m·K) |
|---|---|---|---|---|
| Slag | 2984 | 1210 | / | 0.55 |
| Air | 1.225 | 1006.43 | / | 0.0242 |
| Water | 998.2 | 4182 | / | 0.6 |
| Slag particle bed | 1603 | / | 0.46 | 0.1004 |
| Name | us | Ts-in | ug | Tg-in | Tg-out | Ts-out | Q |
|---|---|---|---|---|---|---|---|
| m/s | °C | m/s | °C | °C | °C | W | |
| Mesh-1 | 0.002 | 25 | 5 | 100 | 79.29 | 67.49 | 1483 |
| Mesh-2 | 0.002 | 25 | 5 | 100 | 79.96 | 67.39 | 1435 |
| Mesh-3 | 0.002 | 25 | 5 | 100 | 80.07 | 67.53 | 1428 |
| Pg Mpa | ρg kg/m3 | Cpg J/(kg·°C) | Kg W/(m·K) | μg Pa·s |
|---|---|---|---|---|
| 1 | 6.28 | 2388 | 0.036 | 0.000123 |
| 5 | 28.9 | 2597 | 0.0416 | 0.000139 |
| 10 | 68.95 | 2888 | 0.0477 | 0.000195 |
| 15 | 105.97 | 3131 | 0.0563 | 0.000216 |
| Case | 1 | 2 | 3 | 4 | 5 |
|---|---|---|---|---|---|
| us (mm/s) | 0.05 | 0.1 | 0.4 | 1 | 2 |
| ug (m/s) | 0.125 | 0.25 | 1 | 2.5 | 5 |
| Case | 1 | 2 | 3 | 4 | 5 |
|---|---|---|---|---|---|
| us (mm/s) | 0.05 | 0.1 | 0.4 | 1 | 2 |
| ug (m/s) | 0.263 | 0.525 | 2.1 | 5.25 | 10.5 |
Disclaimer/Publisher’s Note: The statements, opinions and data contained in all publications are solely those of the individual author(s) and contributor(s) and not of MDPI and/or the editor(s). MDPI and/or the editor(s) disclaim responsibility for any injury to people or property resulting from any ideas, methods, instructions or products referred to in the content. |
© 2024 by the authors. Licensee MDPI, Basel, Switzerland. This article is an open access article distributed under the terms and conditions of the Creative Commons Attribution (CC BY) license (https://creativecommons.org/licenses/by/4.0/).
Share and Cite
Wang, L.; Jia, Y.; Tan, Y.; Ding, B. Numerical Investigation of Heat Transfer Characteristics Between Thermochemical Heat Storage Materials and Compressed Natural Gas in a Moving Bed. Processes 2025, 13, 8. https://doi.org/10.3390/pr13010008
Wang L, Jia Y, Tan Y, Ding B. Numerical Investigation of Heat Transfer Characteristics Between Thermochemical Heat Storage Materials and Compressed Natural Gas in a Moving Bed. Processes. 2025; 13(1):8. https://doi.org/10.3390/pr13010008
Chicago/Turabian StyleWang, Liang, Yun Jia, Yu Tan, and Bin Ding. 2025. "Numerical Investigation of Heat Transfer Characteristics Between Thermochemical Heat Storage Materials and Compressed Natural Gas in a Moving Bed" Processes 13, no. 1: 8. https://doi.org/10.3390/pr13010008
APA StyleWang, L., Jia, Y., Tan, Y., & Ding, B. (2025). Numerical Investigation of Heat Transfer Characteristics Between Thermochemical Heat Storage Materials and Compressed Natural Gas in a Moving Bed. Processes, 13(1), 8. https://doi.org/10.3390/pr13010008

