Bandgap-Tunable Aluminum Gallium Oxide Deep-UV Photodetector Prepared by RF Sputter and Thermal Interdiffusion Alloying Method
Abstract
1. Introduction
2. Materials and Methods
3. Results
3.1. β-Ga2O3 Thin Film Sputtering
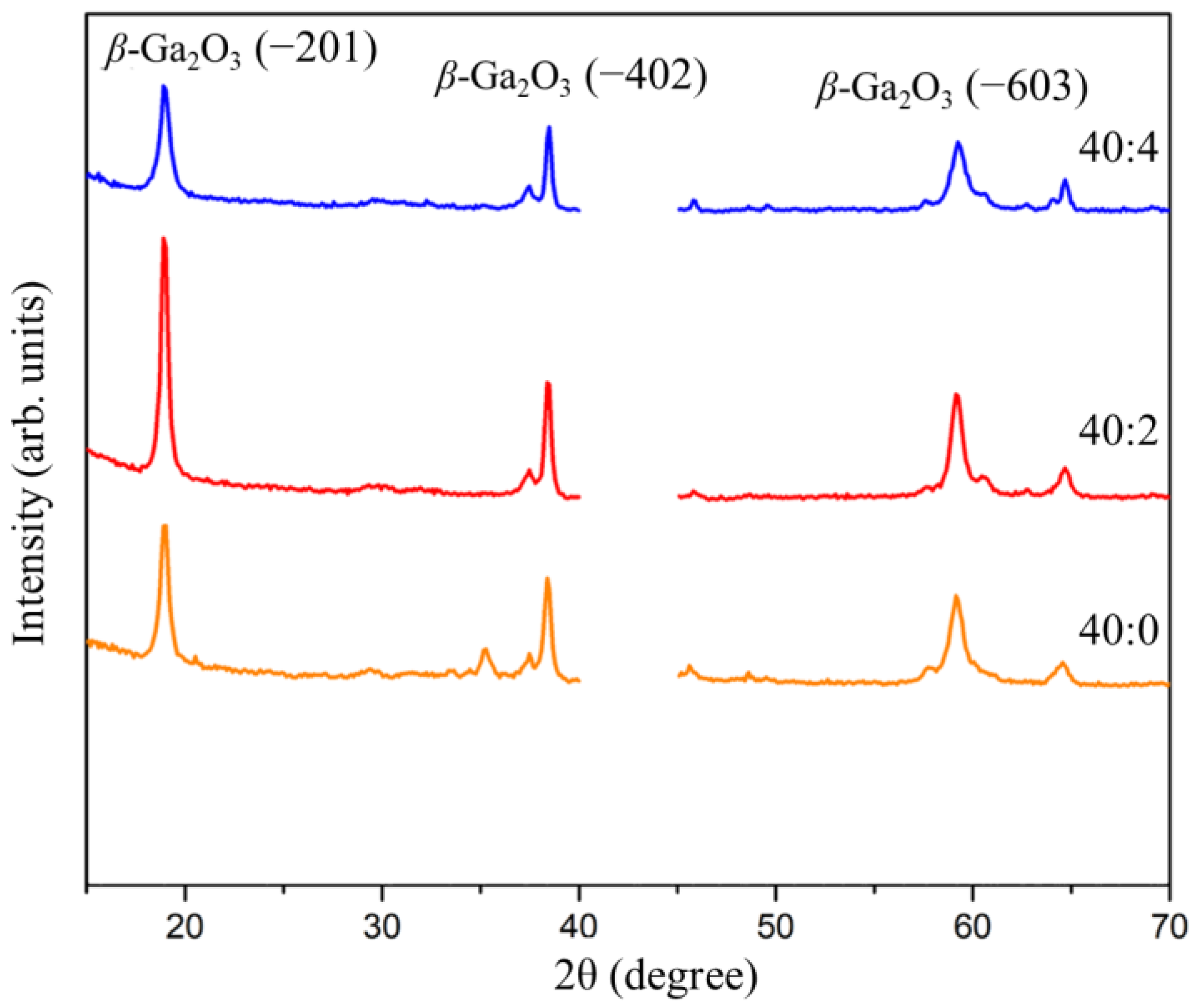
3.1.1. Argon-To-Oxygen Flow Ratio
3.1.2. RF Power
3.2. β-(AlGa)2O3 Thermal Interdiffusion Alloying
3.2.1. β-(AlGa)2O3 Thermal Annealing
3.2.2. β-(AlGa)2O3 Thickness Increasing
3.2.3. β-(AlGa)2O3 Bandgap Modification
3.3. β-(AlGa)2O3 Deep-UV Photodetector
3.3.1. β-(AlGa)2O3 Deep-UV Photodetector Characteristics
3.3.2. β-(AlGa)2O3 Deep-UV Photodetector Response Times
4. Conclusions
Author Contributions
Funding
Data Availability Statement
Acknowledgments
Conflicts of Interest
References
- Pearton, S.; Ren, F.; Mastro, M. Gallium Oxide; Elsevier: Amsterdam, The Netherlands, 2019; ISBN 9780128145210. [Google Scholar]
- Xue, H.; He, Q.; Jian, G.; Long, S.; Pang, T.; Liu, M. An overview of the ultrawide bandgap Ga2O3 semiconductor-based Schottky barrier diode for power electronics application. Nanoscale Res. Lett. 2018, 13, 290. [Google Scholar] [CrossRef] [PubMed]
- Roy, R.; Hill, V.; Osborn, E. Polymorphism of Ga2O3 and the system Ga2O3–H2O. J. Am. Chem. Soc. 1952, 74, 719–722. [Google Scholar] [CrossRef]
- Kumar, S.S.; Rubio, E.J.; Noor-A-Alam, M.; Martinez, G.; Manandhar, S.; Shutthanandan, V.; Thevuthasan, S.; Ramana, C.V. Structure, morphology, and optical properties of amorphous and nanocrystalline gallium oxide thin films. J. Phys. Chem. C 2013, 117, 4194–4200. [Google Scholar] [CrossRef]
- Liao, C.-H.; Li, K.-H.; Torres-Castanedo, C.G.; Zhang, G.; Li, X. Wide range tunable bandgap and composition β-phase β-(AlGa)2O3 thin film by thermal annealing. Appl. Phys. Lett. 2021, 118, 032103. [Google Scholar] [CrossRef]
- Lee, H.-Y.; Liu, J.-T.; Lee, C.-T. Modulated Al2O3-Alloyed Ga2O3 Materials and Deep Ultraviolet Photodetectors. IEEE Photonics Technol. Lett. 2018, 30, 549–552. [Google Scholar] [CrossRef]
- Jiao, S.; Lu, H.; Wang, X.; Nie, Y.; Wang, D.; Gao, S.; Wang, J. The structural and photoelectrical properties of gallium oxide thin film grown by radio frequency magne-tron sputtering. ECS J. Solid State Sci. Technol. 2019, 8, Q3086. [Google Scholar] [CrossRef]
- Kaur, D.; Debata, S.; Singh, D.P.; Kumar, M. Strain effects on the optoelectronic performance of ultra-wide bandgap polycrystalline β-Ga2O3 thin film grown on differently-oriented Silicon substrates for solar blind photodetector. Mater. Sci. Eng. B 2023, 616, 156446. [Google Scholar]
- Aldalbahi, A.; Li, E.; Rivera, M.; Velazquez, R.; Altalhi, T.; Peng, X.; Feng, P.X. A new approach for fabrications of SiC based photodetectors. Sci. Rep. 2016, 6, 23457. [Google Scholar] [CrossRef] [PubMed]
- Chen, X.; Zhu, H.; Cai, J.; Wu, Z. High-performance 4H-SiC-based ultraviolet pin photodetector. J. Appl. Phys. 2007, 102, 024505. [Google Scholar] [CrossRef]
- Dubey, A.; Mishra, R.; Hsieh, Y.H.; Cheng, C.W.; Wu, B.H.; Chen, L.J.; Gwo, S.; Yen, T.J. Aluminum plasmonics enriched ultraviolet GaN photodetector with ultrahigh responsivity, detectivity, and broad bandwidth. Adv. Sci. 2020, 7, 2002274. [Google Scholar] [CrossRef]
- Liu, K.; Sakurai, M.; Aono, M. ZnO-based ultraviolet photodetectors. Sensors 2010, 10, 8604–8634. [Google Scholar] [CrossRef] [PubMed]
- Law, J.; Thong, J. Simple fabrication of a ZnO nanowire photodetector with a fast photoresponse time. Appl. Phys. Lett. 2006, 88, 133501. [Google Scholar] [CrossRef]
- Zhang, F.; Saito, K.; Tanaka, T.; Nishio, M.; Arita, M.; Guo, Q. Wide bandgap engineering of (AlGa)2O3 films. Appl. Phys. Lett. 2014, 105, 162102. [Google Scholar] [CrossRef]
- Khan, M.; Kadam, V.; Sant, T.; Jejurikar, S.M.; Banpurkar, A.; Mandal, A.; Adhi, S. Growth of ZnO/Ga2O3 and Ga2O3/ZnO heterostructures on c-Al2O3 substrate using pulsed laser deposition. Solid State Commun. 2023, 364, 115130. [Google Scholar] [CrossRef]
- Wu, Y.; Yan, X.; Jiang, Y.; Yao, T.; Chen, C.; Ye, H. Microstructure and optical properties of β-Ga2O3 thin films fabricated by pulsed laser deposition. Thin Solid Film. 2024, 796, 140336. [Google Scholar] [CrossRef]
- Shi, J.; Liang, H.; Xia, X.; Long, Z.; Zhang, H.; Liu, Y.; Dong, X.; Jia, Z. Preparation of high Al content (AlxGa1−x)2O3 films by low-pressure reactive vapor deposition on sapphire substrates. ECS J. Solid State Sci. Technol. 2020, 9, 045016. [Google Scholar] [CrossRef]
- Li, J.; Chen, X.; Ma, T.; Cui, X.; Ren, F.F.; Gu, S.; Zhang, R.; Zheng, Y.; Ringer, S.P.; Fu, L.; et al. Identification and modulation of electronic band structures of single-phase β-(AlxGa1−x)2O3 alloys grown by laser molecular beam epitaxy. Appl. Phys. Lett. 2018, 113, 043903. [Google Scholar] [CrossRef]
- Miller, R.; Alema, F.; Osinsky, A. Epitaxial β-Ga2O3 and β-(AlxGa1−x)2O3/β-Ga2O3 heterostructures growth for power electronics. IEEE Trans. Semicond. Manuf. 2018, 31, 467–474. [Google Scholar] [CrossRef]
- Wu, Z.; Wang, Y.; Song, Y.; Fu, S.; Cui, W.; Gao, C.; Xia, D.; Han, Y.; Li, B.; Shen, A.-D.; et al. High-performance solar-blind photodetector of β-Ga2O3 grown on sapphire with embedding an ultra-thin AlN buffer layer. J. Alloys Compd. 2024, 1005, 176156. [Google Scholar] [CrossRef]
- Çaldıran, Z.; Taşyürek, L.B.; Nuhoğlu, Y. The effect of different frequencies and illuminations on the electrical behavior of MoO3/Si heterojunctions. J. Mater. Sci. Mater. Electron. 2021, 32, 27950–27961. [Google Scholar] [CrossRef]
- Baeg, K.-J.; Binda, M.; Natali, D.; Caironi, M.; Noh, Y.-Y. Organic light detectors: Photodiodes and phototransistors. Adv. Mater. 2013, 25, 4267–4295. [Google Scholar] [CrossRef] [PubMed]
- Sevgili, O.; Canli, S.; Akman, F.; Orak, I.; Karabulut, A.; Yildirim, N. Characterization of aluminum 8-hydroxyquinoline microbelts and microdots, and photodiode applications. J. Phys. Chem. Solids 2020, 136, 109128. [Google Scholar] [CrossRef]
- Wang, C.; Zhang, X.; Hu, W. Organic photodiodes and phototransistors toward infrared detection: Materials, devices, and applications. Chem. Soc. Rev. 2020, 49, 653–670. [Google Scholar] [CrossRef] [PubMed]
- Liu, Z.; Tang, W. A review of Ga2O3 deep-ultraviolet metal-semiconductor Schottky photodiodes. J. Phys. D Appl. Phys. 2023, 56, 093002. [Google Scholar] [CrossRef]
- Li, M.; Mi, W.; Zhou, L.; Zhao, J.; Chen, X.; Tang, J.; Li, X.; Zhang, G.; Zhang, K.; Luan, C.; et al. Effect of oxygen flow ratio on crystallization and structural characteristics of gallium oxide thin films. Ceram. Int. 2022, 48, 3751–3756. [Google Scholar] [CrossRef]
- Hopoğlu, H.; Aydınoğlu, H.S.; Tüzemen, E.Ş. Effect of oxygen percentage on the energy band gap of Ga2O3 thin films deposited by RF magnetron sputtering method. J. NanoSci. Adv. Mater. 2022, 1, 12–16. [Google Scholar]
- Patil, V.; Lee, B.-T.; Jeong, S.-H. Optical and structural characterization of high crystalline β-Ga2O3 films prepared using an RF magnetron sputtering. J. Alloys Compd. 2022, 894, 162551. [Google Scholar] [CrossRef]
- Li, S.; Jiao, S.; Wang, D.; Gao, S.; Wang, J. The influence of sputtering power on the structural, morphological and optical properties of β-Ga2O3 thin films. J. Alloys Compd. 2018, 753, 186–191. [Google Scholar] [CrossRef]
- Wang, J.; Xiong, Y.; Ye, L.; Li, W.; Qin, G.; Ruan, H.; Zhang, H.; Fang, L.; Kong, C.; Li, H. Balanced performance for β-Ga2O3 solar-blind photodetectors: The role of oxygen vacancies. Opt. Mater. 2021, 112, 110808. [Google Scholar] [CrossRef]
- Ma, X.; Hou, X.; Tan, P.; Ding, M.; Zhao, X.; Yang, Y.; Xu, G.; Hu, Q.; Long, S. Fast speed Ga2O3 solar-blind photodetectors with low-temperature process engineering. IEEE Electron Device Lett. 2023, 44, 1861–1864. [Google Scholar] [CrossRef]
- Qian, L.; Wang, Y.; Wu, Z.; Sheng, T.; Liu, X. β-Ga2O3 solar-blind deep-ultraviolet photodetector based on annealed sapphire substrate. Vacuum 2017, 140, 106–110. [Google Scholar] [CrossRef]
- Xu, C.; Shen, L.; Liu, H.; Pan, X.; Ye, Z. High-quality β-Ga2O3 films with influence of growth temperature by pulsed laser deposition for solar-blind photodetectors. J. Electron. Mater. 2021, 50, 2043–2048. [Google Scholar] [CrossRef]
- Wang, Q.; Chen, J.; Huang, P.; Li, M.; Lu, Y.; Homewood, K.P.; Chang, G.; Chen, H.; He, Y. Influence of growth temperature on the characteristics of β-Ga2O3 epitaxial films and related solar-blind photodetectors. Appl. Surf. Sci. 2019, 489, 101–109. [Google Scholar] [CrossRef]
- Yu, F.-P.; Ou, S.-L.; Wuu, D.-S. Pulsed laser deposition of gallium oxide films for high-performance solar-blind photo-detectors. Opt. Mater. Express 2015, 5, 1240–1249. [Google Scholar] [CrossRef]
- Yuan, S.-H.; Wang, C.-C.; Huang, S.-Y.; Wuu, D.-S. Improved responsivity drop from 250 to 200 nm in sputtered gallium oxide photodetectors by incorporating trace aluminum. IEEE Electron Device Lett. 2017, 39, 220–223. [Google Scholar] [CrossRef]
- Nie, Y.; Jiao, S.; Meng, F.; Lu, H.; Wang, D.; Li, L.; Gao, S.; Wang, J.; Wang, X. Growth and properties analysis of AlxGa2−xO3 thin film by radio frequency magnetron sputtering using Al/Ga2O3 target. J. Alloys Compd. 2019, 798, 568–575. [Google Scholar] [CrossRef]
- Shen, H.; Baskaran, K.; Yin, Y.; Tian, K.; Duan, L.; Zhao, X.; Tiwari, A. Effect of thickness on the performance of solar-blind photodetectors fabricated using PLD grown β-Ga2O3 thin films. J. Alloys Compd. 2020, 822, 153419. [Google Scholar] [CrossRef]
- Feng, Q.; Li, X.; Han, G.; Huang, L.; Li, F.; Tang, W.; Zhang, J.; Hao, Y. (AlGa)2O3 solar-blind photodetectors on sapphire with wider bandgap and improved responsivity. Opt. Mater. Express 2017, 7, 1240–1248. [Google Scholar] [CrossRef]
- Huang, L.; Feng, Q.; Han, G.; Li, F.; Li, X.; Fang, L.; Xing, X.; Zhang, J.; Hao, Y. Comparison study of β-Ga2O3 photodetectors grown on sapphire at different oxygen pressures. IEEE Photonics J. 2017, 9, 6803708. [Google Scholar] [CrossRef]
- Li, Z.; Xu, Y.; Zhang, J.; Cheng, Y.; Chen, D.; Feng, Q.; Xu, S.; Zhang, Y.; Zhang, J.; Hao, Y.; et al. Flexible solar-blind Ga2O3 ultraviolet photodetectors with high responsivity and photo-to-dark current ratio. IEEE Photonics J. 2019, 11, 6803709. [Google Scholar] [CrossRef]
- Liu, Z.; Du, L.; Zhang, S.H.; Li, L.; Xi, Z.Y.; Tang, J.C.; Fang, J.P.; Zhang, M.L.; Yang, L.L.; Li, S.; et al. Synergetic effect of photoconductive gain and persistent photocurrent in a high-photoresponse Ga2O3 deep-ultraviolet photodetector. IEEE Trans. Electron Devices 2022, 69, 5595–5602. [Google Scholar] [CrossRef]
- Zhang, M.; Ma, W.; Li, S.; Yang, L.; Liu, Z.; Guo, Y.; Tang, W. Study of nonthermal-equilibrium carrier recombination and transport in β-Ga2O3 metal–semiconductor–metal deep-ultraviolet photodetectors. IEEE Trans. Electron Devices 2023, 70, 2336–2341. [Google Scholar] [CrossRef]
- Liu, Z.; Sha, S.L.; Shen, G.H.; Jiang, M.M.; Zhang, M.L.; Guo, Y.F.; Tang, W.H. Boosting β-Ga2O3 solar-blind detector via highly photon absorbance and carrier injection by localized surface plasmon resonance. IEEE Electron Device Lett. 2023, 44, 1324–1327. [Google Scholar] [CrossRef]
- Ji, X.Q.; Liu, M.Y.; Yan, Z.Y.; Li, S.; Liu, Z.; Qi, X.H.; Yuan, J.Y.; Wang, J.J.; Zhao, Y.C.; Tang, W.H.; et al. Ultrasensitive and high-speed Ga2O3 solar-blind photodetection based on defect engineering. IEEE Trans. Electron Devices 2023, 70, 4236–4242. [Google Scholar] [CrossRef]
- Blumenschein, N.; Paskova, T.; Muth, J.F. Effect of growth pressure on PLD-deposited gallium oxide thin films for deep-UV photodetectors. Phys. Status Solidi (a) 2019, 216, 1900098. [Google Scholar] [CrossRef]
- Chen, X.; Mi, W.; Wu, J.; Yang, Z.; Zhang, K.; Zhao, J.; Luan, C.; Wei, Y. A solar-blind photodetector based on β-Ga2O3 film deposited on MgO (100) substrates by RF magnetron sputtering. Vacuum 2020, 180, 109632. [Google Scholar] [CrossRef]
- Zhou, S.; Peng, X.; Liu, H.; Zhang, Z.; Ye, L.; Li, H.; Xiong, Y.; Niu, L.; Chen, F.; Fang, L.; et al. High-performance β-Ga2O3-based solar-blind photodetector with ultralow dark current and fast photo response for deep-ultraviolet communication. Opt. Mater. Express 2021, 12, 327–337. [Google Scholar]
- Qian, L.-X.; Wu, Z.-H.; Zhang, Y.-Y.; Lai, P.; Liu, X.-Z.; Li, Y.-R. Ultrahigh-responsivity, rapid-recovery, solar-blind photodetector based on highly nonstoichiometric amorphous gallium oxide. ACS Photonics 2017, 4, 2203–2211. [Google Scholar] [CrossRef]
- Huang, C.-Y.; Houng, M.-P.; Wei, S.; Yang, C.-F. Depositions of In2xGa2−2xO3-based films and their application in the fabrication of a thin-film transistor. Mod. Phys. Lett. B 2021, 35, 2141011. [Google Scholar] [CrossRef]
- Li, H.; Wang, Y.; Cao, J.; Qi, Y.; Yu, J.; Dong, Z.; Shen, J.; Li, S.; Jiang, Y.; Tang, W.; et al. Enhanced solar-blind photoresponse characteristics in β-Ga2O3 epitaxial films on large miscut sapphire substrates. J. Alloys Compd. 2021, 877, 160143. [Google Scholar] [CrossRef]
- Lin, R.; Zheng, W.; Zhang, D.; Zhang, Z.; Liao, Q.; Yang, L.; Huang, F. High-performance graphene/β-Ga2O3 heterojunction deep-ultraviolet photodetector with hot-electron ex-cited carrier multiplication. ACS Appl. Mater. Interfaces 2018, 10, 22419–22426. [Google Scholar] [CrossRef] [PubMed]
- Dong, L.; Yu, J.; Jia, R.; Hu, J.; Zhang, Y.; Sun, J. Self-powered MSM deep-ultraviolet β-Ga2O3 photodetector realized by an asymmetrical pair of Schottky contacts. Opt. Mater. Express 2019, 9, 1191–1199. [Google Scholar] [CrossRef]
- Bhuiyan, A.; Feng, Z.; Johnson, J.M.; Huang, H.-L.; Hwang, J.; Zhao, H. MOCVD growth of β-phase (AlxGa1−x)2O3 on (-201) β-Ga2O3 substrates. Appl. Phys. Lett. 2020, 117, 142101. [Google Scholar] [CrossRef]
















| Ar:O2 Flow Ratio | 40:0 | 40:2 | 40:4 |
|---|---|---|---|
| FWHM of (−201) peak (°) | 0.585 | 0.458 | 0.670 |
| Domain size (nm) * | 13.77 | 17.58 | 12.02 |
| RF Power | 100 W | 80 W | 60 W |
|---|---|---|---|
| FWHM of (−201) peak (°) | 0.633 | 0.579 | 0.458 |
| Domain size (nm) | 12.72 | 13.91 | 17.58 |
| RF Sputter | Substrate Temperature | Chamber Pressure | Ar:O2 Flow Rate | RF Power | Annealing Temperature |
|---|---|---|---|---|---|
| H.-Y. Lee et al. | Room Temp. | 10 mTorr | 50:0 sccm | 100 W | 800 °C |
| S. Jiao et al. | N/A | 7.5 mTorr | 40:2 sccm | 180 W | 900 °C |
| S. Zhou et al. | N/A | 15 mTorr | 40:0 sccm | 150 W | 900 °C |
| This work | 400 °C | 8 mTorr | 40:2 sccm | 60 W | 800 °C |
| Annealing Temperature | 800 °C | 1000 °C | 1200 °C | 1400 °C |
|---|---|---|---|---|
| 2θ peak of (−201) (°) | 18.914 | 19.115 | 19.215 | 19.316 |
| FWHH of (−201) peak (°) | 0.653 | 0.523 | 0.392 | 0.211 |
| Domain size (nm) | 12.33 | 15.40 | 20.55 | 38.19 |
| Annealing Temperature | As-Dep. | 800 °C | 1000 °C | 1200 °C | 1400 °C |
|---|---|---|---|---|---|
| AFM RMS (nm) | 1.02 | 0.88 | 1.66 | 4.58 | 9.11 |
| Annealing Temperature | As-Dep. | 800 °C | 1000 °C | 1200 °C | 1400 °C |
|---|---|---|---|---|---|
| Film thickness (nm) | 47.7 | 56.3 | 97.9 | 121.0 | 185.2 |
| Annealing Temperature (°C) | 800 °C | 1000 °C | 1200 °C | 1400 °C |
|---|---|---|---|---|
| Energy (eV) | 4.89 | 5.25 | 5.75 | N/A |
| Evaluated Al content (%) | 0.0% | 22.1% | 46.2% | N/A |
| Annealing Temperature | Response Wavelength | Photocurrent | Dark Current | Responsivity | Ref. |
|---|---|---|---|---|---|
| 700 °C | 254 nm | 42 nA @ 10 V | 3.5 pA | 30 mA/W | [47] |
| 900 °C | 252 nm | 29 nA @ 10 V | 82 fA | 1.93 A/W | [48] |
| 800 °C | 245 nm | 4.24 μA @ 20 V | 0.27 nA | 9.7 A/W | This work |
| 1000 °C | 210 nm | 0.88 μA @ 20 V | 0.25 nA | 2.0 A/W | This work |
| Annealing Temperature | Thin Film Material | Rise Time s (90%) | Fall Time s (10%) | Total Response Time s |
|---|---|---|---|---|
| 800 °C | β-Ga2O3 | 0.74 | 0.65 | 1.39 |
| 1000 °C | β-(Al0.22Ga0.78)2O3 | 0.53 | 0.49 | 1.02 |
| No. | Acronyms/Parameters | Explanation |
|---|---|---|
| 1 | DUV | Deep-Ultraviolet |
| 2 | RF | Ratio frequency |
| 3 | TIA | Thermal interdiffusion alloying |
| 4 | Ga2O3 | Gallium oxide |
| 5 | (AlxGa1−x)2O3 | Aluminum gallium oxide |
| 6 | MSM | Metal–semiconductor–metal |
| 7 | PLD | Pulsed laser deposition |
| 8 | MOCVD | Metal-organic chemical vapor deposition |
| 9 | ALD | Atomic layer deposition |
| 10 | sccm | Standard cubic centimeter per minute |
| 11 | XRD | X-ray diffraction |
| 12 | FWHM | Full width at half maximum |
| 13 | Eg | Energy bandgap |
| 14 | mTorr | Millitorr (10−3 Torr) |
| 15 | RMS | Root mean square |
| 16 | PD | Photodetector |
Disclaimer/Publisher’s Note: The statements, opinions and data contained in all publications are solely those of the individual author(s) and contributor(s) and not of MDPI and/or the editor(s). MDPI and/or the editor(s) disclaim responsibility for any injury to people or property resulting from any ideas, methods, instructions or products referred to in the content. |
© 2024 by the authors. Licensee MDPI, Basel, Switzerland. This article is an open access article distributed under the terms and conditions of the Creative Commons Attribution (CC BY) license (https://creativecommons.org/licenses/by/4.0/).
Share and Cite
Liao, C.-H.; Huang, J.-Y.; Huang, C.-S.; Yang, C.-C.; Kuo, J.-E.; Water, W.; Tsai, W.-S.; Miranda Cortez, P.A.; Tang, X.; Lin, S.-H. Bandgap-Tunable Aluminum Gallium Oxide Deep-UV Photodetector Prepared by RF Sputter and Thermal Interdiffusion Alloying Method. Processes 2025, 13, 68. https://doi.org/10.3390/pr13010068
Liao C-H, Huang J-Y, Huang C-S, Yang C-C, Kuo J-E, Water W, Tsai W-S, Miranda Cortez PA, Tang X, Lin S-H. Bandgap-Tunable Aluminum Gallium Oxide Deep-UV Photodetector Prepared by RF Sputter and Thermal Interdiffusion Alloying Method. Processes. 2025; 13(1):68. https://doi.org/10.3390/pr13010068
Chicago/Turabian StyleLiao, Che-Hao, Jing-Yun Huang, Chien-Sheng Huang, Chih-Chiang Yang, Jui-En Kuo, Walter Water, Wan-Shao Tsai, Patsy A Miranda Cortez, Xiao Tang, and Shih-Hung Lin. 2025. "Bandgap-Tunable Aluminum Gallium Oxide Deep-UV Photodetector Prepared by RF Sputter and Thermal Interdiffusion Alloying Method" Processes 13, no. 1: 68. https://doi.org/10.3390/pr13010068
APA StyleLiao, C.-H., Huang, J.-Y., Huang, C.-S., Yang, C.-C., Kuo, J.-E., Water, W., Tsai, W.-S., Miranda Cortez, P. A., Tang, X., & Lin, S.-H. (2025). Bandgap-Tunable Aluminum Gallium Oxide Deep-UV Photodetector Prepared by RF Sputter and Thermal Interdiffusion Alloying Method. Processes, 13(1), 68. https://doi.org/10.3390/pr13010068

