Induced Casing Deformation in Hydraulically Fractured Shale Gas Wells: Risk Assessment, Early Warning, and Mitigation
Abstract
1. Introduction
2. Risk Evaluation of Casing Deformation
2.1. Regional Geological Stability Evaluation Based on Tectonic Movement History
2.2. Local Formation Stability Evaluation Based on Fracture Zone Stability Evaluation
2.2.1. Evaluation of Fracture Zone Stability under Initial Formation Conditions
2.2.2. Evaluation of Fracture Zone Stability under Fracturing Fluid Injection Conditions
2.3. Casing Deformation Prediction
3. Early Warning of Casing Deformation
3.1. Early Warning of Casing Deformation Based on Fracture Monitoring Results
3.2. Early Warning of Casing Deformation Based on Abnormal Change of Surface Pump Pressure, the Bridge Plug Pumping Curve, and Caliper Logging
4. Control of Casing Deformation
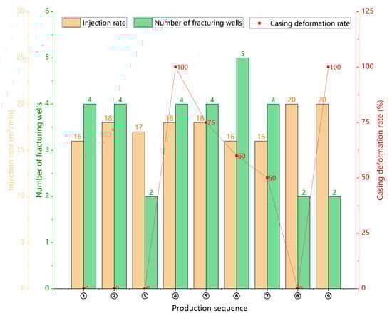
4.1. Casing Deformation Control Fracturing Operations
4.2. Casing Deformation Control Cementing
5. Treatment of Casing Deformation
5.1. Small-Diameter Bridge Plug Staged Fracturing + Small-Size Gun Perforation
5.2. Long-Stage Multi-Cluster Asynchronous Fracture Initiation + Composite Temporary Plugging and Diversion
5.3. Sand-Plug Staged Fracturing
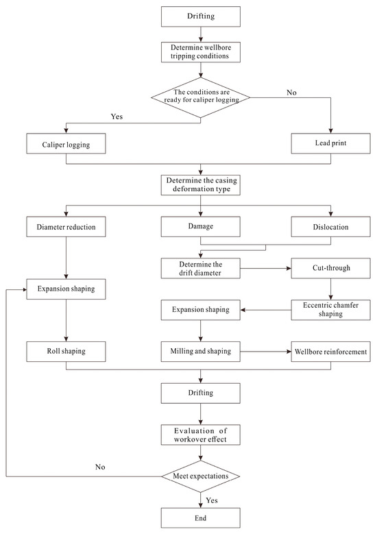
5.4. Workover
6. Application
7. Conclusions and Suggestions
Author Contributions
Funding
Informed Consent Statement
Conflicts of Interest
Nomenclature
| a | intercept of the slope of the frequency–magnitude distribution |
| A | fracture area |
| b | the absolute value of the slope of the linear portion of the frequency–magnitude distribution |
| C | flow coefficient of the perforation hole |
| Ct | reservoir composite compressibility |
| d | perforation hole diameter |
| D | wellbore diameter |
| E | Young’s modulus of rock |
| friction force | |
| G | shear modulus of rock |
| H | height of the multi-fracture area |
| K | reservoir composite permeability |
| L | wellbore length |
| LT1 | length of the multi-fracture area III |
| LT2 | length of the multi-fracture area VI |
| Mw | the moment magnitude |
| M0 | the seismic moment |
| n | total perforation number |
| N | perforation cluster number |
| bottomhole pressure | |
| wellbore fluid column pressure | |
| pore pressure | |
| wellhead pressure | |
| Q | fracturing fluid injection rate |
| r | coordinate |
| R | fracture zone slip value |
| principal stress in i (i = 1,2,3) direction | |
| t | transmission time |
| v | fracturing fluid flow velocity |
| fracture width | |
| Greek | |
| Biot coefficient | |
| is the shear modulus of the fractured rock | |
| Poisson’s ratio of rock | |
| fracture dip | |
| λ | hydraulic friction coefficient |
| friction coefficient of the fracture zone plane | |
| fluid viscosity | |
| ρ | mixed density of fracturing fluid |
| effective normal stress | |
| the maximum effective stresses | |
| the intermediate effective stresses | |
| the minimum effective stresses | |
| transmissibility | |
| generalized influence function | |
| the critical value of pore pressure increase | |
| wellbore fluid flow friction | |
| perforation hole friction | |
| net pressure in the fracture | |
| characteristic value of fracture half-height | |
| stiffness factor | |
References
- Han, L.; Li, X.; Liu, Z.; Duan, G.; Wan, Y.; Guo, X.; Guo, W.; Cui, Y. Influencing factors and prevention measures of casing deformation in deep shale gas wells in Luzhou block, southern Sichuan Basin, SW China. Pet. Explor. Dev. 2023, 50, 979–988. [Google Scholar] [CrossRef]
- Yang, L.; Qi, T.; Hao, W.; Ma, T. Research Status and Prospect of Casing Deformation Mechanism and Control Methods in Shale Gas Wells in Sichuan Basin. In Proceedings of the 57th U.S. Rock Mechanics/Geomechanics Symposium, Atlanta, GA, USA, 25–28 June 2023. [Google Scholar] [CrossRef]
- Li, Z.; Li, H.; Li, G.; Yu, H.; Tang, B.; Jiang, Z.; Liu, H.; Hu, S. The influence of shale swelling on casing deformation during hydraulic fracturing. J. Pet. Sci. Eng. 2021, 205, 108844. [Google Scholar] [CrossRef]
- Ran, W.; Bian, X.; Zhang, X.; Xiao, B.; Cao, N.; Zuo, L.; Du, J.; Su, Y. Three-Dimensional High Efficiency Fracturing Technology for Preventing Casing Deformation in W Deep Shale Gas. In Proceedings of the 57th U.S. Rock Mechanics/Geomechanics Symposium, Atlanta, GA, USA, 25–28 June 2023. [Google Scholar] [CrossRef]
- Zhao, C.; Li, J.; Liu, G.; Zhang, H.; Wang, C.; Ren, K.; Zhang, X. The Casing Deformation During Shale Gas Hydraulic Fracturing: Why it is so Serious in Weiyuan-Changning, China. In Proceedings of the SPE Trinidad and Tobago Section Energy Resources Conference, Port of Spain, Trinidad and Tobago, 25–26 June 2018. [Google Scholar] [CrossRef]
- Dong, K.; Liu, N.; Chen, Z.; Huang, R.; Ding, J.; Niu, G. Geomechanical analysis on casing deformation in Longmaxi shale formation. J. Pet. Sci. Eng. 2019, 177, 724–733. [Google Scholar] [CrossRef]
- Zhang, X.; Liu, J.; Cheng, W.; Jiang, W.; Jin, J.; Shen, L. New Type of Casing Deformation Rising in Weiyuan Changning Shale Gas Play. In Proceedings of the International Petroleum Technology Conference, Riyadh, Saudi Arabia, 21–23 February 2022. [Google Scholar] [CrossRef]
- Gandomkar, A.; Katz, D.; Gomez, R.; Gundersen, A.; Khan, P. Casing Deformation Mitigation Achieved Through Ball Activated Sliding Fracturing Sleeves—An Alternative to Plug and Perf Fracturing Operations. In Proceedings of the SPE International Hydraulic Fracturing Technology Conference & Exhibition, Muscat, Oman, 11–13 January 2022. [Google Scholar] [CrossRef]
- Yoshida, H.; Jafri, S.; Okura, M.; Takahashi, S.; Li, W. The Effect of Casing Deformation on Frac Plug Sealing Element Performance. In Proceedings of the SPE Hydraulic Fracturing Technology Conference and Exhibition, The Woodlands, TX, USA, 31 January–2 February 2023. [Google Scholar] [CrossRef]
- Al Hinai, A.S.; Al Jahdhami, A.R.; Al Farsi, S.A.; Chavez, J.C. The Reasons and Mitigations Behind the Casing Deformation After Hydraulic Fracturing: Cases Studies from Oman Deep Tight Gas Wells. In Proceedings of the ADIPEC, Abu Dhabi, United Arab Emirates, 31 October–3 November 2022. [Google Scholar] [CrossRef]
- Chen, Z.; Shi, L.; Xiang, D. Mechanism of casing deformation in the Changning-Weiyuan national shale gas project demonstration area and countermeasures. Nat. Gas Ind. B 2017, 4, 1–6. [Google Scholar] [CrossRef]
- Yin, F.; Han, L.; Yang, S.; Deng, Y.; He, Y.; Wu, X. Casing deformation from fracture slip in hydraulic fracturing. J. Pet. Sci. Eng. 2018, 166, 235–241. [Google Scholar] [CrossRef]
- Radakovic-Guzina, Z.; Damjanac, B.; Savitski, A.A.; Suarez, N. Analysis of the Production Casing Deformation Due to Shearing of Offset Hydraulic Fractures. In Proceedings of the SPE/AAPG/SEG Unconventional Resources Technology Conference, Houston, TX, USA, 20–22 June 2022. [Google Scholar] [CrossRef]
- Huang, R.; Chen, Z.; Zhang, F.; Zhou, X.; Wang, Q.; Cao, H.; Zhang, H.; Yang, X. Fault Slip Risk Assessment and Treating Parameter Optimization for Casing Deformation Prevention: A Case Study in the Sichuan Basin. Geofluids 2020, 2020, 8894514. [Google Scholar] [CrossRef]
- Greig, D.W. Analysis of the Crooked Lake Sequence Near Fox Creek, Alberta: Comparison of a Waveform Correlation Detection Method to a Traditional STA/LTA Picker. Presented at the 2014 SEG Annual Meeting, Denver, CO, USA, 26–31 October 2014. [Google Scholar]
- Chen, Z.; Fan, Y.; Huang, R.; Zeng, B.; Walsh, R.; Zhou, X.; Zoback, M.; Song, Y. Case Study: Fault Slip Induced by Hydraulic Fracturing and Risk Assessment of Casing Deformation in the Sichuan Basin. In Proceedings of the SPE/AAPG/SEG Asia Pacific Unconventional Resources Technology Conference, Brisbane, Australia, 18–19 November 2019. [Google Scholar] [CrossRef]
- Lu, Q.; Liu, Z.; Guo, J.; He, L.; Li, Y.; Zeng, J.; Ren, S. Hydraulic fracturing induced casing shear deformation and a prediction model of casing deformation. Pet. Explor. Dev. 2021, 48, 394–401. [Google Scholar] [CrossRef]
- Lu, Q.; Liu, Z.; Guo, J.; Wang, S.; He, L.; Li, Y. Prediction Analysis of Induced Casing Deformation of Horizontal Well in Fractured Shale Reservoir: Case Study of Weiyuan Gasfield. In Proceedings of the SPE International Hydraulic Fracturing Technology Conference & Exhibition, Muscat, Oman, 11–13 January 2022. [Google Scholar] [CrossRef]
- Chen, Z.; Huang, R.; Zhou, X.; Song, Y.; Qing, C.; Yang, Y. Case Study: Casing Deformation and Fault Slip Induced by Hydraulic Fracturing in Sichuan Basin. In Proceedings of the ARMA-CUPB Geothermal International Conference, Beijing, China, 5–8 August 2019. [Google Scholar]
- Espindola, B.; Romero, A.N.; Rodríguez, M.J.; Sosa Luna, R.D.; Weimann, M.I.; Velo, R.D.; Escobar, R.A.; Suarez, F.; Pucho, M.; Gonzalez, N.; et al. Analysis of Casing Deformation in Different Unconventional Areas with a Comprehensive Approach in the Study. In Proceedings of the SPE/AAPG/SEG Latin America Unconventional Resources Technology Conference, Buenos Aires, Argentina, 4–6 December 2023. [Google Scholar] [CrossRef]
- Zhu, H.; He, X.; Li, Y.; Tang, X.; Huang, C.; Zeng, B.; Song, Y. Investigation to Integrated Geomechanics of Casing Deformation and a New Technique: A Case in Deep Gas Shale of Sichuan Basin, China. In Proceedings of the 57th U.S. Rock Mechanics/Geomechanics Symposium, Atlanta, GA, USA, 25–28 June 2023. [Google Scholar] [CrossRef]
- Jia, B.; Xian, C.; Tsau, J.S.; Zuo, X.; Jia, W. Status and outlook of oil field chemistry-assisted analysis during the energy transition period. Eng. Fuels 2022, 36, 12917–12945. [Google Scholar] [CrossRef]
- Wang, K.; Chang, Y.; Chen, G.; Sun, B.; Sun, H.; Li, H.; Dai, Y. Three-dimensional mechanical behaviors of casing during gas production from marine hydrate reservoirs using depressurization. Energy 2022, 247, 123526. [Google Scholar] [CrossRef]
- Ross, T.S.A.; Chang, K.W.; Sobolik, S.R. Geomechanical Tool for Evaluating Casing Deformation in Storage Caverns in Salt Dome. In Proceedings of the 57th U.S. Rock Mechanics/Geomechanics Symposium, Atlanta, GA, USA, 25–28 June 2023. [Google Scholar] [CrossRef]
- Zeng, B.; Zhou, X.; Cao, J.; Zhou, F.; Wang, Y.; Wang, Y.; Song, Y.; Hu, J.; Du, Y. A Casing Deformation Prediction Model Considering the Properties of Cement. Processes 2023, 11, 695. [Google Scholar] [CrossRef]
- Chen, Z.; Huang, R.; Zeng, B.; Song, Y.; Zhou, X. Case Study: Treating Parameters Optimization in Casing Deformation Wells of Shale Gas in Sichuan Basin. In Proceedings of the 54th US Rock Mechanics/Geomechanics Symposium, Virtual, 28 June 2020–1 July 2020. [Google Scholar]
- Last, N.C.; Mujica, S.; Pattillo, P.D.; Kelso, G.T. Evaluation, Impact, and Management of Casing Deformation Caused By Tectonic Forces in the Andean Foothills, Colombia. SPE Drill. Complet. 2006, 21, 116–124. [Google Scholar] [CrossRef]
- Markley, M.E.; Last, N.; Mendoza, S.; Mujica, S. Case Studies of Casing Deformation due to Active Stresses in the Andes Cordillera, Colombia. In Proceedings of the IADC/SPE Drilling Conference, Dallas, TX, USA, 26–28 February 2002. [Google Scholar] [CrossRef]
- Zhu, Y.; Chen, G.; Liu, Y.; Shi, X.; Wu, W.; Luo, C.; Yang, X.; Yang, Y.; Zou, Y. Sequence stratigraphy and lithofacies paleogeographic evolution of Katian Stage–Aeronian Stage in southern Sichuan Basin, SW China. Pet. Explor. Dev. 2021, 48, 1126–1138. [Google Scholar] [CrossRef]
- Dong, D.; Liang, F.; Guan, Q.; Jiang, Y.; Zhou, S.; Yu, R.; Gu, Y.; Zhang, S.; Qi, L.; Liu, Y. Development model and identification evaluation technology of Wufeng-Longmaxi Formation quality shale gas reservoirs in the Sichuan Basin. Nat. Gas Ind. 2022, 42, 96–111. [Google Scholar] [CrossRef]
- An, M.; Zhang, F.; Chen, Z.; Elsworth, D.; Zhang, L. Temperature and fluid pressurization effects on frictional stability of shale faults reactivated by hydraulic fracturing in the changing block, Southwest China. J. Geophys. Res. Solid Earth 2020, 125, e2020JB019584. [Google Scholar] [CrossRef]
- Wang, Z.P.; Zhang, Y. Unconventional Reservoirs Require Unconventional Thinking: Using Fracturing Model as an Example. In Proceedings of the International Petroleum and Petrochemical Technology Conference, Beijing, China, 27–29 March 2019. [Google Scholar]
- Eker, E.; Uzun, I.; Kazemi, H.; Rutledge, J.M. Hydraulic Fracture Propagation Modeling for Well Performance Analysis: Eagle Ford Formation Case Study. In Proceedings of the SPE Western Regional Meeting, Bakersfield, CA, USA, 23–27 April 2017. [Google Scholar] [CrossRef]
- Xie, J.; Tang, J.; Sun, S.; Li, Y.; Song, Y.; Zhou, X.; Huang, H. Numerical Study of Proppant Transport and Distribution along Opened Bedding Planes. In Proceedings of the Unconventional Resources Technology Conference, Virtual, 20–22 July 2020; pp. 1098–1114. [Google Scholar]
- Haege, M.; Maxwell, S.; Sonneland, L.; Norton, M. Integration of Passive Seismic and 3D Reflection Seismic in an Unconventional Shale Gas Play: Relationship Between Rock Fabric and Seismic Moment of Microseismic Events. In Proceedings of the 2012 SEG Annual Meeting, Las Vegas, NV, USA, 4–9 November 2012. [Google Scholar]
- Meyer, J.J.; Gallop, J.; Chen, A.; Reynolds, S.; Mildren, S. Can Seismic Inversion Be Used for Geomechanics? A Casing Deformation Example. In Proceedings of the SPE/AAPG/SEG Unconventional Resources Technology Conference, Houston, TX, USA, 23–25 July 2018. [Google Scholar] [CrossRef]
- Wu, Q.; Nair, S.; van Oort, E.; Guzik, A.; Kishida, K. Concurrent Real-Time Distributed Fiber Optic Sensing of Casing Deformation and Cement Integrity Loss. In Proceedings of the SPE/IADC International Drilling Conference and Exhibition, The Hague, The Netherlands, 5–7 March 2019. [Google Scholar]
- Nolte, K.G.; Smith, M.B. Interpretation of Fracturing Pressures. J. Pet. Technol. 1981, 33, 1767–1775. [Google Scholar] [CrossRef]
- Han, L.; Yang, S.; Dai, L.; Cao, J.; Mou, Y.; Wu, X. Casing Deformation and Controlling Methods During Hydraulic Fracturing Shale Gas Reservoirs in China: What We Known and Tried. In Proceedings of the SPE Oklahoma City Oil and Gas Symposium, Oklahoma City, OK, USA, 17–19 April 2023. [Google Scholar] [CrossRef]
- Mindygaliyeva, B.; Bekbossinov, N.; Kazemi, H. Application of Fracture Injection Test, Rate Transient Analysis, and Pearson Correlation in Niobrara and Codell Formations to Evaluate Reservoir Performance in a Northern DJ Basin. In Proceedings of the 56th U.S. Rock Mechanics/Geomechanics Symposium, Santa Fe, NM, USA, 26–29 June 2022. [Google Scholar] [CrossRef]
- Hu, D.; Lei, Z.; Cartwright, S.; Samoil, S.; Xie, S.; Chen, Z. Refracturing Candidate Selection in Tight Oil Reservoirs Using Hybrid Analysis of Data and Physics Based Models. In Proceedings of the SPE Canadian Energy Technology Conference, Calgary, AB, Canada, 16–17 March 2022. [Google Scholar] [CrossRef]
- Gogoi, T.; Chatterjee, R. Neural network analysis and seismic-velocity model building in Upper Assam Basin, India: An aid to reservoir-characterization study. In Proceedings of the 2018 SEG International Exposition and Annual Meeting, Anaheim, CA, USA, 14–19 October 2018. [Google Scholar] [CrossRef]
- Wang, J.; Sun, H.; Ren, B.; Yin, J. Application of staged sand filling fracturing technology in horizontal shale oil wells with deformed casings. Pet. Drill. Tech. 2021, 49, 139–142. [Google Scholar]
- Zhang, H. Hydraulic shaping technology of deformed casing after fracturing in horizontal shale oil wells. Pet. Drill. Tech. 2023, 51, 173–178. [Google Scholar]












| Type of Evaluation | Item | Index | Application | |
|---|---|---|---|---|
| Static | Initial slip of fracture zone (fault + stress) | Verification of casing deformation prior to fracturing; Division of risk section prior to fracturing. | ||
| Dynamic | Communication of fracture zone (time + space) | Fault- dominated reservoir | Division of risk section prior to fracturing; Fine design of fracturing parameters. | |
| Matrix- dominated reservoir | ||||
| Value | Magnitude | Stress Mechanism | Failure Mechanism |
|---|---|---|---|
| b < 1 | Large | Compressive stress (reverse fault) | Compression |
| b ≈ 1 | Moderate | Shear stress (strike–slip fault) | Shear |
| b > 1 | Low | Tensile stress (normal fault) | Tension |
| Risk Level of Casing Deformation | Magnitude from Ground Microseismic | Magnitude from Microseismic in Wells | b from Ground Microseismic | b from Ground Microseismic in Wells |
|---|---|---|---|---|
| High | Mw ≥ −0.1 | Mw ≥ −0.46 | b ≤ 1.59 | b ≤ 1.02 |
| Middle | −0.6 < Mw < −0.1 | −1.3 < Mw < −0.46 | 1.59 < b < 1.62 | 1.02 < b < 1.11 |
| Low | Mw ≤ −0.6 | Mw ≤ −1.3 | b ≥ 1.62 | b ≥ 1.11 |
Disclaimer/Publisher’s Note: The statements, opinions and data contained in all publications are solely those of the individual author(s) and contributor(s) and not of MDPI and/or the editor(s). MDPI and/or the editor(s) disclaim responsibility for any injury to people or property resulting from any ideas, methods, instructions or products referred to in the content. |
© 2024 by the authors. Licensee MDPI, Basel, Switzerland. This article is an open access article distributed under the terms and conditions of the Creative Commons Attribution (CC BY) license (https://creativecommons.org/licenses/by/4.0/).
Share and Cite
Zhou, X.; Duan, Y.; Sang, Y.; Zhou, L.; Zeng, B.; Song, Y.; Dong, Y.; Hu, J. Induced Casing Deformation in Hydraulically Fractured Shale Gas Wells: Risk Assessment, Early Warning, and Mitigation. Processes 2024, 12, 2057. https://doi.org/10.3390/pr12092057
Zhou X, Duan Y, Sang Y, Zhou L, Zeng B, Song Y, Dong Y, Hu J. Induced Casing Deformation in Hydraulically Fractured Shale Gas Wells: Risk Assessment, Early Warning, and Mitigation. Processes. 2024; 12(9):2057. https://doi.org/10.3390/pr12092057
Chicago/Turabian StyleZhou, Xiaojin, Yonggang Duan, Yu Sang, Lang Zhou, Bo Zeng, Yi Song, Yan Dong, and Junjie Hu. 2024. "Induced Casing Deformation in Hydraulically Fractured Shale Gas Wells: Risk Assessment, Early Warning, and Mitigation" Processes 12, no. 9: 2057. https://doi.org/10.3390/pr12092057
APA StyleZhou, X., Duan, Y., Sang, Y., Zhou, L., Zeng, B., Song, Y., Dong, Y., & Hu, J. (2024). Induced Casing Deformation in Hydraulically Fractured Shale Gas Wells: Risk Assessment, Early Warning, and Mitigation. Processes, 12(9), 2057. https://doi.org/10.3390/pr12092057

