Hydrodynamic Characteristics of Preloading Spiral Case and Concrete in Turbine Mode with Emphasis on Preloading Clearance
Abstract
1. Introduction
2. Methods of Numerical Calculations
2.1. Governing Equations of the 3D Computational Fluid Dynamics
2.2. Governing Equations of the Fluid–Structure Interaction
2.3. Contact Algorithm
3. Numerical Models of the Pump-Turbine and Plant Concrete
3.1. Numerical Simulation Flowchart
3.2. Pump-Turbine Flow Model
3.3. Preloading Spiral Case Structural Model
3.4. Pump-Turbine and Plant Concrete Structural Model
4. Results and Discussion
4.1. Hydraulic Performance
4.2. Pressure Fluctuation Characteristics
4.3. Effect of Preloading Clearance on Hydrodynamic Structural Performance
4.3.1. Contact Status
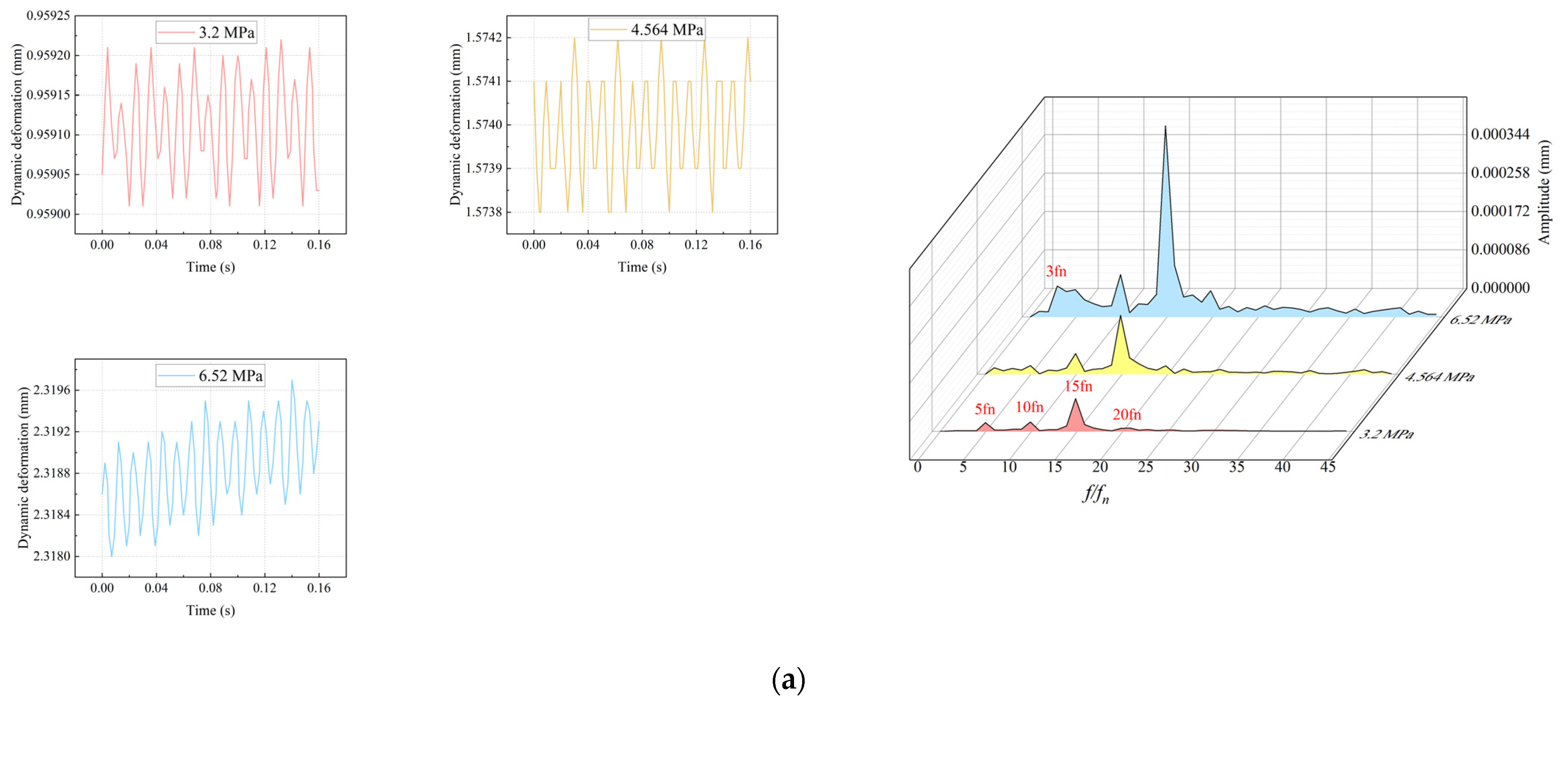
4.3.2. Deformation Characteristics
4.3.3. Stress Characteristics
4.3.4. Study Limitations
- The applicability of this study is limited by the fact that the concrete model does not account for the presence of a steel bar. To better analyze potential locations of structural failure in reinforced concrete, a concrete model that includes steel bars and reinforcement ratios should be established.
- The quantity of the chosen preloading pressure is insufficient for an in-depth analysis of the relationship between preloading and the structural response. In future research, FSI models with a wider range of preloading pressure should be analyzed, such as 0.6, 0.8, and 0.9 of the maximum static head and so on.
5. Conclusions
Author Contributions
Funding
Data Availability Statement
Conflicts of Interest
Abbreviations
| PSSC | preloading steel spiral case |
| FSI | fluid–structure interaction |
| CFD | computational fluid dynamics |
| RSI | rotor–stator interaction |
| RBP | runner blades passing |
| FEM | finite element method |
| RANS | Reynolds-averaged Navier–Stokes |
| SST | shear stress transport |
| ALM | augmented Lagrange method |
| FFT | fast Fourier transformation |
References
- National Energy Administration. Medium and Long Term Development Planning of Pumped Storage (2021–2035); National Energy Administration: Beijing, China, 2021. [Google Scholar]
- Cao, J.; Liu, X.; Zeng, C. Numerical simulation on the flow characteristics of a pump-turbine in load rejection process. J. Phys. Conf. Ser. 2024, 2752, 012091. [Google Scholar] [CrossRef]
- Kuznetsov, N.; Yuldashev, M.; Yuldashev, R. Analytical-numerical analysis of closed-form dynamic model of Sayano-Shushenskaya hydropower plant: Stability, oscillations, and accident. Commun. Nonlinear Sci. Numer. Simul. 2021, 93, 105530. [Google Scholar] [CrossRef]
- Khalfaoui, K.; Zorn, M.; Ségoufin, C.; André, F.; Kerner, J.; Riedelbauch, S. Dynamic stress prediction for a Pump-Turbine in Low-Load Conditions: Experimental validation and phenomenological analysis. Eng. Fail. Anal. 2024, 162, 108428. [Google Scholar] [CrossRef]
- Zanetti, G.; Cavazzini, G.; Santolin, A.; Nascimben, F. Enhancing operational stability of a reversible pump-turbine through blade lean design. J. Energy Storage 2024, 92, 112218. [Google Scholar] [CrossRef]
- Xia, M.; Zhao, W.; Wang, Z.; Qiao, M. Pulsation Stability Analysis of a Prototype Pump-Turbine during Pump Mode Startup: Field Test Observations and Insights. Processes 2024, 12, 838. [Google Scholar] [CrossRef]
- Zhang, Q.-L.; Hu, L.; Gao, X.-F. Fatigue life prediction of steel spiral cases in pumped-storage power plants: Factors to be considered. Eng. Fail. Anal. 2024, 157, 107908. [Google Scholar] [CrossRef]
- Wu, Y.; Su, C.; Xu, H. Study on Optimization of Preloading Water Head of Preloading Filling Spiral Case. J. China Three Gorges Univ. 2019, 41, 9–12. [Google Scholar]
- Qian, J. Analysis of Combined Stress and Structural Reinforcement Design for the Spiral Case and Large Concrete of the Xinjiang Gazi Hydropower Station. Tech. Superv. Water Resour. 2020, 4, 217–220+247. [Google Scholar]
- Zhang, Z.; Wu, H.; Shi, C.; Zhang, Q.; Su, K.; Hu, L. Numerical modeling of preloaded filling spiral case structure. Lat. Am. J. Solids Struct. 2018, 15, e110. [Google Scholar] [CrossRef]
- Yang, F.; Wu, H. Structural Study on the Spiral Case of Large Hydraulic Turbines. Eng. J. Wuhan Univ. 2004, 37, 46–49. [Google Scholar]
- Sun, H.; Wu, H.; Wang, S. Three-dimensional Nonlinear Damage Analysis of Combined Bearing Structure of Spiral Case Keeping Constant Internal Pressure. Eng. J. Wuhan Univ. 2010, 43, 589–592+598. [Google Scholar]
- Wang, H.; Huang, J.; Wang, R. Research on Stress Analysis Method for Periphery Concrete of Steel Spiral Case Keeping Internal Water Pressure. China Rural Water Hydropower 2007, 6, 131–133+136. [Google Scholar]
- Gao, X.; Fu, D.; Wu, H. Embedment of Steel Spiral Cases in Concrete: Lessons from a Structural Deformation Accident in China. Appl. Sci. 2022, 12, 8395. [Google Scholar] [CrossRef]
- Sun, C.; Zhang, P.; Jiang, Z.; Fu, D.; Fei, B. Rationality Analysis of the Preloading Water Head of the Spiral Case in Zhen’an Pumped Storage Power Station. Northwest Hydropower 2022, 5, 98–102. [Google Scholar]
- Rempel, G.I.; Dolgikh, A.P. Stress-Strain Analysis of Turbine Blocks with Steel-Lined Reinforced Concrete Spiral Case of High-Head Hydraulic Power Plants. Power Technol. Eng. 2023, 57, 214–227. [Google Scholar] [CrossRef]
- Todorov, G.; Kralov, I.; Kamberov, K.; Zahariev, E.; Sofronov, Y.; Zlatev, B.N. An Assessment of the Embedding of Francis Turbines for Pumped Hydraulic Energy Storage. Water 2024, 16, 2252. [Google Scholar] [CrossRef]
- Li, Y.; Li, X. Study on Optimization of Pressure-securing Value of Spiral Case with Pressure Secured by Filling Water. Northwest Hydropower 2016, 6, 55–58. [Google Scholar]
- Xu, X.; Ma, Z.; Zhang, H. Simulation algorithm for spiral case structure in hydropower station. Water Sci. Eng. 2013, 6, 230–240. [Google Scholar]
- Fu, D.; Wu, H.; Hu, L. Gap Closing and Contact Transferring Mechanism in Preloading Filling Spiral Case of Hydropower Station. J. Huazhong Univ. Sci. Tech. 2014, 42, 27–32. [Google Scholar]
- Fu, D.; Wu, H.; Shi, C. Study on Contact Behavior and Forced State of Stay Ring for Preloading Filling Spiral Case in Hydropower Station. J. Sichuan Univ. (Eng. Sci. Ed.) 2014, 46, 54–59. [Google Scholar]
- Fu, D.; Wu, H. A New Numerical Simulation Method of Initial Gap between Steel and Concrete after Pressure Relief in Spiral Cases Embedded under Pressurized Conditions. Water Resour. Power 2017, 35, 165–167+216. [Google Scholar]
- Zhang, Z. Force-Transferring Mechanism of Spiral Case and Characteristics of Flow-Induced Vibration of Powerhouse in Hydropower Station; Wuhan University: Wuhan, China, 2019. [Google Scholar]
- Guo, T.; Zhang, L.; Li, S. Research on Three-dimensional Simulation Algorithm of Preloading Filling Spiral Case with Non-uniform Gap. J. Hydraul. Eng. 2015, 46, 1434–1443. [Google Scholar]
- Wei, B.; Wang, F.; Xu, Z.; Jiang, Z. Nonlinear Contact Analysis on the Spiral Case Composite Structure in Pumped Storage Power Station. J. Yangtze River Sci. Res. Inst. 2015, 32, 109–114+118. [Google Scholar]
- Ouyang, J.; Chen, H.; Zhang, C. Analysis on powerhouse vibrations with spiral cases in different embedding manners for large-scale hydropower station. J. Hydroelectr. Eng. 2012, 31, 162–166+174. [Google Scholar]
- Ciocan, G.D.; Iliescu, M.S.; Vu, T.C.; Nennemann, B.; Avellan, F. Experimental Study and Numerical Simulation of the FLINDT Draft Tube Rotating Vortex. J. Fluids Eng. 2006, 129, 146–158. [Google Scholar] [CrossRef]
- Goyal, R.; Cervantes, M.J.; Gandhi, B.K. Characteristics of Synchronous and Asynchronous modes of fluctuations in Francis turbine draft tube during load variation. Int. J. Fluid Mach. Syst. 2017, 10, 164–175. [Google Scholar] [CrossRef]
- Guo, J.; Zhou, D.; Chen, H.; Wang, H. Flow-induced vibration analysis in a pump-turbine runner under transient operating conditions. Eng. Appl. Comput. Fluid Mech. 2023, 17, 2266662. [Google Scholar] [CrossRef]
- Ru, S.; Zhang, S.; Zhou, K.; Huang, X.; Huang, W.; Wang, Z. Numerical Study on the Flow and Structural Characteristics of a Large High Head Prototype Pump-Turbine under Different Operating Conditions. Processes 2023, 11, 2970. [Google Scholar] [CrossRef]
- He, Q.; Huang, X.; Yang, M.; Yang, H.; Bi, H.; Wang, Z. Fluid–Structure Coupling Analysis of the Stationary Structures of a Prototype Pump Turbine during Load Rejection. Energies 2022, 15, 3764. [Google Scholar] [CrossRef]
- Menter, F.; Kuntz, M.; Langtry, R. Ten years of industrial experience with the SST turbulence model. Turbul. Heat Mass Transf. 2003, 4, 625–632. [Google Scholar]
- Trivedi, C.; Cervantes, M.J.; Gandhi, B.K.; Dahlhaug, O.G. Experimental and Numerical Studies for a High Head Francis Turbine at Several Operating Points. J. Fluids Eng. 2013, 135, 11. [Google Scholar] [CrossRef]
- Luo, Y.; Cao, J.; Zhai, L.; Wang, Z. Pressure pulsation and dynamic behavior analysis of an ultra-low head bidirectional rim-generator turbine with special emphasis on the gravity effect. Ocean Eng. 2023, 286, 115524. [Google Scholar] [CrossRef]
- Roache, P.J. Quantification of uncertainty in computational fluid dynamics. Annu. Rev. Fluid Mech. 1997, 29, 123–160. [Google Scholar] [CrossRef]
- Yang, Y.; Wang, H.; Wang, C.; Zhou, L.; Ji, L.; Yang, Y.; Shi, W.; Agarwal, R.K. An entropy efficiency model and its application to energy performance analysis of a multi-stage electric submersible pump. Energy 2024, 288, 129741. [Google Scholar] [CrossRef]
- Ciappi, L.; Stebel, M.; Smolka, J.; Cappietti, L.; Manfrida, G. Analytical and Computational Fluid Dynamics Models of Wells Turbines for Oscillating Water Column Systems. J. Energy Resour. Technol. 2022, 144, 050903. [Google Scholar] [CrossRef]






























| Parameters | Values |
|---|---|
| 306 MW | |
| 354 m | |
| 375 rpm | |
| 4.33 m | |
| 5 long and 5 short | |
| 16 | |
| 16 |
| Elements | Normalized Efficiency | GCI (%) | |
|---|---|---|---|
| 4.55 × 106 | 0.97341 | - | - |
| 7.25 × 106 | 0.97450 | 0.00112 | 0.0345 |
| 8.99 × 106 | 0.97453 | 3.08 × 10−5 | 1.04 × 10−3 |
| CFD | Model Test | Error (%) | |||||||||
|---|---|---|---|---|---|---|---|---|---|---|---|
| Power | Opening (°) | Head (m) | Power (MW) | Massflow (m3/s) | Head (m) | Power (MW) | Massflow (m3/s) | Head | Power | Massflow | Pressure Fluctuation in the Vaneless Space |
| 100% | 24.53 | 354 | 310 | 96.99 | 354 | 306 | 95.97 | 0.00 | 1.31 | 1.06 | 3.23 |
| Steel Structural Component | Concrete | |
|---|---|---|
| Material | HD610CF | C25W6 |
| Density (k·gm−3) | 7850 | 2300 |
| Elastic modulus (MPa) | 2 × 105 | 3 × 104 |
| Poisson’s ratio | 0.3 | 0.18 |
| Tensile Ultimate Strength (MPa) | 610 | 3 |
| Compressive Ultimate Strength (MPa) | 250 | 32.7 |
| Preloading Pressure (MPa) | ) | |
|---|---|---|
| 1 | 3.2 | 0.5 |
| 2 | 4.564 | 0.7 |
| 3 | 6.52 | 1.0 |
Disclaimer/Publisher’s Note: The statements, opinions and data contained in all publications are solely those of the individual author(s) and contributor(s) and not of MDPI and/or the editor(s). MDPI and/or the editor(s) disclaim responsibility for any injury to people or property resulting from any ideas, methods, instructions or products referred to in the content. |
© 2024 by the authors. Licensee MDPI, Basel, Switzerland. This article is an open access article distributed under the terms and conditions of the Creative Commons Attribution (CC BY) license (https://creativecommons.org/licenses/by/4.0/).
Share and Cite
Luo, Y.; Li, Z.; Zhang, S.; Ren, Q.; Wang, Z. Hydrodynamic Characteristics of Preloading Spiral Case and Concrete in Turbine Mode with Emphasis on Preloading Clearance. Processes 2024, 12, 2056. https://doi.org/10.3390/pr12092056
Luo Y, Li Z, Zhang S, Ren Q, Wang Z. Hydrodynamic Characteristics of Preloading Spiral Case and Concrete in Turbine Mode with Emphasis on Preloading Clearance. Processes. 2024; 12(9):2056. https://doi.org/10.3390/pr12092056
Chicago/Turabian StyleLuo, Yutong, Zonghua Li, Shaozheng Zhang, Qingfeng Ren, and Zhengwei Wang. 2024. "Hydrodynamic Characteristics of Preloading Spiral Case and Concrete in Turbine Mode with Emphasis on Preloading Clearance" Processes 12, no. 9: 2056. https://doi.org/10.3390/pr12092056
APA StyleLuo, Y., Li, Z., Zhang, S., Ren, Q., & Wang, Z. (2024). Hydrodynamic Characteristics of Preloading Spiral Case and Concrete in Turbine Mode with Emphasis on Preloading Clearance. Processes, 12(9), 2056. https://doi.org/10.3390/pr12092056

