Plasma Gasification of a Simulated Low-Level Radioactive Waste: Co, Cs, Sr, and Ce Retention Efficiency
Abstract
1. Introduction
2. Materials and Methods
2.1. Experimental Setup
2.2. Sample Preparation
2.3. Plasma Reaction Chamber Operation
2.4. Characterization
3. Results and Discussions
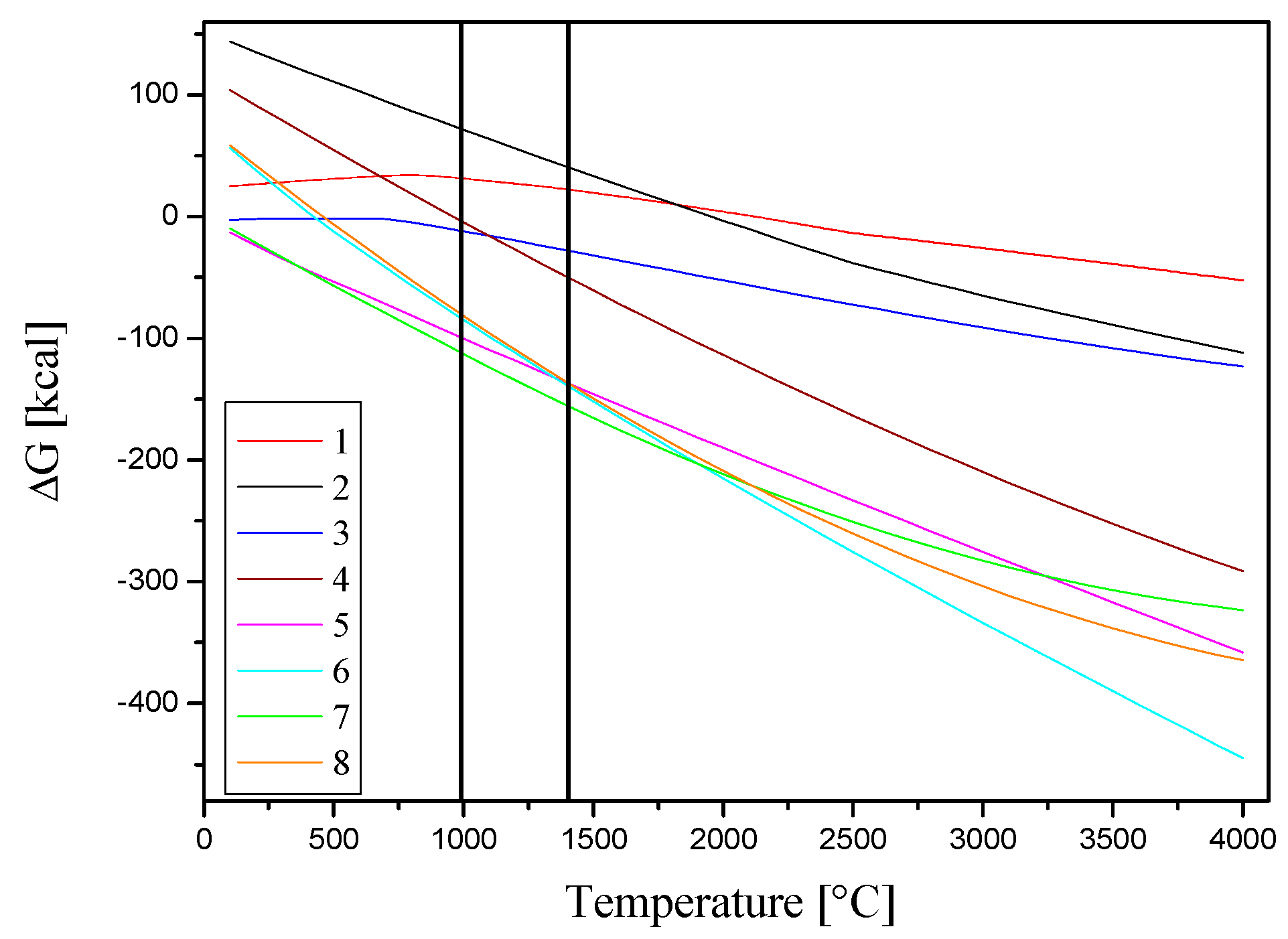
3.1. Reaction Chamber Thermal Excursion
3.2. Thermodynamic Analysis
3.3. Solids Characterization: Samples and Products
- The cold zone of the anode retains CoO formed by the decomposition of the Co3O4 fed and following an oxidation reaction of the Co in the air plasma atmosphere.
- Chlorine from waste materials in the reactor atmosphere reacts with the Cs added as a surrogate to form CsCl, which is deposited on the anode.
- Stainless steel metallic particles present in the simulated waste materials react in the presence of Cl and the oxidizing atmosphere of the reaction volume at high temperatures to favor the formation of CrCl2.
- Chlorine also attacks the copper of the anode to form CuCl, which is undesirable and can have negative effects on its lifespan.
- None of the original salts added as additives to the simulated LLWs was identified by XRD of the ash after plasma treatment.
3.4. Volume Reduction
4. Conclusions
Author Contributions
Funding
Data Availability Statement
Acknowledgments
Conflicts of Interest
References
- Sadekin, S.; Zaman, S.; Mahfuz, M.; Sarkar, R. Nuclear power as foundation of a clean energy future: A review. Energy Procedia 2019, 160, 513–518. [Google Scholar] [CrossRef]
- Brook, B.W.; Alonso, A.; Meneley, A.D.; Misak, J.; Blees, T.; Van Erp, J.B. Why nuclear energy is sustainable and has to be part of the energy mix. Sustain. Mater. Technol. 2014, 1–2, 8–16. [Google Scholar] [CrossRef]
- Xia, F.; Zhao, J.; Cai, J.; Liu, J. Dynamic cost analysis for disposal of low and intermediate level nuclear waste in China. Ann. Nucl. Energy 2021, 154, 108097. [Google Scholar] [CrossRef]
- Lee, W.E.; Ojovan, M.I. Fundamentals of radioactive waste (RAW): Science, sources, classification and management strategies. In Radioactive Waste Management and Contaminated Site Clean-Up, 2nd ed.; Lee, W.E., Ojovan, M.I., Jantzen, C.M., Eds.; Elsevier: Vienna, Austria, 2013; pp. 3–50. [Google Scholar]
- International Atomic Energy Agency. Predisposal Management of Radioactive Waste from Nuclear Fuel Cycle Facilities, 1st ed.; International Atomic Energy Agency: Vienna, Austria, 2016. [Google Scholar]
- International Atomic Energy Agency. Predisposal Management of Low and Intermediate Level Radioactive Waste, 1st ed.; International Atomic Energy Agency: Vienna, Austria, 2003. [Google Scholar]
- International Atomic Energy Agency. Classification of Radioactive Waste, 1st ed.; International Atomic Energy Agency: Vienna, Austria, 2009. [Google Scholar]
- Ojovan, M.I.; Lee, W.E.; Kalmykov, S.N. An Introduction to Nuclear Waste Immobilisation, 3rd ed.; Elsevier: Vienna, Austria, 2019. [Google Scholar]
- Chon, J.K.; Beaudoin, V.; Pitcher, C.S. Conceptual design of volume reduction system for ITER low level radioactive waste. Fusion Eng. Des. 2016, 109–111, 1001–1004. [Google Scholar] [CrossRef]
- Takai, M.; Aoyama, M.; Nakazawa, O.; Fukumoto, M.; Suto, O. Steam reforming: Alternative pyrolytic technology to incineration for volume reduction and stabilization of low-level radioactive organic liquid wastes. J. Phys. Chem. Solids 2005, 66, 694–696. [Google Scholar] [CrossRef]
- Valdovinos, V.; Monroy-Guzman, F.; Bustos, E.D. Treatment Methods for Radioactive Wastes and Its Electrochemical Applicactions. In Environmental Risk Assessment of Soil Contamination, 1st ed.; Soriano Hernandez, M.C., Ed.; IntechOpen: Mexico, Mexico, 2014; pp. 1–30. [Google Scholar]
- Lorenzen, J.; Lindberg, M.; Lövstrand, J. Handling and treatment of uranium contaminated combustible radioactive low level waste (LLW). In Proceedings of the Waste Management 2002 Symposium, Tucson, AZ, USA, 24–28 February 2002. [Google Scholar]
- National Research Council. The Impact of Low-Level Radioactive Waste Management Policy on Biomedical Research in the United States, 3rd ed.; National Research Council: Washington, DC, USA, 2001. [Google Scholar]
- Yeong, C.; Cheng, M.; NG, K. Therapeutic radionuclides in nuclear medicine: Current and future prospects. J. Zhejiang Univ. SCIENCE B (Biomed. Biotechnol.) 2014, 15, 845–863. [Google Scholar] [CrossRef] [PubMed]
- Nieminen, M.; Olin, M.; Laatikainen-Luntama, J.; Wickham, S.M.; Doudou, S.; Fuller, A.J.; Kent, J.; Fournier, M.; Clarke, S.; Scales, C.; et al. Thermal treatment for radioactive waste minimisation. EPJ Nucl. Sci. Technol. 2020, 6, 25. [Google Scholar] [CrossRef]
- Hansen, J.; Deckers, J. Pyrolysis of Radioactive Spent Resins in the PRIME Installation. Thermal treatment of radioactive waste, Arizona, United States, 7 July 2021. IOP Conf. Ser. Mater. Sci. Eng. 2020, 818, 012008. [Google Scholar] [CrossRef]
- Nieminen, M.; Laatikainen-Luntama, J.; Olin, M. Gasification-based thermal treatment of Low and Intermediate Level Waste containing organic matter. Thermal treatment of radioactive waste, Arizona, United States, 1 April 2020. IOP Conf. Ser. Mater. Sci. Eng. 2020, 818, 012007. [Google Scholar] [CrossRef]
- International Atomic Energy Agency. Status of Technology for Volume Reduction and Treatment of Low and Intermediate Level Solid Radioactive Waste, 1st ed.; International Atomic Energy Agency: Vienna, Austria, 1994. [Google Scholar]
- International Atomic Energy Agency. Application of Thermal Technologies for Processing of Radioactive Waste, 1st ed.; International Atomic Energy Agency: Vienna, Austria, 2006. [Google Scholar]
- Gomez, E.; Amutha Rani, D.; Cheesemanb, C.R.; Deeganc, D.; Wisec, M.; Boccaccini, A.R. Thermal plasma technology for the treatment of wastes: A critical review. J. Hazard. Mater. 2009, 161, 614–625. [Google Scholar] [CrossRef]
- Prado, E.S.P.; Miranda, F.S.; Araujo, L.G.; Petraconi, G.; Baldan, M.R.; Essiptchouk, A.; Potiens, A.J. Experimental study on treatment of simulated radioactive waste by thermal plasma: Temporal evaluation of stable Co and Cs. Ann. Nucl. Energy 2021, 160, 108433. [Google Scholar] [CrossRef]
- Yang, H.C.; Eun, H.C.; Lee, D.G.; Oh, W.Z.; Lee, K.W. Behavior of Radioactive Elements during Thermal Treatment of Nuclear Graphite Waste Thermodynamic Model Analysis. J. Nucl. Sci. Technol. 2005, 42, 869–876. [Google Scholar] [CrossRef]
- Yasui, S.; Adachi, K.; Amakawa, T. Vaporization behavior of Cs in plasma melting of simulated low level miscellaneous solid wastes. Jpn. J. Appl. Phys. 1997, 36, 5741–5746. [Google Scholar] [CrossRef]
- Yoon, I.H.; Choi, W.K.; Lee, S.C.; Min, B.Y.; Yang, H.C.; Lee, K.W. Volatility and leachability of heavy metals and radionuclides in thermally treated HEPA filter media generated from nuclear facilities. J. Hazard. Mater. 2012, 219–220, 240–246. [Google Scholar] [CrossRef] [PubMed]
- Wang, H.W.; Chen, M.Q.; Fu, K.; Wei, S.H.; Zhong, X.B. Evaluation on migration and transformation of trace nuclides in thermal degradation for low-level radioactive waste. J. Anal. Appl. Pyrolysis 2022, 161, 105420. [Google Scholar] [CrossRef]
- Lemont, F.; Hugues, S. The Plasma Technology: One Way to Improve the Nuclear Wastes Processing. High Temp. Mater. Process. Spec. Issue 2008, 27, 375–382. [Google Scholar] [CrossRef]
- Rosales, J.; Van Rooyen, I.J.; Parga, C.J. Characterizing surrogates to develop an additive manufacturing process for U3Si2 nuclear fuel. J. Nucl. Mater. 2019, 518, 117–128. [Google Scholar] [CrossRef]
- Stockdale, J.A.D.; Bostick, W.D.; Hoffmann, D.P.; Lee, H.T. Surrogate Formulations for Thermal Treatment of Low-Level Mixed Waste. Part 1: Radiological Surrogates, 1st ed.; Oak Ridge Associated Universities, Inc.: Washington, DC, USA, 1994. [Google Scholar]
- Bostick, W.D.; Hoffmann, D.P.; Chiang, J.M.; Hermes, W.H.; Gibson, L.V.; Richmond, A.A.; Mayberry, J.; Frazier, G. Surrogate Formulations for Thermal Treatment of Low-Level Mixed Waste. Part 2: Selected Mixed Waste Treatment Project Waste Streams, 1st ed.; Oak Ridge Associated Universities, Inc.: Washington, DC, USA, 1994. [Google Scholar]
- Yang, H.C.; Lee, J.H.; Kim, J.G.; Yoo, J.H.; Kim, J.H. Behavior of radioactive metal surrogates under various waste combustion conditions. J. Korean Nucl. Soc. 2002, 34, 80–89. [Google Scholar]
- Gorbunov, V. Thermal Methods of Radioactive Waste Treatment; SIA Radon: Moscow, Russia, 2017. [Google Scholar]
- Ojovan, M.I. Handbook of Advanced Radioactive Waste Conditioning Technologies, 3rd ed.; Elsevier: Cambridge, UK, 2011; pp. 43–46. [Google Scholar]
- Roine, A. HSC Chemistry 7.0 User’s Guide Chemical Reaction and Equilibrium Modules, 7th ed.; Metso: Helsinki, Finland, 2009; pp. 10-1–10-9. [Google Scholar]
- Sasaki, S.; Fujino, K.; Takeuchi, Y. X-Ray Determination of Electron-Density Distributions in Oxides, MgO, MnO, CoO, and NiO, and Atomic Scattering Factors of their Constituent Atoms. Proc. Jpn. Acad. 1979, 55, 43–48. [Google Scholar] [CrossRef]
- Howard, E.S.; Ruth, K.F. Standard X-Ray Diffraction Powder Patterns Vol II—Data for 30 Inorganic Substances, 1st ed.; National Institute of Standards and Technology: Gaithersburg, MD, USA, 1953; pp. 44–45. [Google Scholar]
- Cable, J.W.; Wilkinson, M.K.; Wollan, E.O. Neutron Diffraction Studies of Antiferromagnetism in CrF2 and CrCl2. Phys. Rev. 1960, 118, 950–955. [Google Scholar] [CrossRef]
- Vegard, L.; Skofteland, G. Röntgenometrische Untersuchungen der aus den Substanzen CuCl, CuBr und CuJ gebildeten binären Mischkristallsysteme. Arch. Math. Naturvidensk 1942, 45, 163. [Google Scholar]
- Wolcyrz, M.; Kepinski, L. Rietveld refinement of the structure of CeOCl formed in Pd/CeO2 catalyst: Notes on the existence of a stabilized tetragonal phase of La2O3 in La-Pd-O system. J. Solid State Chem. 1992, 99, 409–413. [Google Scholar] [CrossRef]
- Grier, D.; McCarthy, G. ICDD Grant-in-Aid 1991. Powder Diffraction File, International Center for Diffraction Data; North Dakota State University: Fargo, ND, USA, 1994. [Google Scholar]
- Pullao, J.A.; Benedetto, F.E.; Coradini, I.P.; Neira, L.P. Plasma Treatment of a Simulated Low-Level Radioactive Waste. In Proceedings of the International Conference on the Safety of Radioactive Waste Management, Decommissioning, Environmental Protection and Remediation: Ensuring Safety and Enabling Sustainability, Viena, Austria, 6–10 November 2023. [Google Scholar]












| Original Materials | % w/w | Simulant | Mass per 25 g of Sample [g] |
|---|---|---|---|
| Paper | 70 | Paper | 17.5 |
| Plastic | 12 | Plastic containers | 3 |
| Cloth | 9 | Cloth (cotton) | 2.25 |
| Gloves | 5 | Nitrile gloves | 1.25 |
| Metal | 4 | Stainless steel shavings | 1 |
| Element | Paper | Plastic | Gloves [% w/w] | Cloth | Metal | Glass |
|---|---|---|---|---|---|---|
| [% w/w] | [% w/w] | [% w/w] | [% w/w] | [% w/w] | ||
| C | 57.3 | 92.6 | 69.6 | 52.8 | 14.1 | - |
| O | 40.5 | 6.6 | 15.6 | 45.7 | 2.2 | 47.6 |
| Mg | - | - | - | - | - | 0.8 |
| Na | 0.3 | 0.1 | 0.4 | - | - | 10.3 |
| Al | 0.3 | 0.2 | 0.2 | - | 0.2 | 0.7 |
| Si | 0.4 | 0.3 | 0.2 | 0.3 | 0.5 | 33.8 |
| S | - | - | 2.0 | 0.8 | - | - |
| Cl | - | - | 7.1 | - | - | - |
| K | - | - | 0.5 | - | - | 0.3 |
| Ca | 1.1 | 0.2 | 2.5 | 0.6 | 0.2 | 6.7 |
| Cr | - | - | - | - | 16.4 | - |
| Ti | - | - | 0.7 | - | - | - |
| Fe | - | - | - | - | 59.6 | 0.3 |
| Ni | - | - | - | - | 6.8 | - |
| Zn | - | - | 0.9 | - | - | - |
| Composition (% w/w) | |||
|---|---|---|---|
| Element | Nominal (Simulated Waste + Glass + Surrogates before Plasma Treatment) | Bulk Glass (Slag Product) | Ashes (Powder Product) |
| C | 22.7 | 5.6 | 34.7 |
| O | 41.6 | 47.2 | 21 |
| Mg | 0.5 | 0.4 | 0.2 |
| Na | 6.3 | 8.4 | 0 |
| Al | 0.5 | 1.7 | 1.0 |
| Si | 20.6 | 26.2 | 4.2 |
| S | 0.1 | 0 | 0.2 |
| Cl | 0.1 | 0 | 0.3 |
| K | 0.2 | 0.4 | 0.1 |
| Ca | 4.4 | 6.8 | 2.8 |
| Cr | 0.2 | 0.2 | 0 |
| Ti | 0.0 | 0.1 | 0 |
| Fe | 1.1 | 0.6 | 0.2 |
| Ni | 0.1 | 0 | 0 |
| Zn | 0 | 0 | 0.2 |
| Co | 0.9 | 1.1 | 7.1 |
| Cs | 0.3 | 0.2 | 5.8 |
| Sr | 0.3 | 0.6 | 1.4 |
| Ce | 0.3 | 0.4 | 1.5 |
| Cu | 0.0 | 0.2 | 19.3 |
| Other Colored Remaining Wastes Recovered after the Experiment [% w/w] | |||||
|---|---|---|---|---|---|
| Element | V1 | V2 | V3 | V4 | S |
| (Red) | (Blue) | (Grey) | (Turquoise) | ||
| C | 10.3 | 9.5 | 9.0 | - | 25.2 |
| O | 44.8 | 48.9 | 37.2 | 48.4 | 15.8 |
| Si | 28.9 | 26.8 | 19.4 | 38.6 | 0.5 |
| Cl | - | - | - | - | 7.3 |
| Ca | 5.5 | 3.7 | 8.0 | 4.4 | 2.1 |
| Cu | 2.0 | 0.8 | 12.7 | 1.7 | 6.7 |
| Na | 6.5 | 6.6 | 4.8 | 5.1 | 1.2 |
| Mg | 0.3 | 0.2 | 0.3 | - | - |
| Al | 1.1 | 1.4 | 0.7 | 1.0 | 0.5 |
| Ti | - | - | - | - | |
| Cr | - | 0.1 | - | - | 1.4 |
| Pb | - | - | - | - | - |
| Co | - | 0.6 | 3.5 | - | 3.4 |
| Cs | - | 0.4 | 0.7 | - | 33.7 |
| Ce | - | - | 0.4 | - | 0.6 |
| Sr | - | - | 1.3 | - | - |
| Fe | 0.2 | 0.6 | 0.2 | 0.5 | 0.1 |
| Zn | - | - | - | - | 0.3 |
| S | - | - | - | - | 0.4 |
| K | 0.3 | 0.3 | 0 | 0.3 | 0.5 |
Disclaimer/Publisher’s Note: The statements, opinions and data contained in all publications are solely those of the individual author(s) and contributor(s) and not of MDPI and/or the editor(s). MDPI and/or the editor(s) disclaim responsibility for any injury to people or property resulting from any ideas, methods, instructions or products referred to in the content. |
© 2024 by the authors. Licensee MDPI, Basel, Switzerland. This article is an open access article distributed under the terms and conditions of the Creative Commons Attribution (CC BY) license (https://creativecommons.org/licenses/by/4.0/).
Share and Cite
Pullao, J.A.; Benedetto, F.E.; Binetti Basterrechea, G.F.; Neira Poblete, L.A.; Lago, D.C.; Prado, M.O. Plasma Gasification of a Simulated Low-Level Radioactive Waste: Co, Cs, Sr, and Ce Retention Efficiency. Processes 2024, 12, 1919. https://doi.org/10.3390/pr12091919
Pullao JA, Benedetto FE, Binetti Basterrechea GF, Neira Poblete LA, Lago DC, Prado MO. Plasma Gasification of a Simulated Low-Level Radioactive Waste: Co, Cs, Sr, and Ce Retention Efficiency. Processes. 2024; 12(9):1919. https://doi.org/10.3390/pr12091919
Chicago/Turabian StylePullao, Juan Ariel, Franco Emmanuel Benedetto, Gian Franco Binetti Basterrechea, Leonardo Andrés Neira Poblete, Diana Carolina Lago, and Miguel Oscar Prado. 2024. "Plasma Gasification of a Simulated Low-Level Radioactive Waste: Co, Cs, Sr, and Ce Retention Efficiency" Processes 12, no. 9: 1919. https://doi.org/10.3390/pr12091919
APA StylePullao, J. A., Benedetto, F. E., Binetti Basterrechea, G. F., Neira Poblete, L. A., Lago, D. C., & Prado, M. O. (2024). Plasma Gasification of a Simulated Low-Level Radioactive Waste: Co, Cs, Sr, and Ce Retention Efficiency. Processes, 12(9), 1919. https://doi.org/10.3390/pr12091919

