Study on Removal of Nitrogen-Containing Heterocyclic Compounds Contained in Crude Methylnaphthalene Oil by Formamide Extraction
Abstract
1. Introduction
2. Experimental Section
2.1. Material
2.2. Method
2.3. Material Systems and Conditions
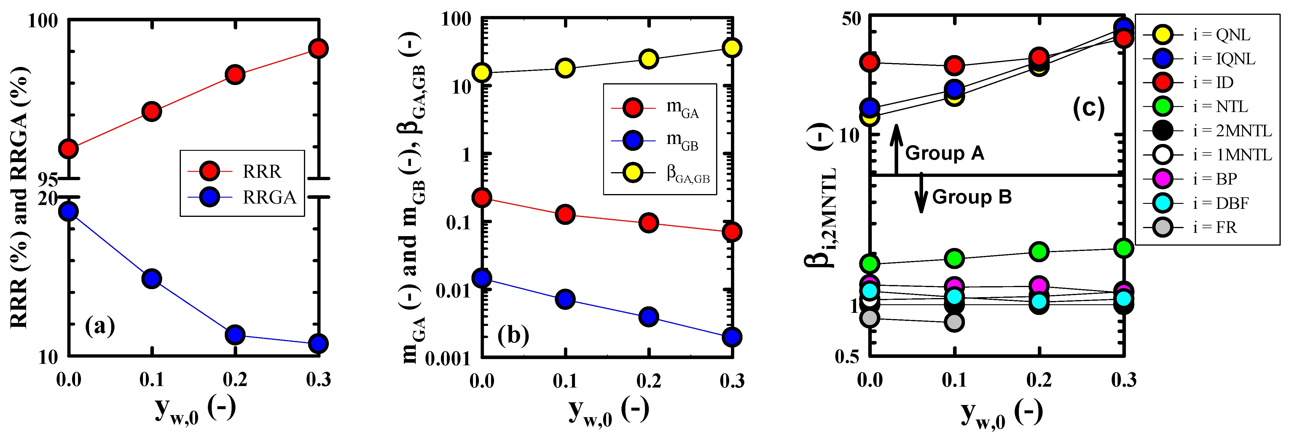
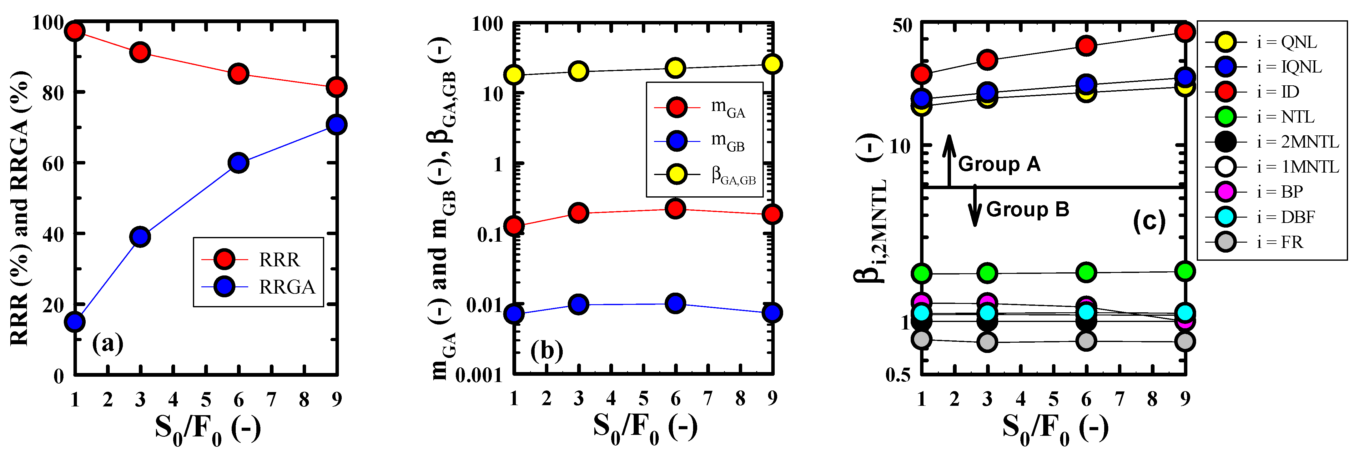
3. Results and Discussions
3.1. Gas Chromatogram of CMNO
3.2. Checking of Time to Reach Equilibrium
3.3. Definition of Equations
3.4. Removal Performance of Group A
4. Conclusions
Funding
Data Availability Statement
Conflicts of Interest
References
- Sakanishi, K.; Obata, H.; Mochida, I.; Sakaki, T. Removal and recovery of quinoline bases from methylnaphthalene oil in a semicontinuous supercritical CO2 separation apparatus with a fixed bed of supported aluminum sulfate. Ind. Eng. Chem. Res. 1995, 34, 4118–4124. [Google Scholar] [CrossRef]
- Lobovich, D.V.; Zinov’eva, I.V.; Milevskii, N.A.; Kostanyan, A.E.; Zakhodyaeva, Y.A.; Voshkin, A.A. Extraction kinetics of pyridine, quinoline, and indole from the organic phase with natural deep eutectic solvents and separation study using a centrifugal extractor. Processes 2024, 12, 488. [Google Scholar] [CrossRef]
- Kim, S.J. Upgrading of wash oil through reduction of nitrogen-containing compounds. Processes 2021, 9, 1869. [Google Scholar] [CrossRef]
- Sakanishi, K.; Obata, H.; Mochida, I.; Sakaki, T. Capture and recovery of indole from methylnaphthalene oil in a continuous supercritical CO2 extraction apparatus over a fixed bed of anion-exchange resin. Ind. Eng. Chem. Res. 1996, 35, 335–337. [Google Scholar] [CrossRef]
- Mindt, M.; Beyraghdar Kashkooli, A.; Suarez-Diez, M.; Ferrer, L.; Jilg, T.; Bosch, D.; Martins dos Santos, V.; Wendisch, V.F.; Cankar, K. Production of indole by corynebacterium glutamicum microbial cell factories for flavor and fragrance applications. Microb. Cell Factories 2022, 21, 45. [Google Scholar] [CrossRef] [PubMed]
- Rogošić, M.; Kučan, K.Z. Deep eutectic solvents based on choline chloride and ethylene glycol as media for extractive denitrification/desulfurization/dearomatization of motor fuels. J. Ind. Eng. Chem. 2019, 72, 87–99. [Google Scholar] [CrossRef]
- Kim, S.J. Comparison of methanol with formamide on separation of mitrogen heterocyclic compounds from medel coal tar fraction by batch concurrent multistage equilibrium extraction. Polycycl. Aromat. Compd. 2016, 36, 745–757. [Google Scholar]
- Mamoru, Y.; Tomonori, K. Separation and purification of indole from coal tar by supercritical fluid extraction. J. Chem. Eng. Jpn. 1993, 26, 153–158. [Google Scholar]
- Xiao, R.H.; Gao, W.H. Study on the recovery of indole from coal tar wash oil. Coal Convers. 1998, 21, 59–61. [Google Scholar]
- Mochida, I.; Fei, Y.Q.; Sakanishi, K. Capture and recovery of basic nitrogen species in coal tar pitch, using nickel sulfate as adsorbent. Chem. Lett. 1990, 19, 515–518. [Google Scholar] [CrossRef]
- Feng, X.; Ma, X.; Li, N.; Shang, C.; Yang, X.; Chen, X.D. Adsorption of quinoline from liquid hydrocarbons on graphite oxide and activated carbons. RSC Adv. 2015, 5, 74684–74691. [Google Scholar] [CrossRef]
- Koriakin, A.; Ponvel, K.M.; Lee, C.H. Denitrogenation of raw diesel fuel by lithium-modified mesoporous silica. Chem. Eng. J. 2010, 162, 649–655. [Google Scholar] [CrossRef]
- Gao, P.; Zhang, J.; Guo, Z.; Gao, J.; Xu, D.; Ma, Y.; Zhang, L.; Wang, Y. Experimental and quantum chemical calculations investigations of morpholine-based ionic liquids as extractants for efficient extraction of nitrogen heterocyclic neutral compounds. Fuel 2023, 333, 126446. [Google Scholar] [CrossRef]
- Ji, Y.; Hou, Y.; Ren, S.; Wu, W. Highly efficient separation of indole from model wash oil using tetraethyl ammonium amino acid ionic liquids. Sep. Purif. Technol. 2021, 258, 117997. [Google Scholar] [CrossRef]
- Liu, Q.; Zhang, T.; Gao, P.; Gao, J.; Xu, D.; Zhao, P.; Zhang, L.; Wang, Y. Separation of indole by designed ionic liquids with dual functional chemical sites: Mechanism exploration and experimental validation. J. Environ. Chem. Eng. 2021, 9, 105971. [Google Scholar] [CrossRef]
- Gao, P.; Yang, L.; Wang, J.; Gao, J.; Xu, D.; Ma, L.; Zhang, L.; Wang, Y. Integrated investigation for extractive denitrogenation of fuel oils with eco-friendly piperazine-based ionic liquids. Fuel 2023, 337, 127187. [Google Scholar] [CrossRef]
- Uemasu, I. Effect of methanol-water mixture solvent on concentration of indole in coal tar using β-cyclodextrin as complexing agent. J. Jpn. Pet. Inst. 1991, 34, 371–374. [Google Scholar] [CrossRef][Green Version]
- Uemasu, I.; Nakayama, T. Concentration of indole in coal tar using α-cyclodextrin as the host for inclusion complexation. J. Incl. Phenom. Mol. Recognit. Chem. 1989, 7, 327–331. [Google Scholar] [CrossRef]
- Ukegawa, K.; Matsumura, A.; Kodera, Y.; Kondo, T.; Nakayama, T.; Tanabe, H.; Yoshida, S.; Mito, Y. Solvent extraction of nitrogen compounds from a coal tar fraction. (Part 1). Effect of extraction conditions on the extraction rate and the selectivities of nitrogen compounds. J. Jpn. Pet. Inst. 1990, 33, 250–254. [Google Scholar] [CrossRef][Green Version]
- Feng, Y.; Yang, E.; Dang, L.; Wei, H. Liquid–liquid phase equilibrium for ternary mixtures of formamide (or ethylene glycol, or monoethanolamine) + indole + 2-methylnaphthalene at 308.15 K. Fluid Phase Equilibria 2015, 398, 10–14. [Google Scholar] [CrossRef]
- Egashira, R.; Nagai, M. Separation of nitrogen heterocyclic compounds contained in coal tar absorption oil fraction by solvent extraction. J. Jpn. Pet. Inst. 2000, 43, 339–345. [Google Scholar] [CrossRef][Green Version]
- Kim, S.J.; Chun, Y.J. Separation of nitrogen heterocyclic compounds from model coal tar fraction by solvent extraction. Sep. Sci. Technol. 2005, 40, 2095–2109. [Google Scholar]
- Kodera, Y.; Ukegawa, K.; Mito, Y.; Komoto, M.; Ishikawa, E.; Nakayama, T. Solvent extraction of nitrogen compounds from coal liquids. Fuel 1991, 70, 765–769. [Google Scholar] [CrossRef]
- Kim, S.J. Separation and purification of indole in model coal tar fraction of 9 compounds system. Polycycl. Aromat. Compd. 2019, 39, 60–72. [Google Scholar] [CrossRef]
- Kim, S.J. Experimental study on enrichment of indole in wash oil by a combined process of extraction and re-Extraction. Processes 2023, 11, 3097. [Google Scholar] [CrossRef]




| Gas Chromatograph | HP 6890 (Hewlett Packard Co., Houston, TX, USA) |
|---|---|
| Column (19091Z-416) | Capillary column HP-1 |
| length (m) | 60 |
| inner diameter (mm) | 0.32 |
| film (µm) | 0.25 |
| Carrier gas | N2 |
| split ratio (-) | 0.025 |
| the flow rate in column (mL/min) | 1 |
| Sample volume (µL) | 1 |
| Injection temperature (K) | 523 |
| Column temperature (K) | 383–593 |
| increasing rate (K/min) | 0 (0–3 min) |
| 5 (383–523 K) | |
| 14 (523–593 K) | |
| Detector temperature (K) | 593 |
| System | |
| Feed crude methylnaphthalene oil (CMNO) | |
| Solvent formamide, the mixture of formamide and water (MFW) | |
| Experimental conditions | |
| Liquid-liquid contacting time, t (h) | 24–96 |
| Operating temperature, T (K) | 277–343 |
| Volume of total liquid (ml) | 400 |
| Volume fraction of water to solvent before extraction run, yw,0 (-) | 0–0.3 |
| Volume fraction of solvent to feed before extraction run, S0/F0 (-) | 1–9 |
| Compound | Composition (wt%) | ||
|---|---|---|---|
| Group A | Heterocyclic Nitrogen Compounds (NCHCs) | Quinoline (QNL, C9H7N) | 6.72 |
| Iso-quinoline (IQNL, C9H7N) | 4.15 | ||
| Indole (ID, C8H7N) | 4.36 | ||
| Group B | Non-Heterocyclic Nitrogen Compounds (Non-NCHCs) | Naphthalene (NTL, C10H8) | 2.88 |
| 2-Methylnaphthalene (2MNTL, C11H10) | 38.93 | ||
| 1-Methylnaphthalene (1MNTL, C11H10) | 15.11 | ||
| Biphenyl (BP, C12H10) | 8.03 | ||
| Dibenzofuran (DBF, C12H8O) | 1.92 | ||
| Fluorene (FR, C13H10) | 1.13 | ||
| Others | 16.77 | ||
Disclaimer/Publisher’s Note: The statements, opinions and data contained in all publications are solely those of the individual author(s) and contributor(s) and not of MDPI and/or the editor(s). MDPI and/or the editor(s) disclaim responsibility for any injury to people or property resulting from any ideas, methods, instructions or products referred to in the content. |
© 2024 by the author. Licensee MDPI, Basel, Switzerland. This article is an open access article distributed under the terms and conditions of the Creative Commons Attribution (CC BY) license (https://creativecommons.org/licenses/by/4.0/).
Share and Cite
Kim, S.J. Study on Removal of Nitrogen-Containing Heterocyclic Compounds Contained in Crude Methylnaphthalene Oil by Formamide Extraction. Processes 2024, 12, 1550. https://doi.org/10.3390/pr12081550
Kim SJ. Study on Removal of Nitrogen-Containing Heterocyclic Compounds Contained in Crude Methylnaphthalene Oil by Formamide Extraction. Processes. 2024; 12(8):1550. https://doi.org/10.3390/pr12081550
Chicago/Turabian StyleKim, Su Jin. 2024. "Study on Removal of Nitrogen-Containing Heterocyclic Compounds Contained in Crude Methylnaphthalene Oil by Formamide Extraction" Processes 12, no. 8: 1550. https://doi.org/10.3390/pr12081550
APA StyleKim, S. J. (2024). Study on Removal of Nitrogen-Containing Heterocyclic Compounds Contained in Crude Methylnaphthalene Oil by Formamide Extraction. Processes, 12(8), 1550. https://doi.org/10.3390/pr12081550
