Due to scheduled maintenance work on our servers, there may be short service disruptions on this website between 11:00 and 12:00 CEST on March 28th.
Sign in to use this feature.

Years

Between: -

Subjects

remove_circle_outline
remove_circle_outline
remove_circle_outline
remove_circle_outline
remove_circle_outline
remove_circle_outline

Journals

Article Types

Countries / Regions

Search Results (13)

Search Parameters:
Keywords = formamide extraction

Order results
Result details
Results per page
Select all
Export citation of selected articles as:
18 pages, 2044 KB  
Article
Utilization of Organic Solvents for the Recycling of Waste Wooden Railroad Ties
by Željka M. Nikolić, Miloš S. Tošić, Jelena M. Radivojević, Mihajlo Gigov, Milica P. Marčeta Kaninski, Vladimir M. Nikolić and Dragana Z. Živojinović
Molecules 2026, 31(3), 406; https://doi.org/10.3390/molecules31030406 - 24 Jan 2026
Viewed by 478
Abstract
Wooden waste railroad ties preserved with coal tar creosote oil represent a specific source of polluting substances. The aim of this study was to investigate and compare extraction capacity due to solvent extraction of fifteen frequently used organic solvents for the purpose of [...] Read more.
Wooden waste railroad ties preserved with coal tar creosote oil represent a specific source of polluting substances. The aim of this study was to investigate and compare extraction capacity due to solvent extraction of fifteen frequently used organic solvents for the purpose of decontamination treatment of waste wooden railroad ties, while recovering wood for reuse. Pure organic solvents, ethanol 96%, propan-2-ol, deionized water, dichloromethane, acetone, n-hexane, mixture n-hexane/acetone (V/V = 1/1), cyclohexane, methanol, N,N-dimethyl formamide, toluene, ethyl acetate, acetonitrile, amyl acetate, medical gasoline, n-pentane and n-butyl acetate were for leaching pollutants from waste railroad ties. The highest extraction capacity was achieved using dichloromethane, where 7.50 to 7.89 wt.% of total sixteen polycyclic aromatic hydrocarbons were extracted from waste railroad tie chips. The most promising solvents for the treatment exhibited extraction efficiency which decreases in a series dichloromethane > n-hexane/acetone > acetone > methanol > ethanol 96% > propan-2-ol > cyclohexane > toluene > n-hexane. Solvent extraction represents a novel approach for treatment of wooden waste railroad ties. The experiments are based on the search for a management process for the treatment of wood waste railroad ties that is simple, low energy consumption, efficient and could potentially be applied for large scale. Full article
(This article belongs to the Section Materials Chemistry)
Show Figures

Graphical abstract

8 pages, 984 KB  
Communication
Study on Removal of Nitrogen-Containing Heterocyclic Compounds Contained in Crude Methylnaphthalene Oil by Formamide Extraction
by Su Jin Kim
Processes 2024, 12(8), 1550; https://doi.org/10.3390/pr12081550 - 25 Jul 2024
Cited by 3 | Viewed by 1252
Abstract
This study examined the effect of experimental factors and conditions on the removal of nitrogen-containing heterocyclic compounds (NCHCs) by performing equilibrium extraction using formamide or formamide aqueous solution as a solvent to remove NCHCs contained in crude methylnaphthalene oil (CMNO). The CMNO used [...] Read more.
This study examined the effect of experimental factors and conditions on the removal of nitrogen-containing heterocyclic compounds (NCHCs) by performing equilibrium extraction using formamide or formamide aqueous solution as a solvent to remove NCHCs contained in crude methylnaphthalene oil (CMNO). The CMNO used as a raw material in this study contained three types of NCHCs (quinoline, isoquinoline, and indole) classified as group A, and six kinds of non-NCHCs (naphthalene, 1-methylnaphthalene, 2-methylnaphthalene, biphenyl, dibenzofuran, and fluorene) classified as group B. Increasing the volume fraction of water to the solvent before the extraction run increased the raffinate residual rate but conversely decreased the removal rate of group A. The increase in the volume fraction of solvent to feed before the extraction run and operating temperature decreased the residual rate of raffinate but conversely increased the removal rate of group A. Over the entire range of extraction conditions performed in this study, the removal rate of group A ranged from 10.8% to 70.7%. Considering that these experimental results were obtained using only a single stage of batch equilibrium extraction, the formamide extraction method applied in this study showed excellent performance in terms of the residual rate of raffinate and the removal rate of group A. Therefore, it was expected to be an alternative to the reaction extraction method using acids and bases applied so far to separate NCHCs in the distillation residue of coal tar. Full article
(This article belongs to the Special Issue 2nd Edition of Innovation in Chemical Plant Design)
Show Figures

Figure 1

23 pages, 7418 KB  
Article
Advanced Optoelectronic Modeling and Optimization of HTL-Free FASnI3/C60 Perovskite Solar Cell Architecture for Superior Performance
by Tariq AlZoubi, Wasan J. Kadhem, Mahmoud Al Gharram, Ghaseb Makhadmeh, Mohamed A. O. Abdelfattah, Abdulsalam Abuelsamen, Ahmad M. AL-Diabat, Osama Abu Noqta, Bojan Lazarevic, Samer H. Zyoud and Bachar Mourched
Nanomaterials 2024, 14(12), 1062; https://doi.org/10.3390/nano14121062 - 20 Jun 2024
Cited by 27 | Viewed by 4420
Abstract
In this study, a novel perovskite solar cell (PSC) architecture is presented that utilizes an HTL-free configuration with formamide tin iodide (FASnI3) as the active layer and fullerene (C60) as the electron transport layer (ETL), which represents a pioneering approach within [...] Read more.
In this study, a novel perovskite solar cell (PSC) architecture is presented that utilizes an HTL-free configuration with formamide tin iodide (FASnI3) as the active layer and fullerene (C60) as the electron transport layer (ETL), which represents a pioneering approach within the field. The elimination of hole transport layers (HTLs) reduces complexity and cost in PSC heterojunction structures, resulting in a simplified and more cost-effective PSC structure. In this context, an HTL-free tin HC(NH2)2SnI3-based PSC was simulated using the solar cell capacitance simulator (SCAPS) within a one-dimensional framework. Through this approach, the device performance of this novel HTL-free FASnI3-based PSC structure was engineered and evaluated. Key performance parameters, including the open-circuit voltage (Voc), short-circuit current density (Jsc), fill factor (FF), power conversion efficiency (PCE), I-V characteristics, and quantum efficiency (QE), were systematically assessed through the modulation of physical parameters across various layers of the device. A preliminary analysis indicated that the HTL-free configuration exhibited improved I-V characteristics, with a PCE increase of 1.93% over the HTL configuration due to improved electron and hole extraction characteristics, reduced current leakage at the back contact, and reduced trap-induced interfacial recombination. An additional boost to the device’s key performance parameters has been achieved through the further optimization of several physical parameters, such as active layer thickness, bulk and interface defects, ETL thickness, carrier concentration, and back-contact materials. For instance, increasing the thickness of the active layer PSC up to 1500 nm revealed enhanced PV performance parameters; however, further increases in thickness have resulted in performance saturation due to an increased rate of hole–electron recombination. Moreover, a comprehensive correlation study has been conducted to determine the optimum thickness and donor doping level for the C60-ETL layer in the range of 10–200 nm and 1012–1019 cm−3, respectively. Optimum device performance was observed at an ETL-C60 ultra-thin thickness of 10 nm and a carrier concentration of 1019 cm−3. To maintain improved PCEs, bulk and interface defects must be less than 1016 cm−3 and 1015 cm−3, respectively. Additional device performance improvement was achieved with a back-contact work function of 5 eV. The optimized HTL-free FASnI3 structure demonstrated exceptional photovoltaic performance with a PCE of 19.63%, Voc of 0.87 V, Jsc of 27.86 mA/cm2, and FF of 81%. These findings highlight the potential for highly efficient photovoltaic (PV) technology solutions based on lead-free perovskite solar cell (PSC) structures that contribute to environmental remediation and cost-effectiveness. Full article
Show Figures

Figure 1

12 pages, 2323 KB  
Article
Experimental Study on Enrichment of Indole in Wash Oil by a Combined Process of Extraction and Re-Extraction
by Su Jin Kim
Processes 2023, 11(11), 3097; https://doi.org/10.3390/pr11113097 - 27 Oct 2023
Cited by 3 | Viewed by 1734
Abstract
Wash oil, one of the by-products of coal tar distillation, contains useful nitrogen heterocyclic compounds (NHC) such as indole (IN), which is used as a raw material for perfume, essential amino acid, and pharmaceuticals. In this study, as a [...] Read more.
Wash oil, one of the by-products of coal tar distillation, contains useful nitrogen heterocyclic compounds (NHC) such as indole (IN), which is used as a raw material for perfume, essential amino acid, and pharmaceuticals. In this study, as a pre-treatment step for purification of IN, which is about 5.75% contained in wash oil, the enrichment of IN in wash oil was examined by combining formamide extraction (FE) and n-hexane re-extraction (HRE). The raw material for the re-extraction was a mixture of the preceding formamide extract phase acquired through batchwise 5-stage co-current extraction trial under fixed FE condition. As the 5-stage FE and HRE progressed, the IN yield based on IN in the wash oil was approximately 73.3%, and the IN concentration in the raffinate oil acquired from the re-extraction run was highly enriched to about 92.4%. In addition, the IN enrichment efficiency of the FE-HRE combined process (FHC) employed in this study was compared with methanol extraction (ME)-hexane re-extraction (HRE) combination (MHC). Full article
Show Figures

Graphical abstract

16 pages, 1265 KB  
Article
Thermodynamic Consideration of the Solid Saponin Extract Drop–Air System
by Adam Grzywaczyk, Wojciech Smułek, Ewa Kaczorek, Anna Zdziennicka and Bronisław Jańczuk
Molecules 2023, 28(13), 4943; https://doi.org/10.3390/molecules28134943 - 23 Jun 2023
Cited by 1 | Viewed by 1555
Abstract
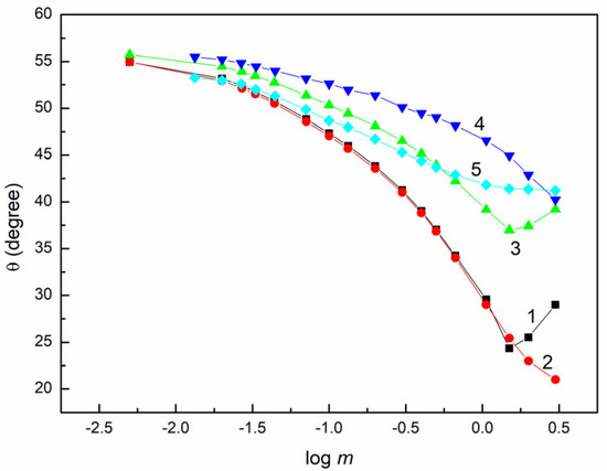
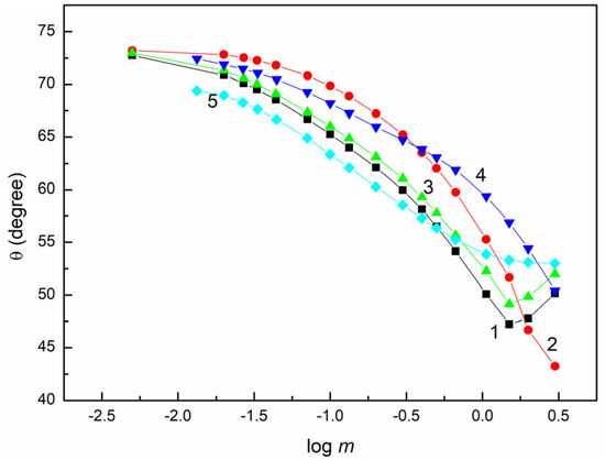
The aim of this research was to elucidate the surface active properties of Saponaria officinalis (soapwort) extract containing the plant surfactants saponins. To this end, the advancing contact angle (θ) of water, formamide and diiodomethane on the glass, as well as [...] Read more.
The aim of this research was to elucidate the surface active properties of Saponaria officinalis (soapwort) extract containing the plant surfactants saponins. To this end, the advancing contact angle (θ) of water, formamide and diiodomethane on the glass, as well as θ of the aqueous solution of S. officinalis extract fractions on PTFE, PMMA and glass, were studied. Based on the obtained results, the wetting behaviour of saponins was considered with regard to the surface tension components and parameters of the solutions and solids. The investigations also involved the description of the θ isotherms, the dependences between the cosine of contact angle and/or the adhesion of the solution to the solid surfaces and solution surface tension, as well as the critical surface tension of PTFE, PMMA and glass wetting. These dependences were studied based on the saponin adsorption at the different interfaces, which was deduced from the dependence between the adhesion and surface tension of the solution, as well as using the Gibbs and Frumkin isotherm equations. This proved that the saponins are poor wetting agents and that the contact angle isotherm can be described by the exponential function of the second order as well as the Szyszkowski equation, but only for PTFE. Full article
Show Figures

Figure 1

16 pages, 4217 KB  
Article
GC-MS/MS Method for Determination of Polycyclic Aromatic Hydrocarbons in Herbal Medicines
by Jwahaeng Park, Kyuyeob Kim, Dayoun Ryu, Jin-Hee Whang and Jae-Hyung Mah
Molecules 2023, 28(9), 3853; https://doi.org/10.3390/molecules28093853 - 2 May 2023
Cited by 15 | Viewed by 7082
Abstract
Polycyclic aromatic hydrocarbons (PAHs) are hydrophobic organic contaminants that have a highly carcinogenic and mutagenic nature. This study aimed to develop and validate a sensitive analytical method to determine 8 PAHs in 51 herbal medicines (HMs) using gas chromatography (GC)-tandem mass spectrometry (MS/MS). [...] Read more.
Polycyclic aromatic hydrocarbons (PAHs) are hydrophobic organic contaminants that have a highly carcinogenic and mutagenic nature. This study aimed to develop and validate a sensitive analytical method to determine 8 PAHs in 51 herbal medicines (HMs) using gas chromatography (GC)-tandem mass spectrometry (MS/MS). Liquid––liquid extraction and florisil SPE cartridge purification were basically adopted for pretreatment. For the samples containing essential oil, starch grain, etc., N,N-dimethyl formamide/water mixture (9:1, v/v) was added in the extraction step. The multiple reaction monitoring (MRM) conditions were newly obtained by the infusion of reference solutions of the targeted compounds at a concentration of 100 ng/mL into the GC-MS/MS system used in this study. The 51 items were classified according to whether or not they contained essential oil. Eight PAHs were not detected in 39 (8.3%) of the 459 samples monitored. The total content of 8 PAHs ranged from 0.45 μg/kg in Anemarrhenae Rhizoma to 270.94 μg/kg in Zingiberis Rhizoma. The average content of those ranged from 0.9 μg/kg in Araliae Continentalis Radix to 110.8 μg/kg in Coptidis Rhizoma Preparata cum Vinum. The results of this study prove that the proposed method is useful for determining 8 PAHs in HMs. Full article
(This article belongs to the Section Food Chemistry)
Show Figures

Figure 1

15 pages, 8261 KB  
Article
Nano Catalysis of Biofuels and Biochemicals from Cotinus coggygria Scop. Wood for Bio-Oil Raw Material
by Xiaochen Yue, Guanyan Li, Xiangmeng Chen, Zhaolin Li, Haiping Gu, Huiling Chen and Wanxi Peng
Polymers 2022, 14(21), 4610; https://doi.org/10.3390/polym14214610 - 30 Oct 2022
Cited by 3 | Viewed by 2369
Abstract
Cotinus coggygria Scop. as a precious landscape shrub and a good afforestation species that is used in the pharmaceutical industry. In this paper, TG-FTIR, TG-DTG, and Py-GC/MS were used to study the biomaterials of Cotinus coggygria used as biofuels and biochemicals under the [...] Read more.
Cotinus coggygria Scop. as a precious landscape shrub and a good afforestation species that is used in the pharmaceutical industry. In this paper, TG-FTIR, TG-DTG, and Py-GC/MS were used to study the biomaterials of Cotinus coggygria used as biofuels and biochemicals under the catalysis of nano-Mo/Fe2O3. The wood powder was extracted using a methanol/benzene solution, and the extract was analyzed by FTIR and GC-MS. The results showed that the pyrolysis products of Cotinus coggygria wood were rich in phenols, alcohols, and biofuels. The metal nano-Mo powder played a catalytic role in the interpretation of the gas in the species, where it accelerates gas products. Metal nano-Fe2O3 has a certain flame-retardant effect on the burning process of Cotinus coggygria wood, and the residual amount of pyrolysis is greater. The contents of the extract Formamide, 1-Hexanol, Levodopa, and 9,12-Octadecadienoic acid (Z,Z)- are not only widely used industrially but also play an important role in medicine. Cotinus coggygria is therefore an excellent biomaterial for biofuels and biochemicals. Full article
Show Figures

Figure 1

9 pages, 2156 KB  
Communication
Upgrading of Wash Oil through Reduction of Nitrogen-Containing Compounds
by Su Jin Kim
Processes 2021, 9(11), 1869; https://doi.org/10.3390/pr9111869 - 20 Oct 2021
Cited by 13 | Viewed by 2391
Abstract
As part of improving the quality of wash oil, the reduction of three kinds of nitrogen-containing compounds (NCs), including quinoline (QU), iso-quinoline (IQU), and indole (IN), found in wash oil was examined by liquid–liquid equilibrium extraction. The wash oil and an aqueous solution [...] Read more.
As part of improving the quality of wash oil, the reduction of three kinds of nitrogen-containing compounds (NCs), including quinoline (QU), iso-quinoline (IQU), and indole (IN), found in wash oil was examined by liquid–liquid equilibrium extraction. The wash oil and an aqueous solution of formamide were used as the raw material and the solvent, respectively. Increasing the volume fraction of water in the solvent in the initial state (yw,0) resulted in a decrease in the distribution coefficients of each NC, while inversely, the selectivity of each NC in reference to 2-methylnaphthalene increased. The selectivity ranges of QU, IQU and IN at yw,0 = 0.05~0.3 were 19~57, 19~56 and 50~79, respectively. Through five stages of equilibrium extraction performed under the condition of yw,0 = 0.05, the concentrations of QU and IQU contained in the raffinate oil recovered at the fifth stage were reduced by about 69% and 65% compared to those contained in the wash oil. The concentration of IN in particular, a useful compound in the chemical industry, which is a raw material for pharmaceuticals, dyes, and fragrances, was reduced by 93.4% through a five-stage extraction operation. The formamide extraction method of this study was highly efficient in reducing the NC present in the wash oil, showing the feasibility of this method. Full article
Show Figures

Figure 1

18 pages, 1728 KB  
Article
Structural Transformation and Creativity Induced by Biological Agents during Fermentation of Edible Nuts from Terminalia catappa
by Oluwatofunmi E. Odutayo, Bose E. Adegboye, Emmanuel A. Omonigbehin, Tolulope D. Olawole, Olubanke O. Ogunlana and Israel S. Afolabi
Molecules 2021, 26(19), 5874; https://doi.org/10.3390/molecules26195874 - 28 Sep 2021
Cited by 7 | Viewed by 4648
Abstract
Terminalia catappa L. (tropical almond) is a nutritious fruit found mainly in the tropics. This study is aimed to establish the naturally biotransformed molecules and identify the probiotic agents facilitating the fermentation. The aqueous extracts from both the unfermented and fermented T. catappa [...] Read more.
Terminalia catappa L. (tropical almond) is a nutritious fruit found mainly in the tropics. This study is aimed to establish the naturally biotransformed molecules and identify the probiotic agents facilitating the fermentation. The aqueous extracts from both the unfermented and fermented T. catappa nuts were subjected to gas chromatography/mass spectrometry (GC/MS) analysis. Syringol (6.03%), glutamine (1.71%), methyl laurate (1.79%), methyl palmitate (1.53%), palmitic acid (5.20%), palmitoleic acid (2.80%), and methyl oleate (2.97%) were detected in the unfermented nuts of the T. catappa. Additionally, two of these natural compounds (palmitic acid (4.19%) and palmitoleic acid (1.48%)) survived the fermentation process to emerge in the fermented seeds. The other natural compounds were biotransformed into 2,3-butanediol (1.81%), butyric acid (16.20%), propane-1,3-diol (19.66%), neoheptanol (2.89%), 2-piperidinone (6.63%), palmitoleic acid (1.18%), formamide, n-(p-hydroxyphenethyl)- (2.80%), and cis-vaccenic acid (1.69%) that newly emerged in the fermented seeds. The phytochemical compounds are likely carbon sources for the organisms facilitating the biotransformed molecules and product production. Four (4) potential probiotic bacteria strains, namely, Probt B1a, Probt B2a, Probt B4a, and Probt B4b, were isolated from the fermented nut. Enterococcus faecum, and Enterococcus faecalis were the organisms identified as driving the fermentation of the seeds. All strains were gram-positive, catalase-negative, and non-hemolytic, which suggests their harmless nature. N-(p-hydroxyphenethyl)-) was associated with fermentation for the first time, and neoheptanol was discovered as the main alcoholic molecule formed during the fermentation of the seeds. This fermentation is a handy tool for bio-transforming compounds in raw food sources into compounds with nutritious and therapeutic potentials. Full article
(This article belongs to the Special Issue New Frontiers in Fermented Products)
Show Figures

Figure 1

16 pages, 9822 KB  
Article
Eco-Friendly Reduced Graphene Oxide Nanofilter Preparation and Application for Iron Removal
by Pankaj Kumar Jha, Watsa Khongnakorn, Chamorn Chawenjkigwanich, Md Shahariar Chowdhury and Kuaanan Techato
Separations 2021, 8(5), 68; https://doi.org/10.3390/separations8050068 - 19 May 2021
Cited by 14 | Viewed by 4148
Abstract
In this paper, the green synthesis of reduced graphene oxide (r-GO) nanomaterials using Callistemon viminalis leaf extract as a reducing and stabilizing agent is reported for the first time. The synthesized r-GO nanomaterials were characterized using UV–Vis, XRD, FE-SEM, TEM, and energy dispersive [...] Read more.
In this paper, the green synthesis of reduced graphene oxide (r-GO) nanomaterials using Callistemon viminalis leaf extract as a reducing and stabilizing agent is reported for the first time. The synthesized r-GO nanomaterials were characterized using UV–Vis, XRD, FE-SEM, TEM, and energy dispersive X-ray (EDX) analyses. The nanofilter membrane was prepared by varying the amounts of r-GO nanomaterials in a Polysulfone-N,N-dimethyl formamide (DMF) solution. The nanofilter membrane was characterized by the contact angle, atomic force microscopy (AFM), UV–Vis, and FTIR. The results confirm the formation of r-GO nanomaterials. Higher amounts of r-GO nanomaterials in the membrane show a lower contact angle, thus confirming their hydrophilic nature. Iron water filtration was performed with different amounts of r-GO nanomaterials in the membrane filter, and the water flux was smooth over an increased time period. Inductively Coupled Plasma (ICP) analysis showed a higher percentage of iron rejection (95.77%) when higher amounts (0.10 g) of r-GO nanomaterials were used in a mixed membrane (i.e., sample C). In conclusion, the findings illustrate that Callistemon viminalis mediates the synthesis of r-GO nanomaterials, which is useful in water filtration, and can be incorporated into membrane filters, since it removes iron. Full article
Show Figures

Figure 1

16 pages, 9485 KB  
Article
Preparation, Characterization and Application of a Molecularly Imprinted Polymer for Selective Recognition of Sulpiride
by Wei Zhang, Xuhui She, Liping Wang, Huajun Fan, Qing Zhou, Xiaowen Huang and James Z. Tang
Materials 2017, 10(5), 475; https://doi.org/10.3390/ma10050475 - 28 Apr 2017
Cited by 57 | Viewed by 7142
Abstract
A novel molecular imprinting polymer (MIP) was prepared by bulk polymerization using sulpiride as the template molecule, itaconic acid (ITA) as the functional monomer and ethylene glycol dimethacrylate (EGDMA) as the crosslinker. The formation of the MIP was determined as the molar ratio [...] Read more.
A novel molecular imprinting polymer (MIP) was prepared by bulk polymerization using sulpiride as the template molecule, itaconic acid (ITA) as the functional monomer and ethylene glycol dimethacrylate (EGDMA) as the crosslinker. The formation of the MIP was determined as the molar ratio of sulpiride-ITA-EGDMA of 1:4:15 by single-factor experiments. The MIP showed good adsorption property with imprinting factor α of 5.36 and maximum adsorption capacity of 61.13 μmol/g, and was characterized by scanning electron microscopy (SEM), Fourier-transform infrared spectroscopy (FT-IR) and surface area analysis. With the structural analogs (amisulpride, tiapride, lidocaine and cisapride) and small molecules containing a mono-functional group (p-toluenesulfonamide, formamide and 1-methylpyrrolidine) as substrates, static adsorption, kinetic adsorption, and rebinding experiments were also performed to investigate the selective adsorption ability, kinetic characteristic, and recognition mechanism of the MIP. A serial study suggested that the highly selective recognition ability of the MIP mainly depended on binding sites provided by N-functional groups of amide and amine. Moreover, the MIP as solid-phase extractant was successfully applied to extraction of sulpiride from the mixed solution (consisted of p-toluenesulfonamide, sulfamethoxazole, sulfanilamide, p-nitroaniline, acetanilide and trimethoprim) and serum sample, and extraction recoveries ranged from 81.57% to 86.63%. The tentative tests of drug release in stimulated intestinal fluid (pH 6.8) demonstrated that the tablet with the MIP–sulpiride could obviously inhibit sulpiride release rate. Thus, ITA-based MIP is an efficient and promising alternative to solid-phase adsorbent for extraction of sulpiride and removal of interferences in biosample analysis, and could be used as a potential carrier for controlled drug release. Full article
(This article belongs to the Special Issue Materials for Drug Delivery and Biomedical Consideration)
Show Figures

Figure 1

17 pages, 11250 KB  
Article
Subereamolline A as a Potent Breast Cancer Migration, Invasion and Proliferation Inhibitor and Bioactive Dibrominated Alkaloids from the Red Sea Sponge Pseudoceratina arabica
by Lamiaa A. Shaala, Diaa T. A. Youssef, Mansour Sulaiman, Fathy A. Behery, Ahmed I. Foudah and Khalid A. El Sayed
Mar. Drugs 2012, 10(11), 2492-2508; https://doi.org/10.3390/md10112492 - 8 Nov 2012
Cited by 48 | Viewed by 9223
Abstract
A new collection of several Red Sea sponges was investigated for the discovery of potential breast cancer migration inhibitors. Extracts of the Verongid sponges Pseudoceratina arabica and Suberea mollis were selected. Bioassay-directed fractionation of both sponges, using the wound-healing assay, resulted into the [...] Read more.
A new collection of several Red Sea sponges was investigated for the discovery of potential breast cancer migration inhibitors. Extracts of the Verongid sponges Pseudoceratina arabica and Suberea mollis were selected. Bioassay-directed fractionation of both sponges, using the wound-healing assay, resulted into the isolation of several new and known brominated alkaloids. Active fractions of the sponge Pseudoceratina arabica afforded five new alkaloids, ceratinines A–E (26), together with the known alkaloids moloka’iamine (1), hydroxymoloka’iamine (7) and moloka’iakitamide (8). The active fraction of the sponge Suberea mollis afforded the three known alkaloids subereamolline A (9), aerothionin (10) and homoaerothionin (11). Ceratinine B (3) possesses an unprecedented 5,7-dibrominated dihydroindole moiety with an epoxy ring on the side chain of a fully substituted aromatic moiety. Ceratinines D (5) and E (6) possess a terminal formamide moiety at the ethylamine side chain. Subereamolline A (9) potently inhibited the migration and invasion of the highly metastatic human breast cancer cells MDA-MB-231 at the nanomolar doses. Subereamolline A and related brominated alkaloids are novel scaffolds appropriate for further future use for the control of metastatic breast cancer. Full article
Show Figures

Graphical abstract

13 pages, 84 KB  
Article
Effect of Extraction Conditions on Measured Total Polyphenol Contents and Antioxidant and Antibacterial Activities of Black Tea
by Nihal Turkmen, Y Sedat Velioglu, Ferda Sari and Gokce Polat
Molecules 2007, 12(3), 484-496; https://doi.org/10.3390/12030484 - 13 Mar 2007
Cited by 184 | Viewed by 22657
Abstract
Black tea was extracted for 2, 8 and 18 h with absolute acetone, N,N-dimethyl-formamide (DMF), ethanol and methanol and their 50% aqueous solutions. The extracts were screened for total polyphenol contents, antioxidant and antibacterial activities. The polyphenol content of the extracts was [...] Read more.
Black tea was extracted for 2, 8 and 18 h with absolute acetone, N,N-dimethyl-formamide (DMF), ethanol and methanol and their 50% aqueous solutions. The extracts were screened for total polyphenol contents, antioxidant and antibacterial activities. The polyphenol content of the extracts was found to be in the range of 0.44-114.01 mg gallic acid equivalents (GAE)/g dry weight tea, depending on the solvent used and the length of the extraction process. In general, aqueous acetone or DMF extracts displayed the highest polyphenol contents and antioxidant activity, while absolute acetone was the least efficient solvent. Antioxidant activities of tea extracts tested using the reducing power and 2,2-diphenyl-1-picryhydrazyl (DPPH) radical methods ranged from 0.09 to 1.18 and from 2.60 to 95.42 %, respectively, depending on the extraction conditions and the antioxidant activities correlated well with the polyphenol concentrations. Aqueous solvent black tea extracts also possessed antibacterial activity, depending on the solvent used and bacterial species tested. Staphylococcus aureus was found to be the most sensitive to all tea extracts, except for the methanol extract. Tea extracts were not effective against Y. enterocolitica, L. monocytogenes and E. coli O157:H7. Full article
(This article belongs to the Special Issue Phenolics and Polyphenolics)
Show Figures

Figure 1

Back to TopTop