Next Article in Journal
Research and Practice on Implementing Segmented Production Technology of Horizontal Well during Extra-High Water Cut Stage with Bottom Water Reservoir
Previous Article in Journal
Towards Reliable Prediction of Performance for Polymer Electrolyte Membrane Fuel Cells via Machine Learning-Integrated Hybrid Numerical Simulations
 
 
Font Type:
Arial Georgia Verdana
Font Size:
Aa Aa Aa
Line Spacing:
Column Width:
Background:
Article

The Influence of Complex Piston Movement on the Output Flow Rate of a Hingeless Bent-Axis Axial Piston Pump

1
Beijing Machinery Industry Automation Research Institute Co., Ltd., Beijing 100120, China
2
China Academay of Machinety Science & Technology, College of Mechanical Engineering, Yanshan University, Qinhuangdao 066004, China
3
Hebei Provincial Key Laboratory of Heavy Machinery Fluid Power Transmission and Control, Qinhuangdao 066004, China
4
National & Local Joint Engineering Research Center for Advanced Manufacture Forming Technology and Equipment, Qinhuangdao 066004, China
5
China Key Laboratory of Advanced Forging & Stamping Technology and Science, Yanshan University, Qinhuangdao 066004, China
*
Author to whom correspondence should be addressed.
Processes 2024, 12(6), 1141; https://doi.org/10.3390/pr12061141
Submission received: 19 April 2024 / Revised: 28 May 2024 / Accepted: 29 May 2024 / Published: 31 May 2024
(This article belongs to the Section Process Control and Monitoring)

Abstract

Wobble-plate axial piston pumps, characterized by the lack of a slipper mechanism, experience reduced leakage in comparison to their swash-plate counterparts, which contributes to their higher volumetric efficiency. Presently, the primary focus of the research conducted by scholars both domestically and internationally is concentrated on wobble-plate axial piston pumps. The performance studies within this field are predominantly focused on investigating flow pulsation. They also investigate pressure pulsation. Additionally, they investigate cavitation phenomena. Research on inclined-axis axial piston pumps has been limited. This study focused on analyzing the operational form of the piston within an inclined-axis axial piston pump. A correction factor k was introduced based on the motion characteristics of the piston. The application of this factor significantly improved the accuracy of the simulations when compared to the experimental results. Specifically, at a load pressure of 10 MPa, the discrepancy between the simulation and the experimental data was reduced from 8.95% to 0.23%. Similarly, at a load pressure of 20 MPa, the error rate was minimized. It was reduced from 9.15% to 0.35%. This demonstrates the effectiveness of the proposed correction factor. The correction factor enhances the predictive accuracy of the pump’s performance. This enhancement is observed under varying load conditions.

1. Introduction

Axial piston pumps, integral as the dynamic components within hydraulic systems, significantly influence the overall performance and longevity of these systems. Presently, axial piston pumps are categorized into two distinct types: swash-plate axial piston pumps and inclined-axis axial piston pumps. Both variants operate based on the principle of piston reciprocation within the cylinder block, which varies the sealed working volume to facilitate the processes of oil intake and discharge. However, they are distinguished by their internal configurations; a swash-plate axial piston pump induces piston reciprocation through the inclination of the swash plate, while an inclined-axis axial piston pump achieves this motion by setting a specific rotational angle for the cylinder block.
Volumetric efficiency, a pivotal parameter indicative of an axial piston pump’s performance, mirrors the internal fluid dynamics and potential energy losses. It serves as a critical reference for pump selection and application. The efficiency’s scale is predominantly affected by the pump’s geometric design, operational conditions, and the characteristics of the fluid in use.
South Korean scholars, including Beak, have utilized geometric approaches to investigate the performance characteristics of inclined-axis pumps, elucidating the kinematic principles of conical piston-driven cylinder motion and delineating the operational scope of conical piston drives. Experimental validations have confirmed the significant impact of the piston inclination angle and the phase angle between the piston assembly and the cylinder on the performance of inclined-axis pumps [1,2]. Researchers such as Hong have concentrated on the frictional losses within inclined-axis pumps through mathematical theory, with the goal of pinpointing the primary factors affecting output torque. Experimental assessments of friction in mechanical components, including pistons, spherical heads, bearings, and distributor disks, were conducted. These empirical data were integrated into theoretical models of piston kinematics and pump friction, enabling the calculation of the frictional torque exerted by the piston. A comparison with the actual input torque substantiated the accuracy of their model. Their findings suggest that the viscous frictional forces from the distributor disk and bearings are the predominant sources of frictional losses, whereas the frictional force and torque of the piston are negligible in friction loss studies [3].
Kim and associates explored the influence of the distributor disk dimensions on the pressure pulsation within the piston chamber of inclined-axis pumps, as well as on the overall output pressure pulsation and torque pulsation of the pump. Utilizing Amesim for model establishment, they juxtaposed simulation analyses with experimental research outcomes. Their findings indicated that the dimensions of the distributor disk have a substantial effect on the pressure pulsation within the piston chamber, with the overall output pressure pulsation being correlated with the basal pressure of the piston chamber yet exerting a minor impact on the pump’s torque [4,5,6,7]. Furthermore, the size of the distributor disk significantly influences the pump housing’s vibration [8].
Professor Jung, J.Y. from Chonbuk National University in South Korea conducted profound theoretical analyses of the principle of rotation in conical piston-driven cylinders, followed by experimental validation. Addressing the angular discrepancy in inclined-axis axial piston pumps, he proposed a design scheme involving transmission shaft inconsistencies [9,10]. Professor Jung, J.Y. also delved into the lubrication properties of a conical piston ring, observing that the thickness of the oil film between the piston ring and the cylinder is increased with an increasing rotational speed but remains largely unaffected by the pump’s outlet pressure. Conversely, the frictional force between the piston ring and the cylinder escalates with both rotational speed and pump outlet pressure [1,7]. Simulation studies and experimental validations on the flow pulsation characteristics of inclined-axis axial piston pumps were also undertaken by Professor Jung J.Y. [6].
Roccatello, A. and Nervegna, N. of the Polytechnic University of Milan, Italy, engineered an innovative cylinder block driving mechanism that employs gear engagement between the main shaft flange and the cylinder block. This advancement has ameliorated the stress conditions on the pistons and resolved the issue of angular discrepancy commonly found in conventional inclined-axis pumps [11]. Furthermore, Professor Abuhaiba, M. from the Islamic University of Gaza and Professor Olson, W. W. from the University of Toledo conducted an exhaustive kinematic analysis of an articulated inclined-axis pump, which, like the aforementioned design, is devoid of angular discrepancy. Their comprehensive study provides substantial guidance for the design of articulated inclined-axis pumps [12].
Scholars from Zhejiang University, including Zhang Junhui, investigated the effects of the clearance between the piston and the cylinder on the efficiency of pumps. They formulated a mathematical expression for the leakage phenomenon considering the centrifugal and reciprocating inertial forces acting on the piston, which holds significant implications for the structural design of inclined-axis pumps in the future [13]. Lin Jing et al. utilized mathematical spatial coordinate transformation to analyze the motion mechanisms of inclined-axis pumps, identifying three potential interference scenarios. They established criteria for detecting interference and proposed methods for resolution, thus providing direction for the design and manufacturing processes for inclined-axis axial piston pumps [14]. Quan Lingxiao constructed a hydraulic and mechanical integrated model of an inclined-axis pump using Amesim and ADAMS, conducting simulations to assess the influence of the valve core spring and damping on the pump’s variable control performance and output flow characteristics [15]. Shu Wang optimized the design of axial piston pumps using the concept of pressure carryover, formulated the mathematical relationship between the valve-plate geometry and volumetric efficiency, and introduced new terminologies, such as Discrepancy of Pressure Carryover (DPC) and Carryover Cross-porting (CoCp). This study offers guidance for the design of high-efficiency valve plates, with the results validated through simulations and experimental testing [16]. N. D. Maring compared the valve-plate designs in axial-piston pumps, demonstrating that a trapped-volume design without slots has improved efficiency compared to traditional designs. The study provides theoretical support for trapped-volume optimization in valve-plate design [17].
In summary, scholarly research on inclined-axis axial piston pumps has predominantly concentrated on aspects such as the vibration characteristics of the inclined-axis axial piston pump, the mechanism underlying the formation of the oil film, the influence of the leakage between frictional pairs on the pump’s volumetric efficiency, and the variable characteristics of the inclined-axis axial piston pump. However, the kinematic properties of hingeless inclined-axis axial piston pumps have not been articulated. In the hingeless design of an axial piston pump, the axis of the piston is inclined at an angle τ to the axis of the cylinder bore. This angular relationship not only induces a phase angle difference ϕ between the cylinder block and the transmission shaft but also introduces a layer of complexity to the piston’s motion.

2. Model

2.1. Kinematic Characteristics of a Hingeless Bent-Axis Axial Piston Pump

The subject of this study is a hingeless bent-axis axial piston pump. In contrast to swash-plate axial piston pumps, hingeless bent-axis axial piston pumps function according to the piston block’s contact with the inner wall of the cylinder, which facilitates the piston pivoting and concurrently rotates the cylinder block. Due to this distinctive feature of hingeless bent-axis axial piston pumps, an angular relationship exists between the axis of the piston and that of the cylinder bore, which changes progressively as the piston moves. Therefore, the pattern of piston motion in a hingeless bent-axis axial piston pump is significantly more intricate than that in a swash-plate pump. A diagram of the plunger movement of an inclined shaft plunger pump is shown in Figure 1.

2.2. Kinematic Analysis of a Skewed Shaft Piston Pump

In the hingeless inclined-axis piston pump as illustrated in Figure 1, an angular displacement τ is present between the central axis of the connecting rod and that of the piston, leading to more complex piston motion. The piston’s trajectory is dictated by the drive shaft through the intermediary of a connecting rod with a finite length. Consequently, the piston’s displacement is bifurcated into two distinct components: the first component is a forced displacement s, which is a result of the drive shaft flange, and the second component is an additional displacement ∆s, attributable to the changes in the angular displacement τ.
The spherical pivot A is rotated through an angle θ from the upper dead center position (it is imperative that the rotation angle θ be calculated based on the circumference of circle A, rather than on the projected ellipse A’ along the vector O’A’), resulting in the cylinder block rotating through an angle ψ. Nevertheless, the rotational motion of the cylinder block is slowed by an angular discrepancy φ relative to the drive shaft.
ϕ = θ ψ
The angular difference φ changes in accordance with the rotational angle θ of the drive shaft. It is this variation in φ that renders the motion of the piston in a hingeless axial piston pump more complex. The piston’s movement involves not solely the displacement caused by the drive shaft flange but also incorporates an additional displacement ∆s resulting from the alteration in the angle τ.
In accordance with geometric principles, the formula for calculating the forced displacement s in a hingeless inclined-axis piston pump is derived as follows:
s = r s i n β ( 1 c o s θ )
The supplementary displacement Δs, induced by the alteration in the angle τ, is as follows:
Δ s = l ( c o s τ - c o s τ 0 ) = l 2 ( R c o s θ r c o s θ c o s β ) ( r s i n θ R s i n θ ) 2 l 2 ( R - r c o s β ) 2
whereas τ0 is the angle between the connecting rod and the piston when θ = 0.
The theoretical displacement V of an inclined-axis piston pump is defined as follows:
V = 2 A z r s i n β
whereas A is the piston’s cross-sectional area, z is the number of pistons, r is the radius of the distribution circle of the ball end A on the flange of the drive shaft at the connection end, β is the cylinder tilt angle.
Equations (2)–(4) delineate the methodologies for calculating the displacement of an inclined-axis axial piston pump, positing that the forced displacement of the piston—namely, the stroke difference of the connecting spherical head segment—is equated to the actual stroke difference of the piston. Nonetheless, the actual stroke difference at the opposite end of the piston comprises both a forced displacement and an additional displacement. The calculation methodologies presented in Equations (2)–(4) overlook the influence of this additional displacement on the displacement.
In light of the overlooked additional displacement component in the actual displacement, a correction factor k is integrated. This factor is predominantly utilized to rectify the outlet’s output flow as derived from finite element simulations executed via Simerics+4.6.0 (Simerics Inc., Seattle, WA, USA). The correction factor k is chiefly associated with the angular rotation of the cylinder block in the inclined-axis piston pump, and the precise method for its determination is as follows:
k = s + Δ s s
According to the methodology for calculating the correction factor k, it becomes evident that the value of k is largely contingent upon the cylinder block rotation angle β of the inclined-axis piston pump. For a given inclined-axis piston pump, varying cylinder block rotation angles β are associated with distinct correction factors k.

3. Simulation

The finite element analysis presented in this paper is performed utilizing the Simerics+4.6.0 (Simerics Inc., Seattle, WA, USA), which applies the finite volume method to the simulation of an inclined-axis axial piston pump. The equations associated with the finite volume method are presented as follows:
The equation of mass conservation [18]:
ρ t + ( ρ u ) x + ( ρ v ) y + ( ρ w ) z = 0 Δ V = u x + v y + w z
Equation for the conservation of momentum [18]:
( ρ u ) t + Δ V = p x + τ xx x + yx y + τ zx z + F x ( ρ v ) t + Δ V = p y + τ xy x + yy y + τ zy z + F y ( ρ w ) t + Δ V = p z + τ xz x + yz y + τ zz z + F z
Equation for the conservation of energy [18]:
ρ d k d t = x i [ ( μ + μ t σ k ) k x i ] + G k + G b ρ ε Y M
The turbulence model utilized for the inclined-axis piston pump is the standard k-ε model, which exhibits enhanced stability, computational precision, and economic suitability for the simulation of inclined-axis axial piston pumps.

Boundary Condition

In order to achieve simulation outcomes that closely reflect actual working conditions, the setting of appropriate boundary conditions is of significant importance. Considering the impact of pressure reflection, the simulation of the inclined-axis piston pump presented in this paper incorporates the extension of the lengths of both the inlet and outlet pipelines. A throttling orifice is employed at the terminus to simulate authentic operating scenarios. The dimensions of the throttling orifice are ascertained based on the subsequent equation:
A = q C q ρ 2 Δ p
The fidelity of numerical simulations of fluid dynamics is intricately linked to the quantity of the model’s grid cells. In general terms, an increased number of grid cells typically results in enhanced simulation precision. Nonetheless, the constraints of computational resources necessitate a balanced approach to determining the optimal number of grid cells. Within the preprocessing phase, the meshing functionality inherent to the software is utilized to combine various body meshes, surface meshes, and other controlled dimensions, thereby generating a multitude of grid models. Following this, preliminary simulations are executed for each model, and a comparative analysis is undertaken to ascertain the most appropriate grid model. Table 1 provides the control parameter information for the mesh of the fluid domain.
In order to ascertain the independence of the fluid domain from the grid, the pressure within the piston cavity is chosen for surveillance, as illustrated in Figure 2. The pressure at the designated monitoring point and the resultant output flow rate are utilized as the criteria for assessment, with the outcomes of the simulation depicted in Figure 3 and Figure 4.
The results on the relevance of the grid are shown in Figure 2, Figure 3 and Figure 4.
Referring to Figure 2, it is evident that prior to the 0.096 s mark in the operation of the piston pump, the pressures at an identical monitoring point across the models exhibit a fundamentally similar trajectory of variation. Upon the piston’s transit into the high-pressure region, there occurs a significant oscillation in the hydraulic pressure within the piston cavity, with a positive overshoot in the hydraulic pressure observed at the 0.096 s mark. The simulated peak hydraulic pressure within the piston cavity during its operation in the high-pressure region, as ascertained by Model A, is identified at 16.99 MPa. Model B’s simulation predicts a peak hydraulic pressure of 14.2 MPa in the high-pressure region. Model C’s simulation delineates a peak hydraulic pressure of 14.6 MPa in the high-pressure region, while Model D’s simulation indicates a peak hydraulic pressure of 14 MPa within the same region.
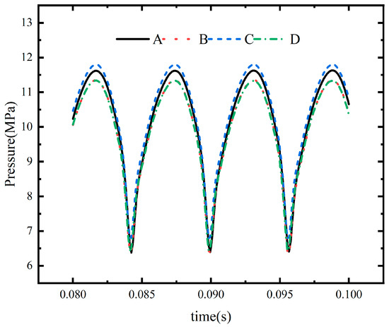
The inclined-axis piston pump, as a result of its operational mechanism, encounters cyclical pressure fluctuations. As depicted in Figure 3, the trend in these fluctuations is uniform across the models examined. Model A records a peak pressure of 11.62 MPa and a minimum pressure of 6.4 MPa; it should be noted that the repetition of values for Model A likely indicates a typographical error in the source text. Model B exhibits a peak pressure of 11.35 MPa and a minimum pressure of 6.4 MPa. Model C’s peak pressure is documented at 11.8 MPa, with a minimum pressure of 6.8 MPa. Meanwhile, Model D has a peak pressure of 11.3 MPa and a minimum pressure of 6.43 MPa.
The inclined-axis piston pump, as a consequence of its operational principles, is subject to periodic flow pulsations. As depicted in Figure 4, the trend in these pulsations is uniform across the models analyzed. Model A achieves a peak flow rate of 239 L/min, with a nadir of 171.3 L/min; Model B registers a peak flow rate of 239.4 L/min and a minimum of 172 L/min; Model C exhibits a peak flow rate of 239.13 L/min and a minimum of 175.72 L/min; whereas Model D demonstrates a peak flow rate of 239.7 L/min, with its minimum flow rate also recorded at 175.72 L/min.
Upon comparative assessment of the pressures within the piston cavities, the output pressures, and the output flow rates among the various models, Model C was determined to be the most suitable and was therefore selected to proceed with in the subsequent stages of the work. The methodology for mesh division is detailed, and the specifics can be observed in Figure 5.
The piston pump parameters are as shown in Table 2. The parameters of the oil medium and some working conditions are shown in Table 3.
The rest of the simulation parameters are shown in Table 3.
The distribution mechanism of this pump is equipped with a spherical oil film, where the termini of the oil film are established as pressure output interfaces. Damping holes are situated at the piston’s extremities to emulate the leakage that transpires between the piston and the flange during its operational phase, with the resultant pressures equated to the discharge oil pressure at 0.2 MPa. The simulations are executed under load pressures of 10 MPa and 20 MPa, respectively. Simulated pressure cloud diagrams of the plunger are shown in Figure 6 and Figure 7.
In summary, the correction factor for the inclined-axis pump, when operated at the maximum cylinder swing angle of 25°, has been determined through calculation as follows:
k = s + Δ s s = 1.1
Upon securing the simulation outcomes, they are subsequently amplified by the correction factor to yield the refined results. The simulation results are shown in Table 4 and Table 5. The revised simulation results are shown in Table 6 and Table 7.
These observations indicate that at an identical rotational speed, there is a negative correlation between the load pressure and the output flow rate; as the load pressure escalates, the output flow rate diminishes. This phenomenon can be attributed to the increased leakage at the distributor and the piston ball joint, which becomes more pronounced with higher pressures, consequently leading to a decrease in the output flow rate at a constant rotational speed.
The output flow rate of the pump is ascertained through experimental documentation, utilizing the following depicted experimental apparatus for the measurement of the pump’s output flow rate.

4. Verification

The output flow rate of the pump was measured using a test recording of the pump’s output flow rate with the experimental setup shown in Figure 8 and Figure 9.
A stable oil supply to the test pump was ensured by employing two makeup pumps. Thereafter, the load pressure of the pump was measured using a pressure gauge. Concurrently, the flow rate of the test pump was monitored with a flowmeter. Additionally, a proportional relief valve was utilized to regulate the load pressure of the pump.
In order to compare the accuracy of the simulation outcomes with the actual performance, experimental results were procured under conditions identical to those of the simulation. The parameters set in the experiment are shown in Table 8.
A comparison between the experimental and simulation results is presented, as shown in Figure 10 and Figure 11.
These observations indicate that at an identical rotational speed, the output flow rate of the pump diminishes with an increase in load pressure.
Examination of the graph reveals that for a constant load pressure across different rotational speeds, there exists a variance between the output flow rates derived from the simulation and those garnered from the experimental data. These discrepancies amplify at escalating rotational speeds, a consequence of the additional displacement ∆s, which stems from the angular variation between the cylinder block and the piston—an element not factored into the simulation. This oversight results in an error in the calculated displacement. The correlation between the output flow rate q and the displacement V is articulated as follows:
q = V n
The discrepancies in the flow rates for the various operating conditions mentioned above are detailed in Table 9 and Table 10.
The discrepancies in the output flow rates illustrated in the preceding figure, once translated into the variances in displacement, are articulated in Table 11 and Table 12.
Upon reviewing Table 10, it becomes apparent that the displacement values ascertained via simulation are not congruent with those obtained from the experimental measurements. When the rotational speed is held constant, the variance between the displacements from simulation and experimentation enlarges with an elevation in the load pressure. This is primarily due to the increase in load, which results in greater leakage through the distributor pair oil film and the piston oil film during actual testing. The finite element simulations, however, do not account for the leakage from the piston pair oil film, thereby assuming a leakage value of zero for this component. As a result, with an increase in load pressure, the disparity between the experimental measurements and the simulation results becomes more significant.
Upon reviewing Figure 12 and Figure 13, it is evident that the discrepancies between the outcomes post-adjustment with the correction factor and the results obtained from experimentation are significantly diminished. For each operation scenario, a comparative analysis of the error between the finite element simulation results and the experimental data, as well as a comparative analysis of the error between the adjusted simulation results and the experimental results, is shown in Figure 14 and Figure 15.
Inspection of Figure 14 and Figure 15 reveals that across all operating conditions, the outcomes post-adjustment with the correction factor k are more congruent with the results garnered from experimentation. At a load pressure of 10 MPa, the mean discrepancy between the finite element simulation results and the experimental data is 8.95%, while the mean discrepancy between the adjusted simulation results and the experimental data is reduced to 0.23%. Similarly, at a load pressure of 20 MPa, the average error between the unmodified simulation results and the experimental results is 9.15%, and this is minimized to an average error of 0.36% with the application of the correction factor k. This adjustment notably diminishes the error rate relative to the experimental outcomes, thereby augmenting the precision of the simulation results.
To encapsulate, in the context of finite element simulation pertaining to an inclined-axis axial piston pump, simulation outcomes that solely account for the forced displacement s engendered by the transmission shaft flange are not adequately precise. It is imperative to incorporate the additional displacement Δs, which arises from the fluctuation in the angularity τ between the piston axis and the cylinder bore axis, to attain accurate results. The application of the correction factor k serves to align the finite element simulation outcomes more closely with the results obtained from experimentation.

5. Conclusions

(1)
The piston motion within a hingeless inclined-axis piston pump is more intricate than that within a swash-plate axial piston pump given the angular changes between the piston axis and the cylinder bore axis, which affect the piston’s trajectory. These angular changes lead to an additional displacement, represented as Δs.
(2)
The displacement of the piston is bifurcated into two components: the first component is the forced displacement s, which is a result of the transmission shaft flange; the second component is the additional displacement Δs, which is precipitated by the alteration in the angle τ. Within the conventional methodologies for calculating the output flow, the additional displacement Δs is frequently neglected, thereby yielding results of diminished accuracy.
(3)
In the realm of finite element simulation for inclined-axis piston pumps, an adjustment coefficient k is introduced, the value of which correlates with the cylinder block’s rotation angle β. When subjected to a load pressure of 10 MPa, the initial error rate between the finite element simulation outcomes and the experimental data is identified as 8.95%. Following the application of the correction factor k, this error rate is substantially reduced to 0.23%, signifying a reduction of 8.72%. At an elevated load pressure of 20 MPa, the error rate between the unaided simulation results and the experimental data is observed to be 9.15%. Upon the incorporation of the correction factor k, the error rate is effectively lowered to 0.35%, indicating an 8.8% reduction. This refinement in the simulation accuracy minimizes the divergence between the simulated and experimental results.

Author Contributions

Methodology, J.S. (Junqiang Shi) and X.L.; software, J.S. (Jiaxing Shi); formal analysis, J.S. (Junqiang Shi), J.G., D.C. and X.L.; resources, J.S. (Junqiang Shi), J.G. and Y.L.; data curation, J.S. (Jiaxing Shi), D.C. and X.L.; writing—original draft, J.S. (Junqiang Shi) and J.G.; writing—review and editing, J.S. (Jiaxing Shi) and D.C.; supervision, Y.L. and J.Z.; project administration, J.Z.; funding acquisition, Y.L. and J.Z. All authors have read and agreed to the published version of the manuscript.

Funding

This research was funded by Research on Common Key Technologies of High Pressure Large Displacement Closed Piston Pump grant number [No. 2023YFB3406701] and the APC was funded by Research on Common Key Technologies of High Pressure Large Displacement Closed Piston Pump.

Data Availability Statement

The original contributions presented in the study are included in the article, further inquiries can be directed to the corresponding author.

Conflicts of Interest

Authors Junqiang Shi, Jingcheng Gao and Xiaotao Li were employed by the Beijing Machinery Industry Automation Research Institute Co., Ltd. The remaining authors declare that the research was conducted in the absence of any commercial or financial relationships that could be construed as a potential conflict of interest. The Beijing Machinery Industry Automation Research Institute Co., Ltd. had no role in the design of the study; in the collection, analyses, or interpretation of data; in the writing of the manuscript, or in the decision to publish the results.

Abbreviations

Circle ADistribution circle of connecting rod ball hinge center A on the drive shaft flange
Circle BDistribution circle of the piston on the plane perpendicular to the cylinder axis
Ellipses A’Projection of circle A on the flange on the plane perpendicular to the cylinder axis
AA’A’ on the ellipse will move along AA’ to point A as the angle of inclination of the flange is gradually reduced from β to zero
θ Angle at which ball hinge A turns from top dead center
ψ Angle at which the cylinder turns when ball hinge A turns θ from top dead center
ϕ Angle of rotation of the cylinder body lags behind the difference in the angle of rotation of the drive shaft
τ The angle between the cylinder bore axis and the piston’s axial direction
lLength of piston connecting rod of non-hinged swash-axis axial piston pump
β Cylinder angle
sDisplacement of drive shaft flange at β angle
s Displacement caused by the change in angle τ when the cylinder angle is β
Δ p Pressure difference between the two ends of the throttle port
VTheoretical displacement of inclined shaft axial piston pump
A Piston cross-sectional area
dPiston diameter
z Piston quantity
r Distribution circle radius of connecting end ball A on drive shaft flange
kOutput flow correction factor
uComponent of velocity vector in x-direction
vComponent of velocity vector in y-direction
wComponent of velocity vector in z-direction
tTime
ρ Fluid density
· V Velocity dispersion
PFluid static pressure
τ i j Stress tensor
F i External volume force
eInternal energy from molecular motion
qVolumetric heat rate of change per unit mass
TTemperature
λ Second coefficient of viscosity
μ Analytical coefficient of viscosity
nThermal conductivity

References

  1. Baek, I.H.; Cho, I.S.; Jung, J.Y.; Hong, L. Analysis of piston behavior according to eccentricity ratio of disk in bent-axis type piston pump. J. Mech. Sci. Technol. 2008, 22, 1726–1733. [Google Scholar] [CrossRef]
  2. Beak, I.H.; Cho, I.S.; Jung, J.Y.; Oh, S.H.; Jung, S.H.; Jang, D.H. Experimental Analysis to Behavior of Swivel Angle in Bent-axis type Oil Hydraulic Piston Pump for Heavy Vehicle. Trans. Korea Hydraul. Pneum. Syst. Soc. 2010, 7, 13–18. [Google Scholar]
  3. Hong, Y.S.; Doh, Y.H. Analysis on the friction losses of a bent-axis type hydraulic piston pump. Ksme Int. J. 2004, 18, 1668–1679. [Google Scholar] [CrossRef]
  4. Kim, S.H.; Hong, Y.S.; Kim, D.M. Influence of valve plate configuration on torque ripple of a bi-directional bent-axis type hydraulic piston pump. J. Korean Soc. Aeronaut. Space Sci. 2007, 35, 231–237. [Google Scholar]
  5. Kim, J.H.; Jeon, C.S.; Hong, Y.S. Constant pressure control of a swash plate type axial piston pump by varying both volumetric displacement and shaft speed. Int. J. Precis. Eng. Manuf. 2015, 16, 2395–2401. [Google Scholar] [CrossRef]
  6. Cho, I.S.; Jung, J.Y. A study on the pressure ripple characteristics in a bent-axis type oil hydraulic piston pump. J. Mech. Sci. Technol. 2013, 27, 3713–3719. [Google Scholar] [CrossRef]
  7. Cho, I.S.; Beak, I.H.; Jo, J.C.; Park, J.; Oh, S.; Jung, J. Lubrication characteristics of dual piston ring in bent axis type piston pumps. J. Mech. Sci. Technol. 2010, 24, 1363–1368. [Google Scholar] [CrossRef]
  8. Sunghun, K.; Yehsun, H. Analysis on the Relationships Between the Valve Plate Geometry and the Housing Vibration of a Bent-Axis Type Hydraulic Piston Pump. Trans. Korean Soc. Mech. Eng. A 2006, 30, 52–59. [Google Scholar]
  9. Kim, J.K.; Jung, J.Y. Driving Mechanism of Tapered Pistons in Bent-Axis Design Axial Piston Pumps. J. Mech. Sci. Technol. 2003, 17, 181–186. [Google Scholar] [CrossRef]
  10. Jung, J.Y.; Cho, I.S.; Beak, I.H.; Shin, H.I.; Jo, J.C.; Hong, L. A Study on Lubrication Characteristics between Piston Ring and Cylinder Bore of Bent-Axis Type Piston Pump. In Advanced Tribology; Springer: Berlin/Heidelberg, Germany, 2009; pp. 136–139. [Google Scholar]
  11. Roccatello, A.; Nervegna, N. Mechanical Modelling of a Bent Axis Pump. Int. J. Fluid Power 2009, 10, 57–72. [Google Scholar] [CrossRef]
  12. Abuhaiba, M.; Olson, W.W. Geometric and Kinematic Modeling of a Variable Displacement Hydraulic Bent-Axis Piston Pump. J. Comput. Nonlinear Dyn. 2010, 5, 2040–2049. [Google Scholar] [CrossRef]
  13. Zhang, J.; Li, Y.; Zhang, D.; Xu, B.; Lv, F.; Chao, Q. A centrifugal force interaction analysis on the piston/cylinder interface leakage of bent-axis type piston pumps. In Proceedings of the 2016 IEEE/CSAA International Conference on Aircraft Utility Systems (AUS), Beijing, China, 10–12 October 2016. [Google Scholar]
  14. Jing, L. Analysis and Calculation of Interference for Hydraulic Oblique Piston Pump. Mach. Des. Res. 2015, 31, 132–134. [Google Scholar]
  15. Quan, L.; Yan, G.; Yu, B.; Kong, X.; Wang, Q. Multidisciplinary Co-simulation Analysis for Variable Servo Mechanism of Axial Piston Pump on Control Characteristic. Chin. Hydraul. Pneum. 2014, 9, 58–65. [Google Scholar]
  16. Wang, S. Improving the Volumetric Efficiency of the Axial Piston Pump. J. Mech. Des. 2012, 134, 111001. [Google Scholar] [CrossRef]
  17. Manring, N.D.; Zhang, Y. The Improved Volumetric-Efficiency of an Axial-Piston Pump Utilizing a Trapped-Volume Design; University of Missouri—Columbia: Columbia, MO, USA, 2000. [Google Scholar]
  18. Moukalled, F.; Mangani, L.; Darwish, M. The Finite Volume Method in Computational Fluid Dynamics; Springer: Cham, Switzerland, 2006. [Google Scholar]
Figure 1. Kinematic analysis of hingeless inclined shaft pumps.
Figure 1. Kinematic analysis of hingeless inclined shaft pumps.
Processes 12 01141 g001
Figure 2. Comparison of simulation results of piston cavity pressure with different numbers of meshes.
Figure 2. Comparison of simulation results of piston cavity pressure with different numbers of meshes.
Processes 12 01141 g002
Figure 3. Comparison of output pressure simulation results with different numbers of meshes.
Figure 3. Comparison of output pressure simulation results with different numbers of meshes.
Processes 12 01141 g003
Figure 4. Comparison of flow rate simulation results with different numbers of grids.
Figure 4. Comparison of flow rate simulation results with different numbers of grids.
Processes 12 01141 g004
Figure 5. Grid division.
Figure 5. Grid division.
Processes 12 01141 g005
Figure 6. Pressure cloud for pressure of 10 MPa.
Figure 6. Pressure cloud for pressure of 10 MPa.
Processes 12 01141 g006
Figure 7. Pressure cloud for pressure of 20 MPa.
Figure 7. Pressure cloud for pressure of 20 MPa.
Processes 12 01141 g007
Figure 8. Test bench. (a) Photo of the pump being tested; (b) Hydraulic circuit of test bench.
Figure 8. Test bench. (a) Photo of the pump being tested; (b) Hydraulic circuit of test bench.
Processes 12 01141 g008
Figure 9. Experimental schematic diagram.
Figure 9. Experimental schematic diagram.
Processes 12 01141 g009
Figure 10. Comparison of simulation results and experimental output flow rates for different pressures under load pressure of 10 MPa.
Figure 10. Comparison of simulation results and experimental output flow rates for different pressures under load pressure of 10 MPa.
Processes 12 01141 g010
Figure 11. Comparison of output flow rate between simulation results corresponding to different pressures and experimental results under load pressure of 20 MPa.
Figure 11. Comparison of output flow rate between simulation results corresponding to different pressures and experimental results under load pressure of 20 MPa.
Processes 12 01141 g011
Figure 12. Comparison of output flow rates corresponding to different pressure simulation correction results and experimental results under load pressure of 10 MPa.
Figure 12. Comparison of output flow rates corresponding to different pressure simulation correction results and experimental results under load pressure of 10 MPa.
Processes 12 01141 g012
Figure 13. Comparison of output flow rates corresponding to different pressure simulation correction results and experimental results under load pressure of 20 MPa.
Figure 13. Comparison of output flow rates corresponding to different pressure simulation correction results and experimental results under load pressure of 20 MPa.
Processes 12 01141 g013
Figure 14. Comparison of error rate between simulation results and correction results at different speeds under load pressure of 10 MPa.
Figure 14. Comparison of error rate between simulation results and correction results at different speeds under load pressure of 10 MPa.
Processes 12 01141 g014
Figure 15. Comparison of error rate between simulation results and correction results at different speeds under load pressure of 20 MPa.
Figure 15. Comparison of error rate between simulation results and correction results at different speeds under load pressure of 20 MPa.
Processes 12 01141 g015
Table 1. Fluid domain grid control parameters for piston pumps.
Table 1. Fluid domain grid control parameters for piston pumps.
GroupSurface MeshMesh Number
A0.01294,042
B0.005543,079
C0.003787,105
D0.00251,066,426
Table 2. Piston parameters.
Table 2. Piston parameters.
Piston ParametersValue
Piston diameter d/(mm)28.7
Cylinder body swing angle β/(°)25
Number of pistons Z7
Cylinder body bore distribution circle radius/(mm)52
Table 3. Simulation parameters.
Table 3. Simulation parameters.
Simulation ParametersValue
Density ρ/(kg∙m−3)872
Kinetic viscosity μ/(kg∙[(m∙s)]−1)0.027904
Standard atmospheric pressure p_0/MPa1.013
Cylinder body bore distribution circle radius/(mm)
Temperature/°C
40
Inlet pressure/MPa0.2
Table 4. Simulation results of output flow rate under different rotating speeds at 10 MPa.
Table 4. Simulation results of output flow rate under different rotating speeds at 10 MPa.
Rotating Speed (r/min)Output Flow Rate (L/min)
30041.45
60084.91
900129.55
1200172.73
1500216.82
1800258.64
Table 5. Simulation results of output flow rate under different rotating speeds at 20 MPa.
Table 5. Simulation results of output flow rate under different rotating speeds at 20 MPa.
Rotating Speed (r/min)Output Flow Rate (L/min)
30038.91
60082.48
900125.9
1200168.2
1500210.9
1800250.9
Table 6. After revision, simulation results of output flow rate under different rotating speeds at 10 MPa.
Table 6. After revision, simulation results of output flow rate under different rotating speeds at 10 MPa.
Rotating Speed (r/min)Output Flow Rate (L/min)
30045.6
60093.4
900142.5
1200190
1500238.5
1800284.5
Table 7. After revision, simulation results of output flow rate under different rotating speeds at 20 MPa.
Table 7. After revision, simulation results of output flow rate under different rotating speeds at 20 MPa.
Rotating Speed (r/min)Output Flow Rate (L/min)
30042.8
60090.3
900138.5
1200185
1500232
1800276
Table 8. Test group.
Table 8. Test group.
ParameterValue
Suction port pressure (MPa)0.2
Cylinder swing angle (°)25
Load pressure (MPa)10/20
Rotating speed (r/min)300/600/900/1200/1500/1800
Table 9. Differences in output flow rate at 10 MPa.
Table 9. Differences in output flow rate at 10 MPa.
Rotating Speed (r/min)Flow Rate Error (L/min)Error Rate (%)
3004.028.84
6008.679.26
90012.458.76
120016.878.9
150021.188.9
180025.568.99
Table 10. Differences in output flow rate at 20 MPa.
Table 10. Differences in output flow rate at 20 MPa.
Rotating Speed (r/min)Flow Rate Error (L/min)Error Rate (%)
3003.678.62
6008.469.3
90012.298.89
120016.48.88
150020.498.85
180024.498.89
Table 11. Differences between simulated and experimental displacements under 10 MPa.
Table 11. Differences between simulated and experimental displacements under 10 MPa.
Rotating Speed (r/min)Displacement Difference (mL/r)
3000.223
6000.241
9000.231
12000.234
15000.235
18000.237
Table 12. Differences between simulated and experimental displacements under 20 MPa.
Table 12. Differences between simulated and experimental displacements under 20 MPa.
Rotating Speed (r/min)Displacement Difference (mL/r)
3000.204
6000.235
9000.2276
12000.2278
15000.2276
18000.2267
Disclaimer/Publisher’s Note: The statements, opinions and data contained in all publications are solely those of the individual author(s) and contributor(s) and not of MDPI and/or the editor(s). MDPI and/or the editor(s) disclaim responsibility for any injury to people or property resulting from any ideas, methods, instructions or products referred to in the content.

Share and Cite

MDPI and ACS Style

Shi, J.; Shi, J.; Gao, J.; Chen, D.; Li, X.; Li, Y.; Zhang, J. The Influence of Complex Piston Movement on the Output Flow Rate of a Hingeless Bent-Axis Axial Piston Pump. Processes 2024, 12, 1141. https://doi.org/10.3390/pr12061141

AMA Style

Shi J, Shi J, Gao J, Chen D, Li X, Li Y, Zhang J. The Influence of Complex Piston Movement on the Output Flow Rate of a Hingeless Bent-Axis Axial Piston Pump. Processes. 2024; 12(6):1141. https://doi.org/10.3390/pr12061141

Chicago/Turabian Style

Shi, Junqiang, Jiaxing Shi, Jingcheng Gao, Dongjing Chen, Xiaotao Li, Ying Li, and Jin Zhang. 2024. "The Influence of Complex Piston Movement on the Output Flow Rate of a Hingeless Bent-Axis Axial Piston Pump" Processes 12, no. 6: 1141. https://doi.org/10.3390/pr12061141

APA Style

Shi, J., Shi, J., Gao, J., Chen, D., Li, X., Li, Y., & Zhang, J. (2024). The Influence of Complex Piston Movement on the Output Flow Rate of a Hingeless Bent-Axis Axial Piston Pump. Processes, 12(6), 1141. https://doi.org/10.3390/pr12061141

Note that from the first issue of 2016, this journal uses article numbers instead of page numbers. See further details here.

Article Metrics

Back to TopTop