Performance Analysis and Optimization of Sub-Atmospheric Purging through Microcapillaries in an ICF Cryogenic Target
Abstract
1. Introduction
2. Numerical Model
2.1. Cryogenic Target Configuration
2.2. Model Description
2.2.1. Governing Equations
- (1)
- Air is regarded as a single-species fluid, irrespective of its actual constituent species such as nitrogen and oxygen.
- (2)
- Mass diffusion arises due to concentration gradients, and the effect of temperature gradients can be neglected.
- (3)
- The gas species are compressible and the variation in density with pressure follows the ideal gas law.
2.2.2. Non-Continuous Flow Model
2.3. Numerical Procedure
2.4. Numerical Model Validation
3. Characteristics of a Single Evacuation–Filling Period
3.1. Gas Distribution Characteristics
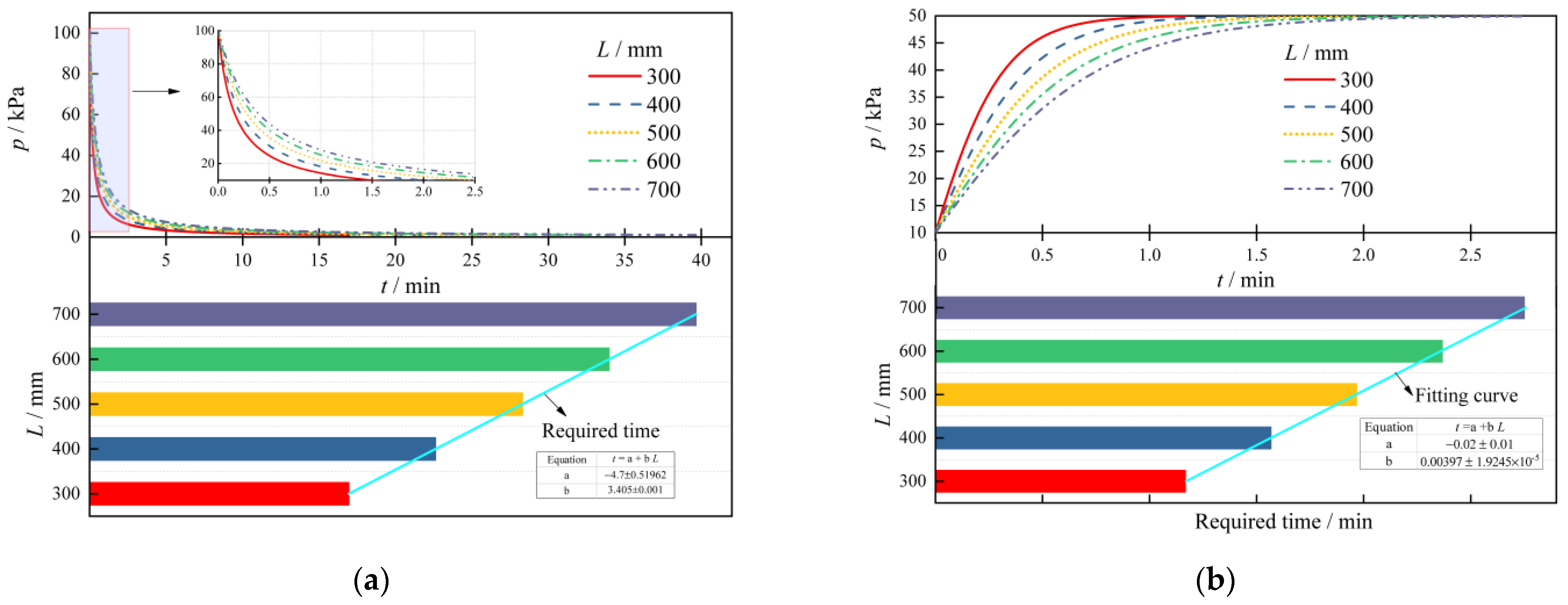
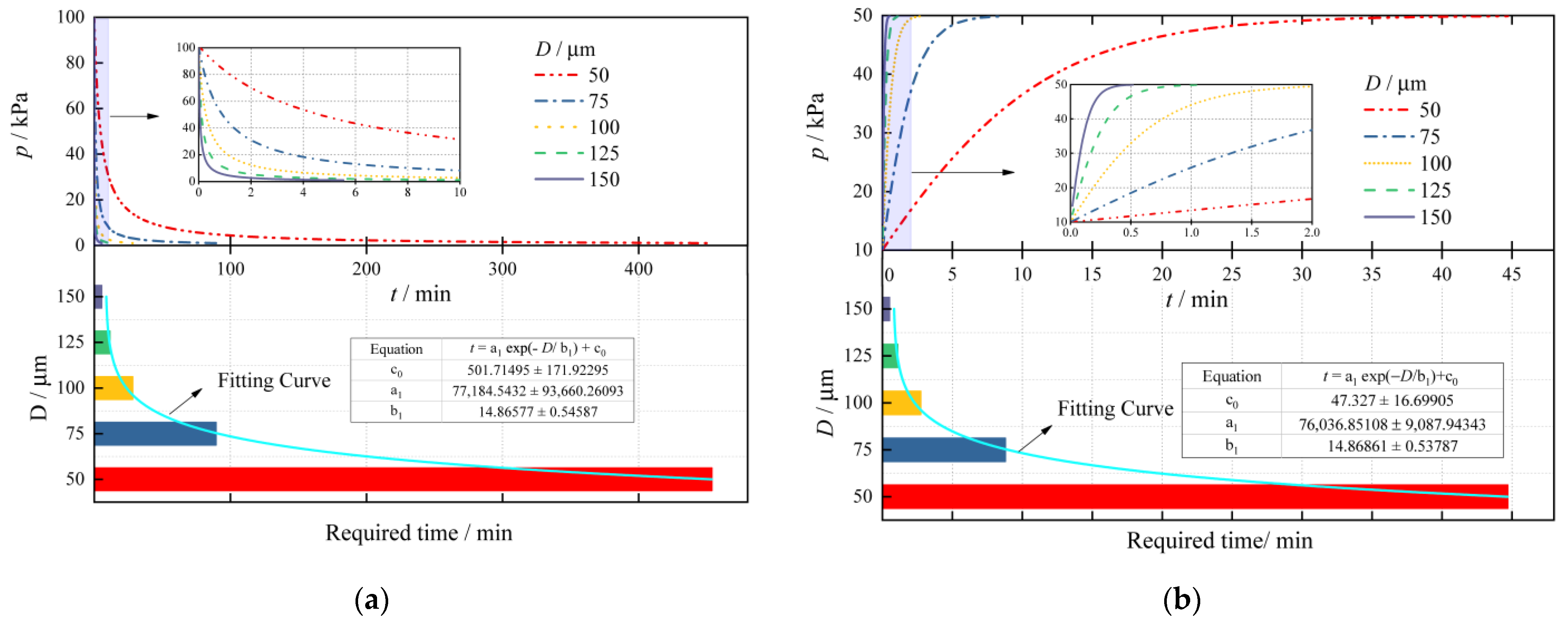
3.2. Effect of Microtube Size
3.3. Combined Form of Microtube
4. Performance of the Complete Purging Cycle
5. Conclusions
- (1)
- The transient behavior during every evacuation–filling period is susceptible to the structure and size of the microtubes at constant evacuation and filling pressures. Lengthening the microtube lowers the pressure change rate and results in a linear increase in the evacuation or filling time, while enlarging the microtube diameter reduces the time by way of exponential decay. Comparisons among the composite forms further demonstrate the advantage of large cross-section microtubes.
- (2)
- The residual air concentration drops step by step as the evacuation–filling periods proceed in sequence. Low evacuation pressures help to achieve large concentration decreases within one period and require fewer evacuation–filling operations, but in the meantime, extend the evacuation time significantly.
- (3)
- An appropriate cycle trough pressure is critical to the purging cycle in quickly lowering the residual gas to the required level. For both the hohlraum and capsule, the shortest purging time falls in the pressure range of around 20% of the filling pressure, where the evacuation and filling times are almost evenly balanced.
Author Contributions
Funding
Data Availability Statement
Conflicts of Interest
References
- Bustreo, C.; Giuliani, U.; Maggio, D.; Zollino, G. How fusion power can contribute to a fully decarbonized European power mix after 2050. Fusion Eng. Design 2019, 146, 2189–2193. [Google Scholar] [CrossRef]
- Ongena, J.; Oost, G.V. Energy for future centuries: Will fusion be an inexhaustible, safe, and clean energy source? Fusion Sci. Technol. 2004, 45, 3–14. [Google Scholar] [CrossRef]
- Chapman, I.; Morris, A. UKAEA capabilities to address the challenges on the path to delivering fusion power. Philos. Trans. R. Soc. A 2019, 377, 20170436. [Google Scholar] [CrossRef]
- Entler, S.; Horacek, J.; Dlouhy, T.; Dostal, V. Approximation of the economy of fusion energy. Energy 2018, 152, 489–497. [Google Scholar] [CrossRef]
- Haan, S.; Lindl, J.; Callahan, D.; Clark, D.; Salmonson, J.; Hammel, B.; Atherton, L.; Cook, R.; Edwards, M.; Glenzer, S. Point design targets, specifications, and requirements for the 2010 ignition campaign on the National Ignition Facility. Phys. Plasmas 2011, 18, 051001. [Google Scholar] [CrossRef]
- Harding, D.; Wittman, M.; Edgell, D. Considerations and requirements for providing cryogenic targets for direct-drive inertial fusion implosions at the National Ignition Facility. Fusion Sci. Technol. 2013, 63, 95–105. [Google Scholar] [CrossRef]
- Kozioziemski, B.; Mapoles, E.; Sater, J.; Chernov, A.; Moody, J.; Lugten, J.; Johnson, M. Deuterium-tritium fuel layer formation for the National Ignition Facility. Fusion Sci. Technol. 2011, 59, 14–25. [Google Scholar] [CrossRef]
- Parham, T.; Kozioziemski, B.; Atkinson, D.; Baisden, P.; Bertolini, L.; Boehm, K.; Chernov, A.; Coffee, K.; Coffield, F.; Dylla-Spears, R. Cryogenic target system for hydrogen layering. Fusion Sci. Technol. 2016, 69, 407–419. [Google Scholar] [CrossRef]
- Baxamusa, S.; Field, J.; Dylla-Spears, R.; Kozioziemski, B.; Suratwala, T.; Sater, J. Effects of self-heating and phase change on the thermal profile of hydrogen isotopes in confined geometries. J. Appl. Phys. 2014, 115, 124901. [Google Scholar] [CrossRef]
- Yang, H.; Tao, C.; Gao, S.; Wang, K.; Qi, X.; Jiang, B.; Xie, J.; Liang, J.; Zhang, H.; Li, G. Predicting spherical symmetry degeneration of non-infrared deuterium ice layer in a cryogenic capsule. Nucl. Fusion 2020, 60, 026010. [Google Scholar] [CrossRef]
- Xin, Y.; Li, Y.; Ding, L.; Li, C. Numerical Investigations on Temperature Distribution of Spherical Hohlraum Cryogenic Target under Radiation Condition. At. Energy Sci. Technol. 2019, 53, 102. [Google Scholar]
- Haan, S.; Salmonson, J.; Clark, D.; Ho, D.; Hammel, B.; Callahan, D.; Cerjan, C.; Edwards, M.; Hatchett, S.; Landen, O. NIF ignition target requirements, margins, and uncertainties: Status February 2010. Fusion Sci. Technol. 2011, 59, 1–7. [Google Scholar] [CrossRef]
- Yang, H.; Du, K.; Lei, H.; Qi, X.; Jiang, B.; Zhang, H.; Wu, W.; Zhang, J.; Wang, K.; Lin, W. Mechanical design and analysis of an indirect-drive cryogenic target. J. Fusion Energy 2016, 35, 673–682. [Google Scholar] [CrossRef]
- Wang, M.; Li, Z. Simulations for gas flows in microgeometries using the direct simulation Monte Carlo method. Int. J. Heat Fluid Flow 2004, 25, 975–985. [Google Scholar] [CrossRef]
- White, C.; Borg, M.K.; Scanlon, T.J.; Reese, J.M. A DSMC investigation of gas flows in micro-channels with bends. Comput. Fluids 2013, 71, 261–271. [Google Scholar] [CrossRef]
- Taassob, A.; Kamali, R.; Bordbar, A. Investigation of rarefied gas flow through bended microchannels. Vacuum 2018, 151, 197–204. [Google Scholar] [CrossRef]
- Agrawal, A.; Djenidi, L.; Agrawal, A. Simulation of gas flow in microchannels with a single 90 bend. Comput. Fluids 2009, 38, 1629–1637. [Google Scholar] [CrossRef]
- Ahangar, E.K.; Ayani, M.B.; Esfahani, J.A.; Kim, K.C. Lattice Boltzmann simulation of diluted gas flow inside irregular shape microchannel by two relaxation times on the basis of wall function approach. Vacuum 2020, 173, 109104. [Google Scholar] [CrossRef]
- Zhang, L.; Liu, X.; Zhao, Y.; Zhou, Y.; Shan, B. Effect of pore throat structure on micro-scale seepage characteristics of tight gas reservoirs. Nat. Gas Ind. B 2020, 7, 160–167. [Google Scholar] [CrossRef]
- Suo, X.; Wang, Q.; Luo, L. The influence of compressibility and thinness on gas flow and heat transfer in microchannels. J. Eng. Thermophys. 2005, 4, 659–661. (In Chinese) [Google Scholar]
- Croce, G.; Rovenskaya, O. Three dimensional effects in compressible, rarefied gas flow in bent microchannels. Int. J. Microscale Nanoscale Therm. Fluid Transp. Phenom. 2012, 3, 31–48. [Google Scholar]
- Rovenskaya, O. Computational study of 3D rarefied gas flow in microchannel with 90 bend. Eur. J. Mech.-B/Fluids 2016, 59, 7–17. [Google Scholar] [CrossRef]
- Struchtrup, H. Maxwell boundary condition and velocity dependent accommodation coefficient. Phys. Fluids 2013, 25, 112001. [Google Scholar] [CrossRef]
- Choi, Y.J.; Kwon, O.J. Numerical study of effects of accommodation coefficients on slip phenomena. J. Mech. Sci. Technol. 2015, 29, 1883–1888. [Google Scholar] [CrossRef]
- Myong, R. Gaseous slip models based on the Langmuir adsorption isotherm. Phys. Fluids 2004, 16, 104–117. [Google Scholar] [CrossRef]
- Lockerby, D.A.; Reese, J.M.; Emerson, D.R.; Barber, R.W. Velocity boundary condition at solid walls in rarefied gas calculations. Phys. Rev. E 2004, 70, 017303. [Google Scholar] [CrossRef] [PubMed]
- Stevanovic, N.D. A new analytical solution of microchannel gas flow. J. Micromech. Microeng. 2007, 17, 1695. [Google Scholar] [CrossRef]
- Das, S.K.; Tahmouresi, F. Analytical solution of fully developed gaseous slip flow in elliptic microchannel. Int. J. Adv. Appl. Math. Mech. 2016, 3, 1–15. [Google Scholar]
- Kurkin, E.I.; Samsonov, V.N.; Shakhov, V.G. Simulation of rarefied gas flows in microchannels. Procedia Eng. 2017, 185, 160–167. [Google Scholar] [CrossRef]
- Dongari, N.; Agrawal, A.; Agrawal, A. Analytical solution of gaseous slip flow in long microchannels. Int. J. Heat Mass Transf. 2007, 50, 3411–3421. [Google Scholar] [CrossRef]
- Zhang, W.; Samtaney, R. Low-Re flow past an isolated cylinder with rounded corners. Comput. Fluids 2016, 136, 384–401. [Google Scholar] [CrossRef]
- Shi, L.; Yang, G.; Yao, S. Large eddy simulation of flow past a square cylinder with rounded leading corners: A comparison of 2D and 3D approaches. J. Mech. Sci. Technol. 2018, 32, 2671–2680. [Google Scholar] [CrossRef]
- Cravero, C.; De Domenico, D.; Marsano, D. Uncertainty Quantification Analysis of Exhaust Gas Plume in a Crosswind. Energies 2023, 16, 3549. [Google Scholar] [CrossRef]
- Bhandarkar, S.; Parham, T.; Fair, J. Modeling and experiments of compressible gas flow through microcapillary fill tubes on NIF targets. Fusion Sci. Technol. 2011, 59, 51–57. [Google Scholar] [CrossRef]
- Wei, L.; Kai, W.; Jun, L.; Yuanqiong, L.; Yongjian, T.; Haile, L. Effect of filling rates on preparation of planar cryotargets. High Power Lasers Part. Beams 2013, 25, 3243–3246. (In Chinese) [Google Scholar]
- Yu, C.; Wu, S.; Yang, W. Theoretical investigation of gas filling and leaking in inertial confinement fusion hohlraum. Sustainability 2018, 10, 3763. [Google Scholar] [CrossRef]
- Wu, L.; Zhou, H.; Yu, C.; Yao, F. Simulation of the Gas Filling and Evacuation Processes in an Inertial Confinement Fusion (ICF) Hohlraum. Processes 2019, 7, 269. [Google Scholar] [CrossRef]
- Guo, F.-C.; Li, C.; Chen, X.; Li, Y.-Z. Numerical Simulation and Analysis of Helium Filling Process in Cryogenic Target Hohlraum. J. Xi‘an Jiaotong Univ. 2019, 53, 79–84. (In Chinese) [Google Scholar]
- Zou, X.; Qi, X.-B.; Zhang, T.-X.; Gao, Z.-F.; Huang, W.-X. Numerical simulation of filling and evacuating process of impurity gas in target capsule of inertial confinement fusion. Acta Phys. Sin. 2021, 70, 075207. [Google Scholar] [CrossRef]
- Shao, X.-Y.; Pu, L.; Li, Q.; Li, Y.-Z. Numerical investigation of flammable cloud on liquid hydrogen spill under various weather conditions. Int. J. Hydrog. Energy 2018, 43, 5249–5260. [Google Scholar] [CrossRef]













Disclaimer/Publisher’s Note: The statements, opinions and data contained in all publications are solely those of the individual author(s) and contributor(s) and not of MDPI and/or the editor(s). MDPI and/or the editor(s) disclaim responsibility for any injury to people or property resulting from any ideas, methods, instructions or products referred to in the content. |
© 2024 by the authors. Licensee MDPI, Basel, Switzerland. This article is an open access article distributed under the terms and conditions of the Creative Commons Attribution (CC BY) license (https://creativecommons.org/licenses/by/4.0/).
Share and Cite
Li, C.; Yin, S.; Fu, Z.; Wu, H.; Li, Y. Performance Analysis and Optimization of Sub-Atmospheric Purging through Microcapillaries in an ICF Cryogenic Target. Processes 2024, 12, 1050. https://doi.org/10.3390/pr12061050
Li C, Yin S, Fu Z, Wu H, Li Y. Performance Analysis and Optimization of Sub-Atmospheric Purging through Microcapillaries in an ICF Cryogenic Target. Processes. 2024; 12(6):1050. https://doi.org/10.3390/pr12061050
Chicago/Turabian StyleLi, Cui, Shikai Yin, Zhiying Fu, Hao Wu, and Yanzhong Li. 2024. "Performance Analysis and Optimization of Sub-Atmospheric Purging through Microcapillaries in an ICF Cryogenic Target" Processes 12, no. 6: 1050. https://doi.org/10.3390/pr12061050
APA StyleLi, C., Yin, S., Fu, Z., Wu, H., & Li, Y. (2024). Performance Analysis and Optimization of Sub-Atmospheric Purging through Microcapillaries in an ICF Cryogenic Target. Processes, 12(6), 1050. https://doi.org/10.3390/pr12061050

