Material Removal and Surface Modification of Copper under Ultrasonic-Assisted Electrochemical Polishing
Abstract
1. Introduction
2. Experimental System and Characterization Equipment
2.1. Experimental Installation
2.2. Ultrasonic Transducer
2.3. Characterization Equipment
3. Experiment
3.1. Electrochemical Passivation Experiment
3.2. Feasibility Experiment
3.3. Ultrasonic-Assisted Electrochemical Machining
4. Result and Discussion
4.1. Surface Morphology under Ultrasonic Electrochemical Action
4.1.1. The Effect of Ultrasonic Power on Surface Morphology
4.1.2. The Effect of Processing Time on Surface Morphology
4.2. Surface Hardness and Residual Stress
4.2.1. The Change in Surface Hardness and Residual Stress
4.2.2. The Change of Residual Stress
4.3. Erosion Characteristics and Wettability
4.3.1. The Change in Erosion Characteristics and Wettability
4.3.2. The Change in Wettability
5. Conclusions
- (1)
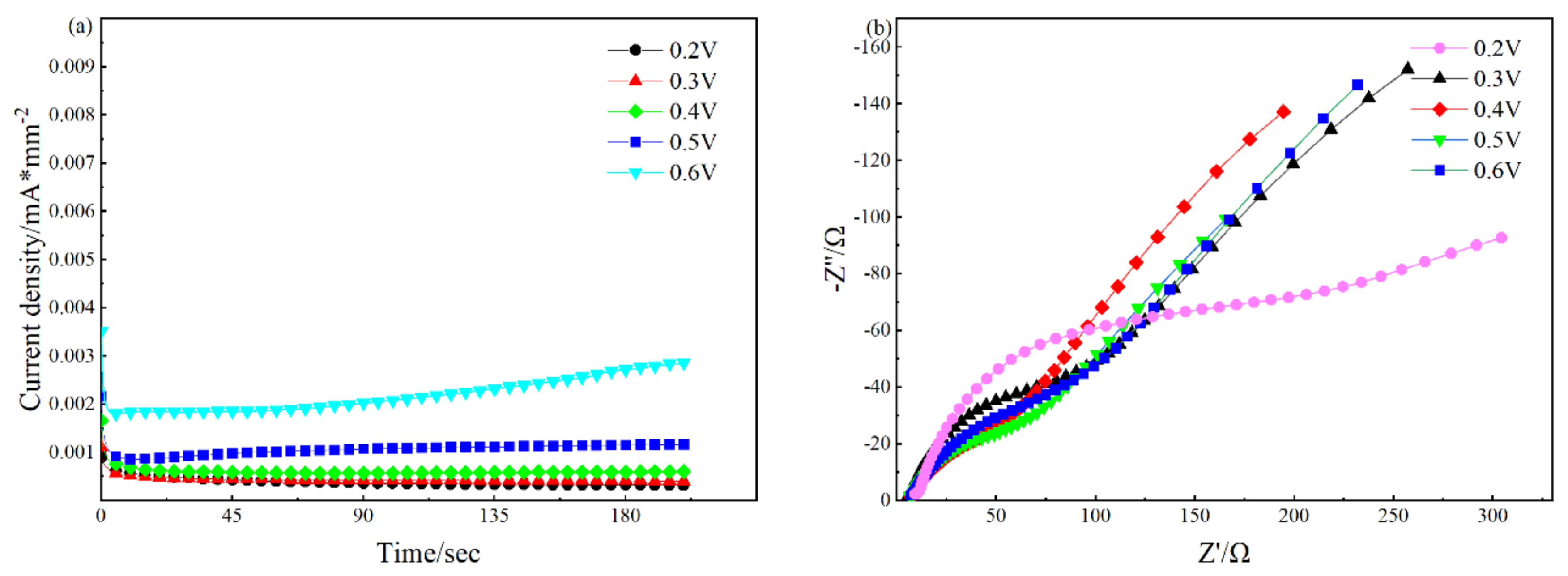
- The addition of ultrasonic vibration assistance to electrochemical polishing can increase the current density, which increases with increasing ultrasonic power. Furthermore, changing the jet angle can alter the current density, with the most significant effect of ultrasonic vibration assistance observed when the jet angle is 60°. Changes of material removal or surface topography are consistent with the variation of current density.
- (2)
- Surface protrusions on the workpiece gradually diminish with prolonged processing time. However, when the time is excessively long, cavitation bubbles collapse, increasing the electrolyte temperature and weakening the cavitation effects. The electrolysis rate exceeds the ultrasonic removal rate, causing the workpiece to be excessively passivated. Consequently, the current density on the workpiece surface increases sharply, leading to deteriorated surface quality.
- (3)
- As the ultrasonic power and processing time increase, the corrosion potential of the workpiece decreases, enhancing the material erosion rate during electrochemical polishing. Simultaneously, residual compressive stress appears on the workpiece surface, and there is a slight increase in the Vickers hardness. Additionally, under the impact of ultrasonic vibration, the hydrophobicity of the workpiece surface is improved compared to that before processing, which helps enhance the self-cleaning ability of the workpiece. It can be seen that all these changes (including surface morphology, hardness, residual stress, erosion characteristics, and wettability) are generally consistent with the changes in power and amplitude, indicating the effect of ultrasonic assistance on electrochemical polishing modification.
Author Contributions
Funding
Data Availability Statement
Conflicts of Interest
References
- Xiaozhe, Y.; Xu, Y.; Kazuya, Y. Effects of electrolyte type and concentration on the anodic oxidation of 4H-SiC in slurryless electrochemical mechanical polishing. Electrochim. Acta 2024, 0001, 474. [Google Scholar]
- Wang, M.H.; Tong, W.J.; Qiu, G.Z.; Xu, X.F.; Speidel, A.; Mitchell-Smith, J. Multiphysics study in air-shielding electrochemical micromachining. J. Manuf. Process. 2019, 43, 124–135. [Google Scholar] [CrossRef]
- Chatterjee, B. The electrochemical properties of chemical polishing solutions for aluminium. Trans. IMF 1978, 56, 15–17. [Google Scholar] [CrossRef]
- Choungthong, P.; Wilaisahwat, B.; Tangwarodomnukun, V. Removal of Recast Layer in Laser-Ablated Titanium Alloy Surface by Electrochemical Machining Process. Procedia Manuf. 2019, 30, 552–559. [Google Scholar] [CrossRef]
- Maher, I.; El-Hofy, H.; El-Hofy, M.H. Ultrasonic Vibration Assisted Electrical Discharge Machining and Micro-Electrical Discharge Machining: A Review. Mach. Sci. Technol. 2023, 27, 653–696. [Google Scholar] [CrossRef]
- Ye, L.; Zhu, X.; Wang, L.; Guo, C. Study on characteristics of single cavitation bubble considering condensation and evaporation of kerosene steam under ultrasonic vibration honing. Ultrason. Sonochem. 2018, 40, 988–994. [Google Scholar] [CrossRef] [PubMed]
- Ye, L.; Zhu, X.; Liu, Y. Numerical study on dual-frequency ultrasonic enhancing cavitation effect based on bubble dynamic evolution. Ultrason. Sonochem. 2019, 59, 104744. [Google Scholar] [CrossRef] [PubMed]
- Van Wijngaarden, L. Mechanics of collapsing cavitation bubbles. Ultrason. Sonochem. 2016, 29, 524–527. [Google Scholar] [CrossRef]
- Sugasawa, S.; Uematsu, S.; Akiyama, S. Observation of Microstructural Deformation Behavior in Metals Caused by Cavitation Impact. Jpn. J. Appl. Phys. 2011, 50, 07HE03. [Google Scholar] [CrossRef]
- Selvam, K.; Mandal, P.; Grewal, H.S.; Arora, H.S. Ultrasonic cavitation erosion-corrosion behavior of friction stir processed stainless steel. Ultrason. Sonochem. 2018, 44, 331–339. [Google Scholar] [CrossRef]
- Liu, J.; Cui, W.; Shi, Y.; Zhu, H.; Li, Z. Effect of surface texture and ultrasonic on tensile property of 316L/PET dissimilar joints. J. Manuf. Process. 2020, 50, 430–439. [Google Scholar] [CrossRef]
- Jia, C.; Liu, Y.; Wang, T.; Wang, C.; Wang, K. Study on electrochemical discharge machining of small holes array on glass with ultrasonic vibrating tube electrode. Int. J. Adv. Manuf. Technol. 2023, 129, 547–562. [Google Scholar] [CrossRef]
- Natsu, W.; Nakayama, H.; Yu, Z. Improvement of ECM characteristics by applying ultrasonic vibration. Int. J. Precis. Eng. Manuf. 2012, 13, 1131–1136. [Google Scholar] [CrossRef]
- Mitchell-Smith, J.; Clare, A.T. ElectroChemical Jet Machining of Titanium: Overcoming Passivation Layers with Ultrasonic Assistance. Procedia CIRP 2016, 42, 379–383. [Google Scholar] [CrossRef]
- Wang, X.; Wang, M.; Shang, Y. A study of air/ultrasonic co-assisted electrochemical micromachining. Int. J. Adv. Manuf. Technol. 2021, 118, 1903–1918. [Google Scholar] [CrossRef]
- Hutli, E.; Nedeljkovic, M.; Bonyár, A. Controlled modification of the surface morphology and roughness of stainless steel 316 by a high speed submerged cavitating water jet. Appl. Surf. Sci. 2018, 458, 293–304. [Google Scholar] [CrossRef]
- Yue, Z.; Liu, L.; Long, T.; Ma, Y. Virtual sensing method for monitoring vibration of continuously variable configuration structures using long short-term memory networks. Chin. J. Aeronaut. 2020, 33, 244–254. [Google Scholar] [CrossRef]
- Dutta, R.K.; Petrov, R.H.; Hermans, M.J.M.; Richardson, I.M. Accommodation of Plastic Deformation by Ultrasound-Induced Grain Rotation. Metall. Mater. Trans. A 2015, 46, 3414–3422. [Google Scholar] [CrossRef]
- Baosong, L.; Tianyong, M.; Hongqiang, C.; Jiajia, W.; Shengsong, D.; Yicheng, M.; Weiwei, Z. Ultrasonic-assisted electrodeposition of Ni/diamond composite coatings and its structure and electrochemical properties. Ultrason. Sonochem. 2021, 73, e105475. [Google Scholar] [CrossRef]
- Yadav, S.; Saini, R.P.; Pandey, K.M. Effect of jet angle and jet pitch on the Thermo-Hydraulic performance of solar air heater having absorber plate with jet impingement. Therm. Sci. Eng. Progress. 2023, 45, 102146. [Google Scholar] [CrossRef]
- Strehblow, H.H.; Titze, B. The investigation of the passive behaviour of copper in weakly acid and alkaline solutions and the examination of the passive film by esca and ISS. Electrochim. Acta 1980, 25, 839–850. [Google Scholar] [CrossRef]
- Wang, J.H.; Zhai, W.J. Study on Cu Passivation Film’s Forming Condition in HEDP Electrolyte with BTA and Chloride Ion. Appl. Mech. Mater. 2013, 274, 471–474. [Google Scholar] [CrossRef]
- Niederhofer, P.; Richrath, L.; Huth, S.; Theisen, W. Influence of conventional and powder-metallurgical manufacturing on the cavitation erosion and corrosion of high interstitial CrMnCN austenitic stainless steels. Wear 2016, 360–361, 67–76. [Google Scholar] [CrossRef]
- Goel, H.; Pandey, P.M. Experimental investigations into the ultrasonic assisted jet electrochemical micro-drilling process. Mater. Manuf. Process. 2017, 32, 1547–1556. [Google Scholar] [CrossRef]
- Liu, D.; Yan, R.; Chen, T. Material removal model of ultrasonic elliptical vibration-assisted chemical mechanical polishing for hard and brittle materials. Int. J. Adv. Manuf. Technol. 2017, 92, 81–99. [Google Scholar] [CrossRef]
- Ye, L.; Zhu, X.; Wei, X.; Wu, S. Damage characteristics and surface description of near-wall materials subjected to ultrasonic cavitation. Ultrason. Sonochem. 2020, 67, 105175. [Google Scholar] [CrossRef] [PubMed]
- Hutli, E.; Fekete, T.; Nedeljkovic, M. Surface characteristics and cavitation damage progress in ductile materials. Eng. Fail. Anal. 2019, 106, 104157. [Google Scholar] [CrossRef]
- Weiwei, H.; Jinyuan, T.; Weihua, Z.; Wen, J.; Yi, M. Molecular dynamics simulations of ultrasonic vibration-assisted grinding of polycrystalline iron: Nanoscale plastic deformation mechanism and microstructural evolution. Appl. Surf. Sci. 2023, 640, 158440. [Google Scholar]
- Dekhtyar, A.I.; Mordyuk, B.N.; Savvakin, D.G.; Bondarchuk, V.I.; Moiseeva, I.V.; Khripta, N.I. Enhanced fatigue behavior of powder metallurgy Ti–6Al–4V alloy by applying ultrasonic impact treatment. Mater. Sci. Eng. A 2015, 641, 348–359. [Google Scholar] [CrossRef]
- Mufang, Z.; Yuanyao, C.; Min, Z.; Xu, W. Macro and micro-nano machining mechanism for ultrasonic vibration assisted chemical mechanical polishing of sapphire. Appl. Surf. Sci. 2023, 640, 158343. [Google Scholar]
- Wu, B.; Yan, T.; Chen, L.; Wang, H.; Fang, Y.; Bao, Z. Electrochemical corrosion behavior of X80 pipeline steel welded joints fabricated by ultrasound-assisted submerged arc welding in CO2-saturated solution. Int. J. Electrochem. Sci. 2024, 19, 100475. [Google Scholar] [CrossRef]
- Wang, M.; Lv, M.; Zhang, R.; Tong, W.; Xu, X. Effect of ultrasonic cavitation micro-jet impact on corrosion of material in ultrasonic assisted electrochemical micromachining. J. Appl. Electrochem. 2023, 53, 1579–1593. [Google Scholar] [CrossRef]


















| Parameter | Parameter Value |
|---|---|
| Resonance frequency (kHz) | 28 |
| Capacitance (pF) | 3100 ± 10% |
| Resonant impedance (Ω) | ≤25 |
| Radius (mm) | 8 |
| Tool head material | Die steel |
| Parameter | Value |
|---|---|
| Electrolytic voltage/V | 0.2; 0.3; 0.4; 0.5; 0.6 |
| Electrolyte | 18% HEDP + 0.03 M BTA |
| Processing period/s | 200 |
| Workpiece size | Φ20 mm× 7 mm |
| Workpiece material | Copper |
| Parameter | Value |
|---|---|
| Electrolytic voltage/V | 0.3 |
| Electrolyte | 18% HEDP + 0.03 M BTA |
| Electrolyzing time/s | 60 |
| Ultrasonic jet angle/° | 30, 45, 60, 90 |
| Ultrasonic processing period/s | 30 |
| Workpiece size | Φ 20 mm × 7 mm |
| Parameter | Value |
|---|---|
| Electrolytic voltage/V | 0.3 |
| Electrolyte | 18% HEDP + 0.03 M BTA |
| Ultrasonic power/W | 60, 80, 100, 120 |
| Ultrasonic processing period/s | 30 |
| Workpiece size | Φ 20 mm × 7 mm |
| Parameter | Value |
|---|---|
| Electrolytic voltage/V | 0.3 |
| Electrolyte | 18% HEDP + 0.03 M BTA |
| Ultrasonic power/W | 100 |
| Ultrasonic processing period/s | 60, 150, 300, 400 |
| Workpiece size | Φ 20 mm × 7 mm |
Disclaimer/Publisher’s Note: The statements, opinions and data contained in all publications are solely those of the individual author(s) and contributor(s) and not of MDPI and/or the editor(s). MDPI and/or the editor(s) disclaim responsibility for any injury to people or property resulting from any ideas, methods, instructions or products referred to in the content. |
© 2024 by the authors. Licensee MDPI, Basel, Switzerland. This article is an open access article distributed under the terms and conditions of the Creative Commons Attribution (CC BY) license (https://creativecommons.org/licenses/by/4.0/).
Share and Cite
Zhang, X.; Wang, J.; Chen, J.; Lyu, B.; Yuan, J. Material Removal and Surface Modification of Copper under Ultrasonic-Assisted Electrochemical Polishing. Processes 2024, 12, 1046. https://doi.org/10.3390/pr12061046
Zhang X, Wang J, Chen J, Lyu B, Yuan J. Material Removal and Surface Modification of Copper under Ultrasonic-Assisted Electrochemical Polishing. Processes. 2024; 12(6):1046. https://doi.org/10.3390/pr12061046
Chicago/Turabian StyleZhang, Xinqian, Jinhu Wang, Jiaqi Chen, Binghai Lyu, and Julong Yuan. 2024. "Material Removal and Surface Modification of Copper under Ultrasonic-Assisted Electrochemical Polishing" Processes 12, no. 6: 1046. https://doi.org/10.3390/pr12061046
APA StyleZhang, X., Wang, J., Chen, J., Lyu, B., & Yuan, J. (2024). Material Removal and Surface Modification of Copper under Ultrasonic-Assisted Electrochemical Polishing. Processes, 12(6), 1046. https://doi.org/10.3390/pr12061046

