Innovative Plant-Derived Biomaterials for Sustainable and Effective Removal of Cationic and Anionic Dyes: Kinetic and Thermodynamic Study
Abstract
1. Introduction
2. Materials and Methods
2.1. Adsorbent
2.2. Adsorbate
2.3. Adsorption Process
2.3.1. Adsorption Kinetic
2.3.2. Adsorption Isotherms
- -
- The Langmuir model is an adsorption model based on the formation of a single layer of adsorbate on the surface of the adsorbent. It is represented by Equation (6) [23]:
- When 1/n = 1, the absorption process is linear, which indicates a homogeneity of the sites and the absence of any interaction between the adsorbed species.
- When 1/n < 1, the adsorption process is favorable, the retention capacity increases, and many new adsorption sites appear.
- When 1/n > 1, the adsorption process is not favorable and the adsorption chains become weaker, resulting in a decrease in the adsorption capacity.
- -
- The Temkin isotherm is represented by the following equation:
- -
- The Dubinin–Radushkevich (D-R) isotherm model has been studied to take into consideration the effect of the porous structure of the adsorbents as well as their free energy of adsorption. It is expressed by the following equation [25]:
3. Results and Discussions
3.1. Main Characteristics of the FPA Adsorbent Material
3.2. Adsorption Kinetic
Modeling of Adsorption Kinetic
- Pseudo-first-order kinetics (PPO)
- b.
- Pseudo-second-order kinetics (PSO)
3.3. Adsorption Mechanism
3.4. Adsorption Isotherms
3.5. Optimization of Adsorption Parameters
3.5.1. Dye Solution Concentration Effect
3.5.2. Adsorbent Mass Effect
3.5.3. Medium pH Effect
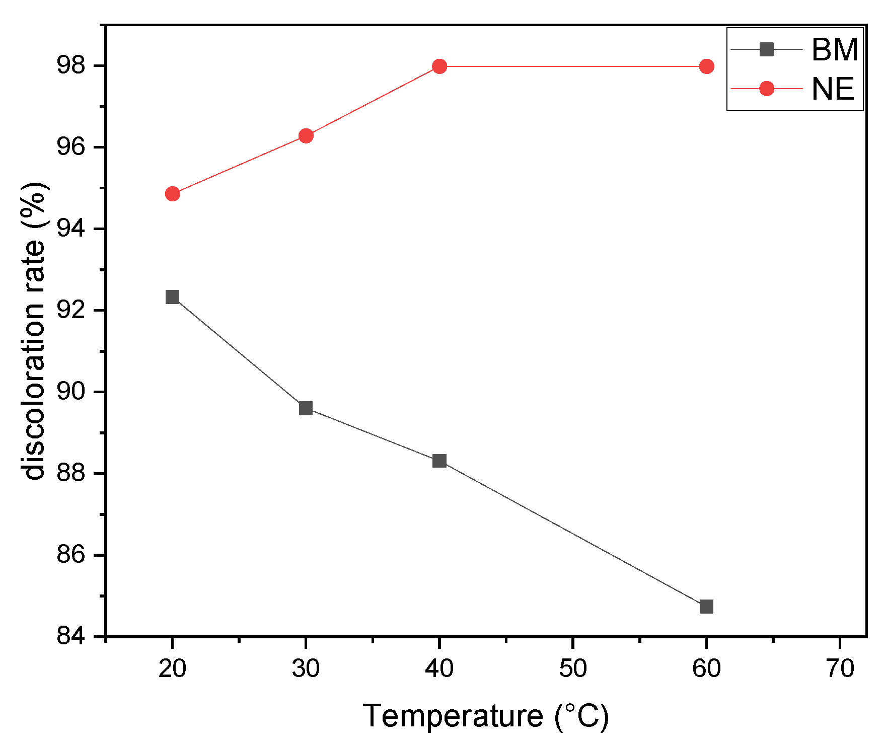
3.5.4. Medium Temperature Effect
3.6. Modeling of Adsorption Isotherms
3.7. Thermodynamic Study
4. Conclusions
Author Contributions
Funding
Data Availability Statement
Conflicts of Interest
References
- Stearns, P.N. The Industrial Revolution in World History; Routledge: London, UK, 2020. [Google Scholar]
- Kishor, R.; Purchase, D.; Saratale, G.D.; Saratale, R.G.; Ferreira, L.F.R.; Bilal, M.; Chandra, R.; Bharagava, R.N. Ecotoxicological and health concerns of persistent coloring pollutants of textile industry wastewater and treatment approaches for environmental safety. J. Environ. Chem. Eng. 2021, 9, 105012. [Google Scholar] [CrossRef]
- Madhav, S.; Ahamad, A.; Singh, P.; Mishra, P.K. A review of textile industry: Wet processing, environmental impacts, and effluent treatment methods. Environ. Qual. Manag. 2018, 27, 31–41. [Google Scholar] [CrossRef]
- Hansen, É.; de Aquim, P.M.; Hansen, A.W.; Cardoso, J.K.; Ziulkoski, A.L.; Gutterres, M. Impact of post-tanning chemicals on the pollution load of tannery wastewater. J. Environ. Manag. 2020, 269, 110787. [Google Scholar] [CrossRef] [PubMed]
- Ndimele, P.E.; Pedro, M.O.; Agboola, J.I.; Chukwuka, K.S.; Ekwu, A.O. Heavy metal accumulation in organs of Oreochromis niloticus (Linnaeus, 1758) from industrial effluent-polluted aquatic ecosystem in Lagos, Nigeria. Environ. Monit. Assess. 2017, 189, 255. [Google Scholar] [CrossRef] [PubMed]
- Ashrafi, O.; Yerushalmi, L.; Haghighat, F. Wastewater treatment in the pulp-and-paper industry: A review of treatment processes and the associated greenhouse gas emission. J. Environ. Manag. 2015, 158, 146–157. [Google Scholar] [CrossRef] [PubMed]
- Hassaan, M.A.; El Nemr, A.; Hassaan, A. Health and environmental impacts of dyes: Mini review. Am. J. Environ. Sci. Eng. 2017, 1, 64–67. [Google Scholar]
- Mashkoor, F.; Nasar, A. Polyaniline/Tectona grandis sawdust: A novel composite for efficient decontamination of synthetically polluted water containing crystal violet dye. Groundw. Sustain. Dev. 2019, 8, 390–401. [Google Scholar] [CrossRef]
- Berradi, M.; Hsissou, R.; Khudhair, M.; Assouag, M.; Cherkaoui, O.; El Bachiri, A.; El Harfi, A. Textile finishing dyes and their impact on aquatic environs. Heliyon 2019, 5, e02711. [Google Scholar] [CrossRef] [PubMed]
- Edokpayi, J.N.; Odiyo, J.O.; Durowoju, O.S. Impact of wastewater on surface water quality in developing countries: A case study of South Africa. Water Qual. 2017, 10, 66561. [Google Scholar] [CrossRef]
- Collivignarelli, M.C.; Abbà, A.; Miino, M.C.; Damiani, S. Treatments for color removal from wastewater: State of the art. J. Environ. Manag. 2019, 236, 727–745. [Google Scholar] [CrossRef] [PubMed]
- Bhatia, D.; Sharma, N.R.; Singh, J.; Kanwar, R.S. Biological methods for textile dye removal from wastewater: A review. Crit. Rev. Environ. Sci. Technol. 2017, 47, 1836–1876. [Google Scholar] [CrossRef]
- Iwuozor, K.O. Prospects and challenges of using coagulation-flocculation method in the treatment of effluents. Adv. J. Chem.-Sect. A 2019, 2, 105–127. [Google Scholar] [CrossRef]
- Särkkä, H.; Bhatnagar, A.; Sillanpää, M. Recent developments of electro-oxidation in water treatment—A review. J. Electroanal. Chem. 2015, 754, 46–56. [Google Scholar] [CrossRef]
- Ma, W.; Zhang, M.; Liu, Z.; Kang, M.; Huang, C.; Fu, G. Fabrication of highly durable and robust superhydrophobic-superoleophilic nanofibrous membranes based on a fluorine-free system for efficient oil/water separation. J. Membr. Sci. 2019, 570, 303–313. [Google Scholar] [CrossRef]
- Qing, W.; Shi, X.; Deng, Y.; Zhang, W.; Wang, J.; Tang, C.Y. Robust superhydrophobic-superoleophilic polytetrafluoroethylene nanofibrous membrane for oil/water separation. J. Membr. Sci. 2017, 540, 354–361. [Google Scholar] [CrossRef]
- Zhu, Z.; Wu, P.; Liu, G.; He, X.; Qi, B.; Zeng, G.; Wang, W.; Sun, Y.; Cui, F. Ultrahigh adsorption capacity of anionic dyes with sharp selectivity through the cationic charged hybrid nanofibrous membranes. Chem. Eng. J. 2017, 313, 957–966. [Google Scholar] [CrossRef]
- Mahmoud, M.E.; Nabil, G.M.; El-Mallah, N.M.; Bassiouny, H.I.; Kumar, S.; Abdel-Fattah, T.M. Kinetics, isotherm, and thermodynamic studies of the adsorption of reactive red 195 A dye from water by modified Switchgrass Biochar adsorbent. J. Ind. Eng. Chem. 2016, 37, 156–167. [Google Scholar] [CrossRef]
- Wang, F.Y.; Wang, H.; Ma, J.W. Adsorption of cadmium (II) ions from aqueous solution by a new low-cost adsorbent—Bamboo charcoal. J. Hazard. Mater. 2010, 177, 300–306. [Google Scholar] [CrossRef]
- Ho, Y.S.; McKay, G.A. comparison of chemisorption kinetic models applied to pollutant removal on various sorbents. Process Saf. Environ. Prot. 1998, 76, 332–340. [Google Scholar] [CrossRef]
- Weber, W.J.; Morris, J.C. kinitics of adsorption on carbon from solution, J,of the sanitary Engineering division 1963, 89, 31–60.
- Obradović, B. Guidelines for general adsorption kinetics modeling. Hem. Ind. 2020, 74, 65–70. [Google Scholar] [CrossRef]
- Bouhamed, F.; Elouear, Z.; Bouzid, J. Adsorptive removal ofcopper(II) from aqueous solutions on activated carbon preparedfrom Tunisian date stones: Equilibrium, kinetics and thermody-namics. J. Taiwan. Inst. Chem. Eng. 2012, 43, 741–749. [Google Scholar] [CrossRef]
- Wang, C.H.; Wen, W.C.; Hsu, H.C.; Yao, B.Y. High-capacitanceKOH-activated nitrogen-containing porous carbon material fromwaste coffee grounds in supercapacitor. Adv. Powder Technol. 2016, 27, 1387–1395. [Google Scholar] [CrossRef]
- Dubinin, M.V.; Starinets, V.S.; Talanov, E.Y.; Mikheeva, I.B.; Belosludtseva, N.V.; Belosludtsev, K.N. Alisporivir improves mitochondrialfunction in skeletal muscle of mdx mice but suppresses mito-chondrial dynamics and biogenesis. Int. J. Molec Sci. 2021, 22, 9780. [Google Scholar] [CrossRef] [PubMed]
- Torab-Mostaedi, M.; Ghaemi, A.; Ghassabzadeh, H.; Ghannadi-Maragheh, M. Removal of strontium and barium from aqueous solutions by adsorption onto expanded perlite. Can. J. Chem. Eng. 2011, 89, 1247–1254. [Google Scholar] [CrossRef]
- Mohamad, A.D.M.; Abualreish, M.J.A.; Abu-Dief, A.M. Temperature and salt effects of the kinetic reactions of substituted 2-pyridylmethylene-8-quinolyl iron (II) complexes as antimicrobial, anti-cancer, and antioxidant agents with cyanide ions. Can. J. Chem. 2021, 99, 763–772. [Google Scholar] [CrossRef]
- Owojori, O.J.; Reinecke, A.J.; Rozanov, A.B. Effects of salinity on partitioning, uptake and toxicity of zinc in the earthworm Eisenia fetida. Soil. Biol. Biochem. 2008, 40, 2385–2393. [Google Scholar] [CrossRef]
- Seghier, A.; Habouchi, F.; Fortas, F.Z.; Cheklam, L.; Hadjel, M. Adsorption du bleu de sétapers issu de l’industrie de textile TAYAL de Relizane sur un biosorbant à faible coût préparé à base de feuilles d’artichaut. Int. J. Nat. Resour. Environ. 2021, 3, 61–72. [Google Scholar]
- Kamran, U.; Bhatti, H.N.; Noreen, S.; Tahir, M.A.; Park, S.J. Chemically modified sugarcane bagasse-based biocomposites for efficient removal of acid red 1 dye: Kinetics, isotherms, thermodynamics, and desorption studies. Chemosphere 2022, 291, 132796. [Google Scholar] [CrossRef]
- Makhlouf, M.; Hamacha, R.; Villiéras, F.; Bengueddach, A. Kinetics and thermodynamics adsorption of phenolic compounds on organic-inorganic hybrid mesoporous material. Int. J. Innov. Appl. Stud. 2013, 3, 1116–1124. [Google Scholar]
- Bouberka, Z.; Kacha, S.; Kameche, M.; Elmaleh, S.; Derriche, Z. Sorption study of an acid dye from aqueous solutions using modified clays. J. Hazard. Mater. 2005, 119, 117–124. [Google Scholar] [CrossRef] [PubMed]
- Abdellah, T. Etude de L’élimination du Chrome et de Bleu de Méthylène en Milieu Aqueux par Adsorption sur la Pyrophyllite Traitée et Non Traitée. Thèse Doctorale, Faculté des Sciences Rabat, Rabat, Morocco, 2006.
- Temkin, M.J.; Pyzhev, V. Modifications récentes des isothermes de Langmuir. Acta Phys. Chem. 1940, 12, 217–222. [Google Scholar]
- Freundlich, H. De l’adsorption des gaz. Section II. Cinétique et énergétique de l’adsorption des gaz. Article introductif à la section II. Trans. Faraday Soc. 1932, 28, 195–201. [Google Scholar] [CrossRef]
- Chu, K.H. Revisiter l’isotherme de Temkin: Incohérence dimensionnelle et formes approximatives. Rech. En. Chim. Ind. Et. Tech. 2021, 60, 13140–13147. [Google Scholar]
- Mahanty, B.; Behera, S.K.; Sahoo, N.K. Misinterpretation of Dubinin–Radushkevich isotherm and its implications on adsorption parameter estimates. Sep. Sci. Technol. 2023, 58, 1275–1282. [Google Scholar] [CrossRef]
- Azzouni, D.; Baragh, F.; Mahmoud, A.M.; Alanazi, M.M.; Rais, Z.; Taleb, M. Optimization of methylene blue removal from aqueous solutions using activated carbon derived from coffee ground pyrolysis: A response surface methodology (RSM) approach for natural and cost-effective adsorption. J. Saudi Chem. Soc. 2023, 27, 101695. [Google Scholar] [CrossRef]
- Azzouni, D.; Hassani, E.M.S.; Rais, Z.; Taleb, M. An Excellent Alternative to Industrial Activated Carbons for the Purification of Textile Water Elaborated from Waste Coffee Grounds. Int. J. Environ. Res. 2022, 16, 89. [Google Scholar] [CrossRef]












| Characteristics | Maxilon Blue | Eriochrome Black |
|---|---|---|
| Molecular weight (g/mole) | 483 | 461.381 |
| Chemical formula | C19H26N3O6S2 | C20H12N3O7SNa |
| Azo groups | Mono | Mono |
| Chromophore groups | (-N=N-) (-C=C-) | (-N=N-) (-C=C-) (-NO2) |
| Auxochrome groups | (-OH) | (-OH) |
| Type | Cationic | Anionic |
| pH | 5.6 | 5.6 |
| λmax (nm) | 599 | 526 |
| Chemical structure | ![]() | ![]() |
| RL | 0 < RL < 1 | RL > 0 | RL = 1 | RL = 0 |
|---|---|---|---|---|
| Adsorption type | Adsorption is favorable | Unfavorable adsorption | Linear adsorption | Irreversible adsorption |
| BT | BT < 8 | 8 < BT < 16 | BT > 16 |
|---|---|---|---|
| Adsorption process | Physical adsorption | Ion exchange | Chemical adsorption |
| Kinetic Model | Pseudo-First-Order | Pseudo-Second-Order | ||||||||
|---|---|---|---|---|---|---|---|---|---|---|
| Concentration (mg/L) | R2 | K1 (min−1) | qethe (mg/g) | qeexp (mg/g) | R2 | K2 (g/mg.min) | h (mg/g.min) | qethe (mg/g) | qeexp (mg/g) | |
| BM | 5 | 0.04 | 0.0003 | 1.314 | 8.25 | 0.99 | −0.015 | −0.126 | 8.123 | 8.25 |
| 10 | 0.02 | 0.003 | 0.587 | 18.46 | 1 | −0.188 | −3.472 | 18.31 | 18.46 | |
| 20 | 0.05 | 0.005 | 1.33 | 35.80 | 1 | −0.148 | −5.312 | 35.71 | 35.80 | |
| 30 | 0.45 | 0.014 | 4.76 | 53.71 | 1 | 0.099 | 5.322 | 52.91 | 53.71 | |
| 40 | 0.25 | 0.011 | 6.436 | 70.84 | 1 | 0.221 | 15.65 | 70.92 | 70.84 | |
| 50 | 0.11 | 0.007 | 7.133 | 85.63 | 0.99 | 0.049 | 4.192 | 84.74 | 85.63 | |
| 60 | 0.03 | 0.004 | 6.099 | 95.61 | 1 | −0.110 | −10.51 | 95.23 | 95.61 | |
| 70 | 0.08 | 0.007 | 7.458 | 112.60 | 0.99 | −0.011 | −1.261 | 108.69 | 112.60 | |
| 100 | 0.02 | −0.004 | 3.34 | 147.43 | 1 | −1.492 | −219.96 | 147.05 | 147.43 | |
| NE | 10 | 0.03 | −0.002 | 0.394 | 10.45 | 0.99 | −0.125 | −1.306 | 10.13 | 10.45 |
| 20 | 0.17 | −0.006 | 0.368 | 22.39 | 0.99 | −0.044 | −0.985 | 21.41 | 22.39 | |
| 50 | 0.61 | −0.01 | 1.85 | 34.55 | 0.99 | −0.017 | −0.587 | 32.36 | 34.55 | |
| 70 | 0.07 | 0.003 | 1.719 | 36.59 | 0.99 | −0.028 | −1.024 | 34.24 | 36.59 | |
| 100 | 0.05 | 0.004 | 4.86 | 47.73 | 0.99 | −0.074 | −3.532 | 46.08 | 47.73 | |
| 120 | 0.20 | 0.009 | 6.35 | 53.32 | 0.99 | 0.042 | 2.239 | 51.51 | 53.32 | |
| Concentrations Mg/L | Diffusion Constants | |||
|---|---|---|---|---|
| Kt | C | R2 | ||
| BM | 5 | 0.4769 | 5.136 | 0.2116 |
| 10 | 1.1935 | 10.513 | 0.2795 | |
| 20 | 2.366 | 20.074 | 0.293 | |
| 30 | 3.7704 | 27.481 | 0.3516 | |
| 40 | 5.0734 | 36.684 | 0.354 | |
| 50 | 5.9913 | 45.212 | 0.3361 | |
| 70 | 7.6828 | 59.136 | 0.3285 | |
| 100 | 9.3354 | 86.575 | 0.261 | |
| NE | 10 | 0.678 | 5.827 | 0.2863 |
| 20 | 1.3617 | 12.951 | 0.2521 | |
| 50 | 1.6705 | 23.138 | 0.1442 | |
| 70 | 2.5038 | 18.441 | 0.3411 | |
| 100 | 4.0568 | 19.223 | 0.4935 | |
| 120 | 4.9886 | 17.431 | 0.5922 | |
| Dyes | Langmuir | Freundlich | Temkin | D-R | ||||||||
|---|---|---|---|---|---|---|---|---|---|---|---|---|
| (mg/g) | R2 | 1/n | R2 | BT | KT | R2 | KDR | E (Kj/mol) | R2 | |||
| BM | 196.078 | 0.134 | 0.983 | 1.124 | 0.143 | 0.941 | 56.11 | 5.31 × 10−17 | 0.991 | 3 × 10−6 | 4.08 × 102 | 0.860 |
| NE | 30.488 | −0.457 | 0.981 | 2.088 | 0.014 | 0.981 | 18.26 | 4.56 × 10−9 | 0.970 | 2 × 10−6 | 5 × 102 | 0.857 |
| C (mg/L) | 10 | 20 | 30 | 50 | 70 | 100 | 120 |
|---|---|---|---|---|---|---|---|
| RL | |||||||
| BM | 0.427 | 0.271 | 0.199 | 0.131 | 0.097 | 0.07 | - |
| NE | - | 0.89 | - | 0.96 | 0.97 | 0.98 | 0.98 |
| Parameters | Temperatures | ΔH° (J.mol−1 K−1) | ΔS° (J/mol) | ΔG° (J/mol) |
|---|---|---|---|---|
| BM | 20 °C | −10,409 | −16.85 | −5460.406028 |
| 30 °C | −5242.206332 | |||
| 40 °C | −5261.755284 | |||
| 60 °C | −4745.671639 | |||
| NE | 20 °C | 20,518.9 | 95.19 | −7100.774357 |
| 30 °C | −8195.002824 | |||
| 40 °C | −10105.07668 | |||
| 60 °C | −10750.76848 |
Disclaimer/Publisher’s Note: The statements, opinions and data contained in all publications are solely those of the individual author(s) and contributor(s) and not of MDPI and/or the editor(s). MDPI and/or the editor(s) disclaim responsibility for any injury to people or property resulting from any ideas, methods, instructions or products referred to in the content. |
© 2024 by the authors. Licensee MDPI, Basel, Switzerland. This article is an open access article distributed under the terms and conditions of the Creative Commons Attribution (CC BY) license (https://creativecommons.org/licenses/by/4.0/).
Share and Cite
Saoudi Hassani, E.M.; Azzouni, D.; Alanazi, M.M.; Mehdaoui, I.; Mahmoud, R.; Kabra, A.; Taleb, A.; Taleb, M.; Rais, Z. Innovative Plant-Derived Biomaterials for Sustainable and Effective Removal of Cationic and Anionic Dyes: Kinetic and Thermodynamic Study. Processes 2024, 12, 922. https://doi.org/10.3390/pr12050922
Saoudi Hassani EM, Azzouni D, Alanazi MM, Mehdaoui I, Mahmoud R, Kabra A, Taleb A, Taleb M, Rais Z. Innovative Plant-Derived Biomaterials for Sustainable and Effective Removal of Cationic and Anionic Dyes: Kinetic and Thermodynamic Study. Processes. 2024; 12(5):922. https://doi.org/10.3390/pr12050922
Chicago/Turabian StyleSaoudi Hassani, El Mokhtar, Dounia Azzouni, Mohammed M. Alanazi, Imane Mehdaoui, Rachid Mahmoud, Atul Kabra, Abdeslam Taleb, Mustapha Taleb, and Zakia Rais. 2024. "Innovative Plant-Derived Biomaterials for Sustainable and Effective Removal of Cationic and Anionic Dyes: Kinetic and Thermodynamic Study" Processes 12, no. 5: 922. https://doi.org/10.3390/pr12050922
APA StyleSaoudi Hassani, E. M., Azzouni, D., Alanazi, M. M., Mehdaoui, I., Mahmoud, R., Kabra, A., Taleb, A., Taleb, M., & Rais, Z. (2024). Innovative Plant-Derived Biomaterials for Sustainable and Effective Removal of Cationic and Anionic Dyes: Kinetic and Thermodynamic Study. Processes, 12(5), 922. https://doi.org/10.3390/pr12050922



