Numerical Simulation Study of Gas-Liquid Two-Phase Flow in a Pressurized Leaching Stirred Tank
Abstract
1. Introduction
2. CFD Model Details
2.1. Physical Model
2.2. Governing Equations
2.3. Boundary Conditions
3. Model Validation
3.1. Grid Independence
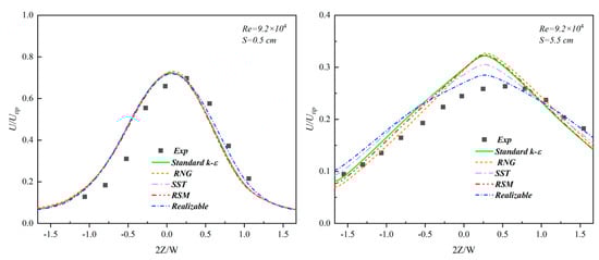
3.2. Turbulence Model Validation
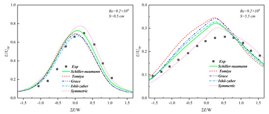
3.3. Drag Force Model Validation
4. Results and Discussion
4.1. Effect of the Sulfuric Acid Concentration on the Flow Field and Gas Holdup in Stirred Tanks
4.2. Effect of Baffles on the Flow Field and Gas Holdup in the Stirred Tanks
4.3. Influence of the Air Inlet Velocity on the Flow Field and Gas Holdup in Stirred Tanks
4.4. Effect of the Bubble Diameter on the Flow Field and Gas Holdup in Stirred Tanks
4.5. Flow Field and Gas Holdup in Stirred Tanks under the Interaction of the Sulfuric Acid Concentration and Inlet Velocity
5. Conclusions
- (1)
- The addition of sulfuric acid significantly influenced the gas-liquid dynamics within the stirred tank. At a sulfuric acid concentration of 60 g/L, the velocity of the solution flow decreased, the agitation area was reduced, and the gas holdup increased from 0.1944% to 0.2017%. Further increasing the sulfuric acid concentration to 180 g/L resulted in only a slight increase in the gas holdup from 0.2017% to 0.2019%, with minimal impact on the flow field.
- (2)
- The installation of baffles in the stirred tank effectively converted the tangential velocity into radial and axial velocities, thus mitigating swirling phenomena. This not only enhanced the distribution of turbulent kinetic energy and promoted mixing within the tank but also resulted in a 2% increase in the gas holdup. Meanwhile, the addition of baffles only increased power consumption by 1.2%.
- (3)
- Increasing the air inlet velocity had minimal impact on the flow field within the stirred tank, slightly enhancing the velocity distribution and reducing the dead zones at the top of the tank. However, the effect on the oxygen content within the tank was markedly significant, as increasing the inlet velocity from 0.05 m/s to 0.15 m/s, 0.25 m/s, 0.35 m/s, and 0.45 m/s resulted in gas holdup changes of: 0.18%, 0.61%, 1.04%, 1.53%, and 12.06%, respectively.
- (4)
- Reducing the bubble diameter from 0.005 m to 0.004 m and 0.001 m decreased the axial velocity of the bubbles, thereby increasing the gas holdup time in the tank and resulting in a gas holdup rate increase from 0.985% to 0.996% and 1.005%, respectively. Consequently, production processes can enhance their gas holdup by reducing the bubble diameter, achieved by decreasing the aperture of the gas distributor or using mixing paddles with greater shear force, among other strategies.
- (5)
- In further investigations into the interplay between the sulfuric acid concentration and inlet velocity, it was observed that a higher sulfuric acid concentration enhanced the oxygen content in the stirred tank at an inlet velocity of 0.05 m/s. At inlet velocities of 0.15 m/s and 0.25 m/s, a higher sulfuric acid concentration reduced the oxygen content in the tank, and this reduction became more pronounced at gas velocities of 0.35 m/s and 0.45 m/s. This information can serve as a valuable reference for selecting optimal sulfuric acid concentrations and air inlet velocities under specific production conditions.
Author Contributions
Funding
Data Availability Statement
Conflicts of Interest
References
- Xi, J.; Ji, G.; Liao, Y.; Wu, Y.; Liu, Q.; Li, M. Research on separation and extraction of valuable metals from complex non-ferrous metals resources by high pressure oxygen leaching methodology: A review. J. Sustain. Metall. 2022, 8, 51–63. [Google Scholar] [CrossRef]
- Liang, M.; Di, H.; Song, L.; Yang, K.; Zhang, L. Study on leaching behaviour of germanium and iron in zinc oxide dust from lead zinc smelting. Can. Metall. Q. 2023, 62, 573–580. [Google Scholar] [CrossRef]
- Sadeghi, N.; Moghaddam, J.; Ilkhchi, M.O. Kinetics of zinc sulfide concentrate direct leaching in pilot plant scale and development of semi-empirical model. Trans. Nonferrous Met. Soc. China 2017, 27, 2272–2281. [Google Scholar] [CrossRef]
- Xu, Z.-F.; Jiang, Q.-Z.; Wang, C.-Y. Atmospheric oxygen-rich direct leaching behavior of zinc sulphide concentrate. Trans. Nonferrous Met. Soc. China 2013, 23, 3780–3787. [Google Scholar] [CrossRef]
- Padilla, R.; Vega, D.; Ruiz, M. Pressure leaching of sulfidized chalcopyrite in sulfuric acid–oxygen media. Hydrometallurgy 2007, 86, 80–88. [Google Scholar] [CrossRef]
- Tian, L.; Xu, Z.; Chen, L.; Liu, Y.; Zhang, T.-a. Study on oxygen gas holdup and kinetics using various types of paddles during marmatite leaching process. Hydrometallurgy 2018, 180, 158–171. [Google Scholar] [CrossRef]
- Masterov, M.; Baltussen, M.; Kuipers, J. Numerical simulation of a square bubble column using Detached Eddy Simulation and Euler–Lagrange approach. Int. J. Multiph. Flow 2018, 107, 275–288. [Google Scholar] [CrossRef]
- Sommer, A.-E.; Rox, H.; Shi, P.; Eckert, K.; Rzehak, R. Solid-liquid flow in stirred tanks: “CFD-grade” experimental investigation. Chem. Eng. Sci. 2021, 245, 116743. [Google Scholar] [CrossRef]
- Scarano, F. Tomographic PIV: Principles and practice. Meas. Sci. Technol. 2012, 24, 012001. [Google Scholar] [CrossRef]
- Trindade Koyro, P.; Lima de Moura, H.; de Lima Amaral, R.; Freitas de Lima e Freitas, L.; Duarte Barbutti, A.; Nunhez, J.R.; de Castilho, G.J. Comparison of PIV measurements and OpenFOAM simulations of a stirred tank: Study of the azimuthal position effect. J. Braz. Soc. Mech. Sci. Eng. 2022, 44, 421. [Google Scholar] [CrossRef]
- Shah, S.; Jain, S.; Patel, R.; Lakhera, V. CFD for centrifugal pumps: A review of the state-of-the-art. Procedia Eng. 2013, 51, 715–720. [Google Scholar] [CrossRef]
- Zhang, Y.H.; Yong, Y.M.; Mao, Z.S.; Yang, C.; Sun, H.Y.; Wang, H.L. Numerical Simulation of Gas-Liquid Flow in a Stirred Tank with Swirl Modification. Chem. Eng. Technol. 2009, 32, 1266–1273. [Google Scholar] [CrossRef]
- Wang, S.; Bu, Q.; Luan, D.; Zhang, Y.; Li, L.; Wang, Z.; Shi, W. Study on gas–liquid flow characteristics in stirred tank with dual-impeller based on CFD-PBM coupled model. Chin. J. Chem. Eng. 2021, 38, 63–75. [Google Scholar] [CrossRef]
- Ochieng, A.; Onyango, M.S.; Kumar, A.; Kiriamiti, K.; Musonge, P. Mixing in a tank stirred by a Rushton turbine at a low clearance. Chem. Eng. Process. Process Intensif. 2008, 47, 842–851. [Google Scholar] [CrossRef]
- Heidari, A. CFD simulation of impeller shape effect on quality of mixing in two-phase gas–liquid agitated vessel. Chin. J. Chem. Eng. 2020, 28, 2733–2745. [Google Scholar] [CrossRef]
- Hoseini, S.; Najafi, G.; Ghobadian, B.; Akbarzadeh, A. Impeller shape-optimization of stirred-tank reactor: CFD and fluid structure interaction analyses. Chem. Eng. J. 2021, 413, 127497. [Google Scholar] [CrossRef]
- Chen, Z.-B.; Yan, H.-J.; Ping, Z.; Ping, Y.; Ding, J.-H.; Jia, L.; Liu, L. Parametric study of gas− liquid two-phase flow field in horizontal stirred tank. Trans. Nonferrous Met. Soc. China 2021, 31, 1806–1817. [Google Scholar] [CrossRef]
- Naeeni, S.K.; Pakzad, L. Experimental and numerical investigation on mixing of dilute oil in water dispersions in a stirred tank. Chem. Eng. Res. Des. 2019, 147, 493–509. [Google Scholar] [CrossRef]
- Liangchao, L.; Ning, C.; Kefeng, X.; Beiping, X. A comparative CFD study on gas-liquid dispersion in a stirred tank with low and high gas loadings. Int. J. Chem. React. Eng. 2018, 16, 20170147. [Google Scholar] [CrossRef]
- Appa, H.; Deglon, D.; Meyer, C. Numerical modelling of hydrodynamics and gas dispersion in an autoclave. Hydrometallurgy 2013, 131, 67–75. [Google Scholar] [CrossRef]
- Arjunwadkar, S.; Sarvanan, K.; Kulkarni, P.; Pandit, A. Gas-liquid mass transfer in dual impeller bioreactor. Biochem. Eng. J. 1998, 1, 99–106. [Google Scholar] [CrossRef]
- Zawawi, M.H.; Saleha, A.; Salwa, A.; Hassan, N.; Zahari, N.M.; Ramli, M.Z.; Muda, Z.C. A review: Fundamentals of computational fluid dynamics (CFD). AIP Conf. Proc. 2018, 2030, 020252. [Google Scholar]
- Zhang, H.; Tang, S.; Yue, H.; Wu, K.; Zhu, Y.; Liu, C.; Liang, B.; Li, C. Comparison of computational fluid dynamic simulation of a stirred tank with polyhedral and tetrahedral meshes. Iran. J. Chem. Chem. Eng. (IJCCE) 2020, 39, 311–319. [Google Scholar]
- Panneerselvam, R.; Savithri, S.; Surender, G.D. CFD modeling of gas–liquid–solid mechanically agitated contactor. Chem. Eng. Res. Des. 2008, 86, 1331–1344. [Google Scholar] [CrossRef]
- Khopkar, A.R.; Ranade, V.V. CFD simulation of gas–liquid stirred vessel: VC, S33, and L33 flow regimes. AIChE J. 2006, 52, 1654–1672. [Google Scholar] [CrossRef]
- Ljungqvist, M.; Rasmuson, A. Numerical simulation of the two-phase flow in an axially stirred vessel. Chem. Eng. Res. Des. 2001, 79, 533–546. [Google Scholar] [CrossRef]
- Sanyal, J.; Vásquez, S.; Roy, S.; Dudukovic, M. Numerical simulation of gas–liquid dynamics in cylindrical bubble column reactors. Chem. Eng. Sci. 1999, 54, 5071–5083. [Google Scholar] [CrossRef]
- Lane, G.; Schwarz, M.; Evans, G. Predicting gas–liquid flow in a mechanically stirred tank. Appl. Math. Model. 2002, 26, 223–235. [Google Scholar] [CrossRef]
- Coroneo, M.; Montante, G.; Paglianti, A.; Magelli, F. CFD prediction of fluid flow and mixing in stirred tanks: Numerical issues about the RANS simulations. Comput. Chem. Eng. 2011, 35, 1959–1968. [Google Scholar] [CrossRef]
- Jaworski, Z.; Zakrzewska, B. Modelling of the turbulent wall jet generated by a pitched blade turbine impeller: The effect of turbulence model. Chem. Eng. Res. Des. 2002, 80, 846–854. [Google Scholar] [CrossRef]
- Bianchi, G.; Rane, S.; Kovacevic, A.; Cipollone, R. Deforming grid generation for numerical simulations of fluid dynamics in sliding vane rotary machines. Adv. Eng. Softw. 2017, 112, 180–191. [Google Scholar] [CrossRef]
- Guan, X.; Li, X.; Yang, N.; Liu, M. CFD simulation of gas-liquid flow in stirred tanks: Effect of drag models. Chem. Eng. J. 2020, 386, 121554. [Google Scholar] [CrossRef]
- Whittington, B.; Muir*, D. Pressure acid leaching of nickel laterites: A review. Miner. Process. Extr. Metullargy Rev. 2000, 21, 527–599. [Google Scholar] [CrossRef]
- Murthy, B.; Kasundra, R.; Joshi, J. Hollow self-inducing impellers for gas–liquid–solid dispersion: Experimental and computational study. Chem. Eng. J. 2008, 141, 332–345. [Google Scholar] [CrossRef]























| Phase | m−3) | s)−1] |
|---|---|---|
| liquid | 1500 | 0.01 |
| gas | 1.299 | 10−5 |
Disclaimer/Publisher’s Note: The statements, opinions and data contained in all publications are solely those of the individual author(s) and contributor(s) and not of MDPI and/or the editor(s). MDPI and/or the editor(s) disclaim responsibility for any injury to people or property resulting from any ideas, methods, instructions or products referred to in the content. |
© 2024 by the authors. Licensee MDPI, Basel, Switzerland. This article is an open access article distributed under the terms and conditions of the Creative Commons Attribution (CC BY) license (https://creativecommons.org/licenses/by/4.0/).
Share and Cite
Zhao, Z.; Chen, F.; Liu, J.; Liu, Q.; Hou, Y.; Yang, N.; Xie, G. Numerical Simulation Study of Gas-Liquid Two-Phase Flow in a Pressurized Leaching Stirred Tank. Processes 2024, 12, 896. https://doi.org/10.3390/pr12050896
Zhao Z, Chen F, Liu J, Liu Q, Hou Y, Yang N, Xie G. Numerical Simulation Study of Gas-Liquid Two-Phase Flow in a Pressurized Leaching Stirred Tank. Processes. 2024; 12(5):896. https://doi.org/10.3390/pr12050896
Chicago/Turabian StyleZhao, Zhongzheng, Fengyang Chen, Junchang Liu, Qihong Liu, Yanqing Hou, Ni Yang, and Gang Xie. 2024. "Numerical Simulation Study of Gas-Liquid Two-Phase Flow in a Pressurized Leaching Stirred Tank" Processes 12, no. 5: 896. https://doi.org/10.3390/pr12050896
APA StyleZhao, Z., Chen, F., Liu, J., Liu, Q., Hou, Y., Yang, N., & Xie, G. (2024). Numerical Simulation Study of Gas-Liquid Two-Phase Flow in a Pressurized Leaching Stirred Tank. Processes, 12(5), 896. https://doi.org/10.3390/pr12050896
