Adaptive Neural Network Tracking Control of Robotic Manipulators Based on Disturbance Observer
Abstract
1. Introduction
- (1)
 - A novel adaptive neural network controller combining a disturbance observer is designed to simultaneously solve the uncertain parts of the model and environmental disturbances. Compared to [6], an ANN controller is derived using backstepping technology, and a sliding mode surface with an integral term is added to the virtual control law. This reduces the steady-state errors of the system and enhances its robustness without increasing its energy consumption.
 - (2)
 - The bounded value of approximation error is introduced in the observer structure, which can accurately estimate the approximation error of the ANN and ensure the stability of the observer. When designing the observer, considering the online approximation of uncertainty by the adaptive update law, the state equation of the system is rewritten.
 - (3)
 
2. Preliminaries and Problem Description
2.1. Preliminaries
2.2. Neural Networks
2.3. Problem Description
3. Main Results
3.1. Controller Design
3.2. Design Procedure
- Rewrite the system into the form of (5) using (4).
 - Set in (6) and choose .
 - Determine and from (8) and (9), and design as the structure in (13), so that (15) satisfies .
 - Reconstruct and in (13) to obtain the form of (16), and select appropriate values for and in (18).
 - Build the system in the form of (19) using (5) and (17).
 - Choose , and rebuild form (24).
 - Feedback the value of in (24) to (16) to obtain the structure of (27).
 
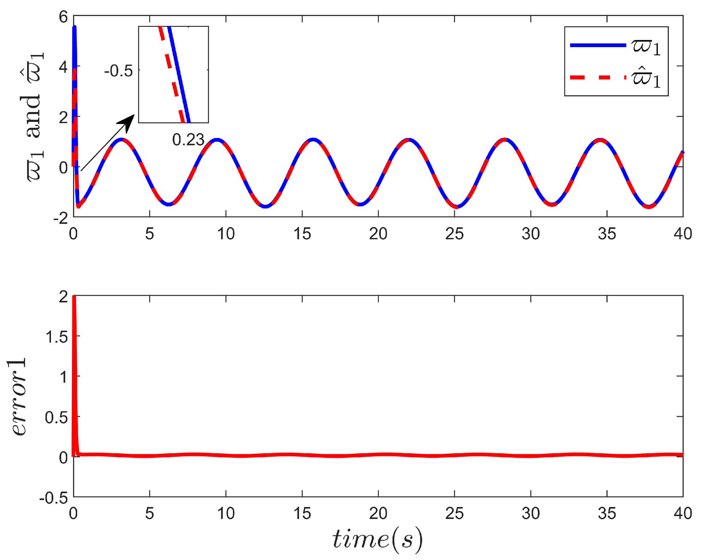
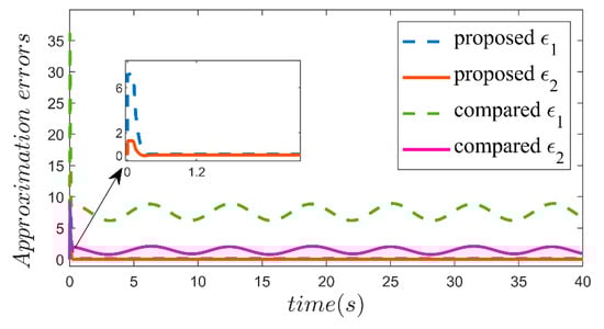
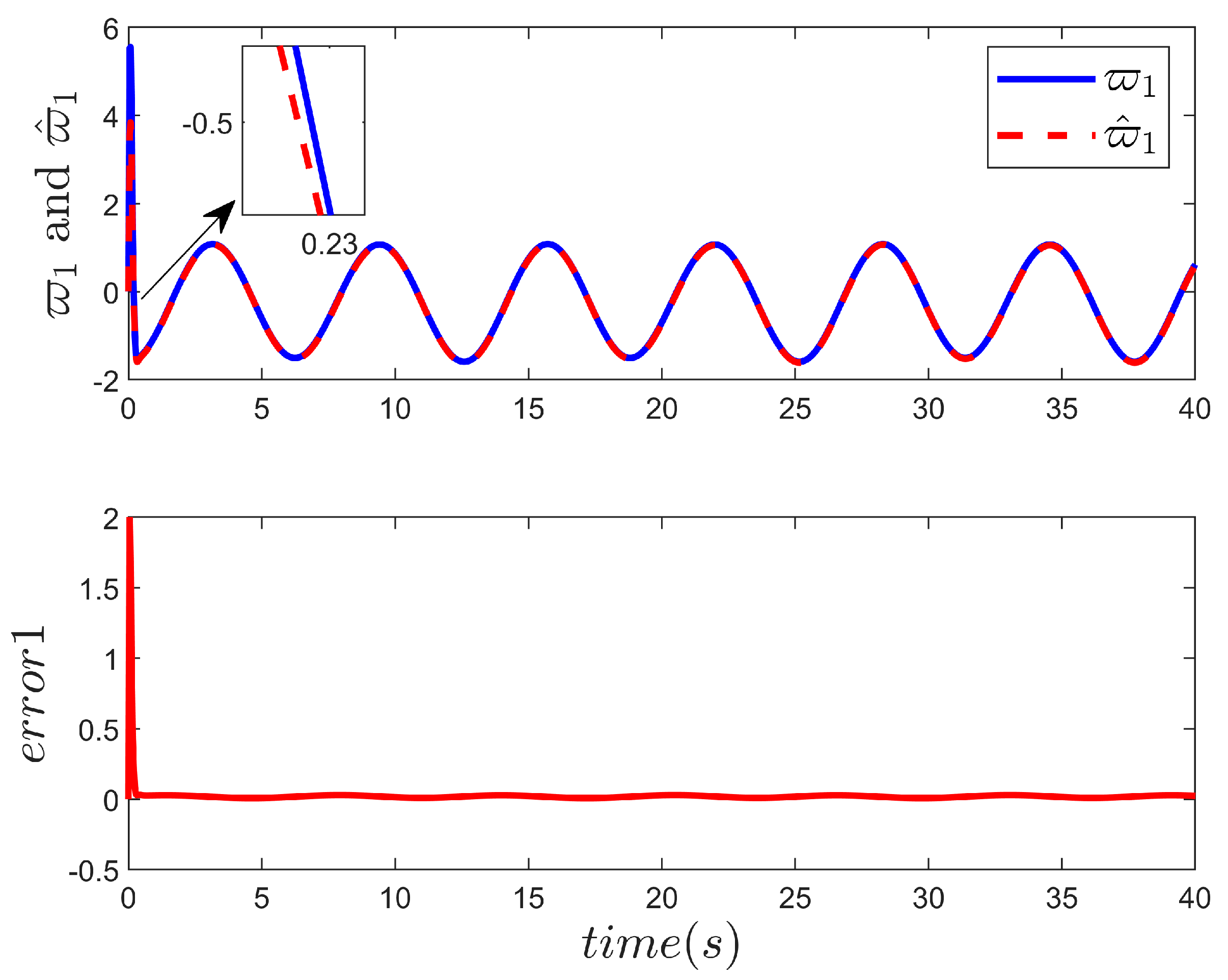
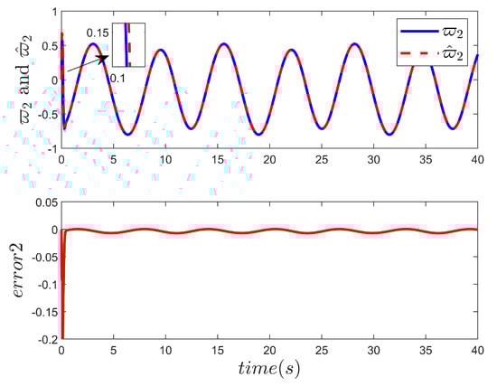
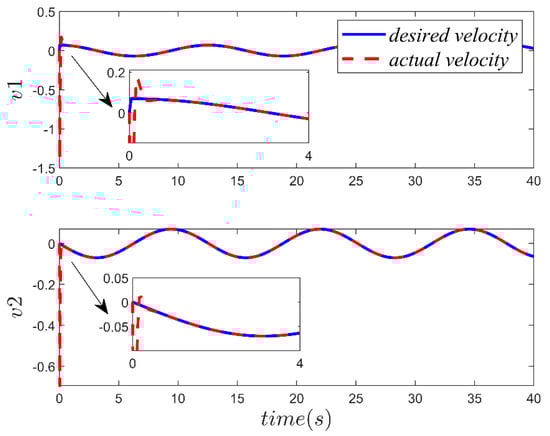
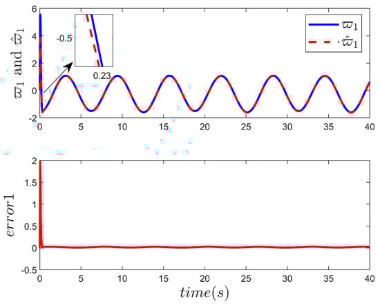
4. Simulations
5. Conclusions
Author Contributions
Funding
Data Availability Statement
Conflicts of Interest
References
- Li, C.; Zhao, L.; Xu, Z. Finite-Time Adaptive Event-Triggered Control for Robot Manipulators with Output Constraints. IEEE Trans. Circuits Syst. II Express Briefs 2022, 69, 3824–3828. [Google Scholar] [CrossRef]
 - Arteaga-Peréz, M.A.; Pliego-Jiménez, J.; Romero, J.G. Experimental Results on the Robust and Adaptive Control of Robot Manipulators without Velocity Measurements. IEEE Trans. Control Syst. Technol. 2020, 28, 2770–2773. [Google Scholar] [CrossRef]
 - Xu, B. Composite neural dynamic surface control of a class of uncertain nonlinear systems in strict-feedback form. IEEE Trans. Cybern. 2017, 44, 2626–2634. [Google Scholar] [CrossRef] [PubMed]
 - Zhang, G.; Pan, J.; Li, T.; Wang, Z.; Wang, D. Fixed-Time Control of a Robotic Arm Based on Disturbance Observer Compensation. Processes 2024, 12, 93. [Google Scholar] [CrossRef]
 - Jin, L.; Li, S.; Yu, J.; He, J. Robot manipulator control using neural networks: A survey. Neurocomputing 2018, 285, 23–34. [Google Scholar] [CrossRef]
 - He, W.; Ge, S.S.; Li, Y.; Chew, E.; Ng, Y.S. Neural Network Control of a Rehabilitation Robot by State and Output Feedback. J. Intell. Robot. Syst. 2015, 80, 15–31. [Google Scholar] [CrossRef]
 - Ivan, L.-S.; Ricardo, P.-A.; Javier, M.-V. Trajectory tracking double two-loop adaptive neural network control for a Quadrotor. J. Frankl. Inst. 2023, 360, 3770–3799. [Google Scholar]
 - Zhang, Y.; Liu, J.; Yu, J.; Liu, D. Single neural network-based asymptotic adaptive control for an autonomous underwater vehicle with uncertain dynamics. Ocean Eng. 2023, 286, 115553. [Google Scholar] [CrossRef]
 - Hassan, N.; Saleem, A. Neural Network-Based Adaptive Controller for Trajectory Tracking of Wheeled Mobile Robots. IEEE Access 2022, 10, 13582–13597. [Google Scholar] [CrossRef]
 - Angel, L.; Viola, J. Fractional order PID for tracking control of a parallel robotic manipulator type delta. ISA Trans. 2018, 79, 172–188. [Google Scholar] [CrossRef]
 - Zhao, H.; Liu, W.; Chen, X.; Sun, H. Adaptive robust constraint-following control for underactuated unmanned bicycle robot with uncertainties. ISA Trans. 2023, 143, 144–155. [Google Scholar] [CrossRef] [PubMed]
 - Zhen, S.; Meng, C.; Xiao, H.; Liu, X.; Chen, Y.-H. Robust approximate constraint following control for SCARA robots system with uncertainty and experimental validation. Control Eng. Pract. 2023, 138, 105610. [Google Scholar] [CrossRef]
 - Yu, X.; Li, B.; He, W.; Feng, Y.; Cheng, L.; Silvestre, C. Adaptive-Constrained Impedance Control for Human–Robot Co-Transportation. IEEE Trans. Cybern. 2022, 52, 13237–13249. [Google Scholar] [CrossRef] [PubMed]
 - Duan, J.J.; Gan, Y.H.; Chen, M.; Dai, X.Z. Symmetrical adaptive variable admittance control for position/force tracking of dual-arm cooperative manipulators with unknown trajectory deviations. Robot. Comput.-Integr. Manuf. 2019, 57, 357–369. [Google Scholar]
 - Liu, Y.; Wang, Y.; Guan, X.; Hu, T.; Zhang, Z.; Jin, S.; Wang, Y.; Hao, J.; Li, G. Direction and Trajectory Tracking Control for Nonholonomic Spherical Robot by Combining Sliding Mode Controller and Model Prediction Controller. IEEE Robot. Autom. Lett. 2022, 7, 11617–11624. [Google Scholar] [CrossRef]
 - Truong, T.N.; Vo, A.T.; Kang, H.-J. A Backstepping Global Fast Terminal Sliding Mode Control for Trajectory Tracking Control of Industrial Robotic Manipulators. IEEE Access 2021, 9, 31921–31931. [Google Scholar] [CrossRef]
 - Hu, H.; Wang, X.; Chen, L. Impedance Sliding Mode Control with Adaptive Fuzzy Compensation for Robot-Environment Interacting. IEEE Access 2020, 8, 19880–19889. [Google Scholar] [CrossRef]
 - Yin, X.X.; Pan, L.; Cai, S.B. Robust adaptive fuzzy sliding mode trajectory tracking control for serial robotic manipulators. Robot. Comput.-Integr. Manuf. 2021, 72, 101884. [Google Scholar] [CrossRef]
 - Zaare, S.; Soltanpour, M.R. Adaptive fuzzy global coupled nonsingular fast terminal sliding mode control of n-rigid-link elastic-joint robot manipulators in presence of uncertainties. Mech. Syst. Signal Process. 2022, 163, 108165. [Google Scholar] [CrossRef]
 - Truong, T.N.; Vo, A.T.; Kang, H.-J. Neural network-based sliding mode controllers applied to robot manipulators: A review. Neurocomputing 2023, 562, 126896. [Google Scholar] [CrossRef]
 - Yang, C.; Huang, D.; He, W.; Cheng, L. Neural Control of Robot Manipulators with Trajectory Tracking Constraints and Input Saturation. IEEE Trans. Neural Netw. Learn. Syst. 2022, 32, 4231–4242. [Google Scholar] [CrossRef] [PubMed]
 - Sun, W.; Wu, Y.; Lv, X. Adaptive Neural Network Control for Full-State Constrained Robotic Manipulator with Actuator Saturation and Time-Varying Delays. IEEE Trans. Neural Netw. Learn. Syst. 2022, 33, 3331–3342. [Google Scholar] [CrossRef] [PubMed]
 - Liu, E.; Yan, Y.; Yang, Y. Neural network approximation-based backstepping sliding mode control for spacecraft with input saturation and dynamics uncertainty. Acta Astronaut. 2022, 191, 1–10. [Google Scholar] [CrossRef]
 - Zhang, Y.; Kong, L.; Zhang, S.; Yu, X.; Liu, Y. Improved Sliding Mode Control for a Robotic Manipulator with Input Deadzone and Deferred Constraint. IEEE Trans. Syst. Man Cybern. Syst. 2023, 53, 7814–7826. [Google Scholar] [CrossRef]
 - Singh, P.; Giri, D.K.; Ghosh, A.K. Ghosh, Robust backstepping sliding mode aircraft attitude and altitude control based on adaptive neural network using symmetric BLF. Aerosp. Sci. Technol. 2022, 126, 107653. [Google Scholar] [CrossRef]
 - Vijay, M.; Jena, D. Backstepping terminal sliding mode control of robot manipulator using radial basis functional neural networks. Comput. Electr. Eng. 2018, 67, 690–707. [Google Scholar] [CrossRef]
 - Gao, X.; Yu, H.; Yang, Q.; Meng, X.; Zhang, P. Neural network based dynamic surface integral nonsingular fast terminal sliding mode control for manipulators with disturbance rejection. J. Frankl. Inst. 2023, 360, 11032–11054. [Google Scholar] [CrossRef]
 - Ding, Z.; Wang, H.; Sun, Y.; Qin, H. Adaptive prescribed performance second-order sliding mode tracking control of autonomous underwater vehicle using neural network-based disturbance observer. Ocean Eng. 2022, 260, 111939. [Google Scholar] [CrossRef]
 - Men, X.; Guo, Z. Adaptive composite control of an upper limb compliant exoskeleton robot based on RBF neural network. Control Eng. China 2023, 6, 1–9. [Google Scholar]
 - Zhang, R.; Xu, B.; Shi, P. Output Feedback Control of Micromechanical Gyroscopes Using Neural Networks and Disturbance Observer. IEEE Trans. Neural Netw. Learn. Syst. 2022, 33, 962–972. [Google Scholar] [CrossRef]
 - Li, G.; Yu, J.; Chen, X. Adaptive Fuzzy Neural Network Command Filtered Impedance Control of Constrained Robotic Manipulators with Disturbance Observer. IEEE Trans. Neural Netw. Learn. Syst. 2023, 34, 5171–5180. [Google Scholar] [CrossRef]
 - He, W.; Dong, Y.; Sun, C. Adaptive neural impedance control of a robotic manipulator with input saturation. IEEE Trans. Syst. Man Cybern. Syst. 2016, 46, 334–344. [Google Scholar] [CrossRef]
 - Li, Y.N.; Yang, C.G.; Ge, S.S.; Lee, T.H. Adaptive output feedback NN control of a class of discrete-time MIMO nonlinear systems with unknown control directions. IEEE Trans. Syst. Man Cybern. Part B 2011, 41, 507–517. [Google Scholar]
 










Disclaimer/Publisher’s Note: The statements, opinions and data contained in all publications are solely those of the individual author(s) and contributor(s) and not of MDPI and/or the editor(s). MDPI and/or the editor(s) disclaim responsibility for any injury to people or property resulting from any ideas, methods, instructions or products referred to in the content.  | 
© 2024 by the authors. Licensee MDPI, Basel, Switzerland. This article is an open access article distributed under the terms and conditions of the Creative Commons Attribution (CC BY) license (https://creativecommons.org/licenses/by/4.0/).
Share and Cite
Li, T.; Zhang, G.; Zhang, T.; Pan, J. Adaptive Neural Network Tracking Control of Robotic Manipulators Based on Disturbance Observer. Processes 2024, 12, 499. https://doi.org/10.3390/pr12030499
Li T, Zhang G, Zhang T, Pan J. Adaptive Neural Network Tracking Control of Robotic Manipulators Based on Disturbance Observer. Processes. 2024; 12(3):499. https://doi.org/10.3390/pr12030499
Chicago/Turabian StyleLi, Tianli, Gang Zhang, Tan Zhang, and Jing Pan. 2024. "Adaptive Neural Network Tracking Control of Robotic Manipulators Based on Disturbance Observer" Processes 12, no. 3: 499. https://doi.org/10.3390/pr12030499
APA StyleLi, T., Zhang, G., Zhang, T., & Pan, J. (2024). Adaptive Neural Network Tracking Control of Robotic Manipulators Based on Disturbance Observer. Processes, 12(3), 499. https://doi.org/10.3390/pr12030499
        
