Pressure Pulsation Characteristics of a Self-Priming Pump under Typical Operating Conditions
Abstract
1. Introduction
2. Calculation Model and Method
2.1. Computational Model
2.2. Grid Independence Verification
2.3. Control Equations
2.4. Numerical Method Verification
3. Results Analysis
3.1. Pressure Pulsation in the Volute Channel
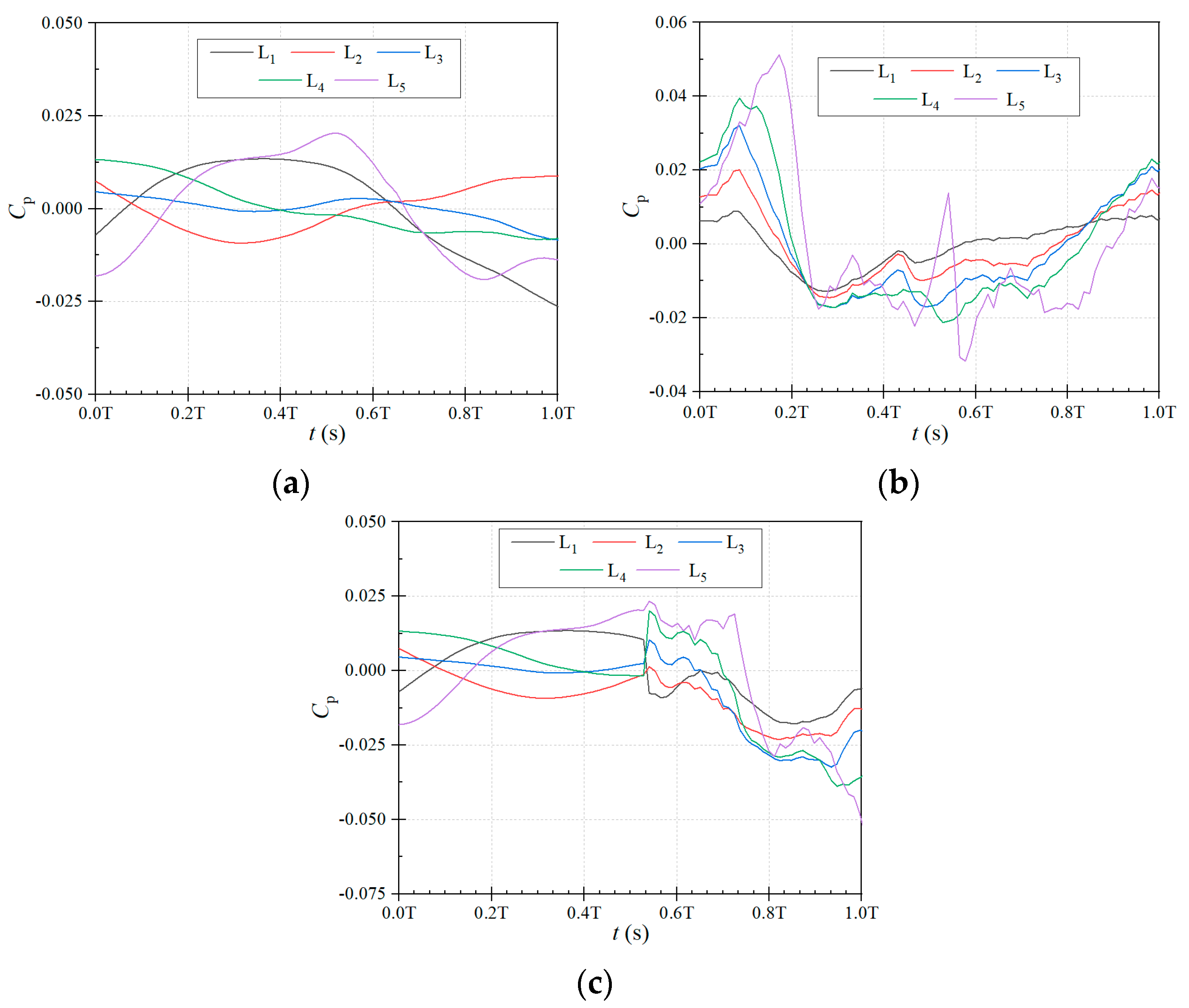
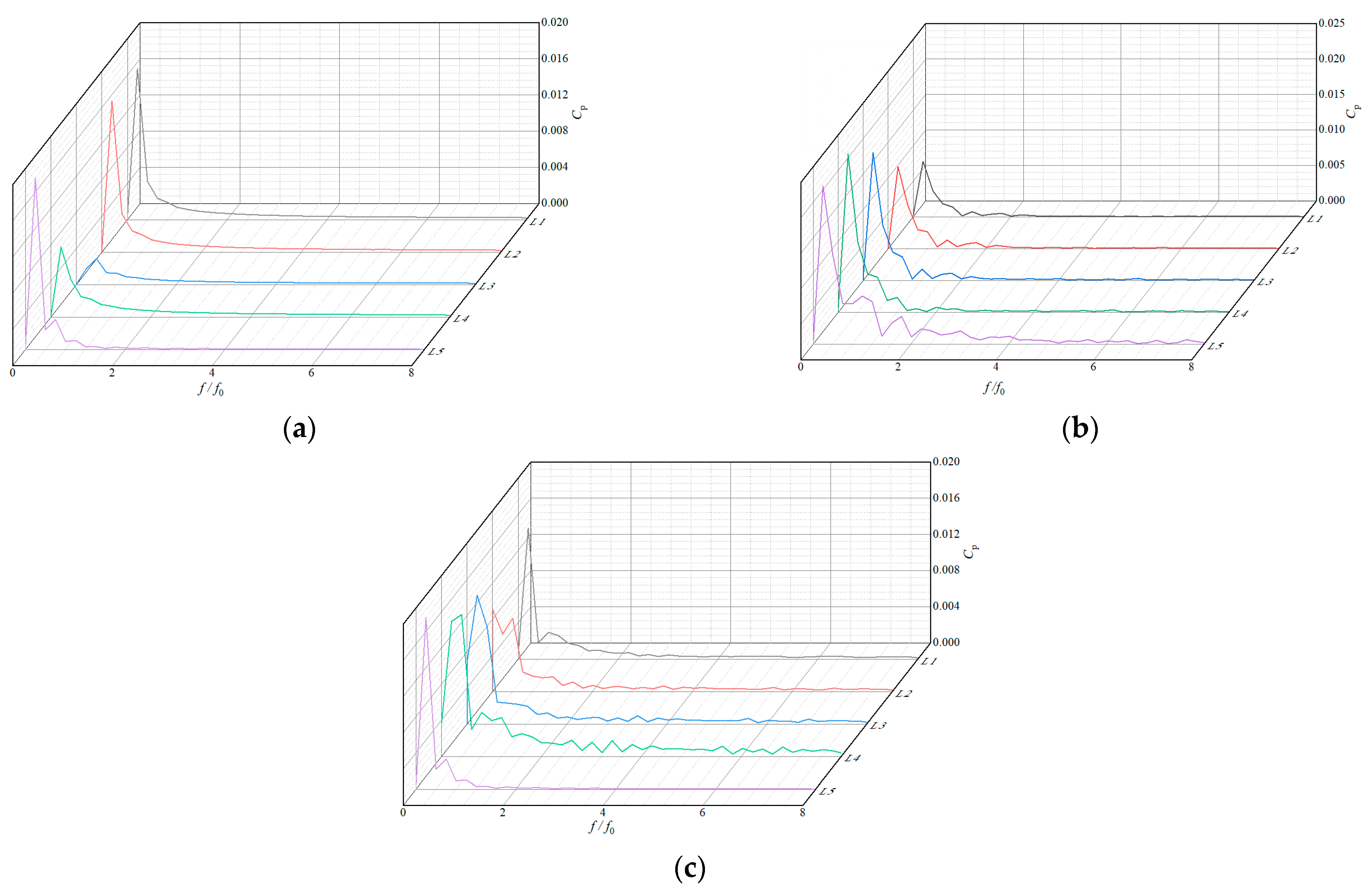
3.2. Pressure Pulsation in the Impeller Channel
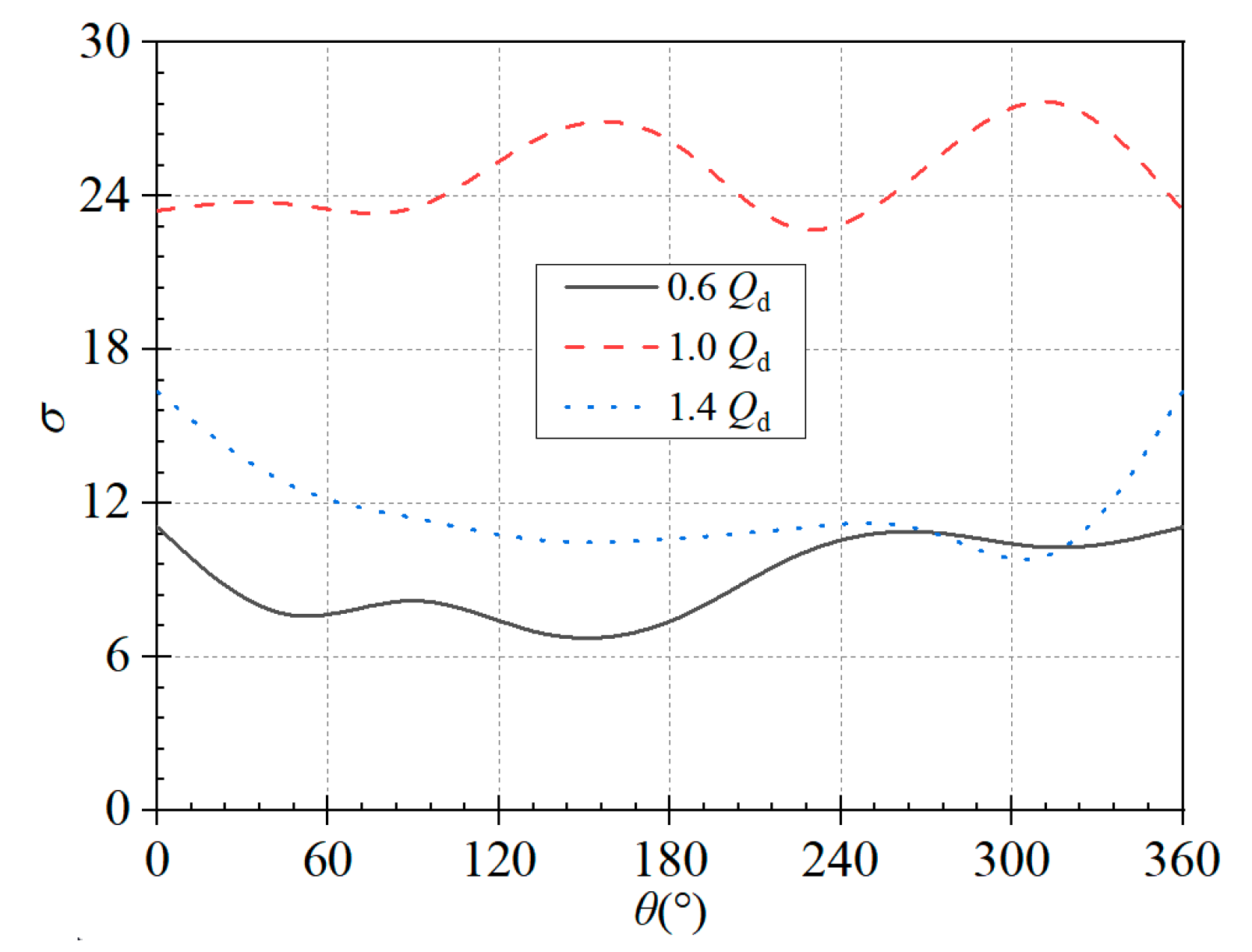
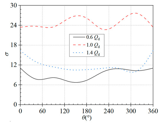
3.3. Standard Deviation
4. Discussions
5. Conclusions
- (1)
- For the monitoring points at the volute section, the pressure pulsations in the time-domain and frequency-domain plots under the rated- and high-flow conditions have obvious periodic regularity, with the peak pressure pulsations occurring in the octave band of the blade frequency, and the amplitude of pressure pulsations under the high-flow condition is larger than that under the other two conditions.
- (2)
- The magnitude of pressure pulsations at L1 and L5 is larger at the monitoring points on the centerline of the impeller channel. Because L1 is close to the impeller inlet region, the fluid impacts the blade inlet, and L5 is close to the impeller outlet domain and is subject to outlet return flow and rotor–stator interaction effects.
- (3)
- During operation of the self-priming pump, the volute domain pressure pulsation is very complex, this part of the flow is extremely complex, and the pressure pulsation is largest at rated flow, followed by the high- and low-flow conditions.
Author Contributions
Funding
Data Availability Statement
Conflicts of Interest
References
- Qian, H.; Mou, J.; Wu, D.; Ren, Y.; Zheng, S.; Zhu, Z. Experimental investigation on the gas-liquid flow patterns in a centrifugal pump during self-priming process. AIP Adv. 2020, 10, 015136. [Google Scholar] [CrossRef]
- Wang, C.; He, X.; Zhang, D.; Hu, B.; Shi, W. Numerical and experimental study of the self-priming process of a multistage self-priming centrifugal pump. Int. J. Energy Res. 2019, 43, 4074–4092. [Google Scholar] [CrossRef]
- Shepard, J. Self-priming pumps: An overview. World Pumps 2003, 444, 21–25. [Google Scholar]
- Wu, D.; Zhu, Z.; Ren, Y.; Gu, Y.; Zhou, P. Influence of blade profile on energy loss of sewage self-priming pump. J. Braz. Soc. Mech. Sci. Eng. 2019, 41, 470–484. [Google Scholar] [CrossRef]
- Gu, Y.; Yu, L.; Mou, J.; Wu, D.; Xu, M.; Zhou, P.; Ren, Y. Research strategies to develop environmentally friendly marine antifouling coatings. Mar. Drugs 2020, 18, 371. [Google Scholar] [CrossRef] [PubMed]
- Der, O.; Alqahtani, A.A.; Marengo, M.; Bertola, V. Characterization of polypropylene pulsating heat stripes: Effects of orientation, heat transfer fluid, and loop geometry. Appl. Therm. Eng. 2021, 184, 116304. [Google Scholar] [CrossRef]
- Luca, P.; Naoko, I.; Fabio, B. Pulsating heat pipes: Critical review on different experimental techniques. Exp. Therm. Fluid Sci. 2023, 148, 110980. [Google Scholar]
- Tan, L.; Niu, G.; Shi, W.; Shi, Z.; Chen, C. Experimental Investigation of Pressure Fluctuations for Centrifugal Pumps at Different Rotational Speed. J. Nantong Univ. (Nat. Sci. Ed.) 2020, 19, 56–63. [Google Scholar]
- Jiang, W.; Zhu, X.; Tian, H.; Li, G.; Wang, Y. Numerical and experimental study of influence of semi-high guide vane on pressure fluctuation in centrifugal pump. J. Cent. South Univ. 2021, 52, 1276–1286. [Google Scholar]
- Zhang, Y.; Li, J.; Wang, T.; Xiao, J.; Jia, X.; Zhang, L. Pressure distribution on the inner wall of the volute casing of a centrifugal pump. Sci. Technol. Nucl. Install. 2022, 2022, 3563459. [Google Scholar] [CrossRef]
- Sun, Z.; Wang, L.; Ge, H.; Yuan, H.; Tang, F. Experiment on pressure pulsation in impeller of large submersible tubular pump. Trans. Chin. Soc. Agric. Mach. 2023, 54, 155–160, 169. [Google Scholar]
- Gao, B.; Wang, Z.; Yang, L.; Du, W.; Wu, C. Analysis and test of performance and hydraulic excitation characteristics of centrifugal pump with different seal ring clearances. Trans. Chin. Soc. Agric. Eng. 2016, 34, 79–85. [Google Scholar]
- Xu, Z.; Li, Z.; Wang, W.; Wang, Q.; Xu, Y. Influence of air void fraction on pressure fluctuation of centrifugal aviation fuel pump blade. J. Drain. Irrig. Mach. Eng. 2023, 41, 239–246. [Google Scholar]
- Li, J.; Li, H.; Zhang, W.; Wang, Y.; Li, K.; Wang, S. Transient flow structures and pressure pulsations of a high-pressure aero-fuel centrifugal pump. J. Northwestern Polytech. Univ. 2022, 40, 199–205. [Google Scholar] [CrossRef]
- Yang, B.; Pan, Z.; Ibra, F. Analyses of gas-liquid two-phase flow and pressure fluctuation during start-up of municipal waterlogging self-priming pump. J. Jiangsu Univ. (Nat. Sci. Ed.) 2020, 41, 516–522. [Google Scholar]
- Liu, Z.; Kong, F.; Wang, Y.; Xie, S.; Zhao, L. Effect of unequal spacing blade distribution on pressure fluctuation of self-priming vortex pump. J. Drain. Irrig. Mach. Eng. 2017, 35, 113–118. [Google Scholar]
- Wang, Y.; Peng, S.; Liu, R.; Liu, Y. Numerical simulation of pressure fluctuation in self-priming vortex pump. J. Drain. Irrig. Mach. Eng. 2015, 33, 583–588. [Google Scholar]
- Wang, C.; Si, Y.; Liu, H.; Wu, Z.; Yi, T. Pressure fluctuation characteristics study of unsteady flow field on rotational flow self-priming pump. China Mech. Eng. 2009, 20, 2586–2590. [Google Scholar]
- Zhou, P.; Wu, Z.; Mou, J.; Wu, D.; Zheng, S.; Gu, Y. Effect of reflux hole on the transient flow characteristics of the self-priming sewage centrifugal pump. J. Appl. Fluid Mech. 2019, 12, 689–699. [Google Scholar] [CrossRef]
- Zhao, X.; Xiao, Y.; Wang, Z.; Luo, Y.; Cao, L. Unsteady flow and pressure pulsation characteristics analysis of rotating stall in centrifugal pumps under off-design conditions. J. Fluids Eng. 2018, 140, 021105. [Google Scholar] [CrossRef]
- Wang, C.; Zeng, C.; Yang, X.; Peng, H.; Liu, D. Numerical simulation and performance prediction of positive and negative internal flow field of double suction pump. J. Drain. Irrig. Mach. Eng. 2015, 33, 577–582. [Google Scholar]
- Chen, J.; Wang, Y.; Liu, H.; Shan, C.; Zhang, X. Internal flow and unsteady characteristics of ultra-low specific speed centrifugal pump. J. Drain. Irrig. Mach. Eng. 2018, 36, 377–383. [Google Scholar]
- Wang, K.; Zhao, Y.; Wang, S.; Xiao, Y.; Wang, C.; Zhang, J. Analysis of pressure fluctuation and internal flow characteristics of axial flow pumps under off design conditions. J. Hydroelectr. Eng. 2023, 42, 86–96. [Google Scholar]
- Yang, J.; Zhou, R.; Chen, H.; Yu, T. Transient flow characteristics and pressure pulsation characteristics at splitter of double-volute centrifugal pump during startup. J. Jiangsu Univ. (Nat. Sci. Ed.) 2021, 42, 278–283. [Google Scholar]
- Gan, G.; Duan, Y.; Yi, J.; Fu, Q.; Zhu, R.; Shi, W. Effect of tip clearance on the cavitation performance of high-speed pump-jet propeller. Process 2023, 11, 3050. [Google Scholar] [CrossRef]
- Mou, J.; Liu, J.; Zheng, S.; Gu, Y.; Dai, D.; Ma, Y. Effect of tongue on pressure fluctuation and internal flow in centrifugal pump. J. Cent. South Univ. (Sci. Technol.) 2016, 47, 4089–4097. [Google Scholar]
- Jia, X.; Shen, S.; Zhang, S.; Lv, H.; Lin, Z.; Zhu, Z. Influence of tip clearance on internal energy loss characteristics of axial flow pumps under different operating conditions. Phys. Fluids 2024, 36, 015102. [Google Scholar] [CrossRef]
- Zhang, Y.; Zhu, Z.; Li, W. Experiments on pressure distribution of a low specific-speed centrifugal pump with atypical open impeller. J. Chem. Eng. Jpn. 2020, 53, 237–245. [Google Scholar] [CrossRef]

















| System Component | Parameters | Value |
|---|---|---|
| Piping | Pump inlet diameter/mm | 168 |
| Pump outlet diameter/mm | 120 | |
| Gas–liquid separation chamber | Height/mm | 680 |
| Width/mm | 480 | |
| Volute | Outlet size/mm | 90 × 48 |
| Base circle diameter/mm | 282 | |
| Impeller | Rotational speed/r·min−1 | 2950 |
| Outlet width/mm | 14 | |
| Inlet Diameter/mm | 113.5 | |
| Outer edge diameter/mm | 251 | |
| Number of blades/pc | 5 |
Disclaimer/Publisher’s Note: The statements, opinions and data contained in all publications are solely those of the individual author(s) and contributor(s) and not of MDPI and/or the editor(s). MDPI and/or the editor(s) disclaim responsibility for any injury to people or property resulting from any ideas, methods, instructions or products referred to in the content. |
© 2024 by the authors. Licensee MDPI, Basel, Switzerland. This article is an open access article distributed under the terms and conditions of the Creative Commons Attribution (CC BY) license (https://creativecommons.org/licenses/by/4.0/).
Share and Cite
Zhao, Y.-J.; Li, J.-F.; Zhang, Y.-L.; Xu, X.-W.; Tong, L.-H. Pressure Pulsation Characteristics of a Self-Priming Pump under Typical Operating Conditions. Processes 2024, 12, 335. https://doi.org/10.3390/pr12020335
Zhao Y-J, Li J-F, Zhang Y-L, Xu X-W, Tong L-H. Pressure Pulsation Characteristics of a Self-Priming Pump under Typical Operating Conditions. Processes. 2024; 12(2):335. https://doi.org/10.3390/pr12020335
Chicago/Turabian StyleZhao, Yan-Juan, Jin-Fu Li, Yu-Liang Zhang, Xiao-Wei Xu, and Liang-Huai Tong. 2024. "Pressure Pulsation Characteristics of a Self-Priming Pump under Typical Operating Conditions" Processes 12, no. 2: 335. https://doi.org/10.3390/pr12020335
APA StyleZhao, Y.-J., Li, J.-F., Zhang, Y.-L., Xu, X.-W., & Tong, L.-H. (2024). Pressure Pulsation Characteristics of a Self-Priming Pump under Typical Operating Conditions. Processes, 12(2), 335. https://doi.org/10.3390/pr12020335

