Abstract
Bioplastics are an alternative to reduce the environmental damage caused by petroleum-based plastics. However, the effect of primary recycling (reprocessing) of bioplastics from biomass resources has not yet been well studied. If successful, this would boost the landing of recyclable and biodegradable bio-based materials to the market. In order to meet the challenge of recycling bioplastics, it is necessary to study the reprocessing of bio-based materials that potentially behave as thermoplastics. This study investigated the primary recyclability of Zein- and soy protein isolate (SPI)-based bioplastics by reprocessing. Protein powders were initially mixed with glycerol (Gly), which acts as a plasticizer, and the blends were subjected to injection moulding. Initial specimens were reprocessed by injection moulding up to five times. The effect of reprocessing was evaluated by dynamic mechanical analysis (DMA), tensile test, and water uptake capacity (WUC). Finally, the property–structure relationship was assessed by scanning electron microscopy (SEM). The results showed that the recycled SPI-based bioplastics reduced elongation at break (i.e., ɛMax decreased from 0.8 to 0.3 mm/mm), whereas the parameters from tensile tests did not decrease upon recycling for Zein-based bioplastics (p < 0.05). The results obtained confirm that it is possible to reprocess protein-based bioplastics from two different renewable sources while maintaining the mechanical properties, although the loss of Gly was reflected in tensile tests and WUC. These results highlight the possibility of replacing petroleum-based plastics with bio-based materials that can be recycled, which reduces dependence on natural biopolymers and contributes to sustainable development.
1. Introduction
The new trend to recycle post-consumer waste into more environmentally friendly alternatives, such as bioplastics, is forcing a rethink of the processing techniques typically used for polymer materials, which are now also being used for bio-based materials [,,]. Common thermoplastic polymers can be reprocessed through primary recycling. The recycling process consists of the direct reuse of uncontaminated discarded polymer into new products and it is in most cases used to reduce industrial wastes [,]. The reprocessing of polymeric materials after disposal is considered secondary recycling. Although post-consumer waste can also be subjected to primary recycling, additional complications may arise, such as the need for selective collection and changes in chemical composition as a result of its use []. The reprocessing of synthetic polymers does not change the chemical composition of the polymer chains, although the molecular weight is reduced by chain scission []. This phenomenon occurs in the presence of water and trace amounts of acids and can lead to a reduction in mechanical properties. In any case, the assessment of polymer recyclability passes through the reprocessing of these materials as primary recycling since the above-mentioned phenomena can be at least partially counteracted by intermediate steps such as intensive drying, the application of vacuum degassing, and the use of stabilizing additives []. Thus, the recycling of bioplastics in terms of reprocessing should be analysed to ensure the ability of these materials to be reconverted into different objects. In this sense, mechanical recycling of synthetic thermoplastic polymers uses mechanical processes such as crushing, grinding, and mechanical separation to recycle materials. This process is usually effective and efficient for traditional plastics. However, there may be some challenges and limitations for bioplastics [].
Recyclable and biodegradable properties can be effective options for dealing with the enormous amount of plastic packaging waste produced industrially []. Recycling of bioplastics is one of the key ways to protect the environment and reduce pollution. Moreover, this recycling process helps to provide the resources needed for the new production of bioplastics []. Thus, adopting recyclable bioplastics as a sustainable alternative to traditional plastics will not only help increase the use of renewable resources but also reduce the environmental risks associated with plastic waste [,].
The main storage protein in corn is Zein, which is a by-product of the production of ethanol, starch, and oil from corn, of which it is the major protein (~45–50%). In addition, because of its negative nitrogen balance and low water solubility, Zein cannot be used directly for human consumption and is, therefore, mainly used as animal feed [,]. Due to its stability, biodegradability, renewable, and mechanical properties, Zein is an excellent candidate for the production of green materials in various industries, including textile and plastic industries []. Further research in the field of ornamental applications and other plant products in the plastic industry is aimed at improving the performance and utilization of these resources and can contribute to environmental sustainability and reducing dependency [].
Soy protein isolate (SPI) is a protein concentrate obtained from a defatted, high-protein meal from the soy oil industry. It originates from soybeans, which have an important protein content (38–45%) and reached a world production in 2018 of approximately 350 Mt []. It is typically used as a low-cost material for animal feed and is mostly discarded as industrial waste around the world []. The specific properties of soy protein have attracted the attention of the production of bio-based materials [,] since the high content of glutamic and aspartic acids in soy protein, as amino acids, may chemically and physically help to form hydrogen bonds [,].
Testing the primary recyclability of Zein and SPI covers a wide range of protein-based bioplastics with specific functionalities. These preliminary tests will not only ensure the production of bio-based and biodegradable materials but will also ensure the recycling of protein-based materials, which is preferable to biodegradation. This would result in a reduction in the energy required to produce raw materials, and thereby mitigate climate change, as low recycling rates of plastic products are a serious threat to our planet []. This work will extend the research carried out by other researchers who have developed bioplastics based not only on Zein and SPI but also on other proteins such as pea, rice, gluten, gelatin, and albumen among others [,,,,], as the results obtained in this work are possibly extrapolated to these other works.
This work analyses the effect of reprocessing Zein and SPI bioplastics by injection moulding (zero, one, and five times), allowing the recycling of future bio-based products using conventional methods already applied to synthetic polymers. Zein/Gly and SPI/Gly blends were first homogenized in a mixing rheometer and then processed by injection moulding. Fourier transform infrared spectroscopy (FTIR) and thermogravimetric analysis (TGA) were used to determine cross-linking reactions and loss of components, respectively. Mechanical properties were tested by dynamic mechanical analysis (DMA) and tensile tests, while water uptake capacity (WUC) and soluble matter loss (SML) were used to determine their functional properties. The microstructure of the samples was assessed by scanning electron microscopy. The results obtained consolidate a solid background on the effect of reprocessing to protein-based bioplastics, helping to reduce the current dependence on oil for the production of polymeric materials.
2. Materials and Methods
2.1. Materials
Shanghai Seasongreen Chemical Co., Ltd. (Shanghai, China) supplied Zein (protein content: 92.4%). A LECO CHNS-932 nitrogen microanalyzer (Leco Corporation, St. Joseph, MI, USA) was used to determine the protein content (% N × 6.25) in quadruplicate. Moisture, lipid, and ash content were 6.11, 2.01, and 0.17%, respectively. Soy protein isolate (SPI) (SUPRO500E, 91 wt.% protein) was supplied by Proanda (Sevilla, Spain). Panreac Química S.A. (Barcelona, Spain) supplied pharma-grade glycerol (Gly), which was employed as a plasticizer in all the formulations analysed in this work.
2.2. Sample Preparation
Bioplastic materials were produced through a two-step method. First, the protein system (either Zein or SPI) and Gly were mixed in a two-blade anti-rotatory rheometer (Haake Polylab QC, Thermo Haake, Vreden, Germany). According to previous studies, the Zein/Gly ratio was 75/25, while the SPI/Gly ratio was 60/40 [,]. This mixer allowed monitoring of torque and temperature throughout the mixing process, and a dough-like mixture was obtained after 10 min of mixing at 50 rpm and 25 °C (note that when reprocessing, this first step was avoided, and bioplastics were directly subjected to the second processing step). The temperature was maintained using the Polylab QC control software Version 2.4.0.28 through an air-cooling accessory. In the second processing step, the blends were then subjected to injection moulding to obtain dumbbell and rectangular (60 × 10 × 1 mm) bioplastic probes using the laboratory scale injection moulding machine MiniJet II (ThermoHaake, Vreden, Germany). The blends were injected at 500 bar for 170 s and 200 bar for 10 s. The mould and cylinder temperatures were selected according to the previously mentioned process. Thus, the temperature selected for Zein/Gly was 150 °C in the cylinder, while the mould temperature was 40 °C. In the case of SPI/Gly, the temperature selected for the cylinder was 40 °C, whereas the mould was set at 150 °C. These experimental conditions were previously optimized by the authors for Zein and SPI-based bioplastics [,]. Table 1 summarises the processing conditions used for this study. When materials were recycled, the first probes obtained after injection moulding were cut into small pieces, which were then reintroduced into the injection moulding device and reprocessed employing the same processing conditions of the original probe. Reprocessed probes were obtained until this process was repeated 5 times.

Table 1.
Processing conditions of Zeni/Gly and SPI/Gly bioplastics.
Figure 1 summarises the overall experimental design followed to address the proposed research work:

Figure 1.
Flowchart summarising the experimental work and characterisation of protein-based bioplastics.
2.3. Characterisation
The characterisation carried out was aimed at clarifying the various characteristics of the materials obtained and correlating them with changes in the structure due to the reprocessing stage. In this sense, FTIR was carried out to observe changes in functional groups, while TGA and DSC were used to determine changes in composition (by weight loss or by changes in Tg values, respectively). Thermomechanical properties were determined by DMA as a function of temperature and frequency, which showed the behaviour of the materials at different temperatures and as a function of frequency, which is related to the relaxation time of the macromolecules. The tensile mechanical properties were also analysed by non-linear deformation, as in the case of stress–strain curves. Finally, the functional properties of the bioplastics were determined by their ability to absorb water and the resulting microstructure.
2.3.1. Dynamic Mechanical Analysis (DMA)
Rheological properties were obtained for samples (blends and bioplastics) through small amplitude oscillatory deformation in compression mode for blends and in tension mode for bioplastic probes. DMA tests were carried out in a DMA850 rheometer (TA Instruments, New Castle, DE, USA). Compression tests for blends were carried out in a 15 mm diameter cylindrical compression geometry, whereas rectangular tensile clamps were used for injection-moulded bioplastics. Viscoelastic moduli were obtained as a function of frequency at constant temperature (25 °C) by frequency sweep tests (from 0.1 to 10 Hz) and temperature ramp tests were performed at 1 Hz from 20 to 150 °C for blends or −30 to 150 °C for bioplastics at a heating rate of 5 °C/min. Strain sweep tests (0.001–10%) were performed at 1 Hz before any test to determine the linear viscoelastic region (LVR). All measurements were carried out within the LVR. At least three replicates were carried out for every formulation.
2.3.2. Thermogravimetric Analysis (TGA)
TGA tests were carried out on a TGA instrument (Q5000, TA Instruments, MA, USA) under a nitrogen atmosphere (100 mL/min) from 20 °C to 600 °C, using a continuous heating rate of 10 °C/min. The weight of the sample was approximately 10 mg in all cases.
2.3.3. Uniaxial Tensile Tests
Uniaxial tensile tests were performed on rectangular specimens at 25 °C at 0.01 mm·s−1 until failure of the bioplastic in an MTS universal testing machine (Berlin, Germany). Stress–strain curves were obtained and then typical mechanical parameters (Young’s modulus (E), maximum stress (σMax), and strain at break (εMax)) were obtained from these curves. At least five replicates were made for every formulation.
2.3.4. Water Uptake Capacity (WUC)
The WUC of the bioplastics obtained was established by first placing samples at 50 °C in an oven (initial dry weight) and then introducing the dried samples in a flask containing distilled water for 24 h (wet weight). The swollen probes obtained were finally freeze-dried (final dry weight) in a LyoQest freeze-dryer (Telstar Technologies, Barcelona, Spain) at −80 °C and 0.1 mPa. At least three replicates were made for every formulation. WUC and soluble material loss (SML) were obtained as follows:
2.3.5. Scanning Electron Microscopy (SEM)
Selected freeze-dried samples obtained after water immersion were observed in a SEM Zeiss EVO microscope (Carl Zeiss Microscopy, White Plains, NY, USA). Prior to microscope examination, they were gold-coated with a Pd/Au layer of 10 nm employing a Leica AC600 coater (Leica Microsystems, Wetzlar, Germany). The samples were observed at 10 kV and a magnification of ×500.
2.4. Statistical Analysis
Measurements were performed at least three times, and standard deviations were plotted conveniently. STATGRAPHICS 18 software (Statgraphics Technologies, Inc., The Plains, VA, USA) was used in the statistical analysis with one-way analysis of variance (ANOVA) (p < 0.05). The discussion was conducted according to the significant differences found by these tests. Significant differences in parameters were indicated by different superscript letters when the result was significantly different.
3. Results
3.1. Characterisation of Blends
Figure 2 shows the temperature increase (, where refers to the initial mixing temperature) and torque profile of Zein/Gly and SPI/Gly blends during the mixing stage. This figure shows that the torque value experienced an initial increase as a result of the initial homogenization of the blends. However, torque values decreased and remained constant after a certain period. Changes in torque are related to structural changes in the material and, therefore, changes in temperature and torque values would be expected during the mixing if some cross-link reactions take place, which are not really intended during the mixing stage in bioplastics []. These results agree with previous results that found this behaviour when crosslinking reactions did not occur during the mixing stage for blood meal-based bioplastics []. Thus, these results indicate that there was no remarkable cross-linking between Zein and SPI protein chains during the mixing stage since both torque and temperature values did not increase over mixing time. Moreover, the blends were homogeneous after 2–3 min of mixing since a fairly constant torque value was achieved at this point. The homogeneous blends obtained are expected to favour the formation of further protein networks by crosslinking once they are subjected to thermal processing (i.e., injection moulding), which seems to be the case for the systems analysed in this work [].

Figure 2.
Temperature increase and torque profiles during the Zein/Gly and SPI/Gly mixing stage.
Moreover, both protein blends (Zein/Gly and SPI/Gly) exhibited similar torque values at the plateau zone (end of the mixing stage), confirming that the different protein/plasticizer ratios (75/25 and 60/40, for Zein/Gly and SPI/Gly, respectively) led to blends with similar consistency. However, the more marked initial increase found for the Zein/Gly blend can be attributed to the lower plasticizer content of these samples. Thus, since differences in torque profiles may be attributed to the different chemical and physical properties of the proteins analysed, these results also suggest that both proteins behaved in a similar way when Gly was used as a plasticizer and consequently the bioplastic obtained by these systems could be compared.
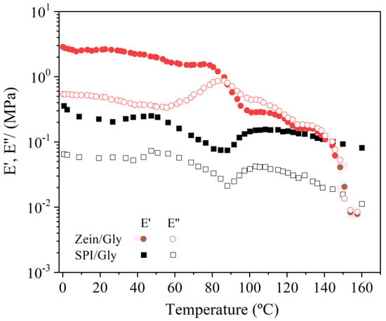
Figure 3 shows the storage and loss modulus (E′ and E″) obtained for Zein/Gly and SPI/Gly blends as a function of temperature. These results indicate that heating the blends causes a decrease in their viscoelastic moduli which can be attributed to the increases in the biopolymer mobility and consequently increases the capacity of materials to deform [,]. Moreover, the biopolymer mobility is highly dependent on the plasticizer content since a lubricating effect is associated with this additive []. This effect is also observed in Figure 3 since the values obtained for the viscoelastic moduli of SPI/Gly blend were lower than those obtained by Zein/Gly blend (E′ = 0.201 ± 0.017 and 2.63 ± 0.12 for SPI/Gly and Zein/Gly blends, respectively), which agrees with the much higher Gly content of SPI/Gly systems (i.e., 40% Gly for SPI blend, 25% Gly for Zein blend).

Figure 3.
Evolution of viscoelastic moduli (E′ and E″) with temperature for Zein/Gly and SPI/Gly blends before injection moulding processing.
Moreover, another difference that can be observed in the viscoelastic moduli profiles is when temperature is increased. Thus, there was a crossover point for Zein/Gly-based bioplastic, whereas the viscoelastic moduli remained almost parallel for the SPI-based bioplastics. These results agree with previous values obtained for both Zein- and SPI-based bioplastics [,,]. Even if these results were consistent with other authors, this figure provides evidence of two different behaviours under temperature stress. Thus, SPI-based biopolymers maintained the solid response of the biopolymer within the overall temperature interval studied. However, a crossover point was observed for Zein-based bioplastics, indicating that the fluid behaviour predominated above c.a. 85 °C. This different performance made Zein-based bioplastic unique for different applications since it behaves as a thermoplastic material. This means that this biopolymer could not only be reprocessed (recycled) as common synthetic biopolymers (i.e., LDPE, PP, PET, etc.) but it could also be processed by techniques already optimized by thermoplastic synthetic polymers. The following characterization of the bioplastics obtained will help to elucidate if, finally, the molecular and mechanical properties of the materials developed changed after the reprocessing of this raw material compared with the effects on SPI-based bioplastics.
3.2. Characterisation of Bioplastics
Figure 4 shows the FT-IR absorbance spectra for non-recycled Zein/Gly and SPI/Gly and for those recycled one and five times. The FT-IR spectra obtained are typical of protein-based systems and, in fact, the main peaks appear for the same wavelength for Zein/Gly and SPI/Gly-based bioplastics, where there is no absence of peaks in both of the infrared spectra. The intensity of the signal observed at low wavelength was similar in all cases; for example, the bending, which corresponds with the peak around 500 cm−1, was observed for all systems regardless of the raw material and the number of recycling cycles []. However, the peak observed at 1000 cm−1 (attributed to bending) was stronger for the Zein-based materials. This result could be due to various factors, such as different protein conformation, interactions with other molecules, and microenvironment []. In this sense, the absorption observed in the FT-IR spectrum at 1600 cm−1 was more marked for the SPI-based systems. This region is attributed to the vibration of the amide-I bond and, more specifically, to the vibrations of the carbonyl group () in the peptide bond [,].

Figure 4.
FT-IR diffractograms for Zein/Gly and SPI/Gly recycled bioplastics (0, 1, and 5 times).
The signal at the highest wavelength values was obtained around 3200 cm−1. The peaks obtained in this region usually refer to the overlapping contributions of the stretching vibrations of O-H and N-H groups, which can form hydrogen bonding with the carbonyl group of the peptide bond in the protein molecule []. This region was subsequent to the normalization peak (at 2900 cm−1), and it was slightly more marked for Zein-based bioplastics. It seems that this peak intensity generally tends to decrease after the bioplastic is reprocessed several times, which would imply a certain decrease in the hydrogen bonding when bioplastics are reprocessed several times. This might be associated with a certain glycerol loss during the reprocessing or the water immersion that takes place during the water uptake test. Further results will elucidate if this exerts some influence on mechanical and functional properties.
Figure 5 shows the TGA results for Zein/Gly (A) and SPI/Gly (B) recycled bioplastics (zero, one, and five times). This technique shows the weight change in the bio-based materials studied in this work as a function of temperature, evidencing the weight loss of the samples that are more marked at different temperatures. As may be observed, the TGA profile for Zein/Gly initially shows a smooth weight loss starting at about 50 °C, associated with the small amount of water present (either adsorbed on the surface), which is followed by a rather steeper loss, displaying a marked peak at 50 °C in the derivative signal []. This peak is slightly more evident for Zein-based bioplastics, and remained even after processing by injection moulding, indicating that water is not completely eliminated after the processing conditions. A more dramatic decrease in sample weight occurred between 200 and 600 °C. This was due to the degradation of organic matter (as is the case of proteins) in the samples. The highest rate of degradation for the proteins was evidenced by the main peaks in the derivative signal at c.a. 230 and 325 °C in Zein- and SPI-based bioplastics. However, the weight loss was more marked at 325 °C for Zein-based bioplastics and at 230 °C for SPI-based bioplastics, which should be mainly attributed to their different Gly content.

Figure 5.
Thermal gravimetric analysis (TGA) tests for Zein/Gly (A) and SPI/Gly (B) recycled bioplastics (0, 1, and 5 times).
According to previous studies, the first peak is attributed to the degradation of Gly, while higher temperatures cause the degradation of proteins [,,,]. This agrees with the fact that Gly content in the SPI-based bioplastic was higher than that for Zein-based bioplastic, with this peak being around 230 °C more important for SPI-based bioplastics. Moreover, these results also indicate that the recycling cycles slightly affect the Gly content since it slightly decreases with recycling times. This result indicates that the plasticizer is lost at some point during the reprocessing of the biopolymers and it should be controlled if these materials are finally reprocessed. Moreover, some of the mechanical and functional properties later obtained could also be affected by this loss. In any case, these results also indicate that the Zein and SPI protein systems are not affected by the temperature reached in the injection moulding conditions used in this work, exhibiting thermal stability in all cases. Further results will elucidate if the re-processing cycles affect the functional properties of these protein systems.
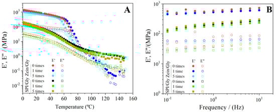
Figure 6A shows the evolution of the viscoelastic moduli (E′ and E″) with temperature (from 0 to 150 °C) for Zein/Gly and SPI/Gly recycled bioplastics (zero, one, and five times). This figure evidences an overall softening of all bioplastics as the E′ values decrease when they are heated up. As mentioned above, this decrease results from increased polymer chain mobility, which loosens protein–chain interactions []. However, a marked decrease in viscoelastic moduli was observed around 65 °C for Zein-based bioplastics as if it were a melting point in synthetic polymers []. This uncommon behaviour in protein systems was previously reported for Zein protein and it was attributed to a Tg temperature []. Thus, this plot shows that this unusual event is reversible and it follows the same dynamic even after five recycling cycles. This result confirms that the reprocessing of this polymer does not affect the biopolymer crosslinking, which may eventually lead to the loss of this melting point and may consequently reduce the processability of the Zein-based bioplastics. Conversely, SPI-based bioplastics did not exhibit this behaviour, and no melting point was observed. However, the bioplastics specimens could be reprocessed and the viscoelastic moduli exhibited just a slight decrease after five recycling times.

Figure 6.
Evolution of viscoelastic moduli (E′ and E″) with temperature (A) and frequency (B) for Zein/Gly and SPI/Gly recycled bioplastics (0, 1, and 5 times).
Figure 6B shows the frequency dependence (from 0.01 to 10 Hz) of the viscoelastic moduli (E′ and E″) for Zein/Gly and SPI/Gly recycled bioplastics (zero, one, and five times). As in temperature ramp tests, these mechanical spectra also show higher values for Zein/Gly bioplastics at service temperature (25 °C). However, these tests not only indicate these higher values but also demonstrate a lower frequency dependence of Zein-based bioplastics, which demonstrates lower biopolymer mobility regardless of the recycling cycle []. Hence, these tests indicate that the biopolymers made by Zein/Gl develop a strong network with very limited biopolymer mobility. However, the biopolymer interactions developed cannot be attributed to crosslinking since they are broken down when heated, and they can be developed again when reprocessed (since there are no significant differences in the mechanical spectra when reprocessing). Again, these tests confirm that many of the interactions developed in the SPI-based bioplastics are physical interactions since the mechanical spectra for this protein system were identical when SPI/Gly bioplastics were recycled. These results indicated that although protein crosslinking takes place when they are processed, as reported by other authors [,], there are still physical interactions that allow the reprocessing of protein-based bioplastics, even if no melting point was observed.
The reprocessing of samples, as part of processing conditions, is key to controlling the interaction between biopolymer chains when pursuing specific functional properties as in the case of water uptake since thermal crosslinking typically hinders swellability and, hence, hydrophilicity, which eventually leads to lower values of water absorption [].
Figure 7A shows the stress–strain curves obtained for Zein/Gly and SPI/Gly recycled bioplastics (zero, one, and five times). All the curves obtained showed the typical behaviour of thermoplastic materials []: the curves initially show an elastic region (characterized by a constant slope) that corresponds to Young’s modulus (E). After a tensile strength, a decrease in the slope is observed, and plastic deformation takes place. Finally, the probes break down at a certain strain (). Moreover, the maximum value for the tensile strength in the stress–strain curves corresponded to the (). Two marked stress–strain profiles were obtained, depending on the protein system used (either Zein or SPI). Thus, the Zein/Gly-based bioplastic showed a very limited plastic deformation, which leads to smaller values of , but higher values of . The analysis of the parameters obtained from these curves confirms the significant differences in the stress–strain curves.

Figure 7.
Stress–strain curves for one representative sample (A) and parameters obtained from tensile tests (E, , and ) of five significant replicates (B) for Zein/Gly and SPI/Gly recycled bioplastics (0, 1, and 5 times). Different letters (Lowercase, uppercase and greek letter for Young’s modulus, maximum stress and strain at break, respectively) within a column indicate significant differences (p < 0.05).
Figure 7B shows the mechanical parameters determined from the stress–strain curves for the Zein/Gly and SPI/Gly recycled bioplastics (zero, one, and five times). Regarding Young’s modulus (E), the Zein/Gly bioplastics exhibited much higher values (c.a. 200 vs. 5 MPa for Zein/Gly and SPI/Gly bioplastics, respectively). There were no significant differences (p < 0.05) between recycling cycles one and five for Zein-based bioplastics; however, there was a slight decrease with respect to the non-recycling system. Opposite to this behaviour, SPI-based bioplastics did not exhibit significant differences for the first recycling cycle; however, it increased after five recycling cycles, which suggests some hardening of the samples caused by the loss of plasticity observed in TGA experiments. The values of E obtained for these bioplastics were similar to porcine plasma in the case of SPI and whole blood-based bioplastics in the case of Zein []. The values were c.a. 0.02 and 0.8 mm/mm for Zein and SPI-based bioplastics, respectively, confirming the higher plastic deformation for SPI/Gly bioplastics. According to the statistical test, there were no significant differences (p < 0.05) for Zein-based bioplastics; however, SPI-based bioplastics experienced a decrease in after five reprocessing cycles. The values obtained for the Zein-based bioplastics were higher than those obtained for the SPI-based bioplastics (c.a. 2.5 vs. 0.7 MPa for Zein and SPI-based bioplastics, respectively). No significant differences (p < 0.05) were observed for Zein-based bioplastics, whereas a slight decrease was observed after five reprocessing cycles. These results agree with the higher values for the viscoelastic moduli previously observed for Zein-based bioplastics, where less biopolymer chain mobility was reported, as well as the higher relaxation times in the case of SPI-based bioplastics that led to more deformable probes [].
Figure 8 shows the WUC and SML values for Zein/Gly and SPI/Gly recycled bioplastics (zero, one, and five times). First of all, it can be noticed that higher values were obtained for the SPI-based bioplastics when they were compared with Zein-based bioplastics. This result can be attributed to a high number of polar groups found in SPI-based bioplastics [], as well as to the hydrophobicity of Zein protein, which is not soluble in water []. However, the effect of the reprocessing on the two samples is the opposite: Zein-based bioplastics experienced an increase in the WUC after one-time reprocessing (135 ± 9 and 254 ± 11 for zero and one recycling cycles, respectively), whereas SPI-based bioplastics decreased its ability to absorb water after one reprocessing cycle (428 ± 37 and 338 ± 39 for zero and one recycling cycles, respectively). Note that no significant differences were observed between one and five recycling cycles. Some authors have reported modified properties when the materials are processed several times, as in the case of polypropylene composites based on natural fibres processed by extrusion [], relating their findings to the correct distribution of the components in the final material. Since mechanical properties were not affected, these findings should not be related to the ability of probes to swell, as was reported in previously published articles []. In this case, the values obtained should be attributed to the physical interactions developed after reprocessing the materials, which did not lead to significantly different (p < 0.05) mechanical properties but modified the hydrophobicity of the biopolymeric materials.

Figure 8.
Water uptake capacity (WUC) and soluble matter loss (SML) for Zein/Gly and SPI/Gly recycled bioplastics (0, 1, and 5 times). Different letters (Lowercase and uppercase for WUC and SML, respectively) within a column indicate significant differences (p < 0.05).
As for the SML, the results obtained for the zero recycling cycle were similar to the ones found previously by other authors for protein-based materials and were attributed mainly to the plasticizer content, Gly in this case, which is water soluble [,]. These results can be explained by the remarkable hydrophilic features of Gly (which involves high water solubility) []. Moreover, the results of SML agree with the previous WUC values commented. Thus, the higher hydrophilicity of Zein-based bioplastic led to higher values of WUC, but this also involved an increase in soluble components, which were finally released after water absorption. Thus, as previously reported for injection-moulded bioplastics by other authors, SML contains not only the glycerol lost during immersion but also some protein that was less integrated into the overall structure [].
Figure 9 shows SEM images (A, B, and C for Zein/Gly and D, E, and F for SPI/Gly) of Zein/Gly and SPI/Gly bioplastics recycled zero, one, and five times after 24 h of water absorption and further freeze drying, thus obtaining the resulting microstructure. This microstructure can reveal changes in the functional properties as a result of the reprocessing cycles. These micrographs show that the bio-based materials developed a porous structure after 24 h of water immersion (more evident for Zein-based materials), which enabled water penetration and further absorption. The porous structure initially observed for Zein-based materials at zero recycling cycles was almost lost after the first recycling cycle, confirming the importance that reprocessing had on the structure of these bioplastics. So, after the first sample reprocessing, the water molecules seem to be held within the biopolymer network, a mechanism that was also observed for SPI-based bioplastics. However, the SPI/Gly surface was smoother and more consistent, but the number of holes increased for this biopolymer as it was reprocessed, which may have caused the above-mentioned reduction in the σMax of the material.

Figure 9.
SEM images after water absorption and further freeze drying for Zein/Gly bioplastics recycled 0 times (A), 1 time (B), and 5 times (C), and SPI/Gly bioplastics recycled 0 times (D), 1 time (E), and 5 times (F).
4. General Discussion of the Results Obtained
The results obtained in this work are in line with those of previous authors who have addressed the challenges of producing protein-based bioplastics from different natural resources, such as gluten, gelatin, whey, blood meal, soya, or egg white, among others [,,,]. Some authors have studied the biodegradability of similar bio-based materials, as in the case of Domenek et al. [] who found these materials biodegraded by composting. However, most studies do not focus on the reduction in waste, even if recyclability after reusing is the preferred option []. In this sense, Schmid et al. [,] claimed the feasibility of recycling whey-based bioplastics, but they did not analyse the effect of reprocessing on the mechanical and structural properties of these bio-based films. Indeed, other authors analysed the recyclability of composites containing proteins, but in these cases they focused on the effect on the synthetic polymer, indicating that the studied multifunctional green biomass composites are fully recyclable and pollution-free []. Considering exclusively bio-based materials, Bian et al. [] analysed a cellulose derivative, but the materials tested did not contain proteins. These authors showed that the recycled biopolymers had similar reaction efficiencies to fresh biopolymers after four recycling cycles, claiming that biopolymers with stable performances were obtained when recovered by hydrolysis. The present work demonstrates the feasibility of addressing the recyclability of protein-based biopolymers by simple reprocessing, providing an alternative to current bio-based materials, not only to be recycled during their production (which is typical of thermoplastic) but also to be reprocessed after use in some applications, as is the case in the food packaging industry or even after water absorption. The results obtained in the previous section point out that the recyclability of these materials is similar to that previously found for other synthetic polymers, as is the case of polyethylene (PE) or polypropylene (PP) [,], which opens new possibilities for the use of bio-based materials.
Future work should test performance and recycling under real-use conditions so that the effects of different uses on the recyclability of these materials can be assessed. This will ultimately confirm the recyclability of these materials under consumer demands.
5. Conclusions
The results obtained confirm the suitability of protein-based materials to be reprocessed by an easily-scalable technique as is the case of injection moulding. The thermoplastic behaviour of Zein-based bioplastics was confirmed when they were compared with SPI-based bioplastics by DMA tests. Thus, although both protein-based bioplastics were able to be reprocessed, the decrease in viscosity observed for the Zein-based samples facilitated their reprocessing at the same time as higher viscoelastic moduli were obtained for this biopolymer at room temperature (E′ = 861 ± 20 and 71 ± 10 MPa for Zein- and SPI-based bioplastics, respectively). When reprocessed, TGA tests indicated that some plasticizer (Gly) was lost after recycling; however, the mechanical properties were not significantly affected by this limited change in composition, especially in the case of Zein-based samples, where no significant differences (p < 0.05) were observed. Functional properties such as water absorption were increased for Zein-based samples, which suggests that the processing conditions selected help to (i) reduce the natural hydrophobicity of Zein protein and (ii) obtain a less porous structure (observed by SEM microscopy), which seems to increase (not significantly) the and .
Thus, the effect of reprocessing is smaller in Zein-based bioplastics, suggesting that they can be recycled several times without altering the functional groups (as FTIR indicated). Further steps in this research include testing these materials in combination with other biopolymers to clarify whether this lack of functional properties of Zein-based materials results in similar performance after reprocessing. This would result in producing better-performing products, using less raw material and reducing environmental impact.
Author Contributions
Conceptualization, C.B.; methodology, C.B. and M.F.; validation, C.B.; formal analysis, M.F.; investigation, F.A.-S.; resources, C.B.; data curation, F.A.-S.; writing—original draft preparation, F.A.-S.; writing—review and editing, C.B. and M.F.; visualization, F.A.-S.; supervision, C.B. and M.F.; project administration, C.B.; funding acquisition, C.B. All authors have read and agreed to the published version of the manuscript.
Funding
The authors acknowledge the project PID2021-124294OB-C21 funded by MCIN/AEI/10.13039/501100011033/ and by “ERDF A way of making Europe” for supporting this study.
Data Availability Statement
Data are available upon request.
Acknowledgments
The authors would like to thank the CITIUS for granting access and assistance with the microscopy and functional characterization services.
Conflicts of Interest
The authors declare no conflicts of interest.
References
- European Bioplastics. Bioplastics, Facts and Figures. 2019. Available online: https://docs.european-bioplastics.org/publications/EUBP_Facts_and_figures.pdf (accessed on 1 December 2023).
- Coppola, G.; Gaudio, M.T.; Lopresto, C.G.; Calabro, V.; Curcio, S.; Chakraborty, S. Bioplastic from Renewable Biomass: A Facile Solution for a Greener Environment. Earth Syst. Environ. 2021, 5, 231–251. [Google Scholar] [CrossRef]
- Washam, C. Plastic go green. ChemMatters 2010, 10–12. [Google Scholar] [CrossRef]
- Al-Salem, S.M.; Lettieri, P.; Baeyens, J. The valorization of plastic solid waste (PSW) by primary to quaternary routes: From re-use to energy and chemicals. Prog. Energy Combust. Sci. 2010, 36, 103–129. [Google Scholar] [CrossRef]
- Achilias, D. Material Recycling: Trends and Perspectives; Intech Open: London, UK, 2012. [Google Scholar]
- Baillie, C.; Matovic, D.; Thamae, T.; Vaja, S. Waste-based composites—Poverty reducing solutions to environmental problems. Resour. Conserv. Recycl. 2011, 55, 973–978. [Google Scholar] [CrossRef]
- Ignatyev, I.A.; Thielemans, W.; Beke, B.V. Recycling of Polymers: A Review. ChemSusChem 2014, 7, 1579–1593. [Google Scholar] [CrossRef] [PubMed]
- Song, J.H.; Murphy, R.J.; Narayan, R.; Davies, G.B.H. Biodegradable and compostable alternatives to conventional plastics. Philos. Trans. R. Soc. B Biol. Sci. 2009, 364, 2127–2139. [Google Scholar] [CrossRef]
- Zhang, S.; Fu, Q.; Li, H.; Wu, P.; Waterhouse, G.I.N.; Li, Y.; Ai, S. A pectocellulosic bioplastic from fruit processing waste: Robust, biodegradable, and recyclable. Chem. Eng. J. 2023, 463, 142452. [Google Scholar] [CrossRef]
- Rosenboom, J.G.; Langer, R.; Traverso, G. Bioplastics for a circular economy. Nat. Rev. Mater. 2022, 7, 117–137. [Google Scholar] [CrossRef]
- Di Bartolo, A.; Infurna, G.; Dintcheva, N.T. A Review of Bioplastics and Their Adoption in the Circular Economy. Polymers 2021, 13, 1229. [Google Scholar] [CrossRef]
- Ray, S.S.; Bousmina, M. Biodegradable polymers and their layered silicate nanocomposites: In greening the 21st century materials world. Prog. Mater. Sci. 2005, 50, 962–1079. [Google Scholar] [CrossRef]
- Shukla, R.; Cheryan, M. Zein: The industrial protein from corn. Ind. Crop. Prod. 2001, 13, 171–192. [Google Scholar] [CrossRef]
- Lawton, J.W. Zein: A History of Processing and Use. Cereal Chem. 2002, 79, 1–18. [Google Scholar] [CrossRef]
- Alsadat-Seyedbokaei, F.; Felix, M.; Bengoechea, C. Zein as a Basis of Recyclable Injection Moulded Materials: Effect of Formulation and Processing Conditions. Polymers 2023, 15, 3841. [Google Scholar] [CrossRef]
- Peydayesh, M.; Bagnani, M.; Soon, W.L.; Mezzenga, R. Turning Food Protein Waste into Sustainable Technologies. Chem. Rev. 2023, 123, 2112–2154. [Google Scholar] [CrossRef]
- Food and Agriculture Organization of the United Nations. Global Crop Production Analysis; FAOSTAT: Rome, Italy, 2018. [Google Scholar]
- Yamada, M.; Morimitsu, S.; Hosono, E.; Yamada, T. Preparation of bioplastic using soy protein. Int. J. Biol. Macromol. 2020, 149, 1077–1083. [Google Scholar] [CrossRef]
- Gironi, F.; Piemonte, V. Bioplastics and Petroleum-based Plastics: Strengths and Weaknesses. Energy Sources Part A Recovery Util. Environ. Eff. 2011, 33, 1949–1959. [Google Scholar] [CrossRef]
- Dey, A.; Rahman, M.; Gupta, A.; Yodo, N.; Lee, C.W. A Performance Study on 3D-Printed Bioplastic Pots from Soybean By-Products. Sustainability 2023, 15, 10535. [Google Scholar] [CrossRef]
- Maroufi, L.Y.; Shahabi, N.; Fallah, A.A.; Mahmoudi, E.; Al-Musawi, M.H.; Ghorbani, M. Soy protein isolate/kappa-carrageenan/cellulose nanofibrils composite film incorporated with zenian essential oil-loaded MOFs for food packaging. Int. J. Biol. Macromol. 2023, 250, 126176. [Google Scholar] [CrossRef]
- Fernández-Espada, L.; Bengoechea, C.; Cordobés, F.; Guerrero, A. Thermomechanical properties and water uptake capacity of soy protein-based bioplastics processed by injection molding. J. Appl. Polym. Sci. 2016, 133, 43524. [Google Scholar] [CrossRef]
- Kumar, R.; Verma, A.; Shome, A.; Sinha, R.; Sinha, S.; Jha, P.K.; Kumar, R.; Kumar, P.; Shubham; Das, S.; et al. Impacts of Plastic Pollution on Ecosystem Services, Sustainable Development Goals, and Need to Focus on Circular Economy and Policy Interventions. Sustainability 2021, 13, 9963. [Google Scholar] [CrossRef]
- Choi, W.S.; Han, J.H. Physical and mechanical properties of pea-protein-based edible films. J. Food Sci. 2001, 66, 319–322. [Google Scholar] [CrossRef]
- Song, Y.; Zheng, Q.; Zhang, Q. Rheological and mechanical properties of bioplastics based on gluten- and glutenin-rich fractions. J. Cereal Sci. 2009, 50, 376–380. [Google Scholar] [CrossRef]
- Félix, M.; Lucio-Villegas, A.; Romero, A.; Guerrero, A. Development of rice protein bio-based plastic materials processed by injection molding. Ind. Crop. Prod. 2016, 79, 152–159. [Google Scholar] [CrossRef]
- Fernández-Espada, L.; Bengoechea, C.; Cordobés, F.; Guerrero, A. Protein/glycerol blends and injection-molded bioplastic matrices: Soybean versus egg albumen. J. Appl. Polym. Sci. 2016, 133, 42980. [Google Scholar] [CrossRef]
- Adilah, Z.M.; Hanani, Z.N. Active packaging of fish gelatin films with Morinda citrifolia oil. Food Biosci. 2016, 16, 66–71. [Google Scholar] [CrossRef]
- Pol, H.; Dawson, P.; Acton, J.; Ogale, A. Soy Protein Isolate/Corn-Zein Laminated Films: Transport and Mechanical Properties. J. Food Sci. 2002, 67, 212–217. [Google Scholar] [CrossRef]
- Delgado, M.; Felix, M.; Bengoechea, C. Development of bioplastic materials: From rapeseed oil industry by products to added-value biodegradable biocomposite materials. Ind. Crop. Prod. 2018, 125, 401–407. [Google Scholar] [CrossRef]
- Álvarez-Castillo, E.; Ramos, M.; Bengoechea, C.; Martínez, I.; Romero, A. Effect of blend mixing and formulation on thermophysical properties of gluten-based plastics. J. Cereal Sci. 2020, 96, 103090. [Google Scholar] [CrossRef]
- Corradini, E.; Mattoso, L.H.C.; Guedes, C.G.F.; Rosa, D.S. Mechanical, thermal and morphological properties of poly(ε-caprolactone)/zein blends. Polym. Adv. Technol. 2004, 15, 340–345. [Google Scholar] [CrossRef]
- Van Soest, P.J.; Robertson, J.B.; Lewis, B.A. Methods for dietary fiber, neutral detergent fiber, and nonstarch polysaccharides in relation to animal nutrition. J. Dairy Sci. 1991, 74, 3583–3597. [Google Scholar] [CrossRef] [PubMed]
- Irissin-Mangata, J.; Bauduin, G.; Boutevin, B.; Gontard, N. New plasticizers for wheat gluten films. Eur. Polym. J. 2001, 37, 1533–1541. [Google Scholar] [CrossRef]
- Fernández-Espada, L.; Bengoechea, C.; Sandía, J.A.; Cordobés, F.; Guerrero, A. Development of novel soy-protein-based superabsorbent matrixes through the addition of salts. J. Appl. Polym. Sci. 2019, 136, 47012. [Google Scholar] [CrossRef]
- Jiménez-Rosado, M.; Perez-Puyana, V.; Guerrero, A.; Romero, A. Controlled Release of Zinc from Soy Protein-Based Matrices to Plants. Agronomy 2021, 11, 580. [Google Scholar] [CrossRef]
- Ulrichs, T.; Drotleff, A.M.; Ternes, W. Determination of heat-induced changes in the protein secondary structure of reconstituted livetins (water-soluble proteins from hen’s egg yolk) by FTIR. Food Chem. 2015, 172, 909–920. [Google Scholar] [CrossRef]
- Derenne, A.; Derfoufi, K.M.; Cowper, B.; Delporte, C.; Butré, C.I.; Goormaghtigh, E. Analysis of Glycoproteins by ATR-FTIR Spectroscopy: Comparative Assessment BT. In Mass Spectrometry of Glycoproteins: Methods and Protocols; Delobel, A., Ed.; Springer: New York, NY, USA, 2021; pp. 361–374. [Google Scholar]
- Ni, N.; Zhang, D.; Dumont, M.-J. Synthesis and characterization of zein-based superabsorbent hydrogels and their potential as heavy metal ion chelators. Polym. Bull. 2018, 75, 31–45. [Google Scholar] [CrossRef]
- Masanabo, M.A.; Ray, S.S.; Emmambux, M.N. Properties of thermoplastic maize starch-zein composite films prepared by extrusion process under alkaline conditions. Int. J. Biol. Macromol. 2022, 208, 443–452. [Google Scholar] [CrossRef]
- Álvarez-Castillo, E.; Guerrero, P.; de la Caba, K.; Bengoechea, C.; Guerrero, A. Biorefinery concept in the meat industry: From slaughterhouse biowastes to superaborbent materials. Chem. Eng. J. 2023, 471, 144564. [Google Scholar] [CrossRef]
- Tian, H.; Wu, W.; Guo, G.; Gaolun, B.; Jia, Q.; Xiang, A. Microstructure and properties of glycerol plasticized soy protein plastics containing castor oil. J. Food Eng. 2012, 109, 496–500. [Google Scholar] [CrossRef]
- Lukubira, S.; Ogale, A. Thermoformable Anhydride–Glycerol Modified Meat and Bone Meal Bioplastics. J. Polym. Environ. 2015, 23, 517–525. [Google Scholar] [CrossRef]
- Ma, F.; Huang, H.-Y.; Zhou, L.; Yang, C.; Zhou, J.-H.; Liu, Z.-M. Study on the conformation changes of Lysozyme induced by Hypocrellin A: The mechanism investigation. Spectrochim. Acta Part A Mol. Biomol. Spectrosc. 2012, 97, 1159–1165. [Google Scholar] [CrossRef]
- Ogale, A.; Cunningham, P.; Dawson, P.; Acton, J. Viscoelastic, Thermal, and Microstructural Characterization of Soy Protein Isolate Films. J. Food Sci. 2000, 65, 672–679. [Google Scholar] [CrossRef]
- Leroy, E.; Petit, I.; Audic, J.L.; Colomines, G.; Deterre, R. Rheological characterization of a thermally unstable bioplastic in injection molding conditions. Polym. Degrad. Stab. 2012, 97, 1915–1921. [Google Scholar] [CrossRef]
- Bier, J.M.; Verbeek, C.J.; Lay, M.C. Thermal transitions and structural relaxations in protein-based thermoplastics. Macromol. Mater. Eng. 2014, 299, 524–539. [Google Scholar] [CrossRef]
- Fan, F.; Roos, Y.H. Glass Transition-Associated Structural Relaxations and Applications of Relaxation Times in Amorphous Food Solids: A Review. Food Eng. Rev. 2017, 9, 257–270. [Google Scholar] [CrossRef]
- Yang, J.; Dong, X.; Wang, J.; Ching, Y.C.; Liu, J.; Li, C.; Baikeli, Y.; Li, Z.; Al-Hada, N.M.; Xu, S. Synthesis and properties of bioplastics from corn starch and citric acid-epoxidized soybean oil oligomers. J. Mater. Res. Technol. 2022, 20, 373–380. [Google Scholar] [CrossRef]
- Álvarez-Castillo, E.; Pelagio, M.J.; Bengoechea, C.; Guerrero, A. Plasma based superabsorbent materials modulated through chemical cross-linking. J. Environ. Chem. Eng. 2021, 9, 105017. [Google Scholar] [CrossRef]
- Álvarez-Castillo, E.; Bengoechea, C.; Rodríguez, N.; Guerrero, A. Development of green superabsorbent materials from a by-product of the meat industry. J. Clean. Prod. 2019, 223, 651–661. [Google Scholar] [CrossRef]
- Hu, G.; Yu, D. Tensile, thermal and dynamic mechanical properties of hollow polymer particle-filled epoxy syntactic foam. Mater. Sci. Eng. A 2011, 528, 5177–5183. [Google Scholar] [CrossRef]
- Deng, S.; Hou, M.; Ye, L. Temperature-dependent elastic moduli of epoxies measured by DMA and their correlations to mechanical testing data. Polym. Test. 2007, 26, 803–813. [Google Scholar] [CrossRef]
- Fang, Q.; Zhu, M.; Yu, S.; Sui, G.; Yang, X. Studies on soy protein isolate/polyvinyl alcohol hybrid nanofiber membranes as multi-functional eco-friendly filtration materials. Mater. Sci. Eng. B 2016, 214, 1–10. [Google Scholar] [CrossRef]
- Parris, N.; Dickey, L.C. Extraction and Solubility Characteristics of Zein Proteins from Dry-Milled Corn. J. Agric. Food Chem. 2001, 49, 3757–3760. [Google Scholar] [CrossRef]
- Morán, J.; Alvarez, V.; Petrucci, R.; Kenny, J.; Vazquez, A. Mechanical properties of polypropylene composites based on natural fibers subjected to multiple extrusion cycles. J. Appl. Polym. Sci. 2007, 103, 228–237. [Google Scholar] [CrossRef]
- Marandi, G.B.; Mahdavinia, G.R.; Ghafary, S. Swelling behavior of novel protein-based superabsorbent nanocomposite. J. Appl. Polym. Sci. 2011, 120, 1170–1179. [Google Scholar] [CrossRef]
- Baier, S.K.; Decker, E.A.; McClements, D. Impact of glycerol on thermostability and heat-induced gelation of bovine serum albumin. Food Hydrocoll. 2004, 18, 91–100. [Google Scholar] [CrossRef]
- Gonzalez-Gutierrez, J.; Partal, P.; Garcia-Morales, M.; Gallegos, C. Development of highly-transparent protein/starch-based bioplastics. Bioresour. Technol. 2010, 101, 2007–2013. [Google Scholar] [CrossRef] [PubMed]
- Omrani-Fard, H.; Abbaspour-Fard, M.H.; Khojastehpour, M.; Dashti, A. Gelatin/Whey Protein- Potato Flour Bioplastics: Fabrication and Evaluation. J. Polym. Environ. 2020, 28, 2029–2038. [Google Scholar] [CrossRef]
- Verbeek, C.J.R.; Van Den Berg, L.E. Development of Proteinous Bioplastics Using Bloodmeal. J. Polym. Environ. 2011, 19, 1–10. [Google Scholar] [CrossRef]
- Domenek, S.; Feuilloley, P.; Gratraud, J.; Morel, M.-H.; Guilbert, S. Biodegradability of wheat gluten based bioplastics. Chemosphere 2004, 54, 551–559. [Google Scholar] [CrossRef] [PubMed]
- Vefago, L.H.M.; Avellaneda, J. Recycling concepts and the index of recyclability for building materials. Resour. Conserv. Recycl. 2013, 72, 127–135. [Google Scholar] [CrossRef]
- Bugnicourt, E.; Schmid, M.; Nerney, O.M.; Wildner, J.; Smykala, L.; Lazzeri, A.; Cinelli, P. Processing and Validation of Whey-Protein-Coated Films and Laminates at Semi-Industrial Scale as Novel Recyclable Food Packaging Materials with Excellent Barrier Properties. Adv. Mater. Sci. Eng. 2013, 2013, 496207. [Google Scholar] [CrossRef]
- Schmid, M.; Dallmann, K.; Bugnicourt, E.; Cordoni, D.; Wild, F.; Lazzeri, A.; Noller, K. Properties of Whey-Protein-Coated Films and Laminates as Novel Recyclable Food Packaging Materials with Excellent Barrier Properties. Int. J. Polym. Sci. 2012, 2012, 562381. [Google Scholar] [CrossRef]
- Zheng, G.; Kang, X.; Ye, H.; Fan, W.; Sonne, C.; Lam, S.S.; Liew, R.K.; Xia, C.; Shi, Y.; Ge, S. Recent advances in functional utilisation of environmentally friendly and recyclable high-performance green biocomposites: A review. Chin. Chem. Lett. 2023; in press. [Google Scholar] [CrossRef]
- Bian, H.; Luo, J.; Wang, R.; Zhou, X.; Ni, S.; Shi, R.; Fang, G.; Dai, H. Recyclable and Reusable Maleic Acid for Efficient Production of Cellulose Nanofibrils with Stable Performance, ACS Sustain. Chem. Eng. 2019, 7, 24. [Google Scholar] [CrossRef]
- Pelegrini, K.; Maraschin, T.G.; Brandalise, R.N.; Piazza, D. Study of the degradation and recyclability of polyethylene and polypropylene present in the marine environment. J. Appl. Polym. Sci. 2019, 136, 48215. [Google Scholar] [CrossRef]
- Bauer, A.-S.; Tacker, M.; Uysal-Unalan, I.; Cruz, R.M.S.; Varzakas, T.; Krauter, V. Recyclability and Redesign Challenges in Multilayer Flexible Food Packaging—A Review. Foods 2021, 10, 2702. [Google Scholar] [CrossRef]
Disclaimer/Publisher’s Note: The statements, opinions and data contained in all publications are solely those of the individual author(s) and contributor(s) and not of MDPI and/or the editor(s). MDPI and/or the editor(s) disclaim responsibility for any injury to people or property resulting from any ideas, methods, instructions or products referred to in the content. |
© 2024 by the authors. Licensee MDPI, Basel, Switzerland. This article is an open access article distributed under the terms and conditions of the Creative Commons Attribution (CC BY) license (https://creativecommons.org/licenses/by/4.0/).