Next Article in Journal
Control the Working Process of the Rotor System with Tilting Pad Bearing
Previous Article in Journal
Sensorless Position Control in High-Speed Domain of PMSM Based on Improved Adaptive Sliding Mode Observer
 
 
Font Type:
Arial Georgia Verdana
Font Size:
Aa Aa Aa
Line Spacing:
Column Width:
Background:
Article

Analysis and Optimization of the Noise Reduction Performance of Sound-Absorbing Materials in Complex Environments

1
Jiangxi Electric Power Co., Ltd., State Grid, Electric Power Research Institute, Nanchang 330096, China
2
State Grid Hunan Electric Power Co., Ltd., Electric Power Research Institute, Changsha 410007, China
3
State Grid Smart Grid Research Institute Co., Ltd., Beijing 102200, China
4
State Key Laboratory for Performance Monitoring and Assurance of East China Jiao Tong University Rail Transport Infrastructure, Nanchang 330013, China
*
Author to whom correspondence should be addressed.
Processes 2024, 12(11), 2582; https://doi.org/10.3390/pr12112582
Submission received: 28 October 2024 / Revised: 10 November 2024 / Accepted: 12 November 2024 / Published: 18 November 2024
(This article belongs to the Section Materials Processes)

Abstract

The acoustic performance of sound barrier absorption materials utilized in substations is subject to variations due to factors such as sandstorms, corrosion, and rainfall. In this study, a model of the absorbing material was developed based on the Delany–Bazley model using COMSOL simulation software, version 5.6. The influence of porosity and material thickness on the absorption coefficient was analyzed, and the patterns of change were summarized. The results indicated that porosity significantly affected the entire analysis frequency range, while material thickness had a more pronounced impact in the low-frequency range. Building upon these findings, a blended fiber absorption material was formulated through research efforts. Experimental results demonstrated that the aluminum fiber diameter measured 30 microns, while the aramid fiber diameter was 12 microns; additionally, their mass ratio was established at 3:1. The material thickness was determined to be 10 cm with a face density of 2500 g/m2, resulting in optimal absorption performance. Durability tests revealed that this material could sustain effective acoustic performance across various complex environments. Finally, simulations and analyses regarding noise reduction effects were conducted within actual application scenarios; it was found that the noise reduction capability of the blended fiber sound barrier absorption material exceeded that of glass wool by 4.78 dB.

1. Introduction

With rapid economic development, substations have become essential infrastructure in urban areas. At the same time, the noise generated by major sources such as transformers has caused serious disturbance to the work and life of surrounding residents [1]. Substation noise barriers are commonly utilized as the primary noise reduction measure to shield the surrounding residents and the environment from the noise generated by power equipment [2]. Under harsh environmental conditions, such as rain, corrosion, dust, and other natural elements, the noise reduction effectiveness of internal sound-absorbing materials will be significantly diminished [3].
In recent years, porous materials and fiber materials, as the research object of sound-absorbing materials, have been widely considered. In the research on the noise reduction effect of sound barriers [4,5,6,7], the authors of [8] have realized that the control of sound absorption performance is not only dependent on the material itself. Many factors, such as the density, porosity, fiber arrangement, and surface morphology of the material, affect the final sound absorption effect to varying degrees. Through the physical model of fibrous materials, Xin Jin found that the porosity of sound-absorbing materials is closely related to their sound-absorbing performance [9]. The sound absorption properties of fiber porous materials are mainly determined by material parameters, such as fiber length, porosity, and thickness. Zolin studied the effects of the length, density, and thickness of polypropylene fiber on the sound absorption properties of a material [10]. Samsudin analyzed the influence of fiber radius and porosity on the sound absorption performance of fiber porous materials [11]. By adjusting these parameters, the accurate control of sound absorption frequency range and sound absorption efficiency can be achieved, especially in complex environments. In another study, the influence of nonlinear optical effects in acoustic propagation was analyzed [12].
With the rapid development of acoustic metamaterials in recent years [13], phonon crystals, as a type of metamaterial, can create band gaps within a specific frequency range. These band gaps prevent the transmission of sound waves, thereby enabling noise control. Maa proposed a design based on a sound-absorbing technology called a micro-perforated panel (MPP) that can be adapted to suit these situations [14]. The study in [15] on a titanium alloy perforated plate produced through 3D printing revealed that material thickness has a minimal impact on sound absorption. Li proposed a broadband noise and vibration reduction metamaterial (BNVRM) that integrates sound insulation, sound absorption, and vibration reduction into one multi-functional system [16]. The composite structures consist of a spindle-shaped phononic crystal plate, Fabry–Perot sound absorption channels, and a micro-perforated plate. Cavity-based, spatial winding, or gradient acoustic metamaterials can be used in combination with conventional materials to achieve improved low-frequency sound absorption. This method is also suitable for enhancing the sound insulation effect within the target frequency range [17]. Peng produced a sound-absorbing composite material [18]. The ratio of wood fiber to polyester fiber was 3:1, the content of the foaming agent was 8%, and the surface density was 0.2 g/cm. The composite material with the best physical and mechanical properties and sound absorption effect was prepared.
The core innovation of this study is to combine a variety of advanced materials and design ideas to develop a new type of composite sound-absorbing material with higher sound absorption performance and wider applicability. It can not only maintain high sound absorption performance in complex environments but also maintain good broadband sound absorption in the middle- and low-frequency bands.
Based on the Delany–Bazley [19,20,21] model, the reliability of the finite element model is verified by comparing the experimental data with the finite element simulation data. The effects of porosity, thickness, and moisture content of the sound absorption material on its sound absorption performance in sand, corrosion, and rainwater environments were studied by simulation. Based on the low-frequency noise characteristics of the transformer, it is concluded that the sound absorption effect is better when the porosity is controlled at 95% and the thickness is controlled at 10 cm. Based on this, a composite sound absorption material composed of aluminum fiber and aramid fiber material is developed. Through an experimental test and analysis, the optimal physical parameters of this composite fiber sound-absorbing material were determined, and then it was verified by experiments to demonstrate that it can maintain good sound absorption performance in complex environments. Compared with glass wool, the noise reduction effect of the blended fiber sound absorption material is increased by 4.78 dB, and the noise reduction effect is more significant in middle and low frequencies.

2. Analysis Method of Acoustic Characteristics

Delany–Bazley Model

The Delany–Bazley empirical model was proposed by Delany and Bazley in 1970. The Delany–Bazley (DB) model describes the relationship between the flow resistance and acoustic frequency of the fiber material, as well as the surface characteristic impedance and propagation wave number of the material. The model only uses the flow resistance as the independent variable [22,23]. The characteristic impedance Z p and propagation constant of the material k p are, respectively, defined as follows:
Z p = ρ 0 c 0 1 + 0.0571 ρ 0 f σ 0.754 i 0.087 ρ 0 f σ 0.732
k p = ω c 0 1 + 0.098 ρ 0 f σ 0.7 i 0.189 ρ 0 f σ 0.595
where ρ 0 is the air density, c 0 is the sound speed in the air, σ is the flow resistance of the porous material, f is the frequency, and ω = 2 π f is the angular frequency. The surface acoustic impedance of porous materials supported by rigid walls can be derived from the D-B model.
Z = j Z P cot ( k p d )
In the formula, d is the thickness of the porous material. The reflection coefficient of the material can be calculated by Equation (4).
R = Z Z 0 Z + Z 0
In the formula, Z 0 = ρ 0 c 0 . Furthermore, the sound absorption coefficient of the porous sound-absorbing material is obtained as follows:
α = 1 R 2
According to the internal structure arrangement of the fiber porous material, the flow resistance rate can be calculated based on the fiber radius and the porosity of the material. The distribution of fibers in the material is simulated as shown in Figure 1. In the figure, the fibers are cylindrical arrays arranged in square grids, and the figure represents a unit area of fiber porous material.
When the incident direction of the sound is parallel to the fiber axis (perpendicular to the plane in the diagram), the flow resistance rate [24] is calculated as
σ = 4 π η b 2 ln 1 d 3 2 + 2 c
In the formula, a is the fiber radius, b is the center distance of adjacent fibers in the material, c = π a 2 / b 2 , and η is the dynamic viscosity of air. When the sound incident direction is perpendicular to the fiber axis (X-axis in Figure 1), the flow resistance rate is
σ = 4 π η b 2 ln ( c 1 / 2 ) 3 4 + c 1 4 c 2
The porosity of porous sound-absorbing materials is a significant parameter.
P = ρ f ρ m ρ f
In this context, P denotes porosity, ρf represents the material density, and ρm indicates specific weight. According to Equations (1)–(8), the key factors affecting the sound absorption coefficient of fiber sound-absorbing materials include the fiber diameter 2a, the porosity P of the porous material, and the thickness d of the porous structure.

3. Simulation Analysis of Sound-Absorbing Materials

The theoretical analysis reveals several key factors influencing porous sound-absorbing materials [25,26], specifically the porosity, thickness, and width during their application. Using the Delany–Bazley (DB) empirical model, the sound absorption coefficient of fiber porous materials is calculated in COMSOL. For the simulation, glass wool, a commonly used sound-absorbing material, is selected. A normal acceleration is applied at the top of the model to simulate the sound source of an impedance tube, while the other boundaries are designated as rigid sound field boundaries. The background pressure is set at 1 Pa, directed vertically downward at the sound source location, as shown in Figure 2.
The standard glass wool specimen has a flow resistivity of 20,000 Pa·s·m2, with a thickness of 5 cm and a width of 20 cm. The height of the air domain above the specimen is 0.4 m, while the height of the perfectly matched layer is 0.2 m, as shown in Figure 2. The frequency range for measuring the absorption coefficient extends from 100 Hz to 1600 Hz.
This study follows Standard [27]: “Transfer Function Method”, and employs the B&K (B&K, Model:4006, Bruel & Kjaer, Virum, Denmark) acoustic impedance testing system to measure the absorption coefficient of glass wool. During the testing process, plane sound waves are generated by a sound source within the tube, resulting in standing waves formed by incident and reflected waves. By measuring the sound pressure at two locations near the sample, the sound transfer function is calculated, allowing for the determination of parameters such as sound impedance, sound admittance, the complex reflection coefficient, and incident absorption coefficient, ultimately yielding the corresponding absorption coefficient (Figure 3).
The specific measurement process is as follows: first, ensure that all test equipment (such as signal source, microphone, impedance tube, data acquisition system, etc.) have been correctly connected. Check whether the position of the impedance tube and the microphone is reasonable to ensure that the sound source output and the data acquisition system can work synchronously. Carry out the necessary system calibration to ensure the output of the signal source and the accuracy of the measurement system. Usually, calibration is performed with known standard materials. Start the signal source and send it to the test system. The microphone is used to collect the reflected wave or the acoustic signal passing through the sample. The system will collect and record the intensity and phase of the sound signal in real time and calculate the impedance of the sound wave by Fourier analysis and other algorithms. According to the data collected by the microphone, the acoustic impedance of the sound wave is calculated. This process includes the calculation of the reflection coefficient and transmission coefficient (Figure 4).
The test equipment is the B&K acoustic impedance test system, model B&K4006. The test frequency range of the system is 50 Hz to 10 kHz, and the accuracy can usually reach 0.001. The measurement accuracy is usually determined by the calibration standard of the system, the stability of the equipment itself, and the environmental factors. The uncertainty of the instrument is 0.01, the influence of environmental factors is 0.05, the operating error is 0.02, and the error source is assumed to be independent. The total uncertainty is ±0.055 by using the square sum method.
It can be seen from Figure 5 that the sound absorption coefficient of glass wool tested by the impedance tube test is similar to the result of the finite element simulation, indicating that the finite element simulation method has high reliability and can represent the real sound absorption effect of sound-absorbing materials.

3.1. Simulated Sound-Absorbing Material Is Affected by Sand and Dust

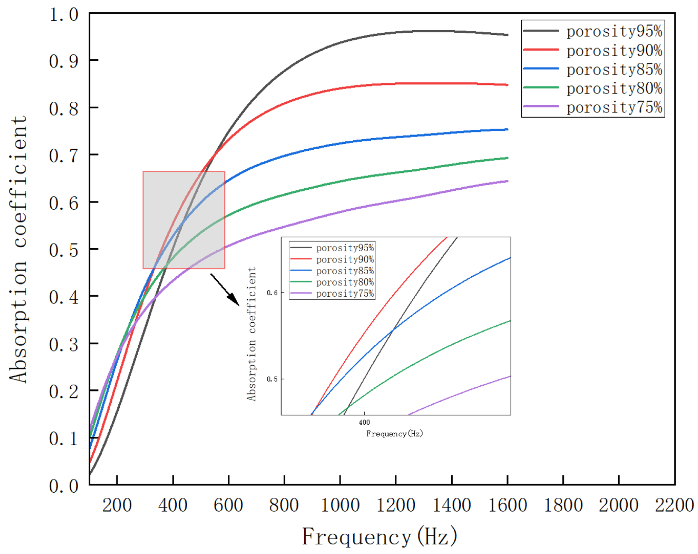
The substation sound barrier is affected by sand and dust in the process of use, especially in the northwest wind-blown areas, where the pores of the sound-absorbing materials such as glass wool and rock wool in the screen panel will be blocked by sand and dust particles, which will reduce the porosity of the sound-absorbing materials. The porosity is an important factor affecting the sound-absorbing effect of the sound-absorbing materials. At the same time, excessive sand and dust will sharply increase the weight of the sound-absorbing materials. The noise reduction performance of the sound barrier is seriously affected by the collapse and accumulation of the screen body, which seriously affects the noise reduction performance of the sound barrier. Currently, the corresponding standard [28] has been established for the study of the characterization of a sound barrier by sand and dust. In order to simulate the impact of sand and dust on the noise reduction effect of the sound barrier, glass wool is selected as an example, and the fiber radius a = 10 μm. Material thickness d = 5 cm and width w = 20 cm. By changing the porosity of the fiber material, the sound absorption coefficient at each frequency when the incidence direction of sound is parallel to the fiber axis is simulated and analyzed, as shown in the figure below.
In the frequency range of 200 Hz to 500 Hz, the slope of the sound absorption curve changes rapidly, indicating that the change in porosity has a great influence on the sound absorption effect. In this frequency band, when the porosity is 90%, the sound absorption coefficient reaches the maximum value. This shows that for low-frequency noise (such as 100–500 Hz), a porosity of 90% is the best design choice for the material. The sound absorption coefficient does not increase with the increase in porosity, which means that too high or too low porosity is not conducive to sound absorption performance. This phenomenon is due to the fact that the acoustic wave propagation mechanism of porous materials is closely related to the change in porosity. High porosity may cause the structure of sound-absorbing materials to become loose, thereby reducing the overall sound-absorbing effect.
In the frequency range of 500 Hz to 1600 Hz, the sound absorption coefficient continues to rise until it tends to be stable around 1000 Hz. In this frequency band, the sound absorption coefficient of the material with a porosity of 95% increases significantly and approaches 0.95, indicating that the frequency band has a higher requirement for the porosity of the sound-absorbing material, and the porosity of 95% achieves the best sound absorption effect. At high frequencies (especially 1000 Hz and above), higher porosity helps to improve the sound absorption coefficient, probably because the wavelength of high-frequency sound waves is shorter and the larger pore structure inside the material can more effectively scatter and absorb sound waves at these frequencies.
It can be seen from the analysis that a single material is difficult in providing the best sound absorption effect in multiple frequency bands. Because the acoustic wave propagation characteristics of different frequency bands are quite different, low frequency requires moderate porosity (such as about 90%), while high frequency requires higher porosity (such as 95%). This difference indicates that in order to maintain good sound absorption performance in multiple frequency bands, it may be necessary to design composite materials or multi-layer structures to meet the sound absorption requirements of different frequency bands at the same time.

3.2. Influence of Corrosion on Simulated Sound-Absorbing Materials

At home and abroad, the assessment of corrosion factors on the health of equipment primarily centers on measuring the corrosion rate of metal materials in various systems, establishing corrosion databases under different climatic conditions, and creating corrosion maps for different regions. The influence of corrosion on the sound absorption coefficient is not well understood. At present, the characterization of the acoustic performance of noise reduction facilities by external factors such as dust, rain, and corrosion is primarily conducted in laboratories. Typically, it is assessed through a combination of experimental data and sound field simulation after the application of materials.
In this paper, the change in thickness (cm) of the fiber porous material is utilized to demonstrate the impact of noise barriers affected by corrosive substances like acid rain. Glass wool is chosen as an example. The fiber radius (a) is 10 μm, the material width (w) is 20 cm, and the porosity is 90%. The sound absorption coefficient at each frequency, when the sound incident direction is parallel to the fiber axis, is obtained as shown in Figure 6.
It can be seen from Figure 6 that in the frequency range of 100 Hz to 300 Hz, the curve represents the rapid growth stage. As the thickness (d) of the fiber porous material decreases, the sound absorption coefficient also decreases significantly. At 300 Hz, the sound absorption coefficient is 0.72 for a thickness of d = 10 cm and 0.32 for a thickness of d = 5 cm. The noise reduction effect is quite different. In the frequency range of 300 Hz to 1000 Hz, the curve flattens out. With the increase in frequency, the sound absorption effect is optimal for d = 7 cm between 300 Hz and 700 Hz and for d = 6 cm between 700 Hz and 1000 Hz. In this frequency band, the difference in the sound absorption coefficient corresponding to the thickness of different materials is not more than 0.1. The curve approaches a constant value at 1600 Hz, and the maximum sound absorption coefficient is similar. It may be that the high-frequency wavelength is short and the sound absorption material can have a good sound absorption effect. The change in material thickness, d, has little effect on its sound absorption capability.
From the above simulation analysis, it can be observed that the sound barrier of the substation varies with different degrees of corrosion. The effective sound absorption thickness of the internal sound absorption material decreases due to corrosion. The sound absorption coefficient is being analyzed. When the thickness of the material in the frequency range of 100–300 Hz is 10 cm, the sound absorption coefficient of the material in the frequency range of 300–800 Hz does not change significantly with the thickness. The sound absorption coefficient of the material is the largest when the material thickness is 5 cm and exceeds 1000 Hz (Figure 7).

4. Improvement and Optimization of Sound-Absorbing Materials

The change law of the sound absorption coefficient of sound-absorbing materials in three typical climates was simulated, and it was concluded that the sound absorption effect of combined porous sound-absorbing materials such as glass wool was better when the porosity was controlled at 90~95%, and the noise reduction effect would decrease greatly when the porosity decreased at 800 Hz to 1600 Hz. Combined with the transformer, the near-field noise is mainly low-frequency noise below 500 Hz, and the sound absorption effect is better when the sound absorption material thickness is maintained at 10 cm in the frequency range of 100 Hz to 400 Hz.

4.1. New Blended Fiber Sound-Absorbing Material

Through the above simulation, the porosity of the sound absorption material is 95%, and the sound absorption effect is the best when the thickness is 10 cm, which has a good noise control effect. The noise of the substation is mainly composed of medium- and low-frequency electromagnetic noise. The noise is mainly distributed in a 50 Hz power frequency, 100 Hz, 200 Hz, 400 Hz, and other high-order harmonics. In addition, the noise components of medium- and high-frequency fans make its spectrum range wide. It is difficult to fully cover the high-efficiency sound absorption frequency band of conventional sound absorption materials.
In this paper, metal fibers and polymer fibers are blended to give full play to the performance advantages of various fiber materials, and low-frequency, high-frequency, and effective sound-absorbing materials are developed to improve the internal structure of metal, organic fibers, or porous materials. The porosity is controlled at 95%, the distribution form and size of internal pores are changed, and the flow resistance of fiber materials is improved, which can effectively increase the energy loss of low-frequency sound waves. When the low-frequency sound wave penetrates into the material pores, it will cause stronger friction between the air in the fiber pores and the pore wall, so that the sound energy is more easily converted into heat energy due to viscosity and thermal conductivity, and the thicker material can provide a larger low-frequency sound absorption effect. The thickness of the sound-absorbing material is controlled at 10 cm. In addition, due to the improvement of the density of the medium particles according to a certain law, there is a temperature gradient everywhere in the medium, so that the heat exchange process between adjacent particles is irreversible. With the loss of mechanical energy, the acoustic energy will also be further converted into heat energy. Therefore, the improvement in the resistive structure of the material will be more conducive to low-frequency sound absorption.

4.2. Preparation Process of Blended Fiber Sound-Absorbing Material

The preparation process of the blended fiber sound absorption material is mainly affected by the melting point of various fibers. When the melting point of the fiber is low, the sintering process can be used for consolidation, and when the melting point of the fiber is high, the acupuncture process can be used for consolidation. The melting point of polyester fiber is 260 °C, the melting point of polypropylene fiber is 160 °C, the melting point of aramid fiber is 570 °C, the melting point of aluminum fiber is 660 °C, and the melting point of stainless-steel fiber is 1350 °C. The specific heat of aluminum fiber is higher than that of stainless-steel fiber. Under the action of resistive friction energy consumption, aluminum fiber can dissipate heat faster and promote sound absorption and noise reduction in materials. Therefore, an aluminum fiber + aramid fiber material is selected as the sound absorption material of blended fiber in this project (Figure 8).
When the aramid fiber is used as the polymer fiber component of the blended fiber sound-absorbing material, because the aramid fiber will decompose at 560 °C, the needle punching process is selected as the processing technology of the blended fiber sound-absorbing material. The needle punching process is mainly aimed at the development of the blended fiber preparation process for aramid fiber with a high melting point. This method is based on metal fiber and polymer staple fiber as raw materials, using mechanical combing to form a fiber thin network, then mixed laying, and finally using the needle punching machine. The needle is entangled to prepare a blended fiber sound-absorbing material (Figure 9).

4.3. Effect of Surface Density of Fiber Material

The surface density kc represents the tightness of fiber materials and is an important structural parameter of blended fiber sound-absorbing materials. In order to study the influence of the surface density of the blended fiber absorption material, under the condition that the fiber diameter, mixing ratio, fiber material thickness, and other parameters are consistent, the blended fiber sound-absorbing materials with different fiber surface densities are prepared. Refer to Standard [27]—“Transfer function method”, a standard measurement of the sound absorption coefficient of different surface densities of blend fiber sound absorption materials, as shown in the figure (Figure 10).
As can be seen from the figure, the sound absorption coefficient curves of the surface densities of 2500 g/m2 and 300 g/m2 are basically the same, and the sound absorption performance of the surface density of 200 g/m2 is better than that of the surface density of 200 g/m2. This is because with the increase in the surface density, the porosity of the blended fiber sound absorption material decreases and the resistance of the fiber material increases. The absorption peak of the absorption coefficient curve gradually moves to the low frequency band, but when the surface density increases to a certain limit, the absorption peak will no longer shift to the left but reach a fixed value. Therefore, the surface density of the blended fiber sound absorption material selected in this paper is 2500 g/m2. The influence of the density and thickness of polypropylene fiber on the sound absorption performance of the material was studied with reference to Zolin [10]. The density of the fiber has a great influence on the sound absorption effect (Figure 11).

4.4. Influence of Fiber Material Proportion

The selection of blending ratio is very important to the influence of the acoustic properties of the blended fiber absorption material, which can determine whether the blended fiber absorption material is dominated by aluminum fiber or aramid fiber. After detection, it is shown as follows (Figure 12):
In the figure, 4:1, 3:1, and 2:1 represent the mixing ratios (aluminum fiber mass/aramid fiber mass). It can be seen from the figure that the low-frequency sound absorption performance of the blended fiber sound absorption material is the best when the mixing ratio is 3:1, so the blended fiber sound absorption material with the mixing ratio is more compatible with the noise characteristics of the urban substation. This is because the density of aluminum fiber is 2.7 g/cm3, the density of aramid fiber is 1.44 g/cm3, and the density of aluminum fiber is about two times that of aramid fiber. When the mixing ratio of aluminum fiber and aramid fiber is 3:1, the volume of aluminum fiber is 1.5 times that of aramid fiber, but the diameter of aluminum fiber is 2.5 times that of aramid fiber; that is, there will be an average of 4–5 aramid fibers around an aluminum fiber and aramid fibers will be inserted into the pores of aluminum fiber materials in the form of aramid bundles, effectively blocking the propagation of sound waves in the pores of aluminum fiber. Only when this mixing ratio is achieved can the blending fiber sound absorption material take into account the effect of low-frequency sound absorption and wide-frequency sound absorption; too much aluminum fiber will cause too much porosity, which is not conducive to the absorption of noise, and too much aramid fiber will cause too little porosity, which is not conducive to the absorption of low-frequency noise. In this paper, the mixing ratio (aluminum fiber mass/aramid fiber mass) of the blended fiber absorption material is 3:1. We found that Peng produced a sound-absorbing composite material [18] where the ratio of wood fiber to polyester fiber is 3:1 too.

4.5. Influence of Fiber Diameter

When the quality ratio of aluminum fiber and aramid fiber is 4:1, the surface density of the fiber material is 2500 g/m2, the thickness of fiber material is 5 cm, and the diameter of aramid fiber is 12 μm. Refer to Standard [27]—“Transfer function method”, a standard measurement of the sound absorption coefficient diagram of different aluminum fiber diameters of blended fiber absorption materials.
The figure represents the diameter of the aluminum fiber, and its unit is μm. It can be seen that the blended fiber with a fiber diameter of 30 μm has the best low-frequency sound absorption performance, which is because the diameter of aluminum fiber and aramid fiber is the smallest at 30 μm. Under the condition that other specifications are consistent, the pore inside the blend fiber sound absorption material prepared by using this diameter ratio is the smallest and the combination between fibers is the tightest. And this diameter ratio can just embed aramid fiber in the smallest pore between aluminum fiber, increase the flow resistance of aluminum fiber, and effectively improve the sound absorption performance of aluminum fiber. Therefore, the fiber raw materials selected for blending fiber sound absorption materials are aluminum fiber with a diameter of 30 μm and aramid fiber with a diameter of 12 μm. This is similar [11] to the effect of fiber radius on the performance of sound absorption materials studied by Samsudin. This shows what the combination of a variety of materials has in common (Figure 13).

4.6. Analysis of Results

Using the diameter, mass ratio, and surface density of aluminum fiber as independent variables and the sound absorption coefficient as the dependent variable, we can perform a simple linear regression analysis through the regression function in MATLAB.
The constant term (intercept) is 1.2345, indicating the predicted value of the sound absorption coefficient when all the independent variables are zero. The coefficient of the diameter of the aluminum fiber is −0.0023, indicating that the sound absorption coefficient decreases by about 0.0023 for every unit increase in the diameter of the aluminum fiber. The coefficient of the mass ratio is 0.0005, indicating that the sound absorption coefficient increases by about 0.0005 for every unit increase in the mass ratio. The coefficient of surface density is −0.0001, which means that for every unit increase in surface density, the sound absorption coefficient decreases by about 0.0001.
The confidence interval of the regression coefficient shows the confidence interval range of each regression coefficient. The narrower the confidence interval is, the more accurate the estimation of the regression coefficient is. R 2 = 0.9632 indicates that the regression model can explain about 96.32% of the variation in the dependent variable and that the model fits well (Table 1).
The p value tests the significance of the regression model. If the p value is small (for example, less than 0.05), the regression model is significant. Through the regression coefficient, we can obtain the influence of each independent variable (aluminum fiber diameter, mass ratio, and surface density) on the sound absorption coefficient (Table 2).

5. Weathering Resistance Analysis of New Materials

An outdoor substation is the most important structural form of urban substations; in harsh environmental conditions, such as dust, corrosion, rain, and other natural conditions, as well as long-term daily operation, the noise reduction effect of the sound barrier’s internal sound absorption materials will be greatly reduced.

5.1. Dust Test Analysis

Sound absorption materials in actual service are generally externally installed aluminum alloy screen structures because the micro-perforated plate’s specific frequency band sound absorption performance is good, has low-frequency sound absorption potential, low-carbon environmental benefits, and environmental adaptability, among many other advantages often associated with sound absorption materials. Sound absorption coefficient changes in various environments are considered for the actual use of blended fiber sound absorption materials. According to Standard [29], “Environmental Tests for Electrical and Electronic products Part 2: Test Methods Test L: Dust test”, the blended fiber sound absorption material and micro-perforated board were placed in the dust test chamber for a 30 d dust test, and the test sample is shown in Figure 14.
It can be seen from Figure 15 that before and after the sand and dust test, the sound absorption material of blended fiber shows an obvious coincidence trend in the frequency band below 250 Hz, but after 250 Hz, the sound absorption coefficient decreases first and then tends to be the same, which may be caused by pollution blocking the internal gap of the fiber. According to the calculation, after the sand and dust test, the acoustic performance retention rate of 125 Hz is about 122%, the acoustic performance retention rate of the 125–500 Hz band is about 94%, and the acoustic performance retention rate of the 250–1600 Hz band is about 95%, which shows little change in the overall acoustic performance. It can meet the actual demand of noise reduction (Figure 15).

5.2. Corrosion Test Analysis

In order to consider the corrosion resistance of the sound-absorbing components of blended fiber sound-absorbing materials and their service durability in a salt spray environment, the microporous composite sound-absorbing components were placed in the neutral salt spray test chamber for 240 h with reference to Standard [30], “Salt spray Test of Artificial Atmosphere Corrosion Test”, and the test samples are shown in the figure below (Figure 16).
As can be seen from the figure, the curve of the sound absorption coefficient before and after corrosion shows an obvious coincidence trend in the frequency band below 250 Hz, but after 250 Hz, the sound absorption coefficient first decreases and then increases and finally tends to be consistent, which may be caused by the precipitation of salt crystals on the fiber surface blocking the fiber gap. According to the calculation, after the corrosion test, the acoustic performance retention rate of 125 Hz is about 114%, that of the 125–500 Hz band is about 94%, and that of the 250–1600 Hz band is about 108%, which shows little change in the overall acoustic performance. It can be seen that the microporous mixed fiber composite sound absorber has good corrosion resistance and good performance in the salt spray ring (Figure 17).

5.3. Analysis of Rain Test

According to Standard [31], “Environmental Tests for Electrical and electronic products Part 2: Test Methods Test R: Water test methods and guidelines”, the blended fiber sound absorption material was placed in the spray test chamber for a 60 min rain test, and the test sample is shown in the figure below (Figure 18).
After the rain shower test, the surface of the porous sound-absorbing material was stained with water. The acoustic performance of the sample before and after the rain shower test was tested and the curve of the sound absorption coefficient are shown in Figure 15.
As can be seen from the figure, the curve of the sound absorption coefficient before and after the rain test does not fluctuate in a large range in the frequency band below 250 Hz, but after 250 Hz, the sound absorption coefficient first decreases and then increases and finally tends to be consistent, which may be caused by water droplets blocking the internal gaps in the fibers. According to the calculation, after the rain test of the blended fiber absorption material, the acoustic performance retention rate of 125 Hz is about 119%, the acoustic performance retention rate of 125–500 Hz is about 93%, and the acoustic performance retention rate of 250–1600 Hz is about 103%, which shows little change in the overall acoustic performance. It can be seen that the blended fiber sound absorption material has good rain resistance and acoustic performance retention rate in humid environments. For outdoor substations directly exposed to the atmospheric environment, the component will not collapse due to harsh climatic conditions, resulting in high sound absorption performance (Figure 19).

5.4. Aging Test Analysis

The thermal aging of aramid fiber is the main aging mode of blended fiber sound-absorbing materials. In order to consider the aging resistance of blended fiber sound-absorbing materials and the service durability under alternating high- and low-temperature environments, this project refers to Standard [32], “Environmental Test Part 2: Test methods Test Z/AD: Temperature/humidity combined cycle test”. The blended fiber sound-absorbing material was placed in a high- and low-temperature alternating humidity and heat test chamber with a high temperature of 65 °C, a low temperature of −10 °C, and a humidity of 93% for 24 h for 10 times for a combined cycle test. The test samples are shown in the figure below (Figure 20).
As can be seen from the figure, the curves of the absorption coefficient before and after the aging test show an obvious coincidence trend below 250 Hz, but after 250 Hz, the absorption coefficient first decreases and then increases and finally tends to be consistent. This may be due to aging, thermal degradation, or low-temperature brittle break. With a few aramid fiber chain breaks, aramid fiber performance slightly decreased (Figure 21).
It is calculated that after the aging test, the acoustic performance retention rate of 125 Hz is about 97%, that of the 125–500 Hz frequency band is about 97%, and that of the 250–1600 Hz frequency band is about 108%. It can be seen that the microporous hybrid fiber composite sound absorption component has good aging resistance and service durability under alternating high- and low-temperature environments. For outdoor substations directly exposed to the atmospheric environment, the material will not significantly age due to harsh climatic conditions, resulting in a significant reduction in sound absorption performance.

6. Acoustic–Solid Coupling Simulation Analysis

In the actual application of the substation sound barrier, the sound barrier is composed of several components; the aluminum alloy screen plate mainly plays the role of sound insulation, and its sound source surface is provided with shutters. Using a COMSOL acousto–solid interaction module, the acousto–solid coupling model is established by taking a substation sound barrier as an example, and the sound barrier is divided into three layers, namely an aluminum alloy metal plate, sound-absorbing material, and another aluminum alloy metal plate. The aluminum alloy was set as a mechanical linear elastic material, and constraints were applied around it. The length of the sound barrier was 6 m, the height was 8 m, and the width was 0.2 m. The front and back of the sound barrier were air domains with a height of 10 m, and the outer layer of the air domain was added as pressure acoustics. The key parts of the model are refined into the following structural names:
The pressure acoustics are set in the COMSOL, the point sound source is set as a single pole source, and the new composite material is set as the acoustics of porous media. In solid mechanics, the four surfaces of the composite material that do not come into contact with the reverberation chamber are set fixed constraints to solve the problem (Figure 22).
In the acoustic–solid coupling model, the porous material is set as glass wool, the porosity is 95%, the thickness is 0.2 m, and the thickness of the aluminum alloy screen plate is 0.002 m. The corresponding physical properties are set; the flow resistance is calculated as 20,000 Pa·s·m−2, the blended fiber is aluminum fiber of 30 μm and aramid fiber of 12 μm in a ratio of 3:1. For mixing, the surface density is 2500 g/m2, the thickness is 0.2 m, the porosity is 95%, and the flow resistance is 45,000 Pa·s·m−2. The mesh size is divided to meet the maximum cell of (340/f/5) m, and f is the maximum calculated frequency. The actual application effect of the two materials in the acoustic barrier is calculated, and the insertion loss diagram is obtained (Figure 23).
It can be seen from Figure 24 that the blended fiber has a better noise reduction effect than glass wool at the whole frequency, especially in the low-frequency band of 200 Hz~400 Hz, and the insertion loss can be maintained at 10 dB. After 500 Hz, the insertion loss of the blended fiber and glass wool is on the rise, and the effect of the blended fiber sound-absorbing material is significantly better. Analysis of the two sound-absorbing materials shows that the blend fiber has a significant noise reduction effect at low frequency, which solves the problem of a large amplitude and high energy of low-frequency acoustic waves of the transformer. Compared with glass wool, the arithmetic average value of insertion loss of the blend fiber sound-absorbing material at 100 Hz to 1600 Hz is increased by 4.78 dB, which can effectively control the noise of the medium- and low-frequency AC transformer.

7. Conclusions

The reliability of the finite element model was verified by comparing the experimental data with the finite element simulation data. Based on the Delany–Bazley model, by changing the porosity, thickness, and air moisture content of the sound-absorbing material, the change law of the sound-absorbing effect of the sound-absorbing material under the environments of sand, corrosion, and rain was studied. The blended fiber sound-absorbing material was developed, the optimal physical parameters of the blended fiber sound-absorbing material were obtained through a test analysis, and its sound-absorbing effect in complex environment was verified. Finally, the noise reduction effect in practical application scenarios was simulated, and the following conclusions were drawn:
Through a simulation, it is concluded that the porosity of the sound absorption material is maintained at 95% and the sound absorption effect is better when the material thickness is 10 cm. The test shows that the aluminum fiber diameter in the blended fiber is 30 μm, the aramid fiber diameter is 12 μm, the mass ratio of the two is 3:1, the material thickness is 10 cm, and the area density is 2500 g/m2. The sound absorption effect is the best. The durability test analysis shows that the material can maintain a good sound absorption effect in a variety of complex environments. Finally, the noise reduction effect in its practical application scenario is simulated and analyzed. It is concluded that the noise reduction effect of the blended fiber sound absorption material is improved by 4.78 dB compared with glass wool.

Author Contributions

The authors confirm their contributions to the paper as follows: study conception and design: M.M. and F.W.; data collection: S.H.; analysis and interpretation of results: X.D.; draft manuscript preparation: Q.H. and J.T. X.H. analyzed the simulation data. All authors have read and agreed to the published version of the manuscript.

Funding

This study was funded by the Independent research project of the State Key Laboratory, HJGZ2021211; the Science and Technology Project of the Jiangxi Education Department, GJJ2200629; and the Science and Technology Project of the Jiangxi Education Department, Gjj190339.

Data Availability Statement

This paper relies on the data obtained by the previous experiments of the research group. Readers can obtain it from the author’s email address if they need to, so as to have a comprehensive understanding of the data and materials used.

Acknowledgments

Thank you very much for the support and help of each author.

Conflicts of Interest

Authors Mengting Mao, Fayuan Wu, Xiaomin Dai and Jinhui Tang employed by the company Jiangxi Electric Power Co., Ltd. Author Sheng Hu employed by the company State Grid Hunan Electric Power Co., Ltd. Author Qiang He employed by the company State Grid Smart Grid Research Institute Co., Ltd. The remaining authors declare that the research was conducted in the absence of any commercial or financial relationships that could be construed as a potential conflict of interest.

References

  1. Wen, T.W.; Wen, Y.; Zhang, X.; Bian, X. Investigate and Control of Power Transformer Noise. In Proceedings of the 2009 Asia-Pacific Power and Energy Engineering Conference, Wuhan, China, 27–31 March 2009; pp. 1–4. [Google Scholar]
  2. Hu, S.; Chen, S.; Zou, H.; Li, T.N. Research on the application of active sound barriers for the transformer noise abatement. MATEC Web Conf. 2016, 44, 02059. [Google Scholar] [CrossRef]
  3. Omoto, A.; Fujiwara, K. A study of an actively controlled noise barrier. J. Acoust. Soc. Am. 1993, 94, 2173–2180. [Google Scholar] [CrossRef]
  4. Zhao, W.; Chen, L.; Zheng, C.; Liu, C.; Chen, H. Design of absorbing material distribution for sound barrier using topology optimization. Struct. Multidiscip. Optim. 2017, 56, 315–329. [Google Scholar] [CrossRef]
  5. Kim, K.; Lee, J.-H.; Kim, S.; Park, J.-K. A Study of Sound Absorbing Characteristics of the Railway Noise Barrier with Respect to Front Perforated Panel and Absorbing Material. Trans. Korean Soc. Noise Vib. Eng. 2014, 24, 275–281. [Google Scholar] [CrossRef]
  6. Yoon, W.U.; Park, J.H.; Lee, J.S.; Kim, Y.Y. Topology optimization design for total sound absorption in porous media. Comput. Methods Appl. Mech. Eng. 2020, 360, 112723. [Google Scholar] [CrossRef]
  7. Mousavi, A. Computational Analysis and Design Optimization for Acoustic Devices. Ph.D. Thesis, Umeå University, Umeå, Sweden, 2023. [Google Scholar]
  8. Zhou, H.; Li, B.; Huang, G. Sound absorption characteristics of polymer microparticles. J. Appl. Polym. Sci. 2006, 101, 2675–2679. [Google Scholar] [CrossRef]
  9. Liu, X.; Li, J.; Xu, B.; Gao, W. Acoustic analysis for a sound-absorbing structure with multi-layered porous material. J. Vib. Shock. 2012, 31, 106–110. [Google Scholar]
  10. Zorin, V.; Ivanchuk, A.A.; Karpinos, D.M.; Rutkovskii, A.E.; Smirnov, V.G. Effect of geometric structure parameters on the sound absorbing properties of a metal fiber material. Sov. Powder Metall. Met. Ceram. 1980, 19, 765–768. [Google Scholar] [CrossRef]
  11. Samsudin, E.M.; Ismail, L.H.B.; Kadir, A.A. A Review on Physical Factors Influencing Absorption Performance of fibrous Sound Absorption Material from Natural Fibers. ARPN J. Eng. Appl. Sci. 2016, 11, 3703–3710. [Google Scholar]
  12. Hurtado-Aviles, E.A.; Torres, J.A.; Trejo-Valdez, M.; Romero-Ángeles, B.; Villalpando, I.; Torres-Torres, C. Amplitude-modulated acoustic waves by nonlinear optical signals in bimetallic Au-Pt nanoparticles and ethanol based nanofluids. J. Mol. Liq. 2018, 263, 288–293. [Google Scholar] [CrossRef]
  13. Arjunan, A.; Baroutaji, A.; Robinson, J. Advances in Acoustic Metamaterials; Elsevier: Amsterdam, The Netherlands, 2021. [Google Scholar]
  14. Arjunan, A.; Baroutaji, A.; Latif, A. Acoustic behaviour of 3D printed titanium perforated panels. Results Eng. 2021, 11, 100252. [Google Scholar] [CrossRef]
  15. Arjunan, A.; Baroutaji, A.; Robinson, J.; Vance, A.; Arafat, A. Acoustic metamaterials for sound absorption and insulation in buildings. Build. Environ. 2024, 251, 111250. [Google Scholar] [CrossRef]
  16. Li, Y.; Zhang, J.; Li, J.; Guo, S. Design of a broadband composite noise reduction metamaterial with integrated vibration reduction and sound absorption and insulation. Mater. Des. 2024, 238, 112709. [Google Scholar] [CrossRef]
  17. Arjunan, A.; Wang, C.; English, M.; Stanford, M.; Lister, P. A computationally-efficient numerical model to characterize the noise behavior of metal-framed walls. Metals 2015, 5, 1414–1431. [Google Scholar] [CrossRef]
  18. Peng, L.; Song, B.; Wang, J.; Wang, D. Mechanic and Acoustic Properties of the Sound-Absorbing Material Made from Natural Fiber and Polyester. Adv. Mater. Sci. Eng. 2015, 2015, 274913. [Google Scholar] [CrossRef]
  19. Yoon, G.H. Acoustic topology optimization of fibrous material with Delany-Bazley empirical material formulation. J. Sound Vib. 2013, 332, 1172–1187. [Google Scholar] [CrossRef]
  20. Jones, P.; Kessissoglou, N. Simplification of the Delany–Bazley approach for modelling the acoustic properties of a poroelastic foam. Appl. Acoust. 2015, 88, 146–152. [Google Scholar] [CrossRef]
  21. Yadav, V.S.; Morajkar, T.N.; Pawar, M.R.; Sanas, V.E.; Naik, N.; Dixit, V.B. Investigation of Sound Absorption Coefficient Using Delany Bazley Method. Int. J. Adv. Res. Ideas Innov. Technol. 2017, 3, 734–740. [Google Scholar]
  22. Delany, M.E.; Bazley, E.N. Acoustical properties of fibrous absorbent materials. Appl. Acoust. 1970, 3, 105–116. [Google Scholar] [CrossRef]
  23. Komatsu, T. Improvement of the Delany-Bazley and Miki models for fibrous sound-absorbing materials. Acoust. Sci. Technol. 2008, 29, 121–129. [Google Scholar] [CrossRef]
  24. Garai, M.; Pompoli, F. A simple empirical model of polyester fibre materials for acoustical applications. Appl. Acoust. 2005, 66, 1383–1398. [Google Scholar] [CrossRef]
  25. Tarnow, V. Airflow resistivity of models of fibrous acoustic materials. J. Acoust. Soc. Am. 1996, 100, 3706–3713. [Google Scholar] [CrossRef]
  26. Crowe, C.T.; Roberson, J.A. Engineering Fluid Mechanics; Houghton Mifflin: Boston, MA, USA, 1975. [Google Scholar]
  27. Standard:18696.2; Acoustics-Determination of Sound Absorption Coefficient and Impedance in Impedance Tubes-Part 2. Transfer Function Method. Beijing, China, 2002. Available online: https://www.chinesestandard.net/PDF.aspx/GBT18696.2-2002 (accessed on 27 October 2024).
  28. Standard:60815; Selection and Dimensioning of High-Voltage Insulators for Use in Polluted Conditions—Part 1: Definitions, Information and General Principles. IEC: Geneva, Switzerland, 2002.
  29. Standard:2423.37; Environmental Tests for Electrical and Electronic products Part 2: Test Methods Test L: Dust Test. Beijing, China, 2006. Available online: https://www.codeofchina.com/standard/GBT2423.37-2006.html (accessed on 27 October 2024).
  30. Standard:10125; Salt Spray Test of Artificial Atmosphere Corrosion Test. Beijing, China, 2012. Available online: https://www.chinesestandard.net/PDF.aspx/GBT10125-2012 (accessed on 27 October 2024).
  31. Standard:2423.38; Environmental Testing for Electrical and Electronic Products Part 2: Test Methods Test R: Water Test Methods and Guidelines. Beijing, China, 2008. Available online: https://www.gbstandards.org/China_standard_english.asp?code=GB/T%202423.38-2008&id=14200 (accessed on 27 October 2024).
  32. Standard: 2423.34; Environmental Test Part 2: Test methods Test Z/AD: Temperature/Humidity Combined Cycle Test. Beijing, China, 2012. Available online: https://www.chinesestandard.net/PDF/English.aspx/GBT2423.34-2012 (accessed on 27 October 2024).
Figure 1. Structure distribution diagram of porous fiber.
Figure 1. Structure distribution diagram of porous fiber.
Processes 12 02582 g001
Figure 2. Sound pressure map based on DB model.
Figure 2. Sound pressure map based on DB model.
Processes 12 02582 g002
Figure 3. B&K acoustic impedance test system.
Figure 3. B&K acoustic impedance test system.
Processes 12 02582 g003
Figure 4. The schematic diagram of the sound absorption coefficient measurement principle.
Figure 4. The schematic diagram of the sound absorption coefficient measurement principle.
Processes 12 02582 g004
Figure 5. Comparison between measured and simulated sound absorption coefficients of glass wool.
Figure 5. Comparison between measured and simulated sound absorption coefficients of glass wool.
Processes 12 02582 g005
Figure 6. The sound absorption coefficient curves corresponding to each porosity.
Figure 6. The sound absorption coefficient curves corresponding to each porosity.
Processes 12 02582 g006
Figure 7. The sound absorption coefficient curves corresponding to different material thicknesses.
Figure 7. The sound absorption coefficient curves corresponding to different material thicknesses.
Processes 12 02582 g007
Figure 8. Microstructure of aluminum fiber.
Figure 8. Microstructure of aluminum fiber.
Processes 12 02582 g008
Figure 9. Microstructure of aramid fiber.
Figure 9. Microstructure of aramid fiber.
Processes 12 02582 g009
Figure 10. Blended fiber sound-absorbing material prepared by needle punching process.
Figure 10. Blended fiber sound-absorbing material prepared by needle punching process.
Processes 12 02582 g010
Figure 11. Sound absorption coefficient curves of blended fibers with different surface densities.
Figure 11. Sound absorption coefficient curves of blended fibers with different surface densities.
Processes 12 02582 g011
Figure 12. Sound absorption coefficient curves of blended fibers with different blending ratios.
Figure 12. Sound absorption coefficient curves of blended fibers with different blending ratios.
Processes 12 02582 g012
Figure 13. Sound absorption coefficient curves of blended fibers with different fiber diameters.
Figure 13. Sound absorption coefficient curves of blended fibers with different fiber diameters.
Processes 12 02582 g013
Figure 14. Comparison of sample states before and after sand test.
Figure 14. Comparison of sample states before and after sand test.
Processes 12 02582 g014
Figure 15. Comparison of sound absorption performance before and after dust test.
Figure 15. Comparison of sound absorption performance before and after dust test.
Processes 12 02582 g015
Figure 16. Comparison of sample state before and after corrosion test.
Figure 16. Comparison of sample state before and after corrosion test.
Processes 12 02582 g016
Figure 17. Comparison of sound absorption performance before and after corrosion test.
Figure 17. Comparison of sound absorption performance before and after corrosion test.
Processes 12 02582 g017
Figure 18. Comparison of sample status before and after rain test.
Figure 18. Comparison of sample status before and after rain test.
Processes 12 02582 g018
Figure 19. Comparison of sound absorption performance before and after rain test.
Figure 19. Comparison of sound absorption performance before and after rain test.
Processes 12 02582 g019
Figure 20. Comparison of sample status before and after aging test.
Figure 20. Comparison of sample status before and after aging test.
Processes 12 02582 g020
Figure 21. Comparison of sound absorption performance before and after aging test.
Figure 21. Comparison of sound absorption performance before and after aging test.
Processes 12 02582 g021
Figure 22. The composition of each part of the simulation model.
Figure 22. The composition of each part of the simulation model.
Processes 12 02582 g022
Figure 23. Sound–solid model schematic diagram of sound barrier.
Figure 23. Sound–solid model schematic diagram of sound barrier.
Processes 12 02582 g023
Figure 24. Insertion loss diagram.
Figure 24. Insertion loss diagram.
Processes 12 02582 g024
Table 1. Result dataset.
Table 1. Result dataset.
Aluminum Fiber Diameter (μm)Mass Ratio (Aluminum/Aramid)Surface Density (g/m2)Sound Absorption Coefficient
304.120000.85
304.125000.92
303.125000.9
603.125000.89
602.125000.75
902.130000.65
Table 2. Regression data analysis.
Table 2. Regression data analysis.
Regression CoefficientConfidence Interval of Regression Coefficientp Value
−0.0023(−0.005, −0.0001)0.0034
0.0005(0.002, 0.001)0.125
−0.0001(−0.001, 0.008)0.876
Disclaimer/Publisher’s Note: The statements, opinions and data contained in all publications are solely those of the individual author(s) and contributor(s) and not of MDPI and/or the editor(s). MDPI and/or the editor(s) disclaim responsibility for any injury to people or property resulting from any ideas, methods, instructions or products referred to in the content.

Share and Cite

MDPI and ACS Style

Mao, M.; Wu, F.; Hu, S.; Dai, X.; He, Q.; Tang, J.; Hong, X. Analysis and Optimization of the Noise Reduction Performance of Sound-Absorbing Materials in Complex Environments. Processes 2024, 12, 2582. https://doi.org/10.3390/pr12112582

AMA Style

Mao M, Wu F, Hu S, Dai X, He Q, Tang J, Hong X. Analysis and Optimization of the Noise Reduction Performance of Sound-Absorbing Materials in Complex Environments. Processes. 2024; 12(11):2582. https://doi.org/10.3390/pr12112582

Chicago/Turabian Style

Mao, Mengting, Fayuan Wu, Sheng Hu, Xiaomin Dai, Qiang He, Jinhui Tang, and Xian Hong. 2024. "Analysis and Optimization of the Noise Reduction Performance of Sound-Absorbing Materials in Complex Environments" Processes 12, no. 11: 2582. https://doi.org/10.3390/pr12112582

APA Style

Mao, M., Wu, F., Hu, S., Dai, X., He, Q., Tang, J., & Hong, X. (2024). Analysis and Optimization of the Noise Reduction Performance of Sound-Absorbing Materials in Complex Environments. Processes, 12(11), 2582. https://doi.org/10.3390/pr12112582

Note that from the first issue of 2016, this journal uses article numbers instead of page numbers. See further details here.

Article Metrics

Back to TopTop