The Modification of Waste Polystyrene and Its Application as a Heavy Oil Flow Improver
Abstract
1. Introduction
2. Materials and Methods
2.1. Materials
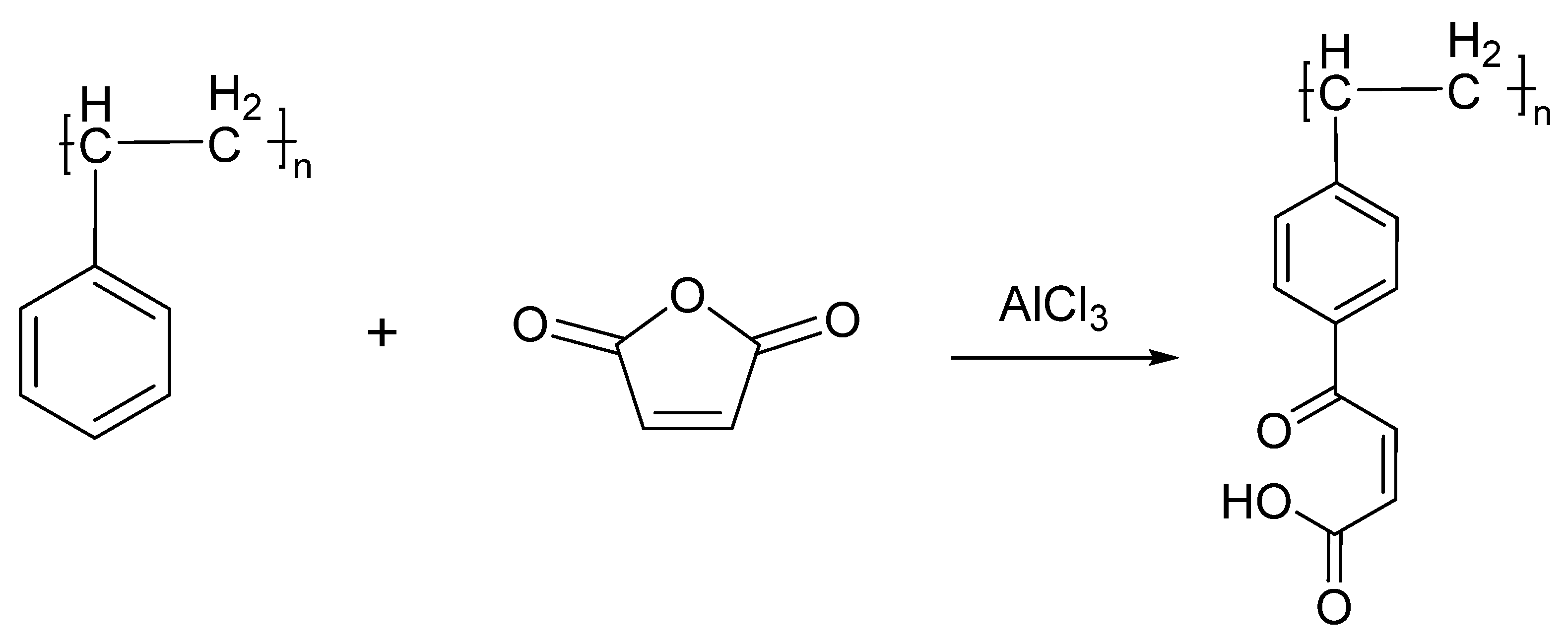
2.2. Maleylation Modification of Polystyrene
2.3. FT-IR Spectra Analysis
2.4. 1H NMR Spectroscopy
2.5. Pour Point Evluation
2.6. Viscosity Evaluation
2.7. Optical Microscopy
3. Results and Discussion
3.1. IR Spectrum Analysis
3.2. 1H NMR Spectroscopy
3.3. Pour Point
3.4. Viscosity
3.5. Paraffin Crystal Morphology
3.6. Mechanism
4. Conclusions
Author Contributions
Funding
Data Availability Statement
Acknowledgments
Conflicts of Interest
References
- Ba, T.H.; Roberts, T.K.; Lucas, S. An overview on biodegradation of polystyrene and modified polystyrene: The microbial approach. Rev. Biotechnol. 2017, 28, 308–320. [Google Scholar] [CrossRef]
- Dengaev, A.V.; Kayumov, A.A.; Getalov, A.A.; Aliev, F.A.; Baimukhametov, G.F.; Sargin, B.V.; Maksimenko, A.F.; Vakhin, A.V. Chemical Viscosity Reduction of Heavy Oil by Multi-Frequency Ultrasonic Waves with the Main Harmonics of 20–60 kHz. Fluids 2023, 8, 136. [Google Scholar] [CrossRef]
- Akshatha, N.; Jalageri, M.D.; Puttaiahgowda, Y.M.; Reddy, K.R.; Raghu, A.V. A review on various maleic anhydride antimicrobial polymers. J. Microbiol. Methods 2019, 163, 105650. [Google Scholar] [CrossRef]
- Wang, J.; Xue, G.; Tian, B.; Li, S.; Chen, K.; Wang, D.; Sun, Y.; Xu, H.; Petkov, J.T.; Li, Z. Interaction between Surfactants and SiO2 Nanoparticles in Multiphase Foam and Its Plugging Ability. Energy Fuels 2017, 31, 408–417. [Google Scholar] [CrossRef]
- Chen, G.; Yuan, W.H.; Zhang, F.; Gu, X.F.; Du, W.C.; Zhang, J.; Li, J.L.; Qu, C.T. Application of polymethacrylate from waste organic glass as a pour point depressor in heavy crude oil. J. Pet. Sci. Eng. 2018, 165, 1049–1053. [Google Scholar] [CrossRef]
- Qu, X.; Zhou, G.; Lu, Y.; Li, S.; Zhang, L.; Wang, J.; Xu, H. Catalytic aquathermolysis of Mackay River bitumen with different types of Mo-based catalysts. Fuel 2022, 326, 125134. [Google Scholar] [CrossRef]
- Tafur, N.; Muñuzuri, A.P.; Soto, A. Improvement of a Surfactant Blend for Enhanced Oil Recovery in Carbonate Reservoirs by Means of an Ionic Liquid. Int. J. Mol. Sci. 2023, 24, 726. [Google Scholar] [CrossRef]
- Da Silva, M.A.; Rocha, N.O.; Carvalho, C.H.; Sabadini, E. New Experimental Technique To Measure the Efficiency of Drag Reducer Additives for Oil Samples. Energy Fuels 2009, 23, 4529–4532. [Google Scholar] [CrossRef]
- Soliman, E.A.; Elkatory, M.R.; Hashem, A.I.; Ibrahim, H.S. Synthesis and performance of maleic anhydride copolymers with alkyl linoleate or tetra-esters as pour point depressants for waxy crude oil. Fuel 2018, 211, 535–547. [Google Scholar] [CrossRef]
- Xiang, C.; Zhu, Y.; Liu, G.; Liu, T.; Xu, X.; Yang, J. Experimental and Simulation Studies of Imidazolium Chloride Ionic Liquids with Different Alkyl Chain Lengths for Viscosity Reductions in Heavy Crude Oil: The Effect on Asphaltene Dispersion. Molecules 2024, 29, 1184. [Google Scholar] [CrossRef] [PubMed]
- Al-Sabagh, A.M.; Noor El-Din, M.R.; Morsi, R.E.; Elsabee, M.Z. Styrene-maleic anhydride copolymer esters as flow improvers of waxy crude oil. J. Dispers. Sci. Technol. 2009, 30, 420–426. [Google Scholar] [CrossRef]
- Mao, J.C.; Liu, J.W.; Wang, H.B.; Yang, X.J.; Zhang, Z.Y.; Yang, B.; Zhao, J.Z. Novel terpolymers as viscosity reducing agent for Tahe super heavy oil. RSC Adv. 2017, 7, 19257–19261. [Google Scholar] [CrossRef]
- Zhu, L.J.; Wang, Y.J.; Wang, S.L.; Huo, T.; Jing, X.H.; Li, A.F.; Xia, D.H. High viscosity-reducing performance oil-soluble viscosity reduction agents containing acrylic acid ester as monomer for heavy oil with high asphaltene content. J. Pet. Sci. Eng. 2018, 163, 37–44. [Google Scholar] [CrossRef]
- Al-Sabagh, A.M.; Khidr, T.T.; Moustafa, H.M.; Mishrif, M.R.; Al-Damasy, M.H. Investigating the synergistic effect between oil soluble surfactants and styrene–maleic anhydride copolymers to enhance the flow properties of waxy crude oil. Pet. Sci. Techno. 2017, 35, 1381–1388. [Google Scholar] [CrossRef]
- Soni, H.P.; Kiranbala Agrawal, K.S.; Nagar, A.; Bharambe, D.P. Designing maleic anhydride-α-olifin copolymeric combs as wax crystal growth nucleators. Fuel Process. Technol. 2010, 91, 997–1004. [Google Scholar] [CrossRef]
- Li, L.; Xu, J.; Tinsley, J.; Adamson, D.H.; Pethica, B.A.; Huang, J.S.; Prud’homme, R.K.; Guo, X.H. Improvement of oil flowability by assembly of comb-type copolymers with paraffin and asphaltene. AIChE J. 2011, 58, 2254–2261. [Google Scholar] [CrossRef]
- Xu, J.; Zhang, X.Y.; Sun, J.; Li, L.; Guo, X.H. How comb-type poly(maleic acid alkylamide-co-α-olefin) assemble in waxy oils and improve flowing ability. Asia-Pac. J. Chem. Eng. 2009, 4, 551–556. [Google Scholar] [CrossRef]
- Zhou, Z.C.; Slaný, M.; Kuzielová, E.; Zhang, W.Y.; Ma, L.W.; Dong, S.B.; Zhang, J.; Chen, G. Influence of reservoir minerals and ethanol on catalytic aquathermolysis of heavy oil. Fuel 2022, 307, 124871. [Google Scholar] [CrossRef]
- Gabayan, R.C.M.; Sulaimon, A.A.; Jufar, S.R. Application of Bio-Derived Alternatives for the Assured Flow of Waxy Crude Oil: A Review. Energies 2023, 16, 3652. [Google Scholar] [CrossRef]
- Ji, S.; Wei, F.; Li, B.; Li, P.; Li, H.; Li, S.; Wang, J.; Zhu, H.; Xu, H. Synergistic effects of microbial polysaccharide mixing with polymer and nonionic surfactant on rheological behavior and enhanced oil recovery. J. Pet. Sci. Eng. 2022, 208, 109746. [Google Scholar] [CrossRef]
- Qu, X.; Zhou, G.; Wang, C.; Wei, F.; Li, S.; Wang, J.; Xu, H.; Li, Z. Upgrading of Mackay River bitumen through co-aquathermolysis with lignin under mild conditions. J. Pet. Sci. Eng. 2022, 214, 110489. [Google Scholar] [CrossRef]
- Qu, X.; Li, Y.; Li, S.; Wang, J.; Xu, H.; Li, Z. Thermal cracking, aquathermolysis, and their upgrading effects of Mackay River oil sand. J. Pet. Sci. Eng. 2021, 201, 108473. [Google Scholar] [CrossRef]
- Chen, G.; Zhou, Z.C.; Shi, X.D.; Zhang, X.L.; Dong, S.B.; Zhang, J. Synthesis of alkylbenzenesulfonate and its behavior as flow improver in crude oil. Fuel 2021, 288, 119644. [Google Scholar] [CrossRef]
- Ji, S.; Li, H.; Wang, G.; Lu, T.; Ma, W.; Wang, J.; Zhu, H.; Xu, H. Rheological behaviors of a novel exopolysaccharide produced by Sphingomonas WG and the potential application in enhanced oil recovery. Int. J. Biol. Macromol. 2020, 162, 1816–1824. [Google Scholar] [CrossRef]
- Wang, D.; Tian, B.; Cao, M.; Sun, Y.; Li, S.; Lu, T.; Wang, J. Mechanism discussion of nanofluid for enhanced oil recovery: Adhesion work evaluation and direct force measurements between nanoparticles and surfaces. Energy Fuels 2018, 32, 11390–11397. [Google Scholar] [CrossRef]
- Ma, L.; Guo, R.; Dong, S.; Li, Y.; Slaný, M.; Chen, G. Ethanol enhanced aquathermolysis of heavy oil catalyzed by a simple Co(II) complex at low temperature. Chem. Eng. J. 2023, 453, 139872. [Google Scholar] [CrossRef]
- Quan, H.P.; Xing, L.M. The effect of hydrogen bonds between flow improvers with asphaltene for heavy crude oil. Fuel 2019, 237, 276–282. [Google Scholar] [CrossRef]
- Sharma, S.; Mahto, V.; Sharma, V.P. Effect of flow improvers on rheological and microscopic properties of Indian waxy crude oil. Ind. Eng. Chem. Res. 2014, 53, 4525–4533. [Google Scholar] [CrossRef]
- Xu, Z.; Li, M.; Kong, Y.; Long, C.; Sun, Y.; Liu, G.; Yu, C.; Lu, Y.; An, J.; Yang, F. Synthesis and Performance Evaluation of Graphene-Based Comb Polymer Viscosity Reducer. Energies 2023, 16, 5779. [Google Scholar] [CrossRef]






| Pour Point, °C | Saturated HC, % | Aromatic HC, % | Resin, % | Asphaltene, % |
|---|---|---|---|---|
| 24.2 | 26.98 | 28.47 | 34.12 | 10.43 |
| Abbreviation Name | nstyrene:nmaleic anhydride | vmodified polystyrene:vdiesel |
|---|---|---|
| MPS1 | 1:1 | 1:1 |
| MPS2 | 2:1 | 1:1 |
| MPS3 | 2:1 | 1:2 |
| MPS4 | 1:2 | 1:1 |
| MPS5 | 1:5 | 1:1 |
| Concentration, mg/L | Pour Point, °C | ||||
|---|---|---|---|---|---|
| MPS1 | MPS2 | MPS3 | MPS4 | MPS5 | |
| 0 | 23.5 | 23.5 | 23.5 | 23.5 | 23.5 |
| 100 | 23.0 | 23.1 | 22.8 | 23.3 | 23.2 |
| 300 | 22.3 | 21.7 | 21.5 | 23.1 | 22.9 |
| 500 | 22.0 | 21.1 | 22.0 | 21.9 | 20.7 |
| 800 | 21.4 | 20.5 | 19.1 | 19.8 | 20.1 |
| 1000 | 17.4 | 20.9 | 18.3 | 18.7 | 18.5 |
Disclaimer/Publisher’s Note: The statements, opinions and data contained in all publications are solely those of the individual author(s) and contributor(s) and not of MDPI and/or the editor(s). MDPI and/or the editor(s) disclaim responsibility for any injury to people or property resulting from any ideas, methods, instructions or products referred to in the content. |
© 2024 by the authors. Licensee MDPI, Basel, Switzerland. This article is an open access article distributed under the terms and conditions of the Creative Commons Attribution (CC BY) license (https://creativecommons.org/licenses/by/4.0/).
Share and Cite
Wang, J.; Wang, C.; Wang, M.; Wei, T.; Zang, Y.; Chen, G. The Modification of Waste Polystyrene and Its Application as a Heavy Oil Flow Improver. Processes 2024, 12, 2537. https://doi.org/10.3390/pr12112537
Wang J, Wang C, Wang M, Wei T, Zang Y, Chen G. The Modification of Waste Polystyrene and Its Application as a Heavy Oil Flow Improver. Processes. 2024; 12(11):2537. https://doi.org/10.3390/pr12112537
Chicago/Turabian StyleWang, Jin, Chunhui Wang, Meng Wang, Tuo Wei, Yunlei Zang, and Gang Chen. 2024. "The Modification of Waste Polystyrene and Its Application as a Heavy Oil Flow Improver" Processes 12, no. 11: 2537. https://doi.org/10.3390/pr12112537
APA StyleWang, J., Wang, C., Wang, M., Wei, T., Zang, Y., & Chen, G. (2024). The Modification of Waste Polystyrene and Its Application as a Heavy Oil Flow Improver. Processes, 12(11), 2537. https://doi.org/10.3390/pr12112537

