Q-Learning-Incorporated Robust Relevance Vector Machine for Remaining Useful Life Prediction
Abstract
1. Introduction
- It is inferred that the weights and random errors of the proposed model obey t-distributions, with the assumption that hyperparameters are gamma distributions, which are more robust for outliers than classical RVM.
- The QL algorithm is introduced into the RRVM model for feature extraction to improve the model prediction accuracy.
- In the field of RUL prediction, the model transitions from static to dynamic, employing a forward-rolling prediction within a time-series context. It initially projects degradation trends essential for RUL estimation and subsequently refines these projections to forecast RUL, thereby improving the interpretability of the predictions.
2. Robust RVM Modelling
2.1. Modelling Process
2.2. Parameter Estimation
3. RUL Prediction
4. RRVM with Embedded Q-Learning
4.1. Q-Learning Algorithm
4.2. QL-Based Feature Extraction Process
5. Case Study
5.1. Platform Description and Data Preprocessing
5.2. QL Algorithm
5.3. Voltage Degradation-Trend Prediction
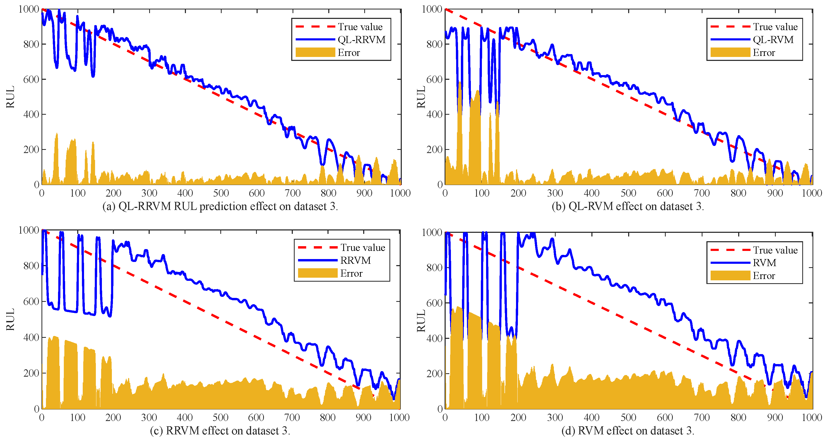
5.4. RUL Prediction
6. Conclusions
Author Contributions
Funding
Data Availability Statement
Conflicts of Interest
References
- Li, Y.; Xu, S.; Chen, H.; Jia, L.; Ma, K. A general degradation process of useful life analysis under unreliable signals for accelerated degradation testing. IEEE Trans. Ind. Inform. 2023, 19, 7742–7750. [Google Scholar] [CrossRef]
- Achouch, M.; Dimitrova, M.; Ziane, K.; Sattarpanah Karganroudi, S.; Dhouib, R.; Ibrahim, H.; Adda, M. On predictive maintenance in industry 4.0: Overview, models, and challenges. Appl. Sci. 2022, 12, 8081. [Google Scholar] [CrossRef]
- Ahmad, T.; Zhu, H.; Zhang, D.; Tariq, R.; Bassam, A.; Ullah, F.; AlGhamdi, A.S.; Alshamrani, S.S. Energetics systems and artificial intelligence: Applications of industry 4.0. Energy Rep. 2022, 8, 334–361. [Google Scholar] [CrossRef]
- Feng, K.; Ji, J.C.; Ni, Q.; Beer, M. A review of vibration-based gear wear monitoring and prediction techniques. Mech. Syst. Signal Process. 2023, 182, 109605. [Google Scholar] [CrossRef]
- Thelen, A.; Li, M.; Hu, C.; Bekyarova, E.; Kalinin, S.; Sanghadasa, M. Augmented model-based framework for battery remaining useful life prediction. Appl. Energy 2022, 324, 119624. [Google Scholar] [CrossRef]
- Li, Y.; Gao, H.; Chen, H.; Liu, C.; Yang, Z.; Zio, E. Accelerated degradation testing for lifetime analysis considering random effects and the influence of stress and measurement errors. Reliab. Eng. Syst. Saf. 2024, 247, 110101. [Google Scholar] [CrossRef]
- Jiang, X.; Xu, J.; He, Q.; Wang, C.; Jiang, L.; Xu, K.; Xiang, J. A study of the relationships between coal heterogeneous chemical structure and pyrolysis behaviors: Mechanism and predicting model. Energy 2023, 282, 128715. [Google Scholar] [CrossRef]
- Jorner, K.; Brinck, T.; Norrby, P.O.; Buttar, D. Machine learning meets mechanistic modelling for accurate prediction of experimental activation energies. Chem. Sci. 2021, 12, 1163–1175. [Google Scholar] [CrossRef]
- Li, N.; Gebraeel, N.; Lei, Y.; Fang, X.; Cai, X.; Yan, T. Remaining useful life prediction based on a multi-sensor data fusion model. Reliab. Eng. Syst. Saf. 2021, 208, 107249. [Google Scholar] [CrossRef]
- Chen, S.; Zhou, X.; Zhou, G.; Fan, C.; Ding, P.; Chen, Q. An online physical-based multiple linear regression model for building’s hourly cooling load prediction. Energy Build. 2022, 254, 111574. [Google Scholar] [CrossRef]
- Ramirez, J.G.; Gore, W.L.; Johnston, G. New methods for modeling reliability using degradation data. Stat. Data Anal. Data Min. 2001, 9, 226–263. [Google Scholar]
- Hedrea, E.L.; Precup, R.E.; Bojan-Dragos, C.A. Results on tensor product-based model transformation of magnetic levitation systems. Acta Polytech. Hung. 2019, 16, 93–111. [Google Scholar] [CrossRef]
- Lei, Y.; Li, N.; Guo, L.; Li, N.; Yan, T.; Lin, J. Machinery health prognostics: A systematic review from data acquisition to RUL prediction. Mech. Syst. Signal Process. 2018, 104, 799–834. [Google Scholar] [CrossRef]
- Chen, H.; Luo, H.; Huang, B.; Jiang, B.; Kaynak, O. Transfer learning-motivated intelligent fault diagnosis designs: A survey, insights, and perspectives. IEEE Trans. Neural Networks Learn. Syst. 2023, 35, 2969–2983. [Google Scholar] [CrossRef]
- Ren, L.; Dong, J.; Wang, X.; Meng, Z.; Zhao, L.; Deen, M.J. A data-driven auto-CNN-LSTM prediction model for Lithium-Ion Battery Remaining useful Life. IEEE Trans. Ind. Inform. 2021, 17, 3478–3487. [Google Scholar] [CrossRef]
- Lin, Y.H.; Li, G.H. A Bayesian deep learning framework for RUL prediction incorporating uncertainty quantification and calibration. IEEE Trans. Ind. Inform. 2022, 18, 7274–7284. [Google Scholar] [CrossRef]
- Tipping, M.E. Sparse Bayesian learning and the relevance vector machine. J. Mach. Learn. Res. 2001, 1, 211–244. [Google Scholar]
- Feng, Y.; Wang, Y.; Wang, J.W.; Li, H.X. Backstepping-Based distributed abnormality localization for linear parabolic distributed parameter systems. Automatica 2021, 135, 109930. [Google Scholar] [CrossRef]
- Li, Y.; Kaynak, O.; Jia, L.; Liu, C.; Wang, Y.; Zio, E. A Generalized Testing Model for Interval Lifetime Analysis Based on Mixed Wiener Accelerated Degradation Process. IEEE Internet Things J. 2024; preprint. [Google Scholar] [CrossRef]
- Tipping, M.E.; Faul, A.C. Fast marginal likelihood maximisation for sparse Bayesian models. In Proceedings of the International Workshop on Artificial Intelligence and Statistics, PMLR, Key West, FL, USA, 3–6 January 2003; pp. 276–283. [Google Scholar]
- Song, Y.; Liu, D.; Hou, Y.; Yu, J.; Peng, Y. Satellite lithium-ion battery remaining useful life estimation with an iterative updated RVM fused with the KF algorithm. Chin. J. Aeronaut. 2018, 31, 31–40. [Google Scholar] [CrossRef]
- Sanz-Gorrachategui, I.; Pastor-Flores, P.; Pajovic, M.; Wang, Y.; Orlik, P.V.; Bernal-Ruiz, C.; Artal-Sevil, J.S. Remaining useful life estimation for LFP cells in second-life applications. IEEE Trans. Instrum. Meas. 2021, 70, 2505810. [Google Scholar] [CrossRef]
- Zheng, X.; Fang, H. An integrated unscented kalman filter and relevance vector regression approach for lithium-ion battery remaining useful life and short-term capacity prediction. Reliab. Eng. Syst. Saf. 2015, 144, 74–82. [Google Scholar] [CrossRef]
- Wang, X.; Jiang, B.; Lu, N. Adaptive relevant vector machine based RUL prediction under uncertain conditions. ISA Trans. 2019, 87, 217–224. [Google Scholar] [CrossRef] [PubMed]
- Wang, X.; Jiang, B.; Wu, S.; Lu, N.; Ding, S.X. Multivariate relevance vector regression based degradation modeling and remaining useful life prediction. IEEE Trans. Ind. Electron. 2021, 69, 9514–9523. [Google Scholar] [CrossRef]
- Chen, H.; Liu, Z.; Alippi, C.; Huang, B.; Liu, D. Explainable intelligent fault diagnosis for nonlinear dynamic systems: From unsupervised to supervised learning. IEEE Trans. Neural Networks Learn. Syst. 2022, 35, 6166–6179. [Google Scholar] [CrossRef]
- Chen, Z.; Shi, N.; Ji, Y.; Niu, M.; Wang, Y. Lithium-ion batteries remaining useful life prediction based on BLS-RVM. Energy 2021, 234, 121269. [Google Scholar] [CrossRef]
- Liu, B.; Zhang, Y. Calibration of miniature air quality detector monitoring data with PCA–RVM–NAR combination model. Sci. Rep. 2022, 12, 9333. [Google Scholar] [CrossRef]
- Li, D.H. The approach to get the decomposition of the Kronecker product of matrix. J. Minjiang Univ. 2007. Available online: https://api.semanticscholar.org/CorpusID:124306738 (accessed on 7 October 2024).
- Haobo, J.; Guangyu, L.; Jin, X.; Jian, Y. Action candidate driven clipped double Q-Learning for discrete and continuous action tasks. IEEE Trans. Neural Netw. Learn. Syst. 2024, 35, 5269–5279. [Google Scholar]
- Ding, W.; Haiming, H.; Mingming, Z. Model-free optimal tracking design with evolving control strategies via Q-learning. IEEE Trans. Circuits Syst. II Express Briefs 2024, 71, 3373–3377. [Google Scholar]
- Li, Y.; Fei, M.; Jia, L.; Lu, N.; Kaynak, O.; Zio, E. Novel Outlier-Robust Accelerated Degradation Testing Model and Lifetime Analysis Method Considering Time-Stress-Dependent Factors. IEEE Trans. Ind. Inform. 2024, 20, 9907–9917. [Google Scholar] [CrossRef]
- Yang, C.; Gui, W.; Chen, Z.; Zhang, J.; Peng, T.; Yang, C.; Ding, S.X. Voltage difference residual-based open-circuit fault diagnosis approach for three-level converters in electric traction systems. IEEE Trans. Power Electron. 2019, 35, 3012–3028. [Google Scholar] [CrossRef]











| DATA | MODEL | MAE (V) | RMSE (V) | MAPE (%) | R | 
|---|---|---|---|---|---|
| DATA SET 1 (Up and Down) | QL-RRVM | 0.0109 | 0.0393 | 0.0008 | 0.99 | 
| 0.0576 | 0.751 | 0.0039 | 0.99 | ||
| QL-RVM | 5.161 | 6.518 | 0.319 | 0.983 | |
| 6.749 | 8.599 | 0.501 | 0.969 | ||
| RRVM | 15.790 | 41.714 | 0.968 | 0.818 | |
| 14.270 | 38.316 | 1.039 | 0.846 | ||
| RVM | 24.317 | 50.758 | 1.483 | 0.729 | |
| 19.432 | 41.892 | 1.399 | 0.815 | ||
| DATA SET 6 (Up and Down) | QL-RRVM | 0.203 | 3.441 | 0.0137 | 0.997 | 
| 0.057 | 0.751 | 0.003 | 0.998 | ||
| QL-RVM | 5.652 | 7.861 | 0.359 | 0.986 | |
| 6.967 | 9.041 | 0.504 | 0.982 | ||
| RRVM | 1.417 | 10.835 | 0.095 | 0.974 | |
| 4.829 | 24.082 | 0.328 | 0.872 | ||
| RVM | 8.051 | 12.581 | 0.513 | 0.964 | |
| 11.064 | 29.578 | 0.775 | 0.806 | 
| DATA | MODEL | MAE (RUL) | RMSE (RUL) | R | 
|---|---|---|---|---|
| DATA SET 1 | QL-RRVM | 63.023 | 77.391 | 0.996 | 
| QL-RVM | 86.729 | 108.418 | 0.983 | |
| RRVM | 131.399 | 157.154 | 0.984 | |
| RVM | 110.987 | 147.024 | 0.907 | |
| DATA SET 3 | QL-RRVM | 53.386 | 75.552 | 0.967 | 
| QL-RVM | 78.646 | 133.706 | 0.890 | |
| RRVM | 149.002 | 172.939 | 0.819 | |
| RVM | 197.572 | 235.4965 | 0.654 | |
| DATA SET 6 | QL-RRVM | 44.581 | 55.7997 | 0.983 | 
| QL-RVM | 96.39 | 119.922 | 0.969 | |
| RRVM | 86.472 | 112.719 | 0.958 | |
| RVM | 110.987 | 147.024 | 0.907 | 
| Disclaimer/Publisher’s Note: The statements, opinions and data contained in all publications are solely those of the individual author(s) and contributor(s) and not of MDPI and/or the editor(s). MDPI and/or the editor(s) disclaim responsibility for any injury to people or property resulting from any ideas, methods, instructions or products referred to in the content. | 
© 2024 by the authors. Licensee MDPI, Basel, Switzerland. This article is an open access article distributed under the terms and conditions of the Creative Commons Attribution (CC BY) license (https://creativecommons.org/licenses/by/4.0/).
Share and Cite
Wang, X.; Li, Z.; Wang, X.; Hu, X. Q-Learning-Incorporated Robust Relevance Vector Machine for Remaining Useful Life Prediction. Processes 2024, 12, 2536. https://doi.org/10.3390/pr12112536
Wang X, Li Z, Wang X, Hu X. Q-Learning-Incorporated Robust Relevance Vector Machine for Remaining Useful Life Prediction. Processes. 2024; 12(11):2536. https://doi.org/10.3390/pr12112536
Chicago/Turabian StyleWang, Xiuli, Zhongxin Li, Xiuyi Wang, and Xinyu Hu. 2024. "Q-Learning-Incorporated Robust Relevance Vector Machine for Remaining Useful Life Prediction" Processes 12, no. 11: 2536. https://doi.org/10.3390/pr12112536
APA StyleWang, X., Li, Z., Wang, X., & Hu, X. (2024). Q-Learning-Incorporated Robust Relevance Vector Machine for Remaining Useful Life Prediction. Processes, 12(11), 2536. https://doi.org/10.3390/pr12112536
 
        
 
       