The Role of K2CO3 in the Synthesis of Dimethyl Carbonate from CO2 and Methanol
Abstract
1. Introduction
2. Materials and Methods
2.1. Materials and Characterizations
2.2. Synthesis of K213CO3-CD3OD Mixture
2.3. NMR Data
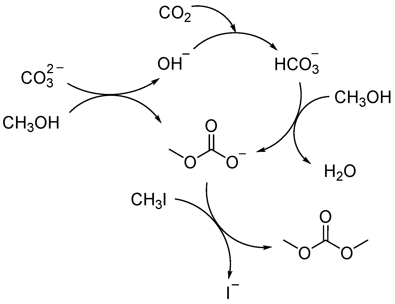
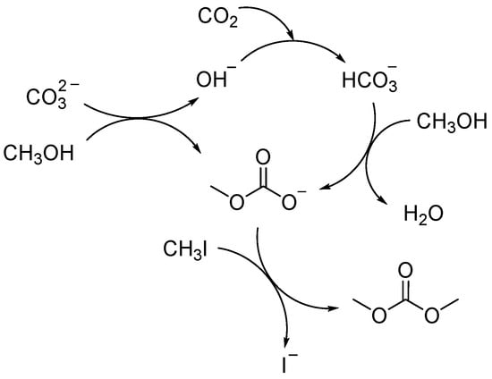
3. Results and Discussion
4. Conclusions
Author Contributions
Funding
Data Availability Statement
Conflicts of Interest
References
- Chen, H.; Zheng, Y.; Li, J.; Li, L.; Wang, X. AI for Nanomaterials Development in Clean Energy and Carbon Capture, Utilization and Storage (CCUS). ACS Nano 2023, 17, 9763–9792. [Google Scholar] [CrossRef] [PubMed]
- Yu, X.; Catanescu, C.O.; Bird, R.E.; Satagopan, S.; Baum, Z.J.; Lotti Diaz, L.M.; Zhou, Q.A. Trends in Research and Development for CO2 Capture and Sequestration. ACS Omega 2023, 8, 11643–11664. [Google Scholar] [CrossRef] [PubMed]
- Zhong, S.; Guo, X.; Zhou, A.; Chen, Z.A.; Jin, D.; Fan, M.; Ma, T. Fundamentals and Recent Progress in Magnetic Field Assisted CO2 Capture and Conversion. Small 2024, 20, 2305533. [Google Scholar] [CrossRef] [PubMed]
- Kumar De, S.; Won, D.-I.; Kim, J.; Kim, D.H. Integrated CO2 capture and electrochemical upgradation: The underpinning mechanism and techno-chemical analysis. Chem. Soc. Rev. 2023, 52, 5744–5802. [Google Scholar] [CrossRef]
- Zhang, Y.; Zhao, S.; Li, L.; Feng, J.; Li, K.; Huang, Z.; Lin, H. Integrated CO2 capture and utilization: A review of the synergistic effects of dual function materials. Catal. Sci. Technol. 2024, 14, 790–819. [Google Scholar] [CrossRef]
- Fu, L.; Ren, Z.; Si, W.; Ma, Q.; Huang, W.; Liao, K.; Huang, Z.; Wang, Y.; Li, J.; Xu, P. Research progress on CO2 capture and utilization technology. J. CO2 Util. 2022, 66, 102260. [Google Scholar] [CrossRef]
- Li, L.; Liu, W.; Chen, R.; Shang, S.; Zhang, X.; Wang, H.; Zhang, H.; Ye, B.; Xie, Y. Atom-Economical Synthesis of Dimethyl Carbonate from CO2: Engineering Reactive Frustrated Lewis Pairs on Ceria with Vacancy Clusters. Angew. Chem. Int. Ed. 2022, 61, e202214490. [Google Scholar] [CrossRef]
- Raza, A.; Ikram, M.; Guo, S.; Baiker, A.; Li, G. Green Synthesis of Dimethyl Carbonate from CO2 and Methanol: New Strategies and Industrial Perspective. Adv. Sustain. Syst. 2022, 6, 2200087. [Google Scholar] [CrossRef]
- Kumar, P.; Srivastava, V.C.; Štangar, U.L.; Mušič, B.; Mishra, I.M.; Meng, Y. Recent progress in dimethyl carbonate synthesis using different feedstock and techniques in the presence of heterogeneous catalysts. Catal. Rev. 2021, 63, 363–421. [Google Scholar] [CrossRef]
- Signorile, M.; Salusso, D.; Crocellà, V.; Paganini, M.C.; Bordiga, S.; Bonino, F.; Ferri, D. Surface species in direct liquid phase synthesis of dimethyl carbonate from methanol and CO2: An MCR-ALS augmented ATR-IR study. Phys. Chem. Chem. Phys. 2023, 25, 8392–8402. [Google Scholar] [CrossRef]
- Wang, S.; Chen, C.; Yang, P.; Guo, Y.; Wang, B.; Niu, H.; Zhang, Q.; Wang, J. Facile One-Pot Preparation of Organotin-Oxometalate Polymers for Efficient Synthesis of Dimethyl Carbonate from CO2. Ind. Eng. Chem. Res. 2024, 63, 10151–10161. [Google Scholar] [CrossRef]
- Ohno, H.; Ikhlayel, M.; Tamura, M.; Nakao, K.; Suzuki, K.; Morita, K.; Kato, Y.; Tomishige, K.; Fukushima, Y. Direct dimethyl carbonate synthesis from CO2 and methanol catalyzed by CeO2 and assisted by 2-cyanopyridine: A cradle-to-gate greenhouse gas emission study. Green Chem. 2021, 23, 457–469. [Google Scholar] [CrossRef]
- Faria, D.J.; Moreira dos Santos, L.; Bernard, F.L.; Selbacch Pinto, I.; Carmona da Motta Resende, M.A.; Einloft, S. Dehydrating agent effect on the synthesis of dimethyl carbonate (DMC) directly from methanol and carbon dioxide. RSC Adv. 2020, 10, 34895–34902. [Google Scholar] [CrossRef]
- Shi, D.; Heyte, S.; Capron, M.; Paul, S. Catalytic processes for the direct synthesis of dimethyl carbonate from CO2 and methanol: A review. Green Chem. 2022, 24, 1067–1089. [Google Scholar] [CrossRef]
- Tamboli, A.H.; Chaugule, A.A.; Kim, H. Catalytic developments in the direct dimethyl carbonate synthesis from carbon dioxide and methanol. Chem. Eng. J. 2017, 323, 530–544. [Google Scholar] [CrossRef]
- Zhang, M.; Xu, Y.; Williams, B.L.; Xiao, M.; Wang, S.; Han, D.; Sun, L.; Meng, Y. Catalytic materials for direct synthesis of dimethyl carbonate (DMC) from CO2. J. Clean. Prod. 2021, 279, 123344. [Google Scholar] [CrossRef]
- Shao, W.; Zhang, X.; Xie, Y. Engineering active sites and recognizing mechanisms for CO2 fixation to dimethyl carbonate. Trends Chem. 2023, 5, 312–323. [Google Scholar] [CrossRef]
- Wang, D.; Shi, F.; Wang, L. A Review of Catalysts for Synthesis of Dimethyl Carbonate. Catalysts 2024, 14, 259. [Google Scholar] [CrossRef]
- Sakakura, T.; Choi, J.-C.; Yasuda, H. Transformation of Carbon Dioxide. Chem. Rev. 2007, 107, 2365–2387. [Google Scholar] [CrossRef]
- Fujita, S.-I.; Bhanage, B.M.; Ikushima, Y.; Arai, M. Synthesis of dimethyl carbonate from carbon dioxide and methanol in the presence of methyl iodide and base catalysts under mild conditions: Effect of reaction conditions and reaction mechanism. Green Chem. 2001, 3, 87–91. [Google Scholar] [CrossRef]
- Li, Q.; Bao, Z.; Akhmedov, N.G.; Li, B.A.; Duan, Y.; Xing, M.; Wang, J.; Morsi, B.I.; Li, B. Unraveling the Role of Glycine in K2CO3 Solvent for CO2 Removal. Ind. Eng. Chem. Res. 2022, 61, 12545–12554. [Google Scholar] [CrossRef]
- Xie, Y.; Parnas, R.; Liang, B.; Liu, Y.; Tao, C.; Lu, H. Synthesis and characterization of switchable ionic compound based on DBU, CH3OH, and CO2. Chin. J. Chem. Eng. 2015, 23, 1728–1732. [Google Scholar] [CrossRef]
- Gu, Q.; Fang, J.; Xu, Z.; Ni, W.; Kong, K.; Hou, Z. CO2 promoted synthesis of unsymmetrical organic carbonate using switchable agents based on DBU and alcohols. New J. Chem. 2018, 42, 13054–13064. [Google Scholar] [CrossRef]
- Gu, J.-G.; Wang, C.-X.; Hu, G.-Q.; Shen, K.; Zhang, H.-H. K2CO3/18-Crown-6-Catalyzed Selective H/D Exchange of Heteroarenes with Bromide as a Removable Directing Group. Org. Lett. 2023, 25, 3055–3059. [Google Scholar] [CrossRef] [PubMed]
- Bew, S.P.; Hiatt-Gipson, G.D.; Lovell, J.A.; Poullain, C. Mild Reaction Conditions for the Terminal Deuteration of Alkynes. Org. Lett. 2012, 14, 456–459. [Google Scholar] [CrossRef]
- Hou, Z.; Han, B.; Liu, Z.; Jiang, T.; Yang, G. Synthesis of dimethyl carbonate using CO2 and methanol: Enhancing the conversion by controlling the phase behavior. Green Chem. 2002, 4, 467–471. [Google Scholar] [CrossRef]



Disclaimer/Publisher’s Note: The statements, opinions and data contained in all publications are solely those of the individual author(s) and contributor(s) and not of MDPI and/or the editor(s). MDPI and/or the editor(s) disclaim responsibility for any injury to people or property resulting from any ideas, methods, instructions or products referred to in the content. |
© 2024 by the authors. Licensee MDPI, Basel, Switzerland. This article is an open access article distributed under the terms and conditions of the Creative Commons Attribution (CC BY) license (https://creativecommons.org/licenses/by/4.0/).
Share and Cite
Zhou, Y.; Chen, M.; Wu, C.; Dong, X.; Yang, D. The Role of K2CO3 in the Synthesis of Dimethyl Carbonate from CO2 and Methanol. Processes 2024, 12, 2119. https://doi.org/10.3390/pr12102119
Zhou Y, Chen M, Wu C, Dong X, Yang D. The Role of K2CO3 in the Synthesis of Dimethyl Carbonate from CO2 and Methanol. Processes. 2024; 12(10):2119. https://doi.org/10.3390/pr12102119
Chicago/Turabian StyleZhou, Yi, Mingzhe Chen, Congyi Wu, Xueling Dong, and Dezhong Yang. 2024. "The Role of K2CO3 in the Synthesis of Dimethyl Carbonate from CO2 and Methanol" Processes 12, no. 10: 2119. https://doi.org/10.3390/pr12102119
APA StyleZhou, Y., Chen, M., Wu, C., Dong, X., & Yang, D. (2024). The Role of K2CO3 in the Synthesis of Dimethyl Carbonate from CO2 and Methanol. Processes, 12(10), 2119. https://doi.org/10.3390/pr12102119

